Sign in to use this feature.

Years

Between: -

Subjects

remove_circle_outline
remove_circle_outline
remove_circle_outline
remove_circle_outline
remove_circle_outline
remove_circle_outline
remove_circle_outline

Journals

Article Types

Countries / Regions

Search Results (32)

Search Parameters:
Keywords = cations permeation mechanism

Order results
Result details
Results per page
Select all
Export citation of selected articles as:
15 pages, 2881 KB  
Article
UiO-66-(COOH)2 Decorated Collagen Fiber Membranes for High-Efficiency Separation of Cationic Surfactant-Stabilized Oil/Water Emulsions: Toward Sustainable and Robust Wastewater Treatment
by Guifang Yang, Qiu Wu, Gao Xiao and Xiaoxia Ye
Polymers 2025, 17(21), 2879; https://doi.org/10.3390/polym17212879 - 29 Oct 2025
Viewed by 544
Abstract
Membrane separation is a promising technology for emulsified wastewater treatment. However, conventional membrane often suffer from limitations such as low mechanical strength, the inherent “trade-off” effect between flux and separation efficiency, and poor antifouling properties. To address these challenges, we report a novel [...] Read more.
Membrane separation is a promising technology for emulsified wastewater treatment. However, conventional membrane often suffer from limitations such as low mechanical strength, the inherent “trade-off” effect between flux and separation efficiency, and poor antifouling properties. To address these challenges, we report a novel composite membrane (CFM-UiO-66-(COOH)2) fabricated by in situ growth of functionalized UiO-66-(COOH)2 on a mechanically robust collagen fiber membrane (CFM) substrate. The resulting composite leverages the inherent properties of the CFM, along with the controlled generation of charge-neutralization demulsification sites and size-sieving filtration layers from the UiO-66-(COOH)2. This CFM-UiO-66-(COOH)2 exhibited superwetting behavior and achieved efficient separation of cationic surfactant-stabilized oil-in-water micro- and nano-emulsions. Specifically, the CFM-UiO-66-(COOH)2 achieved separation efficiencies exceeding 99.85% for various cationic O/W emulsions, with permeation fluxes ranging from 178.9 to 225.9 L·m−2·h−1. The membrane also demonstrated robust antifouling properties, excellent acid/alkali resistance, high abrasion durability, and good biocompatibility. Importantly, stable performance was maintained over six consecutive separation cycles. These characteristics, combined with the electrostatic interactions between carboxyl groups on the UiO-66-(COOH)2 and cationic contaminants, suggest that CFM-UiO-66-(COOH)2 holds significant potential for practical and sustainable wastewater treatment applications. Full article
(This article belongs to the Section Polymer Membranes and Films)
Show Figures

Graphical abstract

19 pages, 4754 KB  
Article
How Sodium and Calcium Ions Pass Through Batrachotoxin-Bound Sodium Channel
by Boris S. Zhorov
Toxins 2025, 17(10), 520; https://doi.org/10.3390/toxins17100520 - 21 Oct 2025
Viewed by 1081
Abstract
Steroidal sodium channel agonist batrachotoxin (BTX), one of the most potent animal toxins, dramatically increases calcium permeation and alters other channel characteristics. In a cryoEM structure of rat sodium channel Nav1.5 with two BTX-B molecules, one toxin binds between repeats III and IV [...] Read more.
Steroidal sodium channel agonist batrachotoxin (BTX), one of the most potent animal toxins, dramatically increases calcium permeation and alters other channel characteristics. In a cryoEM structure of rat sodium channel Nav1.5 with two BTX-B molecules, one toxin binds between repeats III and IV and exposes to the pore lumen two oxygen atoms and protonatable nitrogen. The mechanism of ion permeation and selectivity in BTX-bound channel is unclear. Here Monte Carlo energy-minimized profiles of sodium and calcium ions pulled through the pore were computed in models with various protonated states of the DEKA lysine and BTX-B. The only model where the ions readily passed by the DEKA lysine and BTX-B involved their deprotonated nitrogens. In this model, electronegative atoms of BTX-B attracted a permeant cation that stabilized the “dunked” lysine through electrostatic interactions and nearby water molecules. This would retard reprotonation of the lysine and its “uplifting” to the DEKA carboxylates, which otherwise attracts calcium. The results suggest how sodium and calcium ions pass through BTX-bound sodium channel and why BTX increases calcium permeation. The study supports an earlier hypothesis that during the sodium ion permeation cycle, the DEKA lysine alternates between uplifted and dunked conformations in the protonated and deprotonated states, respectively, while the sodium-displaced proton and the sodium ion nullify the net electrical charge at the DEKA region. Full article
(This article belongs to the Section Animal Venoms)
Show Figures

