Sign in to use this feature.

Years

Between: -

Subjects

remove_circle_outline
remove_circle_outline
remove_circle_outline
remove_circle_outline
remove_circle_outline
remove_circle_outline
remove_circle_outline
remove_circle_outline
remove_circle_outline

Journals

Article Types

Countries / Regions

Search Results (215)

Search Parameters:
Keywords = cabin design

Order results
Result details
Results per page
Select all
Export citation of selected articles as:
24 pages, 6868 KB  
Article
Study on Multi-Parameter Collaborative Optimization of Motor-Pump Stator Slotting for Cogging Torque and Noise Suppression Mechanism
by Geqiang Li, Xiaojie Guo, Xiaowen Yu, Min Zhao and Shuai Wang
World Electr. Veh. J. 2026, 17(1), 39; https://doi.org/10.3390/wevj17010039 - 13 Jan 2026
Viewed by 39
Abstract
As a highly integrated and compact power unit, the motor-pump finds critical applications in emerging electric vehicle (EV) domains such as electro-hydraulic braking and steering systems, where its vibration and noise performance directly impacts cabin comfort. A key factor limiting its NVH (Noise, [...] Read more.
As a highly integrated and compact power unit, the motor-pump finds critical applications in emerging electric vehicle (EV) domains such as electro-hydraulic braking and steering systems, where its vibration and noise performance directly impacts cabin comfort. A key factor limiting its NVH (Noise, Vibration, and Harshness) performance is the electromagnetic vibration and noise induced by the cogging torque of the built-in brushless DC motor (BLDCM). Traditional suppression methods that rely on stator auxiliary slots exhibit certain limitations. To address this issue, this paper proposes a collaborative optimization method integrating multi-parameter scanning and response surface methodology (RSM) for the design of auxiliary slots on the motor-pump’s stator teeth. The approach begins with a multi-parameter scanning phase to identify a promising region for global optimization. Subsequently, an accurate RSM-based prediction model is established to enable refined parameter tuning. Results demonstrate that the optimized stator structure achieves a 91.2% reduction in cogging torque amplitude for the motor-pump. Furthermore, this structure effectively suppresses radial electromagnetic force, leading to a 5.1% decrease in the overall sound pressure level. This work provides a valuable theoretical foundation and a systematic design methodology for cogging torque mitigation and low-noise design in motor-pumps. Full article
(This article belongs to the Section Propulsion Systems and Components)
Show Figures

Figure 1

27 pages, 3033 KB  
Article
Innovative Approaches to Acoustic Comfort in Vehicles: Experimental Assessment and Strategic Noise Reduction Solutions
by Petruța Blaga, Bianca-Mihaela Cășeriu and Cristina Veres
Appl. Sci. 2026, 16(2), 580; https://doi.org/10.3390/app16020580 - 6 Jan 2026
Viewed by 175
Abstract
This study presents a rigorous experimental investigation of in-cabin acoustic comfort across a heterogeneous set of road and special-purpose vehicles. Interior noise measurements were conducted on a total of 35 vehicles, comprising five vehicles from each of seven operational categories, grouped according to [...] Read more.
This study presents a rigorous experimental investigation of in-cabin acoustic comfort across a heterogeneous set of road and special-purpose vehicles. Interior noise measurements were conducted on a total of 35 vehicles, comprising five vehicles from each of seven operational categories, grouped according to RNTR-2 regulations into three distinct vehicle classes: N1, N2, and N2G. The adopted research methodology ensures a unified, phenomenological, and experimental approach to the assessment of interior vehicle acoustics, enabling consistent data acquisition and comparative analysis across vehicle classes. Measurements were performed under both stationary and dynamic operating conditions using Class 1 precision instrumentation. The experimental results reveal systematic differences in acoustic performance between vehicle classes. While N1 and N2 vehicles generally comply with recommended comfort thresholds, N2G special-purpose vehicles exhibit significantly elevated interior noise levels, reaching up to 90 dBA during dynamic operation, together with increased variability at higher engine regimes. These findings highlight the influence of vehicle architecture, operational conditions, and mission-oriented design constraints on vibro-acoustic behavior. Passive noise control solutions based on advanced sound-absorbing and sound-insulating materials were further evaluated, demonstrating interior noise reductions of up to 10 dBA. The scientific contribution of this work lies in the establishment of a unified, reproducible methodology that enables direct cross-category comparison of in-cabin acoustic comfort while explicitly integrating special-purpose vehicles into a comfort-oriented analytical paradigm. By moving beyond regulatory compliance toward a multidimensional interpretation of acoustic comfort, the study provides a robust foundation for vehicle design optimization and supports the future development of dedicated comfort assessment standards. Full article
Show Figures

