Sign in to use this feature.

Years

Between: -

Subjects

remove_circle_outline
remove_circle_outline
remove_circle_outline
remove_circle_outline
remove_circle_outline
remove_circle_outline
remove_circle_outline
remove_circle_outline
remove_circle_outline

Journals

remove_circle_outline
remove_circle_outline
remove_circle_outline
remove_circle_outline
remove_circle_outline
remove_circle_outline

Article Types

Countries / Regions

remove_circle_outline
remove_circle_outline
remove_circle_outline
remove_circle_outline

Search Results (605)

Search Parameters:
Keywords = catalyst bed

Order results
Result details
Results per page
Select all
Export citation of selected articles as:
21 pages, 2951 KB  
Article
Design and Performance of a Two-Stage Fluidized Bed Reactor for Catalytic Pyrolysis of Mixed Plastic Waste
by Piotr Trochimczyk and Krzysztof Krawczyk
Appl. Sci. 2026, 16(5), 2549; https://doi.org/10.3390/app16052549 - 6 Mar 2026
Abstract
With global plastic production creating immense environmental pressure and conventional recycling methods facing limitations, advanced chemical recycling techniques are crucial. This paper presents details of the design, construction, and operation of two fluidized reactors: a laboratory-scale (LS) reactor and a large-scale laboratory reactor [...] Read more.
With global plastic production creating immense environmental pressure and conventional recycling methods facing limitations, advanced chemical recycling techniques are crucial. This paper presents details of the design, construction, and operation of two fluidized reactors: a laboratory-scale (LS) reactor and a large-scale laboratory reactor (LSLR) for the catalytic pyrolysis of mixed plastic waste. A waste stream simulating municipal collection, consisting of polyethylene (PE), polypropylene (PP), polyethylene terephthalate (PET), and polystyrene (PS), was processed using a custom Ni/γ-Al2O3 catalyst and an industrial G-0110 catalyst in a two-stage system. The large-scale reactor demonstrated high efficiency, achieving a 90% yield of valuable pyrolysis oil and waxes, a 2% yield of syngas, and an 8% yield of solid residue containing mainly carbon at operating temperatures between 400 and 453 °C. The resulting liquid and wax fractions contained a rich mixture of aliphatic and aromatic hydrocarbons (such as styrene, indene, benzoic acid, toluene, and cumene), confirming their potential as a feedstock for the chemical industry. These results establish that two-stage catalytic pyrolysis in a fluidized bed reactor is a highly effective and promising technology for upcycling mixed plastic waste into valuable resources. Full article
(This article belongs to the Special Issue Development of Catalytic Systems for Green Chemistry)
12 pages, 2049 KB  
Article
Inverse-Phase CoCe Catalyst with Balanced Hydrogenation and Adsorption Sites for Selective Ring-Opening Hydrogenolysis of 2-Furoic Acid to 5-Hydroxypentanoic Acid and Its Derivatives
by Youning Zhang, Yuxiao Sun, Han Qin, Qianli Ma, Zongwu Zhang, Dan Wu, Chunbao Xu and Yongsheng Zhang
Catalysts 2026, 16(3), 239; https://doi.org/10.3390/catal16030239 - 4 Mar 2026
Viewed by 160
Abstract
The selective transformation of biomass-derived feedstocks into value-added chemicals via targeted C-O bond cleavage remains challenging due to the presence of multiple reducible bonds and typically low catalytic selectivity. Herein, we report a robust non-noble metal CoCe catalyst for the selective ring-opening hydrogenolysis [...] Read more.
The selective transformation of biomass-derived feedstocks into value-added chemicals via targeted C-O bond cleavage remains challenging due to the presence of multiple reducible bonds and typically low catalytic selectivity. Herein, we report a robust non-noble metal CoCe catalyst for the selective ring-opening hydrogenolysis of 2-furoic acid (2-FA), an industrialized biomass-derived platform molecule, to 5-hydroxypentanoic acid (5-HVA) and its derivatives, which have potential applications as fuel additives. The optimized 90CoCe catalyst with inverse phase demonstrates superior catalytic performance, achieving a total yield of more than 85% for 5-HVA and its derivatives under mild reaction conditions (130 °C, 2 MPa H2). Extensive characterizations reveal that the inverse-phase 90CoCe catalyst possesses abundant oxygen vacancies at the Co-CeOx interface, with the formation of Co-Ov-Ce interfacial species. The interfacial Co-Ov-Ce sites serve as specific adsorption centers for the 2-FA molecule, orienting it into a titled adsorption configuration that is highly favorable for the C2-O1 bond cleavage in the furan ring. Meanwhile, adjacent Co0 sites efficiently dissociate hydrogen into active hydrogen species for the hydrogenolysis of the C2-O1 bond to form ring-opening products. The synergistic balance between the hydrogenation Co0 sites and the interfacial Co-Ov-Ce adsorption sites is crucial to the high catalytic activity and selectivity of the CoCe catalyst. Moreover, the 90CoCe catalyst maintains stable catalytic performance during a 40 h continuous test in a fixed-bed reactor, demonstrating its great potential for industrial applications. Full article
(This article belongs to the Section Biomass Catalysis)
Show Figures