Figure 1

12 pages, 3509 KB  
Article
Binding and Activating of Analgesic Crotalphine with Human TRPA1
by Mingmin Kang, Yanming Zhang, Xiufang Ding, Jianfu Xu and Xiaoyun Pang
Membranes 2025, 15(6), 187; https://doi.org/10.3390/membranes15060187 - 19 Jun 2025
Viewed by 1586
Abstract
TRPA1 (Transient Receptor Potential Ankyrin 1), a cation channel predominantly expressed in sensory neurons, plays a critical role in detecting noxious stimuli and mediating pain signal transmission. As a key player in nociceptive signaling pathways, TRPA1 has emerged as a promising therapeutic target [...] Read more.
TRPA1 (Transient Receptor Potential Ankyrin 1), a cation channel predominantly expressed in sensory neurons, plays a critical role in detecting noxious stimuli and mediating pain signal transmission. As a key player in nociceptive signaling pathways, TRPA1 has emerged as a promising therapeutic target for the development of novel analgesics. Crotalphine (CRP), a 14-amino acid peptide, has been demonstrated to specifically activate TRPA1 and elicit potent analgesic effects. Previous cryo-EM (cryo-electron microscopy) studies have elucidated the structural mechanisms of TRPA1 activation by small-molecule agonists, such as iodoacetamide (IA), through covalent modification of N-terminal cysteine residues. However, the molecular interactions between TRPA1 and peptide ligands, including crotalphine, remain unclear. Here, we present the cryo-EM structure of ligand-free human TRPA1 consistent with the literature, as well as TRPA1 complexed with crotalphine, with resolutions of 3.1 Å and 3.8 Å, respectively. Through a combination of single-particle cryo-EM studies, patch-clamp electrophysiology, and microscale thermophoresis (MST), we have identified the cysteine residue at position 621 (Cys621) within the TRPA1 ion channel as the primary binding site for crotalphine. Upon binding to the reactive pocket containing C621, crotalphine induces rotational and translational movements of the transmembrane domain. This allosteric modulation coordinately dilates both the upper and lower gates, facilitating ion permeation. Full article
(This article belongs to the Section Biological Membranes)
Show Figures

