Optimization and Characterization of Bio-Oil from Arthrospira platensis Through a Single-Stage Fixed-Bed Catalytic Pyrolyzer Using Dual Cu-Doped Spent FCC and Fe-Doped Dolomite Catalyst
Abstract
1. Introduction
2. Materials and Methods
2.1. Raw Material
2.2. Catalyst Preparation and Characterization
2.3. Pyrolysis Reaction
2.4. A 2-Level Factorial Design and Response Surface Methodology
| Parameters | −1 | 0 | 1 |
|---|---|---|---|
| A: temperature (°C) | 500 | 550 | 600 |
| B: reaction time (min) | 45 | 60 | 75 |
| C: N2 flow rate (mL/min) | 50 | 125 | 200 |
| D: catalyst to feedstock ratio (wt.%) | 5 | 12.5 | 20 |
2.5. Synergistic Study of the Dual-Catalyst
3. Results and Discussion
3.1. Feedstock and Catalyst Characterization
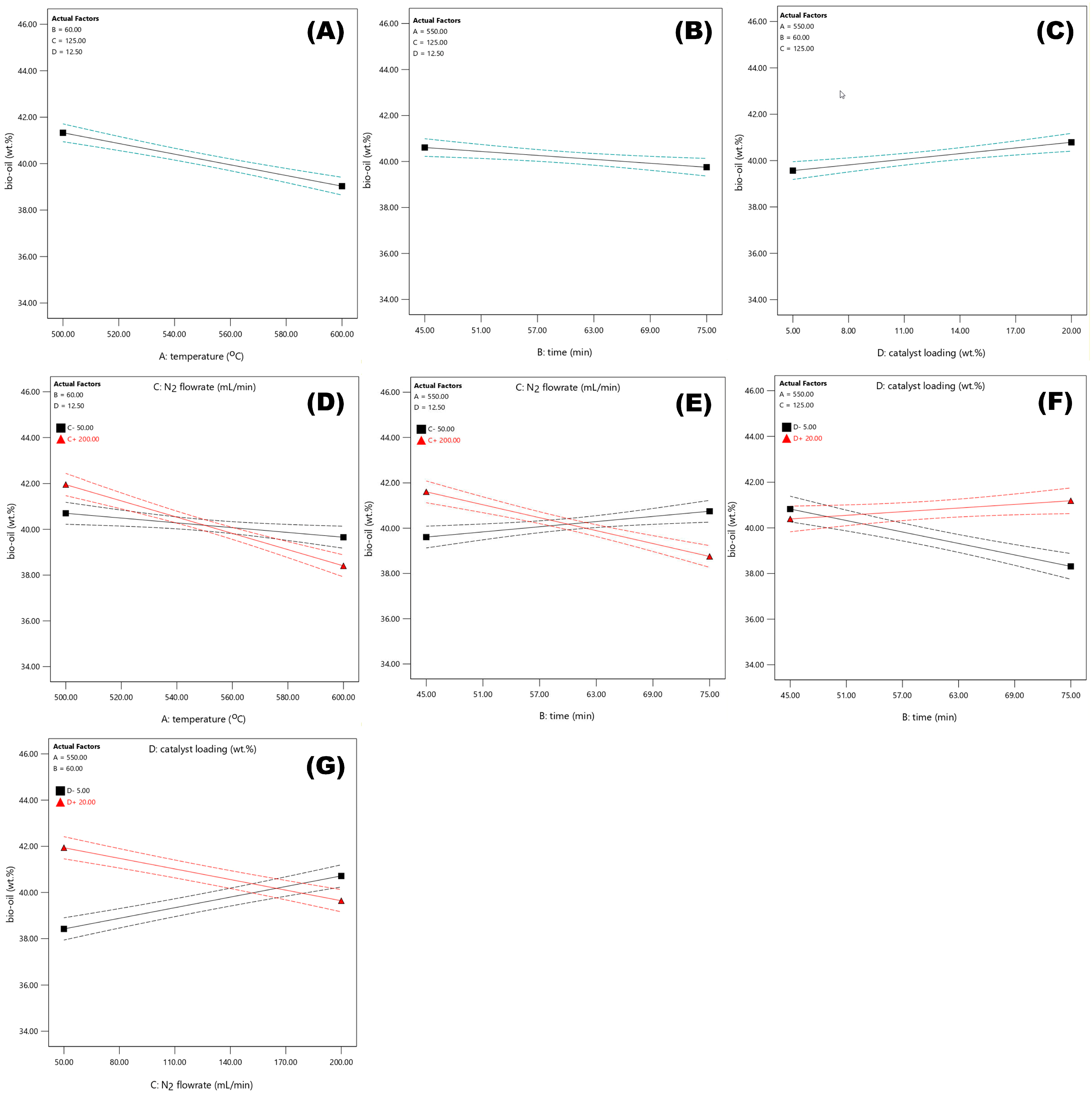
3.2. A 2-Level Factorial Experimental Design
− 1.15CD − 0.77ABC − 0.79ABD + 0.46ACD − 1.29BCD
3.3. Response Surface Methodology
3.4. Synergistic Study
3.5. Characterization of Bio-Oil and Its Physiochemical Analyses
4. Conclusions
Author Contributions
Funding
Institutional Review Board Statement
Informed Consent Statement
Data Availability Statement
Conflicts of Interest
References
- Al-Mueed, M.M.; Ali, M.H. Pyrolysis of mango seeds in a fixed-bed reactor for production of bio-oil as an alternative fuel. Results Eng. 2025, 28, 108075. [Google Scholar] [CrossRef]
- Acharjee, S.A.; Bharali, P.; Ramachandran, D.; Kanagasabai, V.; Hazarika, S.; Dutta, N.; Mahalakshmi, B.; Manivannan, J. Bio-fabrication of biodegradable polyhydroxybutyrate/polycaprolactone based sorbent: A net zero-waste approach for sustainable management of intricate hydrophobic pollutants. Int. J. Biol. Macromol. 2025, 320, 145825. [Google Scholar] [CrossRef] [PubMed]
- Zhu, S.; Preuss, N.; You, F. Advancing sustainable development goals with machine learning and optimization for wet waste biomass to renewable energy conversion. J. Clean. Prod. 2023, 422, 138606. [Google Scholar] [CrossRef]
- Segers, B.; Nimmegeers, P.; Spiller, M.; Tofani, G.; Jasiukaitytė-Grojzdek, E.; Dace, E.; Kikas, T.; Marchetti, J.M.; Rajić, M.; Yildiz, G.; et al. Lignocellulosic biomass valorisation: A review of feedstocks, processes and potential value chains and their implications for the decision-making process. RSC Sustain. 2024, 2, 3730–3749. [Google Scholar] [CrossRef]
- Abdulqader, M.A.; Mohammed, M.M.; Saeed, L.I.; Habeeb, O.A. Co-pyrolysis of oily sludge and algal biomass. J. Environ. Manage. 2025, 394, 127617. [Google Scholar] [CrossRef]
- Goria, K.; Singh, H.M.; Singh, A.; Kothari, R.; Tyagi, V.V. Insights into biohydrogen production from algal biomass: Challenges, recent advancements and future directions. Int. J. Hydrogen Energy 2024, 52, 127–151. [Google Scholar] [CrossRef]
- Kumar, A.; Jamro, I.A.; Rong, H.; Kumari, L.; Laghari, A.A.; Cui, B.; Aborisade, M.A.; Oba, B.T.; Nkinahamira, F.; Ndagijimana, P.; et al. Assessing Bioenergy Prospects of Algal Biomass and Yard Waste Using an Integrated Hydrothermal Carbonization and Pyrolysis (HTC–PY): A Detailed Emission–to–Ash Characterization via Diverse Hyphenated Analytical Techniques and Modelling Strategies. Chem. Eng. J. 2024, 492, 152335. [Google Scholar] [CrossRef]
- Vellaiyan, S. Unlocking the potential of Spirulina microalgae: Cultivating in wastewater treatment for sustainable biofuel production. Sustain. Chem. Pharm. 2024, 41, 101705. [Google Scholar] [CrossRef]
- Jha, S.; Pattnaik, F.; Nanda, S.; Zapata, O.; Acharya, B.; Dalai, A.K. Investigations of thermal effects during pyrolysis of agro-forestry biomass and physicochemical characterizations of biofuel products. Biocatal. Agric. Biotechnol. 2024, 61, 103379. [Google Scholar] [CrossRef]