Figure 1

20 pages, 2161 KB  
Article
Application of Ozone for Toluene Abatement from Gas Streams in a Sustainable, Low-Temperature Catalytic Oxidation Process
by Piotr Machniewski and Bartosz Białowąs
Sustainability 2026, 18(5), 2482; https://doi.org/10.3390/su18052482 - 4 Mar 2026
Viewed by 121
Abstract
Gas-phase oxidation of volatile organic compounds (VOCs) with the aid of ozone can be an attractive, energy-efficient way of treating exhaust gas streams in a low-temperature process, enabling the sustainable operation of industrial installations in a natural environment. This work is focused on [...] Read more.
Gas-phase oxidation of volatile organic compounds (VOCs) with the aid of ozone can be an attractive, energy-efficient way of treating exhaust gas streams in a low-temperature process, enabling the sustainable operation of industrial installations in a natural environment. This work is focused on the efficiency and kinetics of toluene oxidation with ozone towards CO2 and H2O in the presence of a SiO2-supported cobalt catalyst. A kinetic model is proposed based on a simplified reaction mechanism, with the parameters determined from measurements carried out in a fixed-bed reactor at 40–65 °C under conditions ensuring negligible mass transfer resistance. The proposed model provided satisfactory agreement between the predicted and measured toluene and ozone conversion rates and the formation rate of CO2, as well as in conditions when mass transfer resistance due to internal diffusion in the catalyst pellet was necessary to consider. The discussed results provide an assessment of the space velocity and ozone usage necessary to achieve a given degree of toluene conversion and mineralization to CO2. The proposed model can be used for the design of a sustainable, low-temperature ozone-assisted catalytic process of VOC abatement. Full article
(This article belongs to the Section Pollution Prevention, Mitigation and Sustainability)
Show Figures

Figure 1

11 pages, 5741 KB  
Article
Microstructure and Catalytic Activity of Hierarchical Porous HEA Catalysts Fabricated by 3D Printing/Chemical Dealloying
by Xueteng Zhu, Jili Cai, Chengjian Zhang, Kun Cheng, Jiahao Lu, Huzhe Yu and Chao Cai
Catalysts 2026, 16(3), 235; https://doi.org/10.3390/catal16030235 - 3 Mar 2026
Viewed by 195
Abstract
High-entropy alloys (HEAs) exhibit excellent catalytic activity owing to their unique structure and chemical properties. The construction of hierarchical porous HEA catalysts via laser powder bed fusion (LPBF, a typical 3D printing technology) and dealloying techniques opens new avenues for boosting catalytic performance. [...] Read more.
High-entropy alloys (HEAs) exhibit excellent catalytic activity owing to their unique structure and chemical properties. The construction of hierarchical porous HEA catalysts via laser powder bed fusion (LPBF, a typical 3D printing technology) and dealloying techniques opens new avenues for boosting catalytic performance. This study reports the fabrication of a hierarchical porous FeCoNiCuAl HEA catalyst through a two-step strategy: LPBF and subsequent dealloying. The macroscopic triply periodic minimal surface (TPMS) structure of the HEA catalyst was constructed through LPBF, followed by dealloying to create a nanoporous structure on the catalyst surface. The hierarchical porous FeCoNiCuAl HEA catalyst exhibited a catalytic activity 4.33 times higher than that of the pristine, non-porous FeCoNiCuAl HEA (HEA-0). Furthermore, the catalyst maintained nearly 100% degradation efficiency for Acid Red G (ARG) after 20 consecutive catalytic cycles, demonstrating exceptional stability. This stepwise strategy for constructing hierarchical porous structures not only accelerates mass transfer via the macroporous framework but also significantly increases the density of accessible active sites through the nanoporous surface, thereby synergistically enhancing the catalytic activity of HEAs. This work provides a novel and scalable approach for developing high-performance porous HEA catalysts for wastewater treatment. Full article
Show Figures

