Sign in to use this feature.

Years

Between: -

Subjects

remove_circle_outline
remove_circle_outline
remove_circle_outline
remove_circle_outline
remove_circle_outline
remove_circle_outline
remove_circle_outline
remove_circle_outline

Journals

Article Types

Countries / Regions

Search Results (25)

Search Parameters:
Keywords = caisson breakwater

Order results
Result details
Results per page
Select all
Export citation of selected articles as:
20 pages, 10382 KB  
Article
Stability Analysis and Design of Composite Breakwater Based on Fluid-Solid Coupled Approach Using CFD/NDDA
by Xinyu Wang and Abdellatif Ouahsine
J. Mar. Sci. Eng. 2025, 13(9), 1817; https://doi.org/10.3390/jmse13091817 - 19 Sep 2025
Viewed by 729
Abstract
Composite breakwater is a commonly employed structure for coastal and harbor protection. However, strong hydrodynamic impact can lead to failure and instability of these protective structures. In this study, a two-dimensional fluid-porous-solid coupling model is developed to investigate the stability of composite breakwaters. [...] Read more.
Composite breakwater is a commonly employed structure for coastal and harbor protection. However, strong hydrodynamic impact can lead to failure and instability of these protective structures. In this study, a two-dimensional fluid-porous-solid coupling model is developed to investigate the stability of composite breakwaters. The fluid-porous model is based on the Volume-Averaged Reynolds-Averaged Navier-Stokes equations, in which the nonlinear Forchheimer equations are added to describe the porous layer. The solid model employs the Nodal-based Discontinuous Deformation Analysis (NDDA) method to analyze the displacement of the caisson. NDDA is a nodal-based method that couples FEM and DDA to improve non-linear processes. This proposed coupled model permits the examination of the influence of the thickness and porosity of the porous layer on maximum impacting wave height (IWHmax) and the turbulent kinetic energy (TKE) generation. The results show that high porosity values lead to the dissipation of TKE and reduce the IWHmax. However, the reduction in the IWHmax is not monotonic with increasing porous layer thickness. We observed that IWHmax reaches an optimum value as the porous layer thickness continues to increase. These results can contribute to improve the design of composite breakwaters. Full article
(This article belongs to the Section Coastal Engineering)
Show Figures

Figure 1

19 pages, 10986 KB  
Article
A Study on the Effects of Morphological Changes Due to the Construction of Multiple Coastal Structures
by Kyu-Tae Shim and Kyu-Han Kim
J. Mar. Sci. Eng. 2024, 12(12), 2174; https://doi.org/10.3390/jmse12122174 - 28 Nov 2024
Cited by 3 | Viewed by 2654
Abstract
The study area was Anin Beach, where a 1.48-km-long breakwater, consisting of a non-porous caisson, was constructed over 16 months. During this process, significant erosion occurred over a wide area behind the coast, with a maximum reduction in the beach width of 36 [...] Read more.
The study area was Anin Beach, where a 1.48-km-long breakwater, consisting of a non-porous caisson, was constructed over 16 months. During this process, significant erosion occurred over a wide area behind the coast, with a maximum reduction in the beach width of 36 m observed in the central part of the coastline. As a countermeasure to prevent erosion, a submerged breakwater was installed that consisted of concrete blocks and had a length of 600 m. Following the implementation of this submerged breakwater, the beach behind it increased in width by 64 m, in proportion to the installation length, while erosion phenomena, such as the loss of coastal roads, were observed at both ends of the structure. In this study, the topographical changes caused by waves and currents were analyzed to identify their causes and establish countermeasures. Additionally, the planned measures, established before structure installation, were closely examined against the actual occurrences observed onsite through a coastline survey. Full article
(This article belongs to the Special Issue Coastal Evolution and Erosion under Climate Change)
Show Figures