Figure 1

30 pages, 6289 KB  
Article
Battery Electric Vehicle Thermal Management System Modelling and Validation
by Perla Yadav, Lakith Jinadasa, Alex Wray, Simon Petrovich, Marios Georgiou and Kambiz Ebrahimi
Thermo 2026, 6(1), 4; https://doi.org/10.3390/thermo6010004 - 5 Jan 2026
Viewed by 285
Abstract
Improving the architecture and control strategies of thermal management systems (TMSs) is crucial for minimizing energy consumption in heating and cooling components, thereby enhancing the driving range of Battery Electric Vehicles (BEVs). This study presents a holistic approach for developing an Integrated Thermal [...] Read more.
Improving the architecture and control strategies of thermal management systems (TMSs) is crucial for minimizing energy consumption in heating and cooling components, thereby enhancing the driving range of Battery Electric Vehicles (BEVs). This study presents a holistic approach for developing an Integrated Thermal Management System (ITMS) based on an Octo-valve-type architecture, designed to efficiently manage the thermal demands of both the cabin and powertrain components. Empirical data were collected under various heating and cooling scenarios across a wide operating temperature range (−20 °C to 40 °C), and these data were used to parametrize and validate key ITMS components. Experimental results demonstrated that the parametrized simulation model closely replicated the cabin and battery thermal behavior observed in vehicle tests, particularly under cooling conditions. Minor deviations, such as cabin temperature overshoot during heating scenarios, were attributed to duct thermal effects and control tuning limitations. Overall, the optimized Octo-valve-based ITMS architecture exhibited thermal trends consistent with literature references and effectively validated the proposed control strategy, demonstrating improved thermal efficiency and potential range enhancement for BEVs across diverse environmental conditions. Furthermore, ITMS energy consumption over the indicated temperature range is quantified in this research paper. Full article
Show Figures

Figure 1

25 pages, 9413 KB  
Article
Thermal Analysis of the Electronic Equipment Cabin of Vehicles Under Long-Endurance and High-Speed Flight Conditions
by Fuqiang Ma, Sheng Wang, Yuan Li, Xianglin Li and Feng Wang
Aerospace 2026, 13(1), 41; https://doi.org/10.3390/aerospace13010041 - 30 Dec 2025
Viewed by 214
Abstract
Under long-duration and high-speed flight conditions, the combined effects of external aeroheating and internal heat dissipation pose complex and challenging thermal design issues for the electronic equipment cabin of flight vehicles. This study employs a partitioned modeling strategy. By comparing the complexity of [...] Read more.
Under long-duration and high-speed flight conditions, the combined effects of external aeroheating and internal heat dissipation pose complex and challenging thermal design issues for the electronic equipment cabin of flight vehicles. This study employs a partitioned modeling strategy. By comparing the complexity of heat transfer pathways, the contact surface between the thermal protection structure (TPS) and the skin is selected as the interface. A two-way thermal coupling analysis model is established to investigate heat flux transport characteristics and coupling mechanisms between internal and external thermal environments of the electronic equipment cabin. The results indicate that the external thermal environment affects the internal environment primarily through the consumption of heat sink capacity by aeroheating penetrating the TPS, and the coupling effect intensifies with flight speed and duration. The internal thermal environment influences the external thermal environment by suppressing the penetration of aeroheating, and the coupling strength shows high sensitivity to the total internal heat dissipation. Heat conduction accounts for over 70% of the total heat transfer within the electronic equipment cabin, underscoring the importance of optimizing conductive heat transfer in thermal design. Compared to the conventional serial design approach based on the one-way coupling model, the collaborative thermal design derived from the two-way coupling model can achieve lower redundancy, lighter weight, and higher reliability. This paper is expected to provide support for the accurate thermal response prediction and collaborative thermal design of high-speed flight vehicles. Full article
(This article belongs to the Section Aeronautics)
Show Figures