Figure 1

30 pages, 7964 KB  
Article
Fabrication and Performance of PVAc-Incorporated Porous Self-Standing Zeolite-Based Geopolymer Membranes for Lead (Pb(II)) Removal in Water Treatment
by Samar Amari, Mariam Darestani, Graeme Millar and Bob Boshrouyeh
Polymers 2025, 17(9), 1155; https://doi.org/10.3390/polym17091155 - 24 Apr 2025
Cited by 1 | Viewed by 1524
Abstract
This study explores the fabrication, structural characteristics, and performance of an innovative porous geopolymer membrane made from waste natural zeolite powder for Pb(II) removal, with potential applications in wastewater treatment. A hybrid geopolymer membrane incorporating polyvinyl acetate (PVAc) (10, 20, and 30 wt.%) [...] Read more.
This study explores the fabrication, structural characteristics, and performance of an innovative porous geopolymer membrane made from waste natural zeolite powder for Pb(II) removal, with potential applications in wastewater treatment. A hybrid geopolymer membrane incorporating polyvinyl acetate (PVAc) (10, 20, and 30 wt.%) was synthesized and thermally treated at 300 °C to achieve a controlled porous architecture. Characterization techniques, including Fourier-transform infrared spectroscopy (FTIR), revealed the disappearance of characteristic C=O and C-H stretching bands (~1730 cm−1 and ~2900 cm−1, respectively), confirming the full degradation of PVAc. Thermogravimetric analysis (TG) and differential scanning calorimetry (DSC) indicated a total mass loss of approximately 14.5% for the sample with PVAc 20 wt.%, corresponding to PVAc decomposition and water loss. Energy-dispersive spectroscopy (EDS) elemental mapping showed the absence of carbon residues post-annealing, further validating complete PVAc removal. X-ray diffraction (XRD) provided insight into the crystalline phases of the raw zeolite and geopolymer structure. Once PVAc removal was confirmed, the second phase of characterization assessed the membrane’s mechanical properties and filtration performance. The thermally treated membrane, with a thickness of 2.27 mm, exhibited enhanced mechanical properties, measured with a nano-indenter, showing a hardness of 1.8 GPa and an elastic modulus of 46.7 GPa, indicating improved structural integrity. Scanning electron microscopy (SEM) revealed a well-defined porous network. Filtration performance was evaluated using a laboratory-scale dead-end setup for Pb(II) removal. The optimal PVAc concentration was determined to be 20 wt.%, resulting in a permeation rate of 78.5 L/(m2·h) and an 87% rejection rate at an initial Pb(II) concentration of 50 ppm. With increasing Pb(II) concentrations, the flux rates declined across all membranes, while maximum rejection was achieved at 200 ppm. FTIR and EDS analyses confirmed Pb(II) adsorption onto the zeolite-based geopolymer matrix, with elemental mapping showing a uniform Pb(II) distribution across the membrane surface. The next step is to evaluate the membrane’s performance in a multi-cation water treatment environment, assessing the sorption kinetics and its selectivity and efficiency in removing various heavy metal contaminants from complex wastewater systems. Full article
(This article belongs to the Special Issue Innovative Polymers and Technology for Membrane Fabrication)
Show Figures

Graphical abstract

14 pages, 2671 KB  
Article
Ion Transport Mechanism in the Sub-Nano Channels of Edge-Capping Modified Transition Metal Carbides/Nitride Membranes
by Yinan Li, Xiangmin Xu, Xiaofeng Fang and Fang Li
Separations 2025, 12(4), 78; https://doi.org/10.3390/separations12040078 - 28 Mar 2025
Cited by 1 | Viewed by 898
Abstract
Edge-capping modified MXene membranes with new channels created by lateral nanosheets are of great research significance. After introducing tripolyphosphate (STPP) to Ti edges of Ti3C2Tx nanosheets and fabricating the STPP-MXene membranes edge-capping method, this research investigated the performance [...] Read more.
Edge-capping modified MXene membranes with new channels created by lateral nanosheets are of great research significance. After introducing tripolyphosphate (STPP) to Ti edges of Ti3C2Tx nanosheets and fabricating the STPP-MXene membranes edge-capping method, this research investigated the performance optimization mechanism of STPP-modified MXene membranes in terms of salt permeability (NaCl, Na2SO4, MgCl2, and MgSO4) and transmembrane energy barriers (Esalt) through the concentration gradient permeation test. Experimental results demonstrated an approximately 1.86-fold enhancement in salt flux (Js) compared to the MXene membranes. The solution–diffusion model was also introduced to evaluate the salt solubility (Ks) and diffusivity (Ds) during permeation. Furthermore, analysis of transmembrane energy barriers revealed that STPP modification induced significantly larger reductions in activation energy for magnesium salts (MgSO4: 55.1%; MgCl2: 47.4%) compared to sodium salts (NaCl: 30.5%; Na2SO4: 30.9%). This phenomenon indicated the weakened electrostatic interactions between high-valent Mg2+ and the modified lateral membrane Ti edges, whereas the limited charge density of Na+ resulted in relatively modest optimization. The results highlight the contribution of STPP capping on the edges of adjacent lateral nanosheets. Therefore, the modification increased the transportation rate of cations across the MXene membrane by more than twice, thus advancing the application of 2D MXene membranes in resource recovery. Full article
(This article belongs to the Special Issue Membrane Separation Process for Water Treatment)
Show Figures