Figure 1

16 pages, 9086 KB  
Article
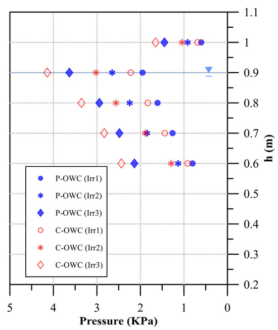
Experimental Investigation of Wave Pressure on Breakwater-Integrated Oscillating Water Column Devices with a Perforated Wall
by Chun-Han Ko, Chun-Yu Fan and Ching-Piao Tsai
J. Mar. Sci. Eng. 2024, 12(10), 1782; https://doi.org/10.3390/jmse12101782 - 8 Oct 2024
Cited by 3 | Viewed by 1846
Abstract
This study investigates the wave pressure on an Oscillating Water Column (OWC) device, which features a perforated wall positioned in front of the OWC chamber and is integrated with a caisson breakwater. The perforated wall is designed to mitigate wave impacts on the [...] Read more.
This study investigates the wave pressure on an Oscillating Water Column (OWC) device, which features a perforated wall positioned in front of the OWC chamber and is integrated with a caisson breakwater. The perforated wall is designed to mitigate wave impacts on the OWC device under storm wave conditions. To achieve this, a series of laboratory experiments were conducted using a 1:25 scale model, considering both regular and irregular waves. Wave pressure measurements and analyses were performed on various configurations to assess the effects of the perforated wall on the wave pressure exerted against the front wall of the OWC chamber and the caisson breakwater. The results indicate that the perforated wall effectively reduces the amplitude of water column oscillations within the OWC chamber during storm conditions, thereby significantly reducing wave pressure on the OWC chamber wall by approximately 14% and on the breakwater by about 20.3%. Full article
(This article belongs to the Section Coastal Engineering)
Show Figures

Figure 1

26 pages, 10575 KB  
Article
Sub-Nappe Air Cavity Pressure and Cavity Water Depth during Caisson Breakwater Overtopping by a Tsunami
by Taeksang Kim, Julien Noé Malherbe, Sirawit Shimpalee and Jeremy David Bricker
J. Mar. Sci. Eng. 2024, 12(7), 1135; https://doi.org/10.3390/jmse12071135 - 5 Jul 2024
Cited by 2 | Viewed by 2354
Abstract
The design of coastal and hydraulic structures must account for extreme conditions, such as wave overtopping, and consider variables that may not be relevant under normal circumstances to ensure safety. This research investigates the characteristics of air cavity pressure and cavity water depth [...] Read more.
The design of coastal and hydraulic structures must account for extreme conditions, such as wave overtopping, and consider variables that may not be relevant under normal circumstances to ensure safety. This research investigates the characteristics of air cavity pressure and cavity water depth beside an overflowed vertical caisson breakwater, focusing on the influence of flow conditions and hydraulic parameters for a slowly varying, surging-type tsunami. A physical model was used to conduct controlled experiments, enabling the study to explore various scenarios, including subcritical and supercritical downstream flows with varying downstream flume outlet heights and different upstream water depths. Dimensionless equations for air cavity pressure and cavity water depth were derived through multivariate regression analysis, providing a systematic approach to analyze their behaviors under different flow conditions. The results show that air cavity pressure is significantly influenced by the presence of air in the cavity, with a transition from fully ventilated to partially or non-ventilated conditions as the upstream water depth increases. Cavity water depth is observed to be deeper in the non-ventilated case, aligning with previous studies. The derived dimensionless equations demonstrate strong correlations, offering valuable tools for predicting air cavity pressure and cavity water depth under various scenarios, contributing to the design and analysis of hydraulic structures. This study provides insights into wave-structure interactions, extreme wave loads, and the dynamic responses of coastal infrastructures under wave-induced conditions. Overall, this research advances our understanding of air cavity pressure and cavity water depth behaviors, providing essential data for optimizing the design, performance, and safety of hydraulic and marine structures in response to complex ocean wave loads. Full article
(This article belongs to the Special Issue Impact of Ocean Wave Loads on Marine Structures)
Show Figures

