Sign in to use this feature.

Years

Between: -

Subjects

remove_circle_outline
remove_circle_outline
remove_circle_outline
remove_circle_outline
remove_circle_outline
remove_circle_outline
remove_circle_outline

Journals

Article Types

Countries / Regions

Search Results (21)

Search Parameters:
Keywords = briquetting pressure

Order results
Result details
Results per page
Select all
Export citation of selected articles as:
23 pages, 6053 KB  
Article
Investigation of the Possibility of Obtaining Metallized Titanomagnetite Briquettes Suitable for Utilization in the Steelmaking Process
by Andrey N. Dmitriev, Galina Yu. Vitkina, Elena A. Vyaznikova, Roman V. Alektorov, Vladimir V. Kataev, Larisa A. Marshuk and Yulia E. Burova
Metals 2025, 15(11), 1250; https://doi.org/10.3390/met15111250 - 16 Nov 2025
Cited by 1 | Viewed by 389
Abstract
The present study explores the production of metallized titanomagnetite briquettes, with a view to addressing two key issues. Firstly, it seeks to address the growing shortage of high-quality iron-bearing raw materials. Secondly, it looks at how to meet the increasingly stringent environmental constraints. [...] Read more.
The present study explores the production of metallized titanomagnetite briquettes, with a view to addressing two key issues. Firstly, it seeks to address the growing shortage of high-quality iron-bearing raw materials. Secondly, it looks at how to meet the increasingly stringent environmental constraints. The conventional blast-furnace treatment of titanomagnetite is hindered by the formation of refractory Ti-rich slags. It is hereby proposed that a single-cycle briquetting process in conjunction with a thermal reduction route should be utilized. This approach enables precise regulation of the Fe/flux ratio. Experiments were conducted on a low-grade titanomagnetite concentrate (68.5% Fe) from the Pervouralsk deposit (Russia). Cylindrical briquettes (D 15–20 mm, h 8–10 mm) were subjected to a pressure of 300 MPa during the pressing process, with the utilization of diverse binders comprising rubber cement, CaO, graphite + water, and basic oxygen-furnace (BOF) slag + sodium silicate. Following an oxidative pre-heating process at 1300 °C for two hours, followed by a gas-based reduction process at 1050 °C for three hours, with a CO/N2 ratio of 90/10, the products demonstrated an oxidation rate of 85–95% and a cold compression strength of 16–80 MPa. The highest observed strength (80 MPa) was obtained with a binder comprising CaO·MgO·2SiO2 (diopside/merwinite), which forms a low-viscosity melt, fills 90% of pores and crystallizes as acicular Mg-SFCA-I during cooling. Conversely, the CaO·TiO2 and FeO·TiO2 + Fe3C associations yield brittle structures and a maximum strength of 16 MPa. The optimum briquette (0.55% CaO, D/H = 20/10 mm) exhibited a 95.7% metallization degree, a compressive strength of 48.9 MPa, and dimensional changes within acceptable limits, thus fulfilling the requirements for electric arc furnace feedstock. Further research is required in the form of a full Life Cycle Assessment and pilot-scale testing. However, the results obtained thus far confirm that titanomagnetite briquettes with a binder consisting of CaO, MgO and SiO2 are a promising alternative to pellets for low-carbon steelmaking. Full article
Show Figures