- Alam, S.N.; Singh, B.; Guldhe, A.; Raghuvanshi, S.; Sangwan, K.S. Sustainable valorization of macroalgae residual biomass, optimization of pyrolysis parameters and life cycle assessment. Sci. Total Environ. 2024, 919, 170797. [Google Scholar] [CrossRef]
- Tao, J.; Liu, Y.; Kumar, A.; Chen, G.; Sun, Y.; Li, J.; Guo, W.; Cheng, Z.; Yan, B. Effect of Landfilling Time on Physico-Chemical Properties of Combustible Fractions in Excavated Waste. Sci. Total Environ. 2024, 917, 170371. [Google Scholar] [CrossRef] [PubMed]
- Li, G.; Wang, Z.; Zuo, L.; Zhang, T.; Xiao, W.; Yang, T.; Tursunov, O.; Zhao, N.; Zhou, Y. Regulating phenol tar in pyrolysis of lignocellulosic biomass: Product characteristics and conversion mechanisms. Bioresour. Technol. 2024, 409, 131259. [Google Scholar] [CrossRef] [PubMed]
- Hosseini, M.-S.; Masteri-Farahani, M. Incorporation of one or dual Brønsted acidic sites within the mesopores of MCM-41: Synthesis and catalytic activity in acetalization reaction. J. Phys. Chem. Solids 2021, 157, 110220. [Google Scholar] [CrossRef]
- Wang, Y.; Wang, C.-H. Sustainable production of carbon nanotubes from plastic pyrolysis using Ni- and Fe-biochar catalysts synthesized via hydrothermal treatment. Appl. Catal. B Environ. Energy 2025, 373, 125340. [Google Scholar] [CrossRef]
- Jindal, M.; Uniyal, P.; Bhaskar, T. Reductive catalytic upgradation of bio-oil obtained through pyrolysis and RCF processes: A comparative study. Biomass Conv. Bioref. 2025, 15, 30657–30665. [Google Scholar] [CrossRef]
- Vasudev, V.; Tahir, M.H.; Ali, A.; Belaadi, A.; Chai, B.X.; Ghernaout, D. Catalytic pyrolysis of tea waste biomass: Enhancing sustainable phenols and (H2 + CO) production using a coke-resistant Fe-ZnO/Char catalyst. Ind. Crops Prod. 2025, 238, 122361. [Google Scholar] [CrossRef]
- Zhou, X.; Zhang, Z. Metal organic frameworks catalytic co-pyrolysis mechanism of waste wood and rubber for oil preparation. J. Energy Inst. 2025, 123, 102285. [Google Scholar] [CrossRef]
- Bhurse, R.; Gautam, N.; Singh, N.; Chaurasia, A. Study on Catalytic Pyrolysis of Rice Straw for Bio-oil Production. BioEnergy Res. 2025, 18, 49. [Google Scholar] [CrossRef]
- Shamsuddin, M.R.; Asikin-Mijan, N.; Marliza, T.S.; Miyamoto, M.; Uemiya, S.; Yarmo, M.A.; Taufiq-Yap, Y.H. Promoting dry reforming of methane via bifunctional NiO/dolomite catalysts for production of hydrogen-rich syngas. RSC Adv. 2021, 11, 6667–6681. [Google Scholar] [CrossRef]
- Muhammad, R.; Ali, Y.; Messaddeq, Y.; ur Rashid, H.; Martines, M.A.U.; Umar, M.N.; Khan, S.W.; Riaz, A. Conditions optimization and physiochemical analysis of oil obtained by catalytic pyrolysis of scrap tube rubber using MgO as catalyst. Catalysts 2021, 11, 357. [Google Scholar] [CrossRef]
- Mysore Prabhakara, H.; Bramer, E.A.; Brem, G. Biomass fast pyrolysis vapor upgrading over γ-Alumina, hydrotalcite, dolomite and effect of Na2CO3 loading: A pyro-probe-GC/MS study. Energies 2021, 14, 5397. [Google Scholar] [CrossRef]
- Fernandez, E.; Santamaria, L.; Artetxe, M.; Amutio, M.; Arregi, A.; Lopez, G.; Bilbao, J.; Olazar, M. In-line upgrading of biomass fast pyrolysis products using low-cost catalysts. Fuel 2021, 296, 120682. [Google Scholar] [CrossRef]
- Xia, S.; Wang, C.; Chen, Y.; Kang, S.; Zhao, K.; Zheng, A.; Zhao, Z.; Li, H. Sustainable aromatic production from catalytic fast pyrolysis of 2-Methylfuran over metal-modified ZSM-5. Catalysts 2022, 12, 1483. [Google Scholar] [CrossRef]
- Liu, J.; Xue, X.; Wu, L.; Liang, J. Production of bio-oils from the catalytic pyrolysis of neem sawdust: Comparative study of versatile zeolite parameters. Fuel Process. Technol. 2023, 247, 107808. [Google Scholar] [CrossRef]