Figure 1

25 pages, 8343 KB  
Article
Optimizing Cotton Picker Cab Layout Based on Upper-Limb Biomechanics Using the AMS-RF-DBO Framework
by Haocheng Tang, Zikai Wei, Yongman Zhao, Yating Li, Zhongbiao He, Jingqi Gong and Yuan Wu
Appl. Sci. 2026, 16(1), 411; https://doi.org/10.3390/app16010411 - 30 Dec 2025
Viewed by 161
Abstract
Prolonged operation of cotton picker poses significant risks of work-related musculoskeletal disorders (WMSDs), primarily driven by non-ergonomic cab layouts that fail to accommodate the unique “left-hand steering, right-hand lever” operational mode. Traditional optimization methods, relying on general digital human models or isolated surface [...] Read more.
Prolonged operation of cotton picker poses significant risks of work-related musculoskeletal disorders (WMSDs), primarily driven by non-ergonomic cab layouts that fail to accommodate the unique “left-hand steering, right-hand lever” operational mode. Traditional optimization methods, relying on general digital human models or isolated surface electromyography (sEMG) measurements, often lack the physiological fidelity and computational efficiency for high-dimensional, personalized design. To address this interdisciplinary challenge in agricultural engineering and ergonomics, this study proposes a novel AMS-RF-DBO framework that integrates high-fidelity biomechanical simulation with intelligent optimization. A driver–cabin biomechanical model was developed using the AnyBody Modeling System (AMS) and validated against sEMG data (ICC = 0.695). This model generated a dataset linking cab layout parameters to maximum muscle activation (MA). Using steering wheel and control lever coordinates (X, Y, Z) as inputs, a Random Forest (RF) regression model demonstrated strong performance (R2 = 0.91). Optimization with the Dung Beetle Optimizer (DBO) algorithm yielded an optimal configuration: steering wheel (L1 = 434 mm, H1 = 738 mm, θ = 32°) and control lever (L2 = 357 mm, H2 = 782 mm, M = 411 mm), reducing upper-limb MA from 3.82% to 1.47% and peak muscle load by 61.5%. This study not only provides empirical support for ergonomic cab design in cotton pickers to reduce operator fatigue and health risks but also establishes a replicable technical paradigm for ergonomic optimization of other specialized agricultural machinery. Full article
(This article belongs to the Section Agricultural Science and Technology)
Show Figures

Figure 1

18 pages, 4413 KB  
Article
Study on the Influence of Structural Dimensions on Plate Deflection Under Confined Blast
by Zirui Fan, Jianping Yin, Xudong Li and Lanyang Liu
Appl. Sci. 2026, 16(1), 287; https://doi.org/10.3390/app16010287 - 27 Dec 2025
Viewed by 152
Abstract
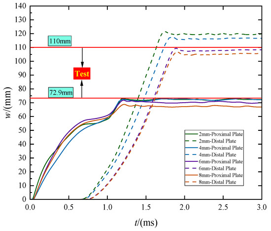
The damage assessment of structures subjected to confined internal blast remains a focal point in the field of explosion. However, current research results are mostly limited to the situation where the cabin structure dimensions remain constant, and the influence of cabin structure dimensions [...] Read more.
The damage assessment of structures subjected to confined internal blast remains a focal point in the field of explosion. However, current research results are mostly limited to the situation where the cabin structure dimensions remain constant, and the influence of cabin structure dimensions on damage effect under internal blast has not been systematically considered. In order to study the influence of structural dimensions on deformation and deflection of plate under confined blast loadings, LS-DYNA R11.1 finite element simulation software was used, based on a fluid–structure interaction (FSI) algorithm, to carry out simulation research on blast under different cabin structure parameters. The propagation law of blast shock waves under different cabin structure parameters was analyzed, and the deformation and deflection of the plate at the end of the cabin under different explosion equivalent and explosion point positions were studied. The results indicate that when the mass of the explosive remains constant, the location of the explosion point and the structural parameters of the cabin are the main factors affecting the deformation and deflection of the plate. When the distance between the explosion point and the proximal plate is the same and the aspect ratio is 2, the deflection of the proximal plate is smaller than that of the distal plate. When the aspect ratio is 3, as the distance between the explosion point and the proximal plate increases, the deflection of the proximal plate gradually increases, while the deflection of the distal plate first decreases and then increases. When the aspect ratio is 4, 5, and 6, as the distance between the explosion point and the proximal plate increases, the deflection of the proximal plate first increases and then decreases, and the deflection of the distal target plate first decreases and then increases. The research results can provide some reference for the damage assessment of internal blast in structures and the design of structural protection. Full article
(This article belongs to the Section Marine Science and Engineering)
Show Figures