Graphical abstract

18 pages, 2185 KB  
Article
CO2 Capture by Hydrotalcite-Derived Sorbents in Pressure Swing Adsorption for Sorption-Enhancing
by Barbara Malsegna, Andrea Di Giuliano, Greta D’Antonio and Katia Gallucci
Clean Technol. 2026, 8(2), 31; https://doi.org/10.3390/cleantechnol8020031 - 2 Mar 2026
Viewed by 119
Abstract
This work investigated hydrotalcite-derived sorbents for CO2 capture at 350 °C, 10 or 14 bar, and 38.5 vol% CO2 in wet or dry gas flow under dynamic Pressure Swing Adsorption (PSA) in a packed-bed laboratory reactor. The chosen conditions enabled a [...] Read more.
This work investigated hydrotalcite-derived sorbents for CO2 capture at 350 °C, 10 or 14 bar, and 38.5 vol% CO2 in wet or dry gas flow under dynamic Pressure Swing Adsorption (PSA) in a packed-bed laboratory reactor. The chosen conditions enabled a preliminary assessment of the suitability of hydrotalcite-derived sorbents for Sorption-Enhanced-Water-Gas-Shift (SEWGS), a promising process for producing pure hydrogen from syngas. Two starting sorbents were considered: derived from commercial hydrotalcite, and from hydrotalcite synthesized by low-supersaturation. Both sorbents were doped with 20 wt% K2CO3. In addition, a hydrotalcite bifunctional catalyst-sorbent for SEWGS was studied. K2CO3-doping and higher pressure significantly improved the CO2-sorption capacity; the highest value (1.51 mmolCO2∙g−1) was measured under wet conditions at 14 bar. The bifunctional material showed good, stable CO2 sorption capacity (1.39 mmolCO2∙gsolid−1 on average out of five PSA cycles under wet conditions at 14 bar). Materials derived from commercial hydrotalcite doped with K2CO3 showed promising performances for future industrial SEWGS applications. Full article
(This article belongs to the Special Issue Green Solvents and Materials for CO2 Capture)
Show Figures