- Mousavi, S.; Saeedi Dehaghani, S.A.H.; Seyed, A.H. Optimization of high-octane gasoline production from waste plastic via catalytic pyrolysis using nano zeolite: Effects of temperature, catalyst loading, and crystallinity. J. Environ. Chem. Eng. 2025, 13, 119364. [Google Scholar] [CrossRef]
- Charusiri, W.; Phowan, N.; Permpoonwiwat, A.; Vitidsant, T. Catalytic copyrolysis of used waste plastic and lubricating oil using Cu-modification of a spent fluid catalytic cracking catalyst for diesel-like fuel production. ACS Omega 2023, 8, 40785–40800. [Google Scholar] [CrossRef]
- Chaihad, N.; Anniwaer, A.; Az Zahra, A.C.; Kasai, Y.; Reubroycharoen, P.; Kusakabe, K.; Abudula, A.; Guan, G. In-Situ catalytic upgrading of bio-oil from rapid pyrolysis of biomass over hollow HZSM-5 with mesoporous shell. Bioresour. Technol. 2021, 341, 125874. [Google Scholar] [CrossRef]
- Li, J.; Sun, L.; Hua, D.; Lu, X.; Yang, D.; Wu, Z. Catalytic pyrolysis of cellulose biomass to aromatic Hydrocarbons using modified HZSM-5 zeolite. Nanomaterials 2025, 15, 751. [Google Scholar] [CrossRef]
- Iliopoulou, E.F.; Pachatouridou, E.; Marianou, A.A.; Michailof, C.; Kalogiannis, K.K.; Lappas, A.A. Catalytic pyrolysis of olive mill wastes towards advanced bio-fuels and bio-chemicals using metal oxide catalysts. Catal. Today 2023, 420, 114151. [Google Scholar] [CrossRef]
- Arjharnwong, O.; Vitidsant, T.; Permpoonwiwat, A.; Phowan, N.; Charusiri, W. Optimization of kerosene-like fuels produced via catalytic pyrolysis of packaging plastic waste via central composite design and response surface methodology: Performance of iron-doped dolomite and activated carbon. Molecules 2025, 30, 2884. [Google Scholar] [CrossRef]
- Iisa, K.; Kim, Y.; Orton, K.A.; Robichaud, D.J.; Katahira, R.; Watson, M.J.; Wegener, E.C.; Nimlos, M.R.; Schaidle, J.A.; Mukarakate, C.; et al. Ga/ZSM-5 catalyst improves hydrocarbon yields and increases alkene selectivity during catalytic fast pyrolysis of biomass with co-fed hydrogen. Green Chem. 2020, 22, 2403–2418. [Google Scholar] [CrossRef]
- Charusiri, W.; Phowan, P.; Vitidsant, T. Catalytic copyrolysis of sugarcane leaves and low-density polyethylene waste to produce bio-oil and chemicals using copper-doped HZSM-35. Energy Fuels 2022, 36, 2639–2655. [Google Scholar] [CrossRef]
- Hasan, M.M.; Rasul, M.G.; Jahirul, M.I.; Khan, M.M.K. Fast pyrolysis of macadamia nutshell in an auger reactor: Process optimization using response surface methodology (RSM) and oil characterization. Fuel 2023, 333, 126490. [Google Scholar] [CrossRef]
- Okokpujie, I.P.; Onokwai, A.O.; Onokpite, E.; Babaremu, K.; Ajisegiri, E.S.A.; Osueke, C.O.; Akinlabi, S.A.; Akinlabi, E.T. Modelling and optimisation of intermediate pyrolysis synthesis of bio-oil production from palm kernel shell. Clean. Eng. Technol. 2023, 16, 100672. [Google Scholar] [CrossRef]
- Farooq, M.Z.; Yu, H.; Lin, F.; Rajput, M.I.; Kumar, A.; Chen, G. Kinetic Insights and Pollution Mitigation in Waste Tire Pyrolysis: Targeting Sulfur, Nitrogen, and PAHs Emissions. J. Anal. Appl. Pyrolysis 2024, 181, 106626. [Google Scholar] [CrossRef]
- Álvarez-Chávez, B.J.; Godbout, S.; Le Roux, É.; Palacios, J.H.; Raghavan, V. Bio-oil yield and quality enhancement through fast pyrolysis and fractional condensation concepts. Biofuel Res. J. 2019, 6, 1054–1064. [Google Scholar] [CrossRef]
- Marquez-Negro, A.; Alejandro-Martín, S.; Arteaga-Pérez, L.E.; Ortiz, I.; Sanchez-Hervas, J.M. Valorization of municipal solid wastes via pyrolysis and hydropyrolysis: Unveiling the role of natural zeolites as catalysts and supports for Ni and Cu. J. Environ. Chem. Eng. 2024, 12, 114859. [Google Scholar] [CrossRef]