Figure 1

24 pages, 5054 KB  
Article
Technology for the Production of Energy Briquettes from Bean Stalks
by Krzysztof Mudryk, Jarosław Frączek, Joanna Leszczyńska and Mateusz Krotowski
Energies 2025, 18(15), 4009; https://doi.org/10.3390/en18154009 - 28 Jul 2025
Viewed by 1284
Abstract
Biomass is gaining increasing importance as a renewable energy source in the global energy mix, offering a viable alternative to fossil fuels and contributing to the decarbonization of the energy sector. Among various types of biomass, agricultural residues such as bean stalks represent [...] Read more.
Biomass is gaining increasing importance as a renewable energy source in the global energy mix, offering a viable alternative to fossil fuels and contributing to the decarbonization of the energy sector. Among various types of biomass, agricultural residues such as bean stalks represent a promising feedstock for the production of solid biofuels. This study analyzes the impact of particle size and selected briquetting parameters (pressure and temperature) on the physical quality of briquettes made from bean stalks. The experimental procedure included milling the raw material using #8, #12, and #16 mesh screens, followed by compaction under pressures of 27, 37, and 47 MPa. Additionally, the briquetting die was heated to 90 °C to improve the mechanical durability of the briquettes. The results showed that both particle size and die temperature significantly influenced the quality of the produced briquettes. Briquettes made from the 16 mm fraction, compacted at 60 °C and 27 MPa, exhibited a durability of 55.76%, which increased to 82.02% when the die temperature was raised to 90 °C. Further improvements were achieved by removing particles smaller than 1 mm. However, these measures did not enable achieving a net calorific value above 14.5 MJ·kg−1. Therefore, additional work was undertaken, involving the addition of biomass with higher calorific value to the bean stalk feedstock. In the study, maize straw and miscanthus straw were used as supplementary substrates. The results allowed for determining their minimum proportions required to exceed the 14.5 MJ·kg−1 threshold. In conclusion, bean stalks can serve as a viable feedstock for the production of solid biofuels, especially when combined with other biomass types possessing more favorable energy parameters. Their utilization aligns with the concept of managing local agricultural residues within decentralized energy systems and supports the development of sustainable bioenergy solutions. Full article
Show Figures

Figure 1

17 pages, 48587 KB  
Article
Characterization of Briquettes from Potato Stalk Residues for Sustainable Solid Biofuel Production
by Marlon Andrés Piarpuezán Enríquez, Daniel Roberto Zapata Hidalgo and Fernando Pantoja-Suárez
Processes 2025, 13(6), 1851; https://doi.org/10.3390/pr13061851 - 12 Jun 2025
Cited by 2 | Viewed by 2142
Abstract
The development of biofuels aligned with the circular economy has gained increasing attention as a sustainable alternative to non-renewable energy sources. This study aims to evaluate the physical and thermal properties of biomass briquettes derived from potato stalk residues to assess their potential [...] Read more.
The development of biofuels aligned with the circular economy has gained increasing attention as a sustainable alternative to non-renewable energy sources. This study aims to evaluate the physical and thermal properties of biomass briquettes derived from potato stalk residues to assess their potential as biofuels. For this, dried potato stalk residues were subjected to pyrolysis for carbonization, followed by grinding and mixing with potato and achira binders in proportions of 10% and 20%, respectively. The briquetting process was performed at a pressure of 10 MPa with compaction times of 30 and 60 s. Scanning electron microscopy (SEM) revealed a porous structure with uniform binder distribution, while Raman spectroscopy confirmed the presence of D and G bands, indicative of amorphous carbon structures with graphite-like imperfections. Thermogravimetric analysis (TGA) determined a moisture content of 10%, which ensures stability. Non-carbonized briquettes exhibited higher compressive strength, withstanding forces in excess of 400 N at 20% deformation. The average calorific value of both briquette types was 15 MJ/kg, comparable to biofuels derived from sugarcane bagasse and rice hulls, with samples exceeding the 12 MJ/kg threshold for biomass fuel classification. These results indicate that potato stalk briquettes could be a viable biofuel alternative to support renewable energy diversification. Full article
(This article belongs to the Section Chemical Processes and Systems)
Show Figures