Figure 1

23 pages, 1837 KB  
Article
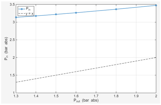
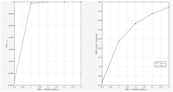
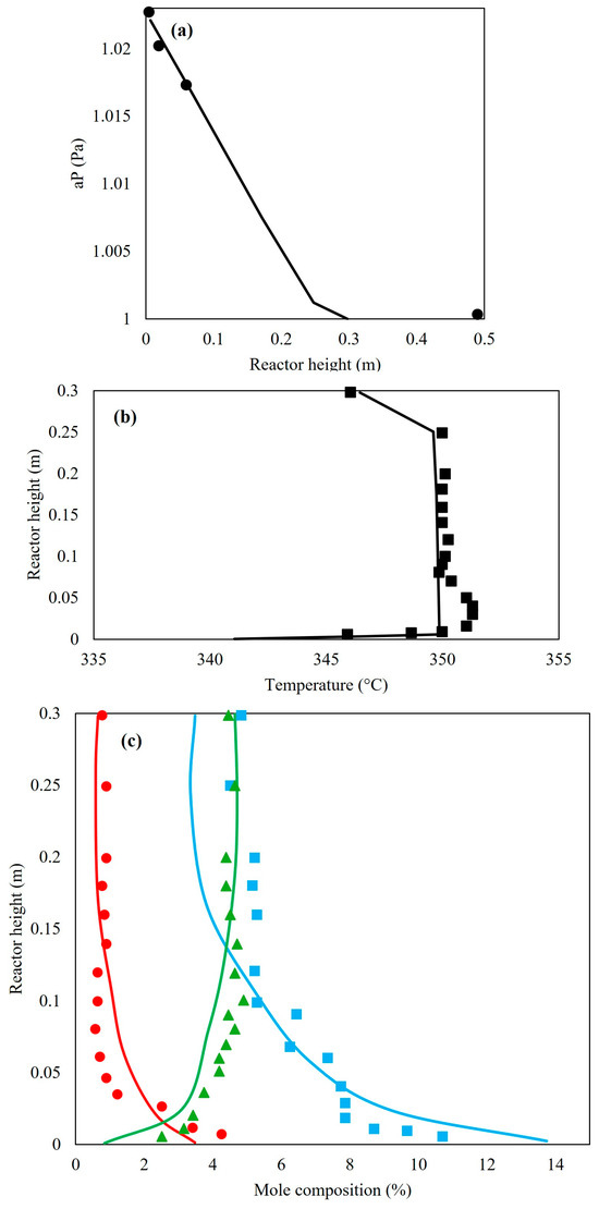
Conceptual Design of a Multitubular Fixed-Bed Reactor for Methanol Ammoxidation to Hydrogen Cyanide over FeMo/SiO2 Using a Mars–van Krevelen Kinetic Model
by Bo Wang and Yuhuan Zhao
Catalysts 2026, 16(3), 210; https://doi.org/10.3390/catal16030210 - 26 Feb 2026
Viewed by 214
Abstract
Methanol ammoxidation over FeMo/SiO2 has emerged as a promising low-temperature route to hydrogen cyanide (HCN). In this work, an eight-parameter Mars–van Krevelen (MvK) kinetic model, previously established from intrinsic fixed-bed experiments, is embedded in a heterogeneous plug-flow description to design an industrial [...] Read more.
Methanol ammoxidation over FeMo/SiO2 has emerged as a promising low-temperature route to hydrogen cyanide (HCN). In this work, an eight-parameter Mars–van Krevelen (MvK) kinetic model, previously established from intrinsic fixed-bed experiments, is embedded in a heterogeneous plug-flow description to design an industrial multitubular reactor with a nominal HCN capacity of 10,000 t∙a−1. The reactor is represented by a bank of isothermal tubes that are operated at 420 °C and a mildly elevated pressure, each packed with spherical FeMo/SiO2 pellets. Detailed simulations for a 30 mm inner tube diameter and 2 mm pellets, including an Ergun pressure drop and intraparticle diffusion with realistic effective diffusivities, show that a 4 m bed at an outlet pressure of 1.5 bar (abs) achieves an essentially complete methanol conversion with a carbon-based HCN yield of ≈0.95 at a space time of ≈160 gcat∙h∙mol−1. Axial effectiveness factors remain above ≈0.6, indicating moderate but manageable diffusion limitations. Comparison with a 35 mm/3 mm geometry reveals a clear trade-off between pressure drop and HCN selectivity. Parametric studies of space time, feed composition and outlet pressure delineate a broad non-flammable operating window with robust HCN yield and moderate compression duty. The results demonstrate how a mechanistic MvK rate expression can be translated into a practical design framework for FeMo-based multitubular HCN reactors. Full article
(This article belongs to the Section Catalytic Reaction Engineering)
Show Figures