Figure 1

19 pages, 9654 KB  
Article
Tidal Range Barrage Design and Construction
by David Vandercruyssen, Simon Baker, David Howard and George Aggidis
Appl. Sci. 2024, 14(11), 4592; https://doi.org/10.3390/app14114592 - 27 May 2024
Viewed by 3692
Abstract
The west coast of Great Britain has the potential for barrages to create tidal range reservoirs that both facilitate electricity generation and prevent flooding from sea level rise. Seawater flows into and out of the reservoir, or impoundment, through turbines and sluices. The [...] Read more.
The west coast of Great Britain has the potential for barrages to create tidal range reservoirs that both facilitate electricity generation and prevent flooding from sea level rise. Seawater flows into and out of the reservoir, or impoundment, through turbines and sluices. The impounded water follows the natural tidal sequence but with a delay which creates a head between the two bodies of water. Traditional designs for barrages use earth embankments, with impermeable cores and rockfill protection. More recently, breakwaters and jetties have been constructed using precast concrete vertical caissons. A novel design using horizontal precast caissons is described and evaluated. Wave forces are estimated using Goda’s method for a vertical breakwater to assess their impact on stability and ground-bearing pressures. The stability of the barrage is checked for hydrostatic and wave forces. The volumes of materials and relative costs are presented. Precast caissons are found to be viable financially and should be both quicker and easier to construct and install. The horizontal caissons show advantages over the vertical type, and although untried, they should be easier to construct than submerged tube tunnels. Further work is needed to validate the design, including dynamic modelling and detailed construction assessment to confirm the cost rates. Full article
Show Figures

Figure 1

16 pages, 6224 KB  
Article
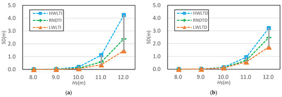
Effect of Transient Tide-Level Change on the Sliding Distance of a Breakwater Caisson during Storms
by Dong-Hyawn Kim and Jung-Wook Choi
Sustainability 2023, 15(18), 13340; https://doi.org/10.3390/su151813340 - 6 Sep 2023
Viewed by 1328
Abstract
When a storm begins at low tide, the tide will increase with time. However, when a storm begins at high tide, the tide will decrease during the storm. Therefore, to achieve more accurate estimations of sliding distance, both the tide-level change and the [...] Read more.
When a storm begins at low tide, the tide will increase with time. However, when a storm begins at high tide, the tide will decrease during the storm. Therefore, to achieve more accurate estimations of sliding distance, both the tide-level change and the tide level itself should be considered. In this study, a new approach to taking the change in tide level into account when calculating the sliding distance of gravity-type breakwaters during storms is proposed. Conducting the numerical analysis, we found that, when typhoons begin at low tide, the sliding distance of the breakwater increases when considering the change in tide level, and conversely, when they begin at high tide, the change in tide level results in the sliding distance being shortened. Therefore, considering the change in tide level with time can result in a more accurate and realistic estimation of the sliding distance of the breakwater being attained. This is expected to contribute greatly to the development of deformation-based performance design methods for breakwaters. Full article
(This article belongs to the Section Sustainable Engineering and Science)
Show Figures