Figure 1

23 pages, 8067 KB  
Article
Closed-Loop Inner–Outer Dual-Loop Attitude Adjustment Control for Dual-Super Spacecraft with Pointing Constraints
by Jiaxiang Xie, Jie Qin, Chensheng Cai, Fanwei Meng and Aiping Pang
Mathematics 2025, 13(23), 3748; https://doi.org/10.3390/math13233748 - 21 Nov 2025
Viewed by 307
Abstract
As a high-precision and high-stability engineering platform for aerospace missions, the dual-super spacecraft is subject to numerous environmental constraints and disturbances in increasingly complex space environments, posing significant challenges to its attitude maneuvering process. Unlike traditional spacecraft, the dual-super spacecraft consists of two [...] Read more.
As a high-precision and high-stability engineering platform for aerospace missions, the dual-super spacecraft is subject to numerous environmental constraints and disturbances in increasingly complex space environments, posing significant challenges to its attitude maneuvering process. Unlike traditional spacecraft, the dual-super spacecraft consists of two cabins: a payload cabin and a platform cabin, with a magnetic levitation mechanism installed between them to prevent vibration transmission. This paper establishes a multi-coupled attitude model for the payload cabin, the platform cabin, and the magnetic levitation mechanism between them. Additionally, a collision avoidance control strategy is designed for the magnetic levitation mechanism to ensure the operational safety of the entire system. To address the external environmental constraints, a closed-loop dual-loop control framework is proposed for the payload cabin. The outer-loop performs stability control on the payload cabin, while the inner-loop employs explicit reference governor (ERG) to handle pointing constraints. The platform cabin follows the attitude control of the payload cabin, forming a master–slave coordinated control scheme. Simulation results demonstrate that the proposed multi-coupled control system framework performs effectively, ensuring both the satisfaction of pointing constraints and the operational safety of the dual-super spacecraft system. Full article
Show Figures

Figure 1

14 pages, 4594 KB  
Article
Experimental Study on the Melt Dripping Behavior of Flexible Polyurethane Foam in an Oscillating Ship Cabin
by Wenfeng Shen, Zhenyu Wang, Dimeng Lai, Yujin Huang, Huanghuang Zhuang, Zhongqin Liu and Hongzhou He
Fire 2025, 8(11), 446; https://doi.org/10.3390/fire8110446 - 17 Nov 2025
Viewed by 712
Abstract
Flexible polyurethane foam (FPUF) is widely used in ship cabins yet poses significant fire hazards due to its flammability and tendency to melt and drip during combustion. While previous studies have primarily focused on dripping behavior under static conditions, the effect of oscillatory [...] Read more.
Flexible polyurethane foam (FPUF) is widely used in ship cabins yet poses significant fire hazards due to its flammability and tendency to melt and drip during combustion. While previous studies have primarily focused on dripping behavior under static conditions, the effect of oscillatory motion, typical in maritime environments, remains poorly understood. This study investigated the dripping behavior of FPUF under both static and oscillating conditions using a custom-made experimental platform simulating ship motions. The results reveal that under static conditions, side ignition leads to a higher dripping frequency than central ignition. Under oscillation, central ignition produces a greater number of drips and higher dripping frequency compared to static conditions. Although oscillation promotes the formation of smaller droplets and reduces the proportion of large-size flaming drips, the absolute number of such flaming drips increases, elevating fire spread risk. Furthermore, while oscillation frequency and amplitude have limited effects on dripping frequency, they significantly expand the dripping spread range, which increased by over 300% at 30° and 0.1 Hz compared to static conditions. These findings provide insights for improving fire risk assessment and safety design of polymeric materials in dynamic operational environments such as ships. Full article
Show Figures