Figure 1

34 pages, 13144 KB  
Article
Optimization and Characterization of Bio-Oil from Arthrospira platensis Through a Single-Stage Fixed-Bed Catalytic Pyrolyzer Using Dual Cu-Doped Spent FCC and Fe-Doped Dolomite Catalyst
by Witchakorn Charusiri, Naphat Phowan, Tharapong Vitidsant and Aminta Permpoonwiwat
Sustainability 2026, 18(4), 2002; https://doi.org/10.3390/su18042002 - 15 Feb 2026
Viewed by 256
Abstract
The increasing energy demand and global dependence on conventional fuels have resulted in severe greenhouse gas (GHG) emissions, necessitating the development of sustainable bioenergy alternatives. Algal is recognized as a promising feedstock for the production of fourth-generation biofuels. This study optimizes catalytic pyrolysis [...] Read more.
The increasing energy demand and global dependence on conventional fuels have resulted in severe greenhouse gas (GHG) emissions, necessitating the development of sustainable bioenergy alternatives. Algal is recognized as a promising feedstock for the production of fourth-generation biofuels. This study optimizes catalytic pyrolysis of Arthrospira platensis for bio-oil production via a dual-bed catalyst system of iron-impregnated dolomite (Fe/DM) and a copper-impregnated spent fluid catalytic cracking catalyst (Cu/sFCC). A face-central composite design (FCCD) and response surface methodology (RSM) were used for the delineation of optimal conditions, ensuring that all experimental tests remained within feasible operating conditions of 500–600 °C, a reaction time of 45–75 min, a N2 flow rate of 50–200 mL/min, and a catalyst loading of 5–20 wt%. The bio-oil yield was maximized at 39.73 ± 2.86 wt% at 500 °C for 45 min, a N2 flow of 50 mL/min, and 5 wt% catalyst loading to feedstock with a 0.4:0.6 mass ratio of Fe/DM: Cu/sFCC. The dual-catalysts combined Brønsted and Lewis acid sites enhanced the catalytic activity, which promotes the cleavage of carbon–carbon and carbon–hydrogen bonds, including the mechanism of catalytic pathways such as dehydration, decarboxylation, oligomerization, aromatization, and further cracking reactions, and was successful in converting high-molecular-weight molecules into lighter hydrocarbons and significantly improving product selectivity, demonstrating a highly effective pathway for producing high-quality sustainable biofuel. Full article
(This article belongs to the Special Issue Utilization of Biomass: Energy, Catalysts, and Applications)
Show Figures

Figure 1

44 pages, 5283 KB  
Review
A Comprehensive Analysis of Reactor Modeling Studies for the Methanation of Carbon Oxides
by Juan José Ríos, Jorge Ancheyta, Angeles Mantilla, Andrey Elyshev and Andrey Zagoruiko
Processes 2026, 14(4), 659; https://doi.org/10.3390/pr14040659 - 14 Feb 2026
Viewed by 270
Abstract
This work presents a comprehensive analysis of reactor modeling studies for the methanation of COx, with the aim of identifying trends, evaluating modeling strategies, and suggesting a generalized modeling framework. The analysis spans a wide range of configurations, including packed/fixed-bed reactors [...] Read more.
This work presents a comprehensive analysis of reactor modeling studies for the methanation of COx, with the aim of identifying trends, evaluating modeling strategies, and suggesting a generalized modeling framework. The analysis spans a wide range of configurations, including packed/fixed-bed reactors (immobilized catalyst pellets/particles), fluidized-bed reactors, and structured catalyst reactors, as well as membrane and slurry/bubble-column configurations when applicable. This highlights the diversity of modeling approaches used, ranging from simple 1D pseudo-homogeneous models to complex 2D heterogeneous simulations. Emphasis is placed on the governing assumptions, dimensional formulations, transport phenomena, and kinetic models employed across studies. By systematically comparing these models, this work identifies the most critical modeling assumptions and parameters that govern the prediction reliability of reactor performance (e.g., conversion and temperature profiles) and inform reactor design. The proposed reactor model integrates insights from the literature, balancing model fidelity and computational feasibility, and serves as a foundational tool for future modeling efforts and industrial applications. This work contributes to the field by offering a unified perspective that links model complexity to physical realism, providing valuable guidance in the development of predictive tools for COx methanation systems. Full article
(This article belongs to the Section Chemical Processes and Systems)
Show Figures