- Ore, O.T.; Adebiyi, F.M. Process lmodelling of waste tyre pyrolysis for gas production using response surface methodology. Unconv. Resour. 2024, 4, 100080. [Google Scholar] [CrossRef]
- Ferreira, G.F.; Hayward, J.S.; Nelson, M.; Slocombe, D.R.; Bartley, J.K. Optimised pyrolysis strategies for energy-dense bio-oil from Chlorella sp. Bioresour. Technol. 2026, 411, 133628. [Google Scholar] [CrossRef]
- Pattnaik, F.; Dhalsamant, K.; Nanda, S.; Dalai, A.K. Catalytic hydrothermal liquefaction of wheat straw and chemical profiling of bio-crude oil. Biomass Bioenergy 2025, 194, 107643. [Google Scholar] [CrossRef]
- Chua, H.S.; Langeswaran, D.; How, H.G.; Goh, T.T.; Tan, K.T.; Wong, L.-P.; Bashir, M.J.K. Sustainable bio-oil production from municipal solid waste: Optimising pyrolysis parameters for superior yield and quality. Results Eng. 2025, 26, 105445. [Google Scholar] [CrossRef]
- Mustapha, S.I.; Isa, Y.M. Catalytic co-pyrolysis of sewage sludge and softwood using CuO/CoO/CeO2/HZSM-5 hybrid catalysts: Influence of catalyst synthesis techniques on bio-oil product yields and quality. J. Environ. Chem. Eng. 2025, 13, 119621. [Google Scholar] [CrossRef]
- Hatefirad, P.; Hosseini, M.; Tavasoli, A. Effect of Fe/Cu catalysts supported on zeolite/active carbon hybrid on bio-oil quality derived from catalytic pyrolysis of granular bacteria biomass. Fuel 2022, 312, 122870. [Google Scholar] [CrossRef]
- Zhang, H.; Wu, G.; Liu, Q.; Liu, Z.; Yang, Q.; Cui, Q.; Bao, X.; Yuan, P. Bifunctional Cu-incorporated carbon nanospheres via in-situ complexation strategy as efficient toluene adsorbents and antibacterial agents. Chemosphere 2024, 349, 140876. [Google Scholar] [CrossRef]
- Hu, H.; Gao, M.; Wang, T.; Jiang, L. Efficient uranium adsorption and mineralization recycle by nano-MgO biochar with super-hydrophilic surface. J. Environ. Chem. Eng. 2023, 11, 110542. [Google Scholar] [CrossRef]
- Vo, T.A.; Kim, J.; Hwang, H.T.; Kim, S.-S. Fast pyrolysis of cashew nut shells in a bubbling fluidized bed reactor for producing high-heating value bio-oil using dolomite as a catalyst and carbon capture sorbent. Fuel 2024, 364, 131024. [Google Scholar] [CrossRef]
- Balaghi Inaloo, E.; Saidi, M. Catalytic pyrolysis of olive pomace for biofuel production: Application of metal oxide-modified zeolite catalysts. Biomass Bioenergy 2023, 177, 106947. [Google Scholar] [CrossRef]
- Deng, G.-z.; Tang, X.-d.; Li, J.-j.; Ma, X.-j.; Yang, Z. Impact of HZSM-5 supported Fe, Ni, and Mo catalysts on microcrystalline cellulose liquefied bio-oil composition. J. Anal. Appl. Pyrolysis 2024, 177, 106307. [Google Scholar] [CrossRef]
- Hunsiri, W.; Chaihad, N.; Ngamcharussrivichai, C.; Tungasmita, D.N.; Reubroycharoen, P.; Hinchiranan, N. Branched-chain biofuels derived from hydroisomerization of palm olein using Ni/modified beta zeolite catalysts for biojet fuel production. Fuel Process. Technol. 2023, 248, 107825. [Google Scholar] [CrossRef]
- Altamer, M.H.; Al-Omari, A.F.; Altamer, D.H.; Fadhil, A.B. Response surface methodology optimized co-pyrolysis of mixed date seeds and chicken bones for bio-oil production. J. Taiwan Inst. Chem. Eng. 2025, 171, 106070. [Google Scholar] [CrossRef]











| Process Parameters | product Distribution (wt.%) | |||||||
|---|---|---|---|---|---|---|---|---|
| Temperature (°C) | Reaction Time (min) | N2 Flowrate (mL/min) | Catalyst Loading (wt.%) | Gas | Liquid | Aqueous | Bio-Oil | Solid |
| 500 | 45 | 50 | 5 | 45.32 | 48.03 | 6.93 | 41.10 | 6.65 |
| 600 | 45 | 50 | 5 | 50.04 | 45.97 | 7.58 | 38.39 | 3.99 |
| 500 | 75 | 50 | 5 | 50.73 | 41.25 | 5.98 | 35.27 | 8.02 |
| 600 | 75 | 50 | 5 | 51.18 | 45.04 | 7.01 | 38.03 | 3.78 |
| 500 | 45 | 200 | 5 | 44.11 | 49.81 | 5.56 | 44.25 | 6.08 |