Figure 1

19 pages, 1535 KB  
Article
Geometric Method for Solving the Rope Path Curve for Cabin Deceleration in Cable Car Station
by Sergej Težak and Kristijan Cafuta
Symmetry 2025, 17(11), 1945; https://doi.org/10.3390/sym17111945 - 13 Nov 2025
Viewed by 556
Abstract
In the article “New Technological Approach to Cable Car Boarding”, the authors attempted to correctly design the curve geometrically along which the rope moves through the station during the deceleration of cabins with attaching platforms in a central position, primarily intended for mass [...] Read more.
In the article “New Technological Approach to Cable Car Boarding”, the authors attempted to correctly design the curve geometrically along which the rope moves through the station during the deceleration of cabins with attaching platforms in a central position, primarily intended for mass public transport. Since the suspension continuously connects the cabin and the rope during cabin deceleration, the rope moves at a constant speed along a special curve that enables the cabin to stop in the central position. This curve is symmetric with respect to the longitudinal axis of the station. However, the authors found that in the previous article presenting this cable car system, an error was made in the geometric design of the rope path curve, which the original authors were not aware of at the time. They determined that, in the presented example, a suspension length of 8 m was too short for the combination of rope speed of 5 m/s (cable car speed) and cabin deceleration of 0.5 m/s2. This article revisits this geometric problem in greater detail. The study shows that not every combination of rope speed, suspension length, and cabin deceleration in the central position functions correctly. First, the boundary conditions and spatial constraints of the rope path curve were defined. Based on the upper bound and lower bound rope path lengths, the optimal or correct shape of the rope path curve was determined geometrically. The study concludes that for a given combination of rope speed (cable car speed) and cabin deceleration, only one suspension length is suitable. In the case of a rope speed of 5 m/s and cabin deceleration of 0.5 m/s2, the correct suspension length is 16.85 m. The authors also found that the result depends on the time interval used in constructing the curve. Full article
(This article belongs to the Section Mathematics)
Show Figures

Figure 1

21 pages, 3368 KB  
Article
Analysis of Thermal Runaway Performance of Power Batteries for Airworthy Electric Aircraft
by Po Hu, Xinbo Chai, Chenghao Hou and Chengxin Guan
Processes 2025, 13(11), 3515; https://doi.org/10.3390/pr13113515 - 2 Nov 2025
Viewed by 862
Abstract
Electric aircraft powered by lithium batteries (LIBs) have seen rapid development in recent years, making research into their thermal runaway (TR) characteristics crucial for ensuring flight safety. This study focused on the individual battery cells of a specific electric aircraft power battery system, [...] Read more.
Electric aircraft powered by lithium batteries (LIBs) have seen rapid development in recent years, making research into their thermal runaway (TR) characteristics crucial for ensuring flight safety. This study focused on the individual battery cells of a specific electric aircraft power battery system, conducting TR experiments under both the aircraft’s service ceiling temperature (−8.5 ± 2 °C) and ground ambient temperature (30 ± 2 °C). The experiments analyzed changes in battery temperature, voltage, and mass during TR. Experimental results indicate that the peak TR temperatures reached 589.6 °C and 654 °C under the two environments, respectively, with maximum heating rates of 8.6 °C/s and 16.9 °C/s. At ambient ground temperatures, battery voltage drops more rapidly, with the voltage of a 100% SOC battery decreasing over just 10 s. Peak mass loss during TR reached 265.48 g and 247.52 g, respectively. Combining TR temperature data with the Semenov thermal runaway model, the minimum ambient temperature causing TR in this electric aircraft power battery under sustained external heating was determined to be approximately 39 °C. Finally, a multi-level protection strategy covering the “airframe–battery compartment–cabin” was established. The findings from this research can serve as a reference for subsequent safety design of this aircraft type and the formulation of relevant airworthiness standards. Full article
(This article belongs to the Section Energy Systems)
Show Figures

Figure 1

17 pages, 2869 KB  
Article
Vehicle Indoor Air Quality Due to External Pollutant Ingress While Driving
by Ho-Hyeong Yang, In-Ji Park, Cha-Ryung Kim, Hyun-Woo Lee and Ho-Hyun Kim
Atmosphere 2025, 16(11), 1238; https://doi.org/10.3390/atmos16111238 - 27 Oct 2025
Viewed by 1461
Abstract
Vehicle indoor air quality (VIAQ) remains poorly standardized despite its growing health relevance. This study developed and applied a real-road test protocol to quantify in-cabin exposure to particulate and gaseous pollutants under different heating, ventilation, and air-conditioning (HVAC) modes: outside air (OA), recirculation [...] Read more.
Vehicle indoor air quality (VIAQ) remains poorly standardized despite its growing health relevance. This study developed and applied a real-road test protocol to quantify in-cabin exposure to particulate and gaseous pollutants under different heating, ventilation, and air-conditioning (HVAC) modes: outside air (OA), recirculation (RC), and automatic (Auto). Concentrations of PM2.5, particle number (PN), NO, and NO2 were simultaneously measured inside and outside passenger vehicles using validated instruments. In-cabin PM2.5 levels were lowest in RC, intermediate in Auto, and highest in OA, showing strong HVAC dependence. Particle number distributions were dominated by submicron particles (<1.0 μm). Under RC, NO gradually increased while NO2 decreased, likely due to NO–NO2 interconversion and activated-carbon filtration. Short-duration, reproducible on-road tests were conducted under standardized vehicle, occupant, and HVAC settings to minimize variability. Although external conditions could not be fully controlled, consistent routes and configurations ensured comparability. The findings highlight HVAC operation as the dominant factor governing short-term VIAQ and provide practical insight toward harmonized test procedures and design improvements for cabin air management. Full article
(This article belongs to the Section Air Quality)
Show Figures