Figure 1

32 pages, 8389 KB  
Review
Connexin Gap Junction Channels and Hemichannels: Insights from High-Resolution Structures
by Maciej Jagielnicki, Iga Kucharska, Brad C. Bennett, Andrew L. Harris and Mark Yeager
Biology 2024, 13(5), 298; https://doi.org/10.3390/biology13050298 - 26 Apr 2024
Cited by 15 | Viewed by 5879
Abstract
Connexins (Cxs) are a family of integral membrane proteins, which function as both hexameric hemichannels (HCs) and dodecameric gap junction channels (GJCs), behaving as conduits for the electrical and molecular communication between cells and between cells and the extracellular environment, respectively. Their proper [...] Read more.
Connexins (Cxs) are a family of integral membrane proteins, which function as both hexameric hemichannels (HCs) and dodecameric gap junction channels (GJCs), behaving as conduits for the electrical and molecular communication between cells and between cells and the extracellular environment, respectively. Their proper functioning is crucial for many processes, including development, physiology, and response to disease and trauma. Abnormal GJC and HC communication can lead to numerous pathological states including inflammation, skin diseases, deafness, nervous system disorders, and cardiac arrhythmias. Over the last 15 years, high-resolution X-ray and electron cryomicroscopy (cryoEM) structures for seven Cx isoforms have revealed conservation in the four-helix transmembrane (TM) bundle of each subunit; an αβ fold in the disulfide-bonded extracellular loops and inter-subunit hydrogen bonding across the extracellular gap that mediates end-to-end docking to form a tight seal between hexamers in the GJC. Tissue injury is associated with cellular Ca2+ overload. Surprisingly, the binding of 12 Ca2+ ions in the Cx26 GJC results in a novel electrostatic gating mechanism that blocks cation permeation. In contrast, acidic pH during tissue injury elicits association of the N-terminal (NT) domains that sterically blocks the pore in a “ball-and-chain” fashion. The NT domains under physiologic conditions display multiple conformational states, stabilized by protein–protein and protein–lipid interactions, which may relate to gating mechanisms. The cryoEM maps also revealed putative lipid densities within the pore, intercalated among transmembrane α-helices and between protomers, the functions of which are unknown. For the future, time-resolved cryoEM of isolated Cx channels as well as cryotomography of GJCs and HCs in cells and tissues will yield a deeper insight into the mechanisms for channel regulation. The cytoplasmic loop (CL) and C-terminal (CT) domains are divergent in sequence and length, are likely involved in channel regulation, but are not visualized in the high-resolution X-ray and cryoEM maps presumably due to conformational flexibility. We expect that the integrated use of synergistic physicochemical, spectroscopic, biophysical, and computational methods will reveal conformational dynamics relevant to functional states. We anticipate that such a wealth of results under different pathologic conditions will accelerate drug discovery related to Cx channel modulation. Full article
Show Figures

Figure 1

13 pages, 2026 KB  
Article
Leveraging the Activated Monomer Mechanism to Create Grafted Polymer Networks in Epoxide–Acrylate Hybrid Photopolymerizations
by Brian F. Dillman, Sage M. Schissel and Julie L. P. Jessop
Macromol 2024, 4(1), 104-116; https://doi.org/10.3390/macromol4010005 - 2 Mar 2024
Cited by 1 | Viewed by 1811
Abstract
Hybrid epoxide–acrylate photopolymerization enables the temporal structuring of polymer networks for advanced material properties. The ability to design polymer network architectures and to tune mechanical properties can be realized through the control of the cationic active center propagation reaction (active chain end mechanism) [...] Read more.
Hybrid epoxide–acrylate photopolymerization enables the temporal structuring of polymer networks for advanced material properties. The ability to design polymer network architectures and to tune mechanical properties can be realized through the control of the cationic active center propagation reaction (active chain end mechanism) relative to the cationic chain transfer reaction (activated monomer mechanism). Grafted polymer networks (GPNs) can be developed through the covalent bonding of epoxide chains to acrylate chains through hydroxyl substituents, making hydroxyl-containing acrylates a promising class of chain transfer agents. This work demonstrates the formation of these GPNs and explores the physical properties obtained through the control of hydroxyl content and hybrid formulation composition. The GPNs exhibit a lower glass transition temperature than the neat epoxide network and result in a more homogeneous network. Further investigations of hydroxyl-containing acrylates as chain transfer agents will generate a wider range of physical property options for photopolymerized hybrid coatings, sealants, and adhesives. Full article
Show Figures