Figure 1

18 pages, 4873 KB  
Article
Experimental Study on the Stability and Wave Force of a Breakwater Transition under Multiangle Oblique Waves
by Guangsheng Wang, Longzai Ge, Tong Yu, Yajing Zhang and Songgui Chen
J. Mar. Sci. Eng. 2023, 11(3), 631; https://doi.org/10.3390/jmse11030631 - 16 Mar 2023
Cited by 4 | Viewed by 3375
Abstract
Based on the failure and instability of different structural transitions of offshore breakwater, this paper provides a basis for understanding the instability mechanism and also provides suggestions for engineering repair. Based on the breakwater project in the regulation of the bay of Shandong [...] Read more.
Based on the failure and instability of different structural transitions of offshore breakwater, this paper provides a basis for understanding the instability mechanism and also provides suggestions for engineering repair. Based on the breakwater project in the regulation of the bay of Shandong Province, physical model tests with a scale of 1:36 were carried out. This study revealed the wave characteristics, the force performance, and the instability mechanism in the transition. In the test, the relationships between 5°, 15°, 35°, and 75° oblique waves, the wave force, and the stable weight of the Accropode were simulated, revealing that the generation of a shock wave current is related to the wave direction angle, which results in the local wave height increasing by 2.05 times. The result that the design weight of the armour block is unstable and stable after optimization is obtained. The wave force of the caisson of the transition was concentrated in the anti-arc section of the superstructure, and the maximum horizontal force, buoyancy force, and impact pressure were 935.6 kN, 419.1 kN, and 65.9 kPa, respectively. The instability mechanism was determined as the poor connection between the accropode and the caisson, and the wave energy concentration. Compared with the calculation results of the standard formula, the correction coefficients of the overtopping volume, the wave crest elevation, the wave force, and the Accropode weight at the transition of breakwater were 1.95, 1.97, 1.60, and 4.0, respectively. The test results have solved the practical problems of the project and can also provide a reference for similar projects. Full article
Show Figures

Figure 1

15 pages, 6531 KB  
Article
Experimental Investigation of Wave Loads on U-OWC Breakwater
by Alessandra Romolo, Bruna Timpano, Valentina Laface, Vincenzo Fiamma and Felice Arena
J. Mar. Sci. Eng. 2023, 11(1), 19; https://doi.org/10.3390/jmse11010019 - 23 Dec 2022
Cited by 7 | Viewed by 2811
Abstract
A small-scale field experiment was conducted on a U-OWC incorporated into a caisson breakwater at the NOEL laboratory of Reggio Calabria (Italy). The U-Oscillating Water Column (U-OWC) or REWEC (REsonant Wave Energy Converter) is a device belonging to the family of OWCs. Such [...] Read more.
A small-scale field experiment was conducted on a U-OWC incorporated into a caisson breakwater at the NOEL laboratory of Reggio Calabria (Italy). The U-Oscillating Water Column (U-OWC) or REWEC (REsonant Wave Energy Converter) is a device belonging to the family of OWCs. Such a device is very innovative, being able to absorb a very high percentage of incoming sea waves energy and to produce electrical power via proper PTO. The focus of the paper has been the analysis of the impact wave loads acting on the modified U-OWC structure during extreme wave events. A total of 250 records of pure wind waves were analyzed to verify the behaviors of wave loads acting on a U-OWC breakwater during operating conditions. The occurrence of both “quasi-standing wave” loads due to non-breaking waves and “impulsive wave loads”, exerted by a wave breaking against the U-OWC model, were observed. Then, Goda’s model was applied to predict the wave pressure distribution on the external wall of the U-OWC pneumatic chamber, and the theoretical results were compared to those obtained via small-scale field experiment. Full article
(This article belongs to the Special Issue Advanced Studies in Breakwaters and Coastal Protection)
Show Figures

Figure 1

11 pages, 5387 KB  
Article
Experimental Investigation of the Earth Pressure on Horizontally Composite Breakwaters According to Different Shoulder Widths of Rubble Mounds
by Jae-Sung Lee, Dal Soo Lee and Sang-Ho Oh
Water 2022, 14(14), 2273; https://doi.org/10.3390/w14142273 - 21 Jul 2022
Cited by 1 | Viewed by 3327
Abstract
A series of physical experiments were carried out to investigate the characteristics of the horizontal active earth pressure exerted by rubble stones placed in front of horizontally composite breakwaters. Typically, the shoulder width of rubble mounds is shorter than the failure wedge assumed [...] Read more.
A series of physical experiments were carried out to investigate the characteristics of the horizontal active earth pressure exerted by rubble stones placed in front of horizontally composite breakwaters. Typically, the shoulder width of rubble mounds is shorter than the failure wedge assumed by Rankine’s earth pressure theory; therefore, it is not appropriate to apply the theory for the estimation of the horizontal pressure of rubble stones on the caisson. Considering this, physical experiments were conducted to evaluate the horizontal earth pressure with rubble stones having different shoulder widths in front of the caisson. The experimental results showed that the horizontal pressure was considerably lower than that obtained by Rankine’s theory when the shoulder width was shorter than the failure wedge width. Even when the shoulder width was sufficiently large to apply the theory, the earth pressure was approximately 17% lower than the value calculated byRankine’s theory. Based on these analyses, an empirical equation is proposed that can estimate the earth pressure on the caisson for a wide range of shoulder widths of rubble mounds. Full article
(This article belongs to the Section Oceans and Coastal Zones)
Show Figures