Figure 1

47 pages, 37877 KB  
Article
Building Shared Histories: Dioramas, Architectural Models, Collaboration, and Transatlantic African American Spaces, 1900–1940
by Emily C. Burns
Arts 2025, 14(6), 127; https://doi.org/10.3390/arts14060127 - 23 Oct 2025
Viewed by 2015
Abstract
Between 1900 and 1940, African American participants in transatlantic public exhibitions reclaimed a medium that often oppressed non-White bodies: the diorama. This essay traces a transatlantic conversation among African American artists about how to render Black history in diorama form, leveraging the miniature [...] Read more.
Between 1900 and 1940, African American participants in transatlantic public exhibitions reclaimed a medium that often oppressed non-White bodies: the diorama. This essay traces a transatlantic conversation among African American artists about how to render Black history in diorama form, leveraging the miniature format to make political arguments. In diorama series which circulated on both sides of the Atlantic, such as those designed by Thomas W. Hunster for the Exhibit of American Negroes in the Paris Universal Exposition in 1900 and the Pan-American Exposition in 1901, Meta Vaux Warrick Fuller for the Jamestown Ter-Centennial Exposition in 1907, and Charles C. Dawson for the American Negro Exposition in Chicago in 1940, African American makers selectively used architectural models to signify histories of oppression and liberation as they told transatlantic stories about Black migration and enslavement. This essay argues that this set of dioramas is entwined, growing from 9 to 14 to 33, and that Hunster, Fuller, and Dawson all rendered archetypal buildings, such as slave cabins or plantation homes, to designate the wide and encompassing scope of oppression, while they reference singular buildings associated with public institutions from government to universities—the M Street School in Washington DC, Carnegie Library at Howard University, Mother Bethel AME Church in Philadelphia, the Old Massachusetts State House, and the White House—to signify and emplace spaces of Black liberation. Building on research on the layered functions of miniatures and drawing on burgeoning scholarship on entwinements between race and architecture, the article speculates on how architecture style signifies through the models to reinforce what James C. Scott has parsed as dominant narratives and hidden transcripts. Seeking to build Black futurity, all three series facilitated community participation and collaboration to produce an intersocial construction of transatlantic African American history built through mobile models of architecture. Full article
(This article belongs to the Special Issue Black Artists in the Atlantic World)
Show Figures

Figure 1

37 pages, 19663 KB  
Article
Research on Hydrogen Leakage Risk Control Methods in Deck Compartments of Hydrogen Fuel Cell-Powered Ships Based on CFD Simulation and Ventilation Optimization
by Xiaoyu Liu, Jie Zhu, Zhongcheng Wang, Zhenqiang Fu and Meirong Liu
Fire 2025, 8(10), 400; https://doi.org/10.3390/fire8100400 - 14 Oct 2025
Viewed by 1579
Abstract
Hydrogen fuel cell vessels represent a vital direction for green shipping, but the risk of large-scale hydrogen leakage and diffusion in their enclosed compartments is particularly prominent. To enhance safety, a simplified three-dimensional model of the deck-level cabins of the “Water-Go-Round” passenger ship [...] Read more.
Hydrogen fuel cell vessels represent a vital direction for green shipping, but the risk of large-scale hydrogen leakage and diffusion in their enclosed compartments is particularly prominent. To enhance safety, a simplified three-dimensional model of the deck-level cabins of the “Water-Go-Round” passenger ship was established using SolidWorks (2023) software. Based on a hydrogen leakage and diffusion model, the effects of leakage location, leakage aperture, and initial ambient temperature on the diffusion patterns and distribution of hydrogen within the cabins were investigated using FLUENT software. The results show that leak location significantly affects diffusion direction, with hydrogen leaking from the compartment ceiling diffusing horizontally much faster than from the floor. When leakage occurs at the compartment ceiling, hydrogen can reach a maximum horizontal diffusion distance of up to 5.04 m within 540 s; the larger the leak aperture, the faster the diffusion, with a 10 mm aperture exhibiting a 40% larger diffusion range than a 6 mm aperture at 720 s. The study provides a theoretical basis for the safety design and risk prevention of hydrogen fuel cell vessels. Full article
(This article belongs to the Special Issue Fire and Explosion Prevention in Maritime and Aviation Transportation)
Show Figures