| 600 | 45 | 200 | 5 | 49.36 | 46.92 | 7.36 | 39.56 | 3.72 |
| 500 | 75 | 200 | 5 | 49.97 | 47.64 | 5.68 | 41.96 | 2.39 |
| 600 | 75 | 200 | 5 | 53.44 | 44.43 | 6.44 | 37.99 | 2.13 |
| 500 | 45 | 50 | 20 | 49.48 | 46.33 | 6.12 | 40.21 | 4.19 |
| 600 | 45 | 50 | 20 | 52.09 | 45.09 | 7.24 | 37.85 | 2.82 |
| 500 | 75 | 50 | 20 | 44.8 | 53.16 | 7.82 | 45.34 | 2.04 |
| 600 | 75 | 50 | 20 | 46.03 | 51.21 | 7.75 | 43.46 | 2.76 |
| 500 | 45 | 200 | 20 | 47.62 | 48.71 | 7.32 | 41.39 | 3.67 |
| 600 | 45 | 200 | 20 | 48.82 | 48.59 | 6.47 | 42.12 | 2.59 |
| 500 | 75 | 200 | 20 | 50.42 | 46.90 | 5.79 | 41.11 | 2.68 |
| 600 | 75 | 200 | 20 | 55.01 | 41.52 | 6.69 | 34.83 | 3.47 |
| 500 | 60 | 125 | 12.5 | 48.67 | 46.21 | 8.74 | 37.47 | 5.12 |
| 600 | 60 | 125 | 12.5 | 48.88 | 48.28 | 8.95 | 39.33 | 2.84 |
| 550 | 45 | 125 | 12.5 | 50.27 | 43.74 | 8.37 | 35.37 | 5.99 |
| 550 | 75 | 125 | 12.5 | 50.91 | 45.66 | 7.32 | 38.34 | 3.43 |
| 550 | 60 | 50 | 12.5 | 53.01 | 42.16 | 7.79 | 34.37 | 4.83 |
| 550 | 60 | 200 | 12.5 | 54.35 | 40.60 | 7.85 | 32.75 | 5.05 |
| 550 | 60 | 125 | 5 | 53.96 | 39.96 | 6.94 | 33.02 | 6.08 |
| 550 | 60 | 125 | 20 | 54.93 | 38.15 | 6.08 | 32.07 | 6.92 |
| 550 | 60 | 125 | 12.5 | 50.69 | 43.75 | 8.44 | 35.31 | 5.56 |
| 550 | 60 | 125 | 12.5 | 49.83 | 44.09 | 8.76 | 35.33 | 6.08 |
| 550 | 60 | 125 | 12.5 | 50.03 | 44.02 | 8.33 | 35.69 | 5.95 |
| 550 | 60 | 125 | 12.5 | 49.8 | 43.74 | 7.95 | 35.79 | 6.46 |
| 550 | 60 | 125 | 12.5 | 50.54 | 42.98 | 6.42 | 36.56 | 6.48 |
| 550 | 60 | 125 | 12.5 | 49.94 | 43.91 | 8.13 | 35.78 | 6.15 |
| Components | Spirulina Algal | Standard Method |
|---|---|---|
| proximate analysis (wt.%) | ASTM D3302 | |
| Moisture | 5.73 ± 0.963 | |
| Volatile | 76.48 ± 3.336 | |
| Ash | 5.44 ± 1.127 | |
| fixed carbon | 12.35 ± 1.445 | |
| ultimate analysis (wt.%) | ASTM D5373 | |
| C | 51.16 ± 1.639 | |
| H | 6.98 ± 1.754 | |
| N | 2.73 ± 0.218 | |
| S | 0.13 ± 0.083 | ASTM D4239 |
| O b | 39.01 ± 0.754 | |
| H/C (mol/mol) | 1.64 | calculation |
| O/C (mol/mol) | 0.57 | calculation |
| HHV (MJ/kg) | 31.51 ± 0.199 | ASTM D240 |
| Element | Oxide | sFCC | 5Cu/sFCC | DM | 5Fe/DM |
|---|---|---|---|---|---|
| Al | Al2O3 | 42.45 | 35.86 | 0.19 | 0.22 |
| Si | SiO2 | 38.08 | 42.59 | 0.39 | 0.67 |
| Ti | TiO2 | 2.52 | 2.19 | 0.06 | 0.06 |
| Na | Na2O | 0.65 | 0.53 | 0.32 | 0.41 |
| Mg | MgO | 0.37 | 0.28 | 33.01 | 31.82 |
| P | P2O5 | 0.19 | 0.12 | 0.02 | 0.02 |
| Ca | CaO | 0.33 | 0.26 | 59.81 | 54.83 |
| S | SO3 | 0.28 | 0.51 | 0.06 | 0.11 |
| Fe | Fe2O3 | 2.35 | 2.52 | 0.23 | 5.82 |
| Cu | CuO | 0.08 | 6.63 | 0.02 | 0.02 |
| other | other | 12.7 | 8.51 | 5.89 | 6.02 |
| Catalyst | BET Surface Area (m2/g) | Pore Volume (cm3/g) | Average Pore Size (nm) | Acidity (mmol/g NH3) |
|---|---|---|---|---|
| sFCC | 137.90 | 0.21 | 4.18 | 1.48 |
| 5Cu/SFCC | 116.26 | 0.16 | 9.25 | 1.46 |
| DM | 19.95 | 0.10 | 18.79 | 0.28 |
| 5Fe/DM | 18.77 | 0.10 | 19.45 | 0.48 |
| Source | Sum of Squares | df | Mean Square | F Value | p Value Prob > F | |
|---|---|---|---|---|---|---|
| Model | 133.821 | 11 | 12.166 | 45.824 | <0.0001 | significant |
| A-temperature | 21.143 | 1 | 21.143 | 79.638 | <0.0001 | |
| B-reaction time | 2.945 | 1 | 2.945 | 11.092 | 0.0088 | |
| D-catalyst loading | 5.960 | 1 | 5.960 | 22.451 | 0.0011 | |
| AC | 6.269 | 1 | 6.269 | 23.614 | 0.0009 | |
| BC | 15.980 | 1 | 15.980 | 60.192 | <0.0001 | |
| BD | 10.963 | 1 | 10.963 | 41.296 | 0.0001 | |
| CD | 21.071 | 1 | 21.071 | 79.368 | <0.0001 | |
| ABC | 9.373 | 1 | 9.373 | 35.305 | 0.0002 | |
| ABD | 10.103 | 1 | 10.103 | 38.055 | 0.0002 | |
| ACD | 3.432 | 1 | 3.432 | 12.927 | 0.0058 | |
| BCD | 26.582 | 1 | 26.582 | 100.128 | <0.0001 | |
| Curvature | 85.840 | 1 | 85.840 | 323.336 | <0.0001 | significant |