Figure 1

21 pages, 2881 KB  
Article
Synergistic Induction Heating in a Fluidized Bed for Dry Reforming of Methane: A Pathway to Enhanced CO2 Utilization
by Kaiqing Gao and Dennis Lu
Energies 2026, 19(4), 1011; https://doi.org/10.3390/en19041011 - 14 Feb 2026
Viewed by 170
Abstract
This study pioneers the application of an induction heating fluidized bed (IH-FB) to dry methane reforming (DRM), establishing an efficient novel process for CO2 utilization. Synergistic induction heating is achieved by utilizing eddy-current loss heating in a carbon steel rod for indirect [...] Read more.
This study pioneers the application of an induction heating fluidized bed (IH-FB) to dry methane reforming (DRM), establishing an efficient novel process for CO2 utilization. Synergistic induction heating is achieved by utilizing eddy-current loss heating in a carbon steel rod for indirect heat transfer to particles and gases, coupled with hysteresis loss heating in magnetic Ni- and Co-based catalyst bed materials for direct induction heating. The system achieved an overall bed heating rate of 200 °C/min under fluidized conditions. DRM tests show that the IH-FB initiates catalytic reactions at a relatively low temperature of 400 °C, converting CH4 and CO2 into syngas (CO and H2). Co-based catalysts exhibited higher feedstock conversion and enhanced stability compared to Ni-based catalysts owing to their greater hysteresis heating capacity and broader ferromagnetic temperature range, achieving 89.69% CH4 and 83.37% CO2 conversions at 700 °C. Throughout the tested temperature range (400–700 °C), the IH-FB outperformed the resistance heating fluidized bed (RH-FB) in feedstock conversion, primarily due to its rapid thermal response, particle self-heating, and enhanced heat and mass transfer advantages from fluidization. At equivalent target conversion rates, the IH-FB significantly reduced the operating temperature compared to the RH-FB, demonstrating superior energy-saving benefits. This study demonstrated a promising route for efficient CO2 utilization via DRM. Full article
Show Figures

Figure 1

23 pages, 5273 KB  
Article
Adaptive Integral Sliding Mode Control for Temperature Regulation in Gas-Phase Ethylene Polymerization Fluidized Bed Reactors
by Nayef Ghasem
Polymers 2026, 18(4), 460; https://doi.org/10.3390/polym18040460 - 11 Feb 2026
Viewed by 333
Abstract
Temperature regulation of gas-phase ethylene polymerization fluidized bed reactors (FBRs) is challenging due to strong nonlinearities, highly exothermic reaction kinetics, and frequent process disturbances. Conventional Proportional–Integral–Derivative (PID) control often exhibits limited robustness under such conditions, while advanced strategies such as Nonlinear Model Predictive [...] Read more.
Temperature regulation of gas-phase ethylene polymerization fluidized bed reactors (FBRs) is challenging due to strong nonlinearities, highly exothermic reaction kinetics, and frequent process disturbances. Conventional Proportional–Integral–Derivative (PID) control often exhibits limited robustness under such conditions, while advanced strategies such as Nonlinear Model Predictive Control (NMPC) may suffer from sensitivity to model mismatch and disturbances. In this study, an Adaptive Integral Sliding Mode Control (AISMC) strategy is proposed for temperature control of nonlinear gas-phase FBRs. The controller integrates adaptive gain adjustment with an integral sliding surface to improve disturbance rejection and steady-state accuracy while mitigating chattering. The performance of the proposed approach is evaluated through closed-loop simulations over an 18 h dynamic operating scenario involving multiple setpoint changes, catalyst activity variations, and feed flow disturbances. Simulation results demonstrate that AISMC achieves the best overall tracking performance, with a mean absolute error (MAE) of 0.092 K and the lowest maximum temperature deviation among the evaluated controllers. Compared to PID (MAE = 0.794 K) and conventional sliding mode control (MAE = 0.179 K), AISMC provides substantial improvements in transient and steady-state behaviors. In contrast, NMPC exhibits degraded tracking performance (MAE = 0.809 K) under the considered disturbance conditions. All controllers demonstrate sub-millisecond execution times; however, AISMC attains superior accuracy without excessive computational cost. These results indicate that AISMC offers an effective balance between robustness, accuracy, and real-time feasibility for industrial gas-phase polymerization reactors. Full article
(This article belongs to the Section Polymer Physics and Theory)
Show Figures

Graphical abstract

13 pages, 748 KB  
Article
Valorization of Algerian Tomato and Hot Pepper Wastes Through Gasification in a Bubbling Fluidized Bed Reactor and Energy Production
by Nazim M. Bellal, Ouacil Saouli, Massimo Urciuolo, Giovanna Ruoppolo, Anna Basco, Renata Migliaccio, Biagio Ciccone and Fabrizio Scala
Biomass 2026, 6(1), 16; https://doi.org/10.3390/biomass6010016 - 6 Feb 2026
Viewed by 273
Abstract
This study investigates the potential of tomato waste (TW) and hot pepper waste (HPW) biomass from local food industries in Algeria as sustainable feedstocks for fluidized-bed air gasification. Conversion efficiency, syngas composition and energy content were evaluated under different operating conditions, including gasification [...] Read more.
This study investigates the potential of tomato waste (TW) and hot pepper waste (HPW) biomass from local food industries in Algeria as sustainable feedstocks for fluidized-bed air gasification. Conversion efficiency, syngas composition and energy content were evaluated under different operating conditions, including gasification temperature (750 and 850 °C) and bed material (silica sand, olivine, and a ZSM-5 zeolite catalyst/silica sand mixture). The results demonstrate that gasification of these biomasses in a bubbling fluidized-bed reactor is an effective waste-valorization route, producing a syngas rich in hydrogen and methane, suitable for power generation and biofuel applications. Under all operating conditions, hot pepper waste generated a syngas with higher energy content than tomato pomace. Full article
Show Figures