Figure 1

12 pages, 2185 KB  
Article
Load Resistance Factor for Vertical Caisson Breakwater in Korea
by Il-Geun Lee and Dong-Hyawn Kim
J. Mar. Sci. Eng. 2022, 10(4), 468; https://doi.org/10.3390/jmse10040468 - 26 Mar 2022
Cited by 5 | Viewed by 2920
Abstract
The load resistance factor according to the target reliability level was proposed using 16 vertical breakwaters constructed along the coast of Korea. Limit state functions for sliding and overturning limit states were defined. Reliability analysis was performed to obtain the sensitivity of the [...] Read more.
The load resistance factor according to the target reliability level was proposed using 16 vertical breakwaters constructed along the coast of Korea. Limit state functions for sliding and overturning limit states were defined. Reliability analysis was performed to obtain the sensitivity of the limit state function to the design variables. The partial safety factors of the design variable were obtained using the sensitivity, and the load resistance factor was calculated in turn. The representative value of load resistance factors was obtained by optimizing the load resistance factors for 16 vertical breakwaters, and it was verified that the breakwater designed using the representative value had a reliability index greater than the target value. Full article
(This article belongs to the Special Issue Breakwater Behaviour)
Show Figures

Figure 1

18 pages, 4998 KB  
Article
Experimental Study of Forces Influencing Vertical Breakwater under Extreme Waves
by Hung-Chu Hsu, Yang-Yih Chen, Yi-Ru Chen and Meng-Syue Li
Water 2022, 14(4), 657; https://doi.org/10.3390/w14040657 - 20 Feb 2022
Cited by 5 | Viewed by 3584
Abstract
In order to understand the extreme wave acting on the vertical breakwater, a series of experiments were constructed in the wave tank to measure the variations of pressure on the front, rear faces, and below the caisson due to overtopping waves. The front [...] Read more.
In order to understand the extreme wave acting on the vertical breakwater, a series of experiments were constructed in the wave tank to measure the variations of pressure on the front, rear faces, and below the caisson due to overtopping waves. The front and backward horizontal forces and the uplift forces were estimated by integrating the dynamic wave pressure distributions. The COBRAS numerical model was also used to calculate the wave loads under various overtopping waves. The measured wave pressures and wave forces were compared with the predictions of numerical results and showed good agreement. It was found that the forces acting on the backward side of the vertical structure induced by the wave overtopping should be considered. From the experimental data, new semi-empirical equations for calculating the maximum wave forces are proposed using a least squares approximation. Full article
(This article belongs to the Special Issue Research on the Interaction of Water Waves and Ocean Structures)
Show Figures