| Residual | 2.389 | 9 | 0.265 | |||
| Lack of Fit | 1.357 | 4 | 0.339 | 1.643 | 0.2969 | not significant |
| Source | Sum of Squares | df | Mean Square | F Value | p Value Prob > F | |
|---|---|---|---|---|---|---|
| Sequential Model Sum of Squares [Type I] | ||||||
| Mean vs. Total | 43323.055 | 1 | 43323.055 | Suggested | ||
| Linear vs. Mean | 20.560 | 4 | 5.140 | 0.387 | 0.8158 | |
| 2FI vs. Linear | 54.378 | 6 | 9.063 | 0.620 | 0.7117 | |
| Quadratic vs. 2FI | 198.126 | 4 | 49.531 | 9.354 | 0.0005 | Suggested |
| Cubic vs. Quadratic | 67.653 | 8 | 8.457 | 5.0262 | 0.0234 | Aliased |
| Residual | 11.777 | 7 | 1.682 | |||
| Total | 43675.55 | 30 | 1455.852 | |||
| Lack of Fit Tests | ||||||
| Linear | 330.902 | 20 | 16.545 | 80.137 | <0.0001 | |
| 2FI | 276.524 | 14 | 19.752 | 95.668 | <0.0001 | |
| Quadratic | 78.398 | 10 | 7.840 | 37.972 | 0.0004 | Suggested |
| Cubic | 10.745 | 2 | 5.373 | 26.022 | 0.0023 | Aliased |
| Pure Error | 1.032 | 5 | 0.206 | |||
| Source | Sum of Squares | df | Mean Square | F Value | p Value Prob > F | |
|---|---|---|---|---|---|---|
| Model | 273.064 | 14 | 19.505 | 3.683 | 0.0086 | significant |
| A-temperature | 15.191 | 1 | 15.191 | 2.869 | 0.1110 | |
| B-reaction time | 0.845 | 1 | 0.845 | 0.160 | 0.6952 | |
| C-N2 flowrate | 0.208 | 1 | 0.208 | 0.039 | 0.8456 | |
| D-catalyst loading | 4.316 | 1 | 4.316 | 0.815 | 0.3809 | |
| AB | 0.007 | 1 | 0.007 | 0.001 | 0.9707 | |
| AC | 6.269 | 1 | 6.269 | 1.184 | 0.2937 | |
| AD | 0.088 | 1 | 0.088 | 0.017 | 0.8992 | |
| BC | 15.980 | 1 | 15.980 | 3.018 | 0.1028 | |
| BD | 10.963 | 1 | 10.963 | 2.070 | 0.1707 | |
| CD | 21.071 | 1 | 21.071 | 3.979 | 0.0646 | |
| A2 | 49.119 | 1 | 49.119 | 9.276 | 0.0082 | |
| B2 | 20.454 | 1 | 20.454 | 3.863 | 0.0682 | |
| C2 | 0.602 | 1 | 0.602 | 0.114 | 0.7407 | |
| D2 | 5.858 | 1 | 5.858 | 1.106 | 0.3095 | |
| Residual | 79.430 | 15 | 5.295 | |||
| Lack of Fit | 78.398 | 10 | 7.840 | 37.972 | 0.0004 | significant |
| Pure Error | 1.032 | 5 | 0.206 | |||
| Cor Total | 352.494 | 29 | ||||
| Response | Prediction | SE Mean | 95% CI | SE Pred | 95% PI | The Actual Experiment | ||
|---|---|---|---|---|---|---|---|---|
| Low | High | Low | High | |||||
| gas | 43.86 | 1.42 | 40.84 | 46.88 | 2.26 | 39.04 | 48.68 | 45.64 |
| liquid | 51.42 | 1.88 | 47.41 | 55.42 | 3.00 | 45.02 | 57.81 | 49.58 |
| water-soluble | 8.31 | 0.57 | 7.10 | 9.51 | 0.90 | 6.38 | 10.24 | 6.92 |
| bio-oil | 43.11 | 1.85 | 39.17 | 47.05 | 2.95 | 36.82 | 49.40 | 42.33 |
| carbonaceous | 4.72 | 0.79 | 3.03 | 6.42 | 1.27 | 2.02 | 7.43 | 5.11 |
| Mass Ratio | Product Distribution (wt.%) | |||||
|---|---|---|---|---|---|---|
| Fe/DM | Cu/sFCC | Gaseous | Liquid | Water-Soluble | Bio-Oil | Carbonaceous |
| - | 1.0 | 46.16 | 49.75 | 6.06 | 43.69 | 4.09 |
| 0.1 | 0.9 | 47.26 | 48.67 | 6.63 | 42.04 | 4.07 |
| 0.3 | 0.7 | 47.67 | 48.31 | 6.07 | 42.24 | 4.02 |
| 0.5 | 0.5 | 47.44 | 48.22 | 6.63 | 41.59 | 4.34 |
| 0.6 | 0.4 | 48.61 | 47.37 | 6.39 | 40.98 | 4.02 |
| 0.8 | 0.2 | 48.92 | 46.79 | 6.86 | 39.93 | 4.29 |
| 1.0 | - | 49.11 | 46.84 | 6.93 | 39.91 | 4.05 |
| noncatalyst system | 56.22 | 39.09 | 6.75 | 32.34 | 4.69 | |
| RT (min) | Non Catalyst | Fe/DM:Cu/sFCC Mass Ratio | Chemical Compounds | Chemical Formula | |
|---|---|---|---|---|---|
| 0.5:0.5 | 0.3:0.7 | ||||
| Alcohol | |||||
| 10.617 | 0.074 | 3,4-Pyridinedimethanol, 6-methyl- | C8H11NO2 | ||
| 14.499 | 0.854 | 1,4-Benzenediol, 2,3,5-trimethyl- | C9H12O2 | ||
| alkane | |||||
| 3.856 | 0.528 | Decane | C10H22 | ||
| 4.806 | 0.224 | 0.282 | Undecane | C11H24 | |
| 5.386 | 1.432 | 3.117 | 3.526 | Dodecane | C12H26 |
| 6.102 | 2.033 | 5.678 | 7.801 | Tridecane | C13H26 |