Figure 1

18 pages, 5708 KB  
Article
Directly Heated Solid Media Thermal Energy Storage System for Heat Supply in Battery Electric Vehicles: A Holistic Evaluation
by Thorsten Ott and Volker Dreißigacker
Energies 2025, 18(20), 5354; https://doi.org/10.3390/en18205354 - 11 Oct 2025
Viewed by 602
Abstract
Battery electric vehicles (BEVs) play a key role in reducing CO2 emissions and enabling a climate-neutral economy. However, they suffer from reduced range in cold conditions due to electric cabin heating. Electrically heated thermal energy storage (TES) systems can decouple heat generation [...] Read more.
Battery electric vehicles (BEVs) play a key role in reducing CO2 emissions and enabling a climate-neutral economy. However, they suffer from reduced range in cold conditions due to electric cabin heating. Electrically heated thermal energy storage (TES) systems can decouple heat generation from demand, thereby preventing a loss of range. For this purpose, a novel concept based on a directly electrically heated ceramic solid media TES is investigated, aiming to achieve high storage density while enabling both high charging and discharging powers. To assess the feasibility of the proposed TES concept in BEVs, a holistic evaluation of central aspects is conducted, including experimental characterization for material selection, experimental investigations on electrical contacting, and simulations of the electrothermal charging and thermal discharging processes under vehicle-relevant conditions. As a result of the material characterization, a promising material—a silicon carbide-based composite—was identified, which meets the electrothermal requirements under typical household charging conditions and allows reliable operation with silver-metallized electrodes. Design studies with this material show gravimetric energy densities—including thermal insulation demand—exceeding 100 Wh/kg, storage utilization of up to 90%, and fast charging within 25 min, while offering 5 kW at flexible temperature levels for cabin heating during thermal discharging. These results show that the basic prerequisites for such storage systems are met, while further development—particularly in terms of material improvements—remains necessary. Full article
(This article belongs to the Section E: Electric Vehicles)
Show Figures

Figure 1

19 pages, 7379 KB  
Article
Criterion Circle-Optimized Hybrid Finite Element–Statistical Energy Analysis Modeling with Point Connection Updating for Acoustic Package Design in Electric Vehicles
by Jiahui Li, Ti Wu and Jintao Su
World Electr. Veh. J. 2025, 16(10), 563; https://doi.org/10.3390/wevj16100563 - 2 Oct 2025
Viewed by 498
Abstract
This research is based on the acoustic package design of new energy vehicles, investigating the application of the hybrid Finite Element–Statistical Energy Analysis (FE-SEA) model in predicting the high-frequency dynamic response of automotive structures, with a focus on the modeling and correction methods [...] Read more.
This research is based on the acoustic package design of new energy vehicles, investigating the application of the hybrid Finite Element–Statistical Energy Analysis (FE-SEA) model in predicting the high-frequency dynamic response of automotive structures, with a focus on the modeling and correction methods for hybrid point connections. New energy vehicles face unique acoustic challenges due to the special nature of their power systems and operating conditions, such as high-frequency noise from electric motors and electronic devices, wind noise, and road noise at low speeds, which directly affect the vehicle’s ride comfort. Therefore, optimizing the acoustic package design of new energy vehicles to reduce in-cabin noise and improve acoustic quality is an important issue in automotive engineering. In this context, this study proposes an improved point connection correction factor by optimizing the division range of the decision circle. The factor corrects the dynamic stiffness of point connections based on wave characteristics, aiming to improve the analysis accuracy of the hybrid FE-SEA model and enhance its ability to model boundary effects. Simulation results show that the proposed method can effectively improve the model’s analysis accuracy, reduce the degrees of freedom in analysis, and increase efficiency, providing important theoretical support and reference for the acoustic package design and NVH performance optimization of new energy vehicles. Full article
Show Figures

Figure 1

Back to TopTop