Figure 1

18 pages, 3081 KB  
Article
Calibration of Load and Resistance Factors for Breakwater Foundations under the Earthquake Loading
by Nhu Son Doan, Jungwon Huh, Van Ha Mac, Dong Hyawn Kim and Kiseok Kwak
Sustainability 2021, 13(4), 1730; https://doi.org/10.3390/su13041730 - 5 Feb 2021
Cited by 12 | Viewed by 3631
Abstract
This study investigates the system stability of breakwater foundations subjected to earthquakes from a probabilistic point of view. A fully probabilistic approach, i.e., a combination of the Monte Carlo simulation and Bishop’s simplified method, has been developed to evaluate the system failure probability [...] Read more.
This study investigates the system stability of breakwater foundations subjected to earthquakes from a probabilistic point of view. A fully probabilistic approach, i.e., a combination of the Monte Carlo simulation and Bishop’s simplified method, has been developed to evaluate the system failure probability of foundation damage, one of the prevailing failures encountered during earthquakes. Twelve sections of perforated caisson breakwaters located around Korea were chosen as case studies. First, the reliability analysis was performed for all the breakwaters at existing conditions; then, the calibration process involving the estimation of load and resistance factors was conducted for 12 breakwaters at three levels of the target reliability index. As the performance function, used in the stability analysis of breakwater foundations, is defined based on an implicit shape with a high-dimensional space of variables, the calibration process of load and resistance factors becomes cumbersome and complicated. Therefore, this study has proposed a sensitivity analysis to be implemented prior to the calibration process to elicit the effects of variables on the stability of each breakwater, which, thereafter, effectively directs the calibration process. The results of this study indicate that the failures in the foundation of breakwaters frequently occur in different modes. Therefore, the failure probability should be estimated considering all possible failure modes of the foundation. The sensitivity results elucidate that the soil strength parameters are the dominant variables, contributing to the stability of foundations, whereas the seismic coefficient presents the negative effect, causing the insecurity of breakwaters. In particular, the deadweights, though directly contributing to the seismic forces, show a small effect on the stability of foundations. The calibration shows that the load factors slightly vary with an increase in the target reliability index and set 1.10 for three safety levels. In contrast, the resistance factor exhibits an inverse relationship with the specified reliability index. Especially when the load factor equals 1.10, the resistance factors are 0.90, 0.85, and 0.80, corresponding to the reliability index of 2.0, 2.5, and 3.0, respectively. Eventually, it is proved that the sensitivity analysis prior to the calibration process makes the procedure more efficient. Accordingly, the iteration of simulation execution is diminished, and the convergence is quickly accomplished. Full article
(This article belongs to the Special Issue Sustainable Assessment and Modelling in Seismic Risk Mitigation)
Show Figures

Figure 1

15 pages, 6042 KB  
Article
Numerical Analysis of Vertical Breakwater Stability under Extreme Waves
by Meng-Syue Li, Cheng-Jung Hsu, Hung-Chu Hsu and Li-Hung Tsai
J. Mar. Sci. Eng. 2020, 8(12), 986; https://doi.org/10.3390/jmse8120986 - 3 Dec 2020
Cited by 15 | Viewed by 3961
Abstract
The purpose of this study is to perform a numerical simulation of caisson breakwater stability concerning the effect of wave overtopping under extreme waves. A numerical model, which solves two-dimensional Reynolds-averaged Navier–Stokes equations with the k−ε turbulence closure and uses the volume of [...] Read more.
The purpose of this study is to perform a numerical simulation of caisson breakwater stability concerning the effect of wave overtopping under extreme waves. A numerical model, which solves two-dimensional Reynolds-averaged Navier–Stokes equations with the k−ε turbulence closure and uses the volume of fluid method for surface capturing, is validated with the laboratory observations. The numerical model is shown to accurately predict the measured free-surface profiles and the wave pressures around a caisson breakwater. Considering the dynamic loading on caisson breakwaters during overtopping waves, not only landward force and lift force but also the seaward force are calculated. Model results suggest that the forces induced by the wave overtopping on the back side of vertical breakwater and the phase lag of surface elevations have to be considered for calculating the breakwater stability. The numerical results also show that the failure of sliding is more dangerous than the failure of overturning in the vertical breakwater. Under extreme waves with more than 100 year return period, the caisson breakwater is sliding unstable, whereas it is safe in overturning stability. The influence of wave overtopping on the stability analysis is dominated by the force on the rear side of the caisson and the phase difference on the two ends of caisson. For the case of extreme conditions, if the impulse force happens at the moment of the minimum of load in the rear side, the safety factor might decrease significantly and the failure of sliding might cause breakwater damage. This paper demonstrates the potential stability failure of coastal structures under extreme sea states and provides adapted formulations of safety factors in dynamic form to involve the influence of overtopping waves. Full article
(This article belongs to the Special Issue Wave Interactions with Coastal Structures)
Show Figures