| 6.746 | 1.425 | 2.918 | 4.069 | Tetradecane | C14H30 |
| 14.901 | 0.519 | 1.123 | 2.344 | Pentadecane | C15H32 |
| 16.092 | 0.495 | 1.499 | 3.421 | Hexadecane | C16H34 |
| 17.221 | 1.234 | 3.577 | 3.044 | Heptadecane | C17H36 |
| 18.299 | 0.332 | 0.386 | 2.648 | Octadecane | C18H38 |
| 20.303 | 5.341 | 4.688 | 1.557 | Eicosane | C19H40 |
| 21.242 | 2.584 | 1.845 | Heneicosane | C20H42 | |
| alkene | |||||
| 3.371 | 0.111 | 0.118 | 2-Pentene, 4-methyl-, (E)- | C6H12 | |
| 17.144 | 0.765 | 1-Heptadecene | C6H12 | ||
| 18.717 | 0.668 | 2.728 | 2.288 | Neophytadiene | C17H34 |
| amide | |||||
| 3.865 | 1.856 | 0.922 | 0.943 | Acetamide | C2H5NO |
| 5.421 | 0.364 | 0.666 | Propanamide | C3H7NO | |
| 6.191 | 0.126 | 0.251 | 0.130 | Propanamide, 2-methyl- | C4H9NO |
| 7.750 | 1.434 | 1.863 | 1.576 | Butanamide, 3-methyl- | C5H11NO |
| 10.358 | 1.991 | 1-Methyl-1H-imidazole-4-carboxamide | C5H7N3O | ||
| 10.358 | 0.893 | 1.444 | 2-Methylpyrazole-3-carboxamide | C5H7N3O | |
| 17.399 | 0.512 | 1.210 | 3-Methyl-2,3,6,7,8,8a-hexahydropyrrolo[1,2-a]pyrazine-1,4-dione | C8H12N2O2 | |
| 17.869 | 1.080 | 0.821 | 0.637 | Pyrrolo[1,2-a]pyrazine-1,4-dione, hexahydro- | C7H10N2O2 |
| 18.793 | 2.722 | 3.497 | 2.483 | Cyclo(L-prolyl-L-valine) | C7H10N2O2 |
| 19.673 | 3.891 | 0.866 | Pyrrolo[1,2-a]pyrazine-1,4-dione, hexahydro-3-(2-methylpropyl)- | C10H16N2O2 | |
| 19.780 | 0.896 | Octahydrodipyrrolo[1,2-a:1′,2′-d]pyrazine-5,10-dione-, (5aR,10aR)(isomer 2) | C10H14N2O2 | ||
| 19.782 | 1.851 | 1.884 | Octahydrodipyrrolo[1,2-a:1′,2’-d]pyrazine-5,10-dione-, (5aR,10aR)(isomer 1) | C10H14N2O2 | |
| 21.993 | 13.513 | 13.124 | 7.170 | Hexadecanamide | C11H18N2O2 |
| 23.539 | 7.503 | 6.557 | 4.334 | 9-Octadecenamide, (Z)- | C16H33NO |
| 23.736 | 4.576 | 0.905 | 0.779 | Octadecanamide | C18H35NO |
| amine | |||||
| 2.956 | 0.060 | 2-Propanamine, N-(1-methylethylidene)- | C6H13N | ||
| 5.445 | 0.354 | 0.442 | 3-Octanamine | C8H19N | |
| 7.011 | 0.692 | 3-Amino-5-tert-butylpyrazole | C7H13N3 | ||
| 7.860 | 0.287 | 0.197 | 2-Aminopyridine | C5H6N2 | |
| monoaromatic hydrocarbon | |||||
| 2.415 | 0.068 | 0.086 | 0.093 | Benzene | C6H6 |
| carboxylic acid | |||||
| 2.817 | 9.897 | 11.98 | 13.66 | Propanoic acid | C3H6O2 |
| 3.835 | 0.171 | 0.186 | 0.243 | Propanoic acid, 2-methyl- | C4H8O2 |
| 4.164 | 0.060 | 0.060 | 0.376 | Butanoic acid | C4H8O2 |
| 5.209 | 0.035 | 0.679 | Butanoic acid, 3-methyl- | C5H10O2 | |
| 5.325 | 0.224 | 0.467 | 0.467 | Pentanoic acid, 4-methyl- | C6H12O2 |
| 5.358 | 0.648 | 0.980 | Butanoic acid, 2-methyl- | C5H10O2 | |
| 6.970 | 0.395 | 0.617 | 0.931 | Pentanoic acid, 3-methyl- | C6H12O2 |
| 10.498 | 0.147 | 0.139 | Octanoic acid | C8H16O2 | |
| 19.995 | 0.102 | n-Hexadecanoic acid | C16H32O2 | ||
| 21.641 | 3.543 | 6.153 | 7.721 | Oleic Acid | C18H34O2 |
| heterocyclic hydrocarbon compounds | |||||
| 7.329 | 0.684 | 1-Methyl-2-tert-butylpyrrole | C9H15N | ||
| 7.349 | 1.448 | 0.885 | Pyrrole, 1-methyl-3-(1,1-dimethylethyl)- | C9H15N | |
| 7.591 | 5.514 | 4.190 | 1.376 | Pyridine, 2,4,6-trimethyl- | C8H11N |
| 10.611 | 2.799 | 2-Ethyl-3,5-dimethylpyridine | C9H13N | ||
| 11.042 | 3.165 | Pyrazolo[1,5-a]pyridine, 3,3a,4,7-tetrahydro-2,3,3-trimethyl-, (3aS)- | C10H16N2 | ||
| 11.370 | 0.422 | 0.596 | 0.771 | 1H-Pyrrole-2,5-dione, 3-ethyl-4-methyl- | C7H9NO2 |
| 12.260 | 5.565 | 6.222 | 6.485 | Indole | C8H7N |
| 13.520 | 3.592 | 2.902 | 3.029 | 1H-Indole, 2-methyl- | C8H7N |
| 14.744 | 0.463 | 0.648 | 0.827 | 3-Ethyl-1H-indole | C10H11N |
| 20.174 | 2.022 | 1.436 | 0.658 | 9H-Pyrido[3,4-b]indole | C10H11N |
| ketone | |||||
| 2.432 | 2-Propanone, 1-hydroxy- | C3H6O2 | |||
| 3.354 | 0.091 | 0.272 | 3-Penten-2-one, (E)- | C5H8O | |