Graphical abstract

18 pages, 3169 KB  
Article
Organic Compounds Responsible for the Fouling of Ultrafiltration Membrane Treating Algae-Laden Water
by Edwin Castilla-Rodriguez and Hongde Zhou
Membranes 2023, 13(9), 787; https://doi.org/10.3390/membranes13090787 - 12 Sep 2023
Cited by 7 | Viewed by 2584
Abstract
Fouling comparisons of the organic fractions in surface and algae-laden waters make it possible to determine the main compounds responsible for the fouling of ultrafiltration (UF) membranes. This study examined the fouling of UF membranes and its relationship to the characteristics of the [...] Read more.
Fouling comparisons of the organic fractions in surface and algae-laden waters make it possible to determine the main compounds responsible for the fouling of ultrafiltration (UF) membranes. This study examined the fouling of UF membranes and its relationship to the characteristics of the organic fractions found in drinking-water supply. Four types of water were prepared by combining natural organic matter (NOM) from lake water with algal organic matter (AOM) from four algae species commonly found in freshwater. Liquid chromatography–organic carbon detection (LC–OCD) and a fluorescence excitation–emission matrix (FEEM) were used to analyze the feed water and permeate to assess the interactions between and fouling behavior of the organic fractions. The results showed that the interaction of large-molecular-weight AOMs on the membrane surfaces and their transport through the membrane pores were the main fouling mechanisms. Polysaccharides followed by protein-like substances were the organic compounds responsible for the fouling of the UF membranes. The fouling affinity of these substances was attributed to two processes, the adsorption of their carboxyl, hydroxyl and cationic groups on the membrane surfaces, and the molecular complexation of their organic groups. The humic substances’ retention was marginal and attributed to the synergetic effects of the polysaccharides and proteins. Full article
Show Figures

Figure 1

14 pages, 4280 KB  
Article
Pathway for Water Transport through Breathable Nanocomposite Membranes of PEBAX with Ionic Liquid [C12C1im]Cl
by Ziqi Cheng, Shen Li, Elena Tocci, Giacomo Saielli, Annarosa Gugliuzza and Yanting Wang
Membranes 2023, 13(9), 749; https://doi.org/10.3390/membranes13090749 - 22 Aug 2023
Cited by 2 | Viewed by 1880
Abstract
Water transport through membranes is an attractive topic among the research dedicated to dehydration processes, microenvironment regulation, or more simply, recovery of freshwater. Herein, an atomistic computer simulation is proposed to provide new insights about a water vapor transport mechanism through PEBAX membranes [...] Read more.
Water transport through membranes is an attractive topic among the research dedicated to dehydration processes, microenvironment regulation, or more simply, recovery of freshwater. Herein, an atomistic computer simulation is proposed to provide new insights about a water vapor transport mechanism through PEBAX membranes filled with ionic liquid (IL) [C12C1im]Cl. Starting from experimental evidence that indicates an effective increase in water permeation as the IL is added to the polymer matrix (e.g., up to 85·10−3 (g·m)/(m2·day) at 318.15 K for PEBAX@2533 membranes loaded with 70% of IL), molecular dynamics simulations are proposed to explore the key role of IL in water transport inside membranes. The polar region composed of anions and cationic head groups of the IL is demonstrated to serve as the pathway for water transport through the membrane. Water molecules always stay near the pathway, which becomes wider and thus has a larger water-accessible area with increasing IL concentration. Hence, the diffusion coefficients of water molecules and ions increase as the IL concentration increases. The simulation provides useful indications about a microscopic mechanism that regulates the transport of water vapor through a kind of PEBAX/IL membrane, resulting in full agreement with the experimental evidence. Full article
(This article belongs to the Special Issue Preparation and Application of Advanced Functional Membranes)
Show Figures