Figure 1

23 pages, 6146 KB  
Article
Design and Implementation of a Low-Pressure Briquetting Machine for the Use of Pinus spp. Wood Residues: An Approach to Appropriate Rural Technology
by Mario Morales-Máximo, Víctor Manuel Ruíz-García, José Guadalupe Rutiaga-Quiñones and Luis Bernado López-Sosa
Clean Technol. 2025, 7(1), 22; https://doi.org/10.3390/cleantechnol7010022 - 6 Mar 2025
Cited by 1 | Viewed by 3030
Abstract
This research analyzes the technical feasibility and implementation of an appropriate technology for the production of briquettes from Pinus spp. waste (sawdust and shavings) in a rural community in Michoacán, Mexico. The results indicate that local small-scale briquette production in the Pichátaro community [...] Read more.
This research analyzes the technical feasibility and implementation of an appropriate technology for the production of briquettes from Pinus spp. waste (sawdust and shavings) in a rural community in Michoacán, Mexico. The results indicate that local small-scale briquette production in the Pichátaro community has the potential to boost a local economy based on the manufacturing and marketing of densified solid biofuels. The design of the manual briquetting machine was developed through a participatory approach with community users. Structural simplicity and locally accessible maintenance were prioritized, the aspects that were addressed little in previous studies. The machine allows for the production of briquettes using a low-cost mixture composed of sawdust and Pinus spp. shavings, corn starch, and water. Based on local conditions and production needs, parameters such as reduced processing times and simplified manufacturing methods were identified as essential to establishing an efficient regional production and supply chain. Furthermore, the valorization of solid waste through the production of alternative biofuels contributes to the diversification of the energy matrix in rural residential sectors and small industries in communities in Mexico. The estimated cost of the machine is USD 75.44, and most of its components are easily replaceable, which favors its sustainability and prolonged use. This study demonstrates that the implementation of a low-pressure briquette system based on appropriate rural technologies represents a viable strategy for the use of wood waste and the promotion of sustainable energy solutions in rural communities. Full article
Show Figures

Graphical abstract

9 pages, 718 KB  
Article
Solid Biofuel from the Amazon: A Circular Economy Approach to Briquette Production from Wood Waste
by Mariana Vilas Boas, Antonio Jose Vinha Zanuncio, Duarte Neiva, Angélica de Cássia Oliveira Carneiro, Vinicius Resende de Castro, Benedito Rocha Vital, Paula Gabriella Surdi, Amélia Guimarães Carvalho, Vicente Toledo Machado de Morais Junior and Solange de Oliveira Araújo
Forests 2024, 15(8), 1328; https://doi.org/10.3390/f15081328 - 31 Jul 2024
Cited by 1 | Viewed by 2218
Abstract
The Amazon region contains numerous areas dedicated to sustainable timber extraction. This operation has low yields and generates a large amount of waste. However, this waste can be repurposed for energy generation, providing income for locals and reducing reliance on non-renewable energy sources [...] Read more.
The Amazon region contains numerous areas dedicated to sustainable timber extraction. This operation has low yields and generates a large amount of waste. However, this waste can be repurposed for energy generation, providing income for locals and reducing reliance on non-renewable energy sources prevalent in the region. This study aimed to assess the impact of torrefaction on various wood residues for briquette production. Wood residues from Mimosa scabrella Benth (Bracatinga), Dipteryx odorata (Aubl.) Willd. (Cumaru), and Aspidosperma populifolium A.DC. (Peroba mica) were torrefied at temperatures ranging from 180 to 220 °C for sixty minutes under a nitrogen atmosphere. Briquettes were produced using laboratory equipment with loading pressures between 7 and 14 MPa. Torrefied particle properties were evaluated based on proximate composition and calorific value tests, while briquette quality was assessed for physical and mechanical properties. The results demonstrated the briquetting potential of different wood species before and after torrefaction, with optimal outcomes achieved by torrefaction at 220 °C due to its enhancement of energy density. Briquettes showed optimal characteristics at compression pressures of 14 MPa, resulting in increased density (between 1.10 and 1.24 g·cm−3) and compression strength (between 7.20 and 21.02 MPa). The ash values were low and met the requirements. The utilization of waste for briquette production offers a significant alternative for energy generation in economically disadvantaged communities, while also enabling the replacement of non-renewable energy sources. Full article
(This article belongs to the Special Issue Energy Conversion and Efficient Utilization of Woody Biomass)
16 pages, 2855 KB  
Article
Effects of Process Variables on Physico-Mechanical Properties of Abura (Mitrogyna ciliata) Sawdust Briquettes
by Joseph Ifeolu Orisaleye, Simeon Olatayo Jekayinfa, Adebayo Adeyemi Ogundare, Mojirade Rashidat Shittu, Oluwatomiwa Olalekan Akinola and Kazeem Olabisi Odesanya
Biomass 2024, 4(3), 671-686; https://doi.org/10.3390/biomass4030037 - 1 Jul 2024
Cited by 5 | Viewed by 2470
Abstract
Efficient utilization of biomass requires conversion into forms that can be optimally applied in energy generation. Briquetting involves the compaction of biomass into solid blocks that are more efficient than raw biomass, and provides ease of transport and handling. These are improved when [...] Read more.
Efficient utilization of biomass requires conversion into forms that can be optimally applied in energy generation. Briquetting involves the compaction of biomass into solid blocks that are more efficient than raw biomass, and provides ease of transport and handling. These are improved when the briquettes possess a high density, shatter index, and compressive strength. Due to differences in nature and composition, it is imperative to define optimum conditions for the production of quality and durable briquettes for individual biomasses that are compacted into briquettes. This study investigated the effects of process variables on the strength, durability, and density of biomass briquettes produced using Abura sawdust. The lateral compressive strength and drop shatter index were investigated whilst varying the temperature (100–150 °C), pressure (9–15 MPa), and hold time (15–30 min). The compressive strength ranged between 2.06 and 5.15 MPa, whilst the shatter index was between 50 and 600. Briquette density was between 518.8 and 822.9 kg/m3. The pressure was significant to the determination of the compressive strength (p < 0.1) and the shatter index (p < 0.05). The pressure, temperature, and hold time are significant to the briquette density. Physical and mechanical characteristics of the binderless Abura sawdust briquettes can be improved by optimizing the densification variables during the briquetting process when moderate pressures are used for compaction. Full article
(This article belongs to the Topic Biomass for Energy, Chemicals and Materials)
Show Figures