Figure 1

22 pages, 4948 KB  
Article
CO2 Hydrogenation to Methanol over Novel Melamine-Based Polyaminal Porous Polymer Coordinated to Cu-Based Catalyst
by Laila S. A. Ali, Ahmad Abo Markeb, Javier Moral-Vico, Xavier Font and Adriana Artola
Catalysts 2026, 16(2), 170; https://doi.org/10.3390/catal16020170 - 5 Feb 2026
Viewed by 591
Abstract
The catalytic conversion of carbon dioxide to methanol is significantly important both practically and scientifically for the reduction in CO2 emissions. Furthermore, it can partially address the issue of human reliance on non-renewable resources. The main motivation of this study is to [...] Read more.
The catalytic conversion of carbon dioxide to methanol is significantly important both practically and scientifically for the reduction in CO2 emissions. Furthermore, it can partially address the issue of human reliance on non-renewable resources. The main motivation of this study is to use a melamine polymer network to support a copper-based catalyst for CO2 hydrogenation to methanol. Based on Schiff base chemistry, a facile catalyst-free process, a novel porous polyaminal polymer (MGPN) was prepared with nitrogen contents as high as 38%. MGPN was used as a support for Cu-based catalyst and applied in CO2 hydrogenation to CH3OH under mild conditions. A deep characterization of the MGPN@CuO/ZnO/Al2O3 catalyst was made through FTIR, N2 adsorption–desorption, SEM-EDS, TEM, TGA, XRD, CO2-TPD, and H2-TPR techniques. The CO2 hydrogenation study was performed in a fixed bed reactor with a residence time of 1.104 s on varying parameters such as the metal loading, catalyst amount, flow rate, pressure, calcination temperatures, reduction temperatures, and catalytic reaction temperature profile. The space-time yield (STY) of 145.43 mgmethanol·gcatalyst−1·h−1, a selectivity of 98.36%, and CO2 conversion of 11.76% were obtained under an economically and energetically sustainable low-pressure (1 MPa) and 260 °C hydrogenation process. Full article
(This article belongs to the Special Issue High-Performance Nanocatalysts for Energy Conversion)
Show Figures

Figure 1

18 pages, 2516 KB  
Article
Isomerization Behavior Comparison of Single Hydrocarbon and Mixed Light Hydrocarbons over Super-Solid Acid Catalyst Pt/SO42−/ZrO2/Al2O3
by Yueqin Song, Ziyuan Peng, Lei Huang, Lifang Chen and Xiaolong Zhou
Catalysts 2026, 16(2), 164; https://doi.org/10.3390/catal16020164 - 3 Feb 2026
Viewed by 473
Abstract
The hydroisomerization reaction of light alkanes was used to improve their octane value. Industrial light alkane feeds usually contain a certain amount of cycloalkanes and aromatics (known as hydrocarbon impurities). In this study, the influence of hydrocarbon impurities on the isomerization activity of [...] Read more.
The hydroisomerization reaction of light alkanes was used to improve their octane value. Industrial light alkane feeds usually contain a certain amount of cycloalkanes and aromatics (known as hydrocarbon impurities). In this study, the influence of hydrocarbon impurities on the isomerization activity of n-alkanes over Pt/SO42−/ZrO2/Al2O3 (PSZA) was investigated in a continuous flow fixed-bed reactor, TPSR, and pulse reactor. The reason for the influence of hydrocarbon impurities on the isomerization activity of n-alkanes was also discussed by using in situ adsorption–desorption and temperature-programmed reactions. The catalyst was characterized by XRD, PyIR, N2 adsorption–desorption, TEM, and XRF. The results showed that the prepared catalyst contained mainly tetragonal zirconia and possessed a large amount of strong B and L acid sites. A certain amount of hydrocarbon impurities obviously inhibited the isomerization conversion of n-alkanes. The extent of the inhibition was very dependent on the kind of hydrocarbon impurities, n-alkane carbon number, and reaction temperature. Lighter n-alkane isomerization conversion was influenced to a greater extent. And the increase of reaction temperature could weaken its inhibitory effect. The results provided a reference and base for the industrial application of light alkane hydroisomerization over PSZA. Full article
(This article belongs to the Special Issue Exploring Acid–Catalyzed Processes: Strategies and Applications)
Show Figures