Figure 1

35 pages, 2147 KB  
Review
Advances in Antimicrobial Peptide Discovery via Machine Learning and Delivery via Nanotechnology
by Alexa Sowers, Guangshun Wang, Malcolm Xing and Bingyun Li
Microorganisms 2023, 11(5), 1129; https://doi.org/10.3390/microorganisms11051129 - 26 Apr 2023
Cited by 39 | Viewed by 7336
Abstract
Antimicrobial peptides (AMPs) have been investigated for their potential use as an alternative to antibiotics due to the increased demand for new antimicrobial agents. AMPs, widely found in nature and obtained from microorganisms, have a broad range of antimicrobial protection, allowing them to [...] Read more.
Antimicrobial peptides (AMPs) have been investigated for their potential use as an alternative to antibiotics due to the increased demand for new antimicrobial agents. AMPs, widely found in nature and obtained from microorganisms, have a broad range of antimicrobial protection, allowing them to be applied in the treatment of infections caused by various pathogenic microorganisms. Since these peptides are primarily cationic, they prefer anionic bacterial membranes due to electrostatic interactions. However, the applications of AMPs are currently limited owing to their hemolytic activity, poor bioavailability, degradation from proteolytic enzymes, and high-cost production. To overcome these limitations, nanotechnology has been used to improve AMP bioavailability, permeation across barriers, and/or protection against degradation. In addition, machine learning has been investigated due to its time-saving and cost-effective algorithms to predict AMPs. There are numerous databases available to train machine learning models. In this review, we focus on nanotechnology approaches for AMP delivery and advances in AMP design via machine learning. The AMP sources, classification, structures, antimicrobial mechanisms, their role in diseases, peptide engineering technologies, currently available databases, and machine learning techniques used to predict AMPs with minimal toxicity are discussed in detail. Full article
(This article belongs to the Special Issue Microbial Nanotechnology)
Show Figures

Figure 1

19 pages, 9257 KB  
Article
Investigation of Cu Adsorption and Migration with Spectral Induced Polarization in Activated Carbon
by Bate Bate, Jingjing Cao, Yixin Yang, Junnan Cao, Chi Zhang and Shuai Zhang
Toxics 2023, 11(3), 221; https://doi.org/10.3390/toxics11030221 - 26 Feb 2023
Cited by 9 | Viewed by 2506
Abstract
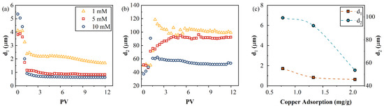
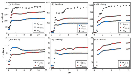
In this paper, the adsorption process of copper ions on activated carbon (AC) was simulated in a column test. It was deduced that it is consistent with the pseudo-second-order model. Cation exchange was observed to be the major mechanism of Cu–AC interactions through [...] Read more.
In this paper, the adsorption process of copper ions on activated carbon (AC) was simulated in a column test. It was deduced that it is consistent with the pseudo-second-order model. Cation exchange was observed to be the major mechanism of Cu–AC interactions through scanning electron microscopy–energy dispersive X-ray spectroscopy (SEM–EDS), X-ray diffraction (XRD), and Fourier transform infrared spectroscopy (FTIR) measurements. Adsorption isotherms were fitted well using the Freundlich model. Adsorption thermodynamics at 298, 308, 318 K demonstrated that the adsorption process is spontaneous and endothermic. Spectral induced polarization (SIP) technique was used to monitor the adsorption process, and the double Cole–Cole model was used to analyze the SIP results. The normalized chargeability was proportional to the adsorbed copper content. Two measured relaxation times from the SIP testing were converted into the average pore sizes of 2, 0.8, 0.6, 100–110, 80–90, and 53–60 µm by the Schwartz equation, which are consistent with the measured pore sizes from both mercury intrusion porosimetry and scanning electron microscopy (SEM). The reduction in the pore sizes by SIP during the flow-through tests suggested that the adsorbed Cu2+ gradually migrated into small pores as with continued permeation of the influent. These results showcased the feasibility of using SIP technique in engineering practice involving the monitoring of copper contamination in land near a mine waste dump or in adjacent permeable reactive barriers. Full article
(This article belongs to the Section Toxicity Reduction and Environmental Remediation)
Show Figures