Figure 1

31 pages, 5944 KB  
Article
Applicability of the Goda–Takahashi Wave Load Formula for Vertical Slender Hydraulic Structures
by Nadieh Elisabeth Meinen, Raphaël Daniël Johannes Maria Steenbergen, Bas Hofland and Sebastiaan Nicolaas Jonkman
J. Mar. Sci. Eng. 2020, 8(11), 868; https://doi.org/10.3390/jmse8110868 - 31 Oct 2020
Cited by 1 | Viewed by 8491
Abstract
Vertical slender hydraulic structures such as sluices, navigation locks, or storm-surge barriers are often dynamically loaded by waves. For a safe and economic design, an accurate description of the wave loads is needed. A widely used formula for this purpose is the Goda–Takahashi [...] Read more.
Vertical slender hydraulic structures such as sluices, navigation locks, or storm-surge barriers are often dynamically loaded by waves. For a safe and economic design, an accurate description of the wave loads is needed. A widely used formula for this purpose is the Goda–Takahashi wave load formula (GT). It was derived for the assessment of gravity-based caisson breakwaters. Due to its many advantages, the formula is also often employed for the assessment of vertical slender hydraulic structures, although its applicability to those type of structures was never fully demonstrated. This study provides insights in the applicability of GT for vertical slender hydraulic structures. This is done based on a literature review on the historical backgrounds of GT, and an investigation of several case-studies. In the case-studies, the equivalent-static wave loads for caisson breakwaters in scope of GT are compared with those for vertical slender hydraulic structures. The results show that GT can safely be applied for vertical slender hydraulic structures loaded by pulsating wave loads, but that systematic over- or under-estimations are expected for breaking or impact wave loads. For individual cases, differences up to 200% were obtained. These large over- or under-estimations underline the need for an improvement of the current design tools for vertical slender hydraulic structures loaded by breaking or impact wave loads. Full article
(This article belongs to the Special Issue Dynamic Response of Marine Structures under Wave Action)
Show Figures

Figure 1

22 pages, 7770 KB  
Article
Wave Force Characteristics and Stability of Detached Breakwaters Consisting of Open Cell Caissons Interlocked via Crushed Stones
by Byeong Wook Lee, Jae-Sang Jung, Woo-Sun Park and Jae-Seon Yoon
Water 2020, 12(10), 2873; https://doi.org/10.3390/w12102873 - 15 Oct 2020
Cited by 4 | Viewed by 4124
Abstract
The maximum external force acting on a long continuous harbor structure can be reduced by controlling the phase difference of forces acting longitudinally. This strategy can be used to increase the structural stability of breakwaters consisting of caissons. Breakwaters have been developed using [...] Read more.
The maximum external force acting on a long continuous harbor structure can be reduced by controlling the phase difference of forces acting longitudinally. This strategy can be used to increase the structural stability of breakwaters consisting of caissons. Breakwaters have been developed using interlocking caissons to effectively respond to the constant increase in wave height due to climate change. In this study, we investigated the wave force characteristics and stability of a detached breakwater consisting of open cell caissons interlocked via crushed stones. We performed wave basin experiments and compared the results with analytical solutions of linear diffraction waves. The results revealed that the maximum wave force acting on the front of the breakwater decreased as the incident angle increased, reducing by as much as 79% for an incident angle of 30°. Although the variability of the maximum wave force for each caisson is large owing to the influence of the diffracted waves, the maximum wave force acting on the entire detached breakwater was not significantly affected by this variability. The analytical solutions based on linear wave theory agreed with the experimental results, indicating that the findings can be applied to actual designs. The structural stability of the breakwater was enhanced, even for low incident wave angles, compared to that of a single integral structure, as the frictional resistance produced by the sliding structure increased due to the shear resistance between the filled crushed stones and the rubble mound. Full article
(This article belongs to the Special Issue Wave-structure Interaction Processes in Coastal Engineering)
Show Figures

Figure 1

Back to TopTop