Figure 1

12 pages, 4139 KB  
Article
Estimation of Compressive Resistance of Briquettes Obtained from Groundnut Shells with Different Machine Learning Algorithms
by Abdulkadir Kocer, Onder Kabas and Bianca Stefania Zabava
Appl. Sci. 2023, 13(17), 9826; https://doi.org/10.3390/app13179826 - 30 Aug 2023
Cited by 4 | Viewed by 2296
Abstract
Briquetting is considered one of the pre-treatment methods available to produce raw materials of uniform size and moisture content that are easy to process, transport, and store. The quality of briquettes in terms of density and strength depends on the physical and chemical [...] Read more.
Briquetting is considered one of the pre-treatment methods available to produce raw materials of uniform size and moisture content that are easy to process, transport, and store. The quality of briquettes in terms of density and strength depends on the physical and chemical properties of the raw material and the briquetting conditions. However, determining briquette quality is difficult, very costly, and requires long laboratory studies. In this paper, an easy, inexpensive, and fast methodology based on machine learning for the determination of quality parameters of briquette samples is presented. Compressive resistance, one of the most important briquette quality parameters, was estimated by machine learning methods, considering particle size, material moisture, applied pressure value, briquette density, shatter index, and tumbler index. Extra Trees, Random Forest, and Light Gradient Boosting regression models were used. The best estimate is seen in the Extra Trees regression model. The R2 and MAPE values are 0.76 and 0.0799, respectively. Full article
Show Figures