Figure 1

27 pages, 4902 KB  
Review
GO-Based Membranes for Desalination
by Rui Ge, Teng Huo, Zhongyong Gao, Jiding Li and Xia Zhan
Membranes 2023, 13(2), 220; https://doi.org/10.3390/membranes13020220 - 10 Feb 2023
Cited by 28 | Viewed by 8429
Abstract
Graphene oxide (GO), owing to its atomic thickness and tunable physicochemical properties, exhibits fascinating properties in membrane separation fields, especially in water treatment applications (due to unimpeded permeation of water through graphene-based membranes). Particularly, GO-based membranes used for desalination via pervaporation or nanofiltration [...] Read more.
Graphene oxide (GO), owing to its atomic thickness and tunable physicochemical properties, exhibits fascinating properties in membrane separation fields, especially in water treatment applications (due to unimpeded permeation of water through graphene-based membranes). Particularly, GO-based membranes used for desalination via pervaporation or nanofiltration have been widely investigated with respect to membrane design and preparation. However, the precise construction of transport pathways, facile fabrication of large-area GO-based membranes (GOMs), and robust stability in desalination applications are the main challenges restricting the industrial application of GOMs. This review summarizes the challenges and recent research and development of GOMs with respect to preparation methods, the regulation of GOM mass transfer pathways, desalination performance, and mass transport mechanisms. The review aims to provide an overview of the precise regulation methods of the horizontal and longitudinal mass transfer channels of GOMs, including GO reduction, interlayer cross-linking, intercalation with cations, polymers, or inorganic particles, etc., to clarify the relationship between the microstructure and desalination performance, which may provide some new insight regarding the structural design of high-performance GOMs. Based on the above analysis, the future and development of GOMs are proposed. Full article
(This article belongs to the Special Issue Green Membrane Technology)
Show Figures

Figure 1

12 pages, 2952 KB  
Article
Synthesis and Characterization of Random Block Hydroxyl-Terminated Polyfluoroether-Based Polyurethane Elastomers with Fluorine-Containing Side Chains
by Yanqiu Zhou, Junjie Chen, Limin Zhang, Hui Huang, Rufang Peng and Bo Jin
Polymers 2023, 15(2), 288; https://doi.org/10.3390/polym15020288 - 6 Jan 2023
Cited by 3 | Viewed by 2679
Abstract
Polype ntafluoropropane glycidyl ether (PPFEE), a new random block hydroxyl-terminated polyfluoroether, was synthesized successfully by cationic ring-opening polymerization of 2-(2,2,3,3,3-pentafluoropropoxymethyl) oxirane, and its molecular structure was confirmed by Fourier transform infrared spectroscopy, nuclear magnetic resonance spectrometry, and gel permeation chromatography. The PPFEE-based polyurethane [...] Read more.
Polype ntafluoropropane glycidyl ether (PPFEE), a new random block hydroxyl-terminated polyfluoroether, was synthesized successfully by cationic ring-opening polymerization of 2-(2,2,3,3,3-pentafluoropropoxymethyl) oxirane, and its molecular structure was confirmed by Fourier transform infrared spectroscopy, nuclear magnetic resonance spectrometry, and gel permeation chromatography. The PPFEE-based polyurethane elastomers featuring fluorine in their side chains were prepared using PPFEE as soft segments, polyisocyanate polyaryl polymethylene isocyanate as hard segments, and dibutyltin dilaurate as catalysts under different curing conditions. The microphase separation, mechanical performance, and thermal behavior of the elastomers were investigated by differential scanning calorimetry, uniaxial tensile test, and thermal gravimetric analysis, respectively. Based on the results, the percentage of hard segments dissolved into the soft segments of elastomers was opposite to the change in breaking strength. The PPFEE-based polyurethane elastomer cured with 20 wt% PAPI at the curing temperature of 50 °C displayed the maximum tensile elongation of 2.26 MPa with an elongation at break of nearly 150%. The increased contents of PAPI can effectively strengthen the tensile strength, and the maximum tensile elongation was 3.04 MPa with an elongation at break of nearly 90% when the content of PAPI was 26 wt%. In addition, the PPFEE-based polyurethane elastomers exhibited excellent resistance to thermal decomposition and a sharp weight loss temperature at around 371 °C. All the results demonstrated that the PPFEE may be a potential polymeric binder as one of the ingredients applied to future propellant formulations. Full article
(This article belongs to the Special Issue High-Performance Energetic Polymer Composites)
Show Figures