| 3.487 | 0.038 | 0.053 | 0.213 | 5-Hexen-2-one | C6H10O |
| 4.217 | 0.801 | 0.538 | 0.851 | 3-Penten-2-one, 4-methyl- | C6H10O |
| 4.814 | 0.225 | 0.275 | 0.435 | 2-Cyclopenten-1-one | C5H6O |
| 4.953 | 0.531 | 0.602 | 1.413 | 2-Pentanone, 4-hydroxy-4-methyl- | C6H12O2 |
| 11.211 | 0.685 | Spiro[5.5]undec-8-en-1-one | C11H16O | ||
| 12.558 | 1.168 | 1,2,4-Cyclopentanetrione, 3-(2-pentenyl)- | C10H12O3 | ||
| 15.405 | 0.909 | 0.540 | 0.486 | 2(4H)-Benzofuranone, 5,6,7,7a-tetrahydro-4,4,7a-trimethyl-, (R)- | C11H16O2 |
| 19.156 | 2.231 | 1.240 | Linoleyl methyl ketone | C19H34O | |
| nitrile | |||||
| 9.968 | 0.699 | 0.463 | Benzyl nitrile | C8H7N | |
| 11.480 | 1.385 | 1.521 | 1.064 | Benzenepropanenitrile | C9H9N |
| 15.737 | 0.872 | 1.106 | 1.950 | 3-(4-Hydroxyphenyl)propionitrile | C9H9NO |
| 19.344 | 1.426 | 4.720 | 4.750 | Hexadecanenitrile | C9H9NO |
| sulfide | |||||
| 7.189 | 0.181 | 0.205 | Dimethyl trisulfide | C2H6S3 | |
| Components | Bio-Oil Produced from Fe/Dm:Cu/sFCC | Standard Method | ||
|---|---|---|---|---|
| Non-Catalytic | 0.5:0.5 | 0.3:0.7 | ||
| ultimate analysis (wt.%) | ASTM D5373 | |||
| C | 59.4 ± 2.25 | 66.2 ± 1.75 | 66.7 ± 1.07 | |
| H | 7.1 ± 1.67 | 8.7 ± 2.02 | 10.6 ± 1.43 | |
| N | 11.5 ± 1.97 | 11.2 ± 2.24 | 10.6 ± 1.75 | |
| S | 0.1 ± 0.09 | 0.2 ± 0.12 | 0.1 ± 0.07 | ASTM D4239 |
| O b | 21.91 ± 2.03 | 13.8 ± 1.11 | 11.9 ± 1.84 | |
| H/C (mol/mol) | 1.44 | 1.58 | 1.91 | calculation |
| O/C (mol/mol) | 0.28 | 0.16 | 0.13 | calculation |
| HHV (MJ/kg) | 29.9 ± 1.36 | 33.5 ± 2.71 | 37.5 ± 0.98 | ASTM D240 |
| density (kg/dm3) | 1.16 ± 0.47 | 1.16 ± 0.88 | 1.12 ± 0.59 | ASTM D4052 |
| kinematic viscosity (mm2/s) | 38.7 ± 1.09 | 24.3 ± 1.59 | 20.4 ± 3.68 | ASTM D445 |
| acidity (mgKOH/g) | 62.5 ± 4.75 | 29.3 ± 1.89 | 24.0 ± 2.22 | ASTM D664 |
Disclaimer/Publisher’s Note: The statements, opinions and data contained in all publications are solely those of the individual author(s) and contributor(s) and not of MDPI and/or the editor(s). MDPI and/or the editor(s) disclaim responsibility for any injury to people or property resulting from any ideas, methods, instructions or products referred to in the content. |
© 2026 by the authors. Licensee MDPI, Basel, Switzerland. This article is an open access article distributed under the terms and conditions of the Creative Commons Attribution (CC BY) license.
Share and Cite
Charusiri, W.; Phowan, N.; Vitidsant, T.; Permpoonwiwat, A. Optimization and Characterization of Bio-Oil from Arthrospira platensis Through a Single-Stage Fixed-Bed Catalytic Pyrolyzer Using Dual Cu-Doped Spent FCC and Fe-Doped Dolomite Catalyst. Sustainability 2026, 18, 2002. https://doi.org/10.3390/su18042002
Charusiri W, Phowan N, Vitidsant T, Permpoonwiwat A. Optimization and Characterization of Bio-Oil from Arthrospira platensis Through a Single-Stage Fixed-Bed Catalytic Pyrolyzer Using Dual Cu-Doped Spent FCC and Fe-Doped Dolomite Catalyst. Sustainability. 2026; 18(4):2002. https://doi.org/10.3390/su18042002
Chicago/Turabian StyleCharusiri, Witchakorn, Naphat Phowan, Tharapong Vitidsant, and Aminta Permpoonwiwat. 2026. "Optimization and Characterization of Bio-Oil from Arthrospira platensis Through a Single-Stage Fixed-Bed Catalytic Pyrolyzer Using Dual Cu-Doped Spent FCC and Fe-Doped Dolomite Catalyst" Sustainability 18, no. 4: 2002. https://doi.org/10.3390/su18042002
APA StyleCharusiri, W., Phowan, N., Vitidsant, T., & Permpoonwiwat, A. (2026). Optimization and Characterization of Bio-Oil from Arthrospira platensis Through a Single-Stage Fixed-Bed Catalytic Pyrolyzer Using Dual Cu-Doped Spent FCC and Fe-Doped Dolomite Catalyst. Sustainability, 18(4), 2002. https://doi.org/10.3390/su18042002