Figure 1

14 pages, 2813 KB  
Article
Effects of Bio-Coal Briquette for Residential Combustion on Brown Carbon Emission Reduction
by Juan Qi and Jianjun Wu
Processes 2023, 11(6), 1834; https://doi.org/10.3390/pr11061834 - 16 Jun 2023
Viewed by 3088
Abstract
Biomass burning is an important source of brown carbon (BrC) which poses high-risk threats to human health and the environment. In this study, bio-coal briquette (coal mixed with biomass), a promising solid fuel for residential combustion, is proven to be a clean fuel [...] Read more.
Biomass burning is an important source of brown carbon (BrC) which poses high-risk threats to human health and the environment. In this study, bio-coal briquette (coal mixed with biomass), a promising solid fuel for residential combustion, is proven to be a clean fuel which can effectively reduce BrC emission. First of all, an orthogonal experiment with three factors and three levels on the physical property of bio-briquette was carried out to identify the optimal preparation conditions including the ratio of biomass to anthracite, particle size and molding pressure. Then a combustion experiment of the bio-coal briquetted was implemented in a simulated residential combustion system. BrC emission factors (EFs) were calculated based on the detected black carbon (BC) concentration by an aethalometer, and other optical characteristics for organic components of extract samplers, such as mass absorption efficiency (MAE) and absorption angstrom index (AAE), were also explored. Lastly, composition analysis of BrC by a gas chromatography (GC) tandem mass spectrometer (MS) and direct visible images by scanning electron microscopy (SEM) were investigated to provide more detail information on BrC EFs and property change. It was shown that bio-coal briquette had such low BrC EFs that 70–81% BrC was reduced in comparison with an interpolation value of 100% biomass and 100% coal. Furthermore, the composition of BrC from bio-coal briquette burning was different, which consisted of more substances with strong wavelength dependence. Consequently, although MAE declined by 60% at a 540 nm wavelength, the AAE value of bio-coal briquette only decreased slightly compared with interpolation values. To be more specific, tar balls, the main existing form of BrC, were distributed much more sparsely in the SEM image of bio-coal briquette. To sum up, a positive reduction effect on BrC was discovered in bio-coal briquette. It is evident that bio-coal briquette can serve as an alternative solid fuel for residential combustion, which is beneficial for both human health and the atmosphere. Full article
(This article belongs to the Section Environmental and Green Processes)
Show Figures

Figure 1

13 pages, 3705 KB  
Article
Thermal and Stress Properties of Briquettes from Virginia Mallow Energetic Crops
by Marek Kurtyka, Magdalena Szwaja, Andrzej Piotrowski, Barbara Tora and Stanislaw Szwaja
Materials 2022, 15(23), 8458; https://doi.org/10.3390/ma15238458 - 28 Nov 2022
Cited by 3 | Viewed by 2197
Abstract
The article discusses the influence of briquetting/compaction parameters. This includes the effects of pressure and temperature on material density and the thermal conductivity of biomass compacted into briquette samples. Plant biomass mainly consists of lignin and cellulose which breaks down into simple polymers [...] Read more.
The article discusses the influence of briquetting/compaction parameters. This includes the effects of pressure and temperature on material density and the thermal conductivity of biomass compacted into briquette samples. Plant biomass mainly consists of lignin and cellulose which breaks down into simple polymers at the elevated temperature of 200 °C. Hence, the compaction pressure, compaction temperature, density, and thermal conductivity of the tested material play crucial roles in the briquetting and the torrefaction process to transform it into charcoal with a high carbon content. The tests were realized for samples of raw biomass compacted under pressure in the range from 100 to 1000 bar and at two temperatures of 20 and 200 °C. The pressure of 200 bar was concluded as the most economically viable in briquetting technology in the tests conducted. The conducted research shows a relatively good log relationship between the density of the compacted briquette and the compaction pressure. Additionally, higher compaction pressure resulted in higher destructive force of the compacted material, which may affect the lower abrasion of the material. Regarding heat transfer throughout the sample, the average thermal conductivity for the compacted biomass was determined at a value of 0.048 ± 0.001 W/(K∙m). Finally, the described methodology for thermal conductivity determination has been found to be a reliable tool, therefore it can be proposed for other applications. Full article
(This article belongs to the Special Issue Advances in Thermal and Mechanical Properties of Polymeric Materials)
Show Figures