Figure 1

28 pages, 4823 KB  
Article
Understanding Functional Redundancy and Promiscuity of Multidrug Transporters in E. coli under Lipophilic Cation Stress
by Mohammad S. Radi, Lachlan J. Munro, Jesus E. Salcedo-Sora, Se Hyeuk Kim, Adam M. Feist and Douglas B. Kell
Membranes 2022, 12(12), 1264; https://doi.org/10.3390/membranes12121264 - 14 Dec 2022
Cited by 8 | Viewed by 3168
Abstract
Multidrug transporters (MDTs) are major contributors to microbial drug resistance and are further utilized for improving host phenotypes in biotechnological applications. Therefore, the identification of these MDTs and the understanding of their mechanisms of action in vivo are of great importance. However, their [...] Read more.
Multidrug transporters (MDTs) are major contributors to microbial drug resistance and are further utilized for improving host phenotypes in biotechnological applications. Therefore, the identification of these MDTs and the understanding of their mechanisms of action in vivo are of great importance. However, their promiscuity and functional redundancy represent a major challenge towards their identification. Here, a multistep tolerance adaptive laboratory evolution (TALE) approach was leveraged to achieve this goal. Specifically, a wild-type E. coli K-12-MG1655 and its cognate knockout individual mutants ΔemrE, ΔtolC, and ΔacrB were evolved separately under increasing concentrations of two lipophilic cations, tetraphenylphosphonium (TPP+), and methyltriphenylphosphonium (MTPP+). The evolved strains showed a significant increase in MIC values of both cations and an apparent cross-cation resistance. Sequencing of all evolved mutants highlighted diverse mutational mechanisms that affect the activity of nine MDTs including acrB, mdtK, mdfA, acrE, emrD, tolC, acrA, mdtL, and mdtP. Besides regulatory mutations, several structural mutations were recognized in the proximal binding domain of acrB and the permeation pathways of both mdtK and mdfA. These details can aid in the rational design of MDT inhibitors to efficiently combat efflux-based drug resistance. Additionally, the TALE approach can be scaled to different microbes and molecules of medical and biotechnological relevance. Full article
(This article belongs to the Special Issue Research on Bacterial Cell Membranes)
Show Figures

Graphical abstract

15 pages, 4271 KB  
Article
Controlled Cationic Polymerization of p-Methylstyrene in Ionic Liquid and Its Mechanism
by Xiaoqian Zhang, Shengde Tang, Ming Gao, Chunfeng Sun and Jiasheng Wang
Polymers 2022, 14(15), 3165; https://doi.org/10.3390/polym14153165 - 3 Aug 2022
Cited by 8 | Viewed by 3490
Abstract
Ionic liquid (IL) as a green solvent is entirely composed of ions; thus, it may be more than a simple solvent for ionic polymerization. Here, the cationic polymerization of p-methylstyrene (p-MeSt) initiated by 1-chloro-1-(4-methylphenyl)-ethane (p-MeStCl)/tin tetrachloride (SnCl4 [...] Read more.
Ionic liquid (IL) as a green solvent is entirely composed of ions; thus, it may be more than a simple solvent for ionic polymerization. Here, the cationic polymerization of p-methylstyrene (p-MeSt) initiated by 1-chloro-1-(4-methylphenyl)-ethane (p-MeStCl)/tin tetrachloride (SnCl4) was systematically studied in 1-butyl-3-methylimidazolium bis(trifluoromethanesulfonyl)imide ([Bmim][NTf2]) IL at −25 °C. The results show that IL did not participate in cationic polymerization, but its ionic environment and high polarity were favorable for the polarization of initiator and monomer and facilitate the controllability. The gel permeation chromatography (GPC) trace of the poly(p-methylstyrene) (poly(p-MeSt)) changes from bimodal in dichloromethane (CH2Cl2) to unimodal in IL, and polydispersities Mw/Mn of the polymer in IL showed narrower (1.40–1.59). The reaction rate and heat release rate were milder in IL. The effects of the initiating system, Lewis acid concentration, and 2,6-di-tert-butylpyridine (DTBP) concentration on the polymerization were investigated. The controlled cationic polymerization initiated by p-MeStCl/SnCl4 was obtained. The polymerization mechanism of p-MeSt in [Bmim][NTf2] was also proposed. Full article
(This article belongs to the Special Issue Advances in Cationic Polymerization)
Show Figures

Figure 1

Back to TopTop