Figure 1

19 pages, 4096 KB  
Article
Kinetics of Propene Oxidation to Acrolein over Bismuth Molybdates
by Tomislav Penović, Vesna Tomašić, Aleksandra Sander, Stanislav Kurajica and Zoran Gomzi
ChemEngineering 2026, 10(2), 22; https://doi.org/10.3390/chemengineering10020022 - 2 Feb 2026
Viewed by 370
Abstract
The conversion of alkanes/alkenes into useful intermediates is highly important in the chemical industry. In this study, the physicochemical properties and catalytically active forms of bismuth molybdates (BiMo) were investigated using the selective oxidation of propene to acrolein as a model reaction. The [...] Read more.
The conversion of alkanes/alkenes into useful intermediates is highly important in the chemical industry. In this study, the physicochemical properties and catalytically active forms of bismuth molybdates (BiMo) were investigated using the selective oxidation of propene to acrolein as a model reaction. The catalysts were prepared by two methods, coprecipitation and spray-drying, with emphasis on spray-drying. The catalysts were characterized using X-ray diffraction, N2 adsorption/desorption isotherms, scanning electron microscopy, and energy-dispersive X-ray spectroscopy. The catalytic properties of the BiMo samples were studied in a conventional fixed-bed reactor operated under different reaction conditions. The one-dimensional (1D) pseudohomogeneous model was applied to describe the obtained experimental results. The experimental kinetic data were correlated with two complex kinetic models based on multiple reactions (parallel and serial reaction systems). The proposed models were verified by comparing computer simulation data with experimental laboratory results. This study aimed to extend the understanding of the relationship between catalyst composition/structure and catalyst activity/selectivity for different BiMo structures, and to propose kinetic models using two approaches based on parallel and series reactions, in line with efforts to improve the valorization of light olefins. Full article
Show Figures

Figure 1

22 pages, 1503 KB  
Review
Catalyst Loading Technology for Fixed-Bed Reactors: From Empirical Heuristics to Data-Driven Intelligent Regulation
by Zhiqiang Xu, Wenming Liu, Hongmei Yin and Xuedong Liu
Catalysts 2026, 16(2), 123; https://doi.org/10.3390/catal16020123 - 28 Jan 2026
Cited by 1 | Viewed by 626
Abstract
Fixed-bed reactors are pivotal in chemical industries, where catalyst loading critically determines reactor performance and economy. This critical review delineates and analyzes a three-stage evolution of loading technology: from empirical manual methods, through scenario-adaptive innovations, to closed-loop intelligent systems. It aims to decode [...] Read more.
Fixed-bed reactors are pivotal in chemical industries, where catalyst loading critically determines reactor performance and economy. This critical review delineates and analyzes a three-stage evolution of loading technology: from empirical manual methods, through scenario-adaptive innovations, to closed-loop intelligent systems. It aims to decode the underlying scientific principles, assess the performance enhancements and inherent limitations of each stage, and critically examine the architectural framework and constraints of intelligent loading systems. Industrial validation data, such as from a 2.4 Mt/a hydrocracker, demonstrate potential improvements (e.g., 20–22% catalyst life extension, 1.8% bed pressure-drop fluctuation). However, the progression presents complex trade-offs in terms of scalability, cost, and standardization. The future direction is discussed, pointing toward addressing challenges in multi-physics modeling, digital twin integration, and fundamental research gaps. This work provides a balanced framework for evaluating loading technology evolution, acknowledging its context-dependent applicability. Full article
(This article belongs to the Section Catalytic Reaction Engineering)
Show Figures

Figure 1

Back to TopTop