Figure 1

14 pages, 4465 KB  
Article
Quality Assessment of Biofuel Briquettes Obtained from Greenhouse Waste Using a Mobile Prototype Briquetting Machine with PTO Drive
by Önder Kabaş, İlker Ünal, Salih Sözer, Kemal Cagatay Selvi and Nicoleta Ungureanu
Energies 2022, 15(22), 8371; https://doi.org/10.3390/en15228371 - 9 Nov 2022
Cited by 14 | Viewed by 4475
Abstract
Turkey has a large agricultural area and produces 55–60 million tons of biomass waste/year. This study aimed to obtain bio-briquettes from three types of dried greenhouse wastes and to determine their strength parameters. A prototype of a mobile briquetting machine driven by power [...] Read more.
Turkey has a large agricultural area and produces 55–60 million tons of biomass waste/year. This study aimed to obtain bio-briquettes from three types of dried greenhouse wastes and to determine their strength parameters. A prototype of a mobile briquetting machine driven by power take-off (PTO), with hydraulic pistons, and comprising a shredder and grinding or crushing unit with a briquetting pressure in the range of 0–190 MPa, was used. The physical parameters of the obtained briquettes were determined, including density, tumbler and shatter resistance, compression resistance, water intake capacity, and resistance to moisture-humidity. The results of physical and mechanical tests showed that the briquettes are of an extremely high quality. The maximum density, shatter and tumbler resistance were 1143.52 kg·m−3, 99.24% in pepper plant waste, and 98.52% in eggplant plant waste, respectively. Based on the analysis of compression tests obtained under 190 MPa (maximum compaction force of 450 kN), the maximum compression force, compression stress, and specific compression force were found in briquettes made from tomato plant wastes (3315 N, 69.43 N·mm−2, 40.09 N·mm−1, respectively). Overall, the results and variables affecting the strength parameters showed that greenhouse waste biomass is an excellent feedstock for the production of high quality bio-briquettes. The valorization of briquetted greenhouse waste with the proposed prototype contributes to the sustainability of the environment and to a reduction in energy costs for farmers. Full article
(This article belongs to the Special Issue Biomass and Bio-Energy)
Show Figures

Figure 1

16 pages, 5179 KB  
Article
The Thermographic Analysis of the Agglomeration Process in the Roller Press of Pillow-Shaped Briquettes
by Andrzej Uhryński and Michał Bembenek
Materials 2022, 15(8), 2870; https://doi.org/10.3390/ma15082870 - 14 Apr 2022
Cited by 10 | Viewed by 2562
Abstract
When the briquetting process of fine-grained material takes place in the roller press unit, the pressure reached is over a hundred megapascals. This parameter is a result, among other factors, of the geometry of a compaction unit and also the properties of the [...] Read more.
When the briquetting process of fine-grained material takes place in the roller press unit, the pressure reached is over a hundred megapascals. This parameter is a result, among other factors, of the geometry of a compaction unit and also the properties of the consolidated material. The pressure of the unit is not constant and the changes in value depend on a given place on the molding surface. By the process of generating different types of pressure on the surface of briquettes, their compaction is different as well. The distribution of temperature on the surface of the briquettes may determine the pressure used locally on them. Nevertheless, the distribution of stress in the briquetting material is still a subject of scientific study. However, it is known that the pressure exerted on the briquette is different for different compaction systems. The article includes authors’ further thermography studies on the classical pillow-shaped briquetting process (instead of the saddle-shaped ones that were previously conducted) of four materials (calcium hydroxide and water mixture, mill scale, charcoal fines and starch mixture, as well as a mixture of EAFD, scale, fine coke breeze, molasses, and calcium hydroxide). Immediately after the briquettes left the compaction zone, thermal images were taken of them, as well as forming rollers. Thermograms that were obtained and the variability of temperature at characteristic points of the surface of pillow-shaped briquettes were analyzed. They showed differences in temperature on the surface of briquettes. In all four cases, the highest briquette temperatures were recorded in their upper part, which proves their better densification in this part. The temperature differences between the lower and upper part of the briquettes ranged from 1.8 to 9.7 °C, depending on the mixture. Full article
(This article belongs to the Special Issue Thermography Technique in Materials Science)
Show Figures

Figure 1

20 pages, 5473 KB  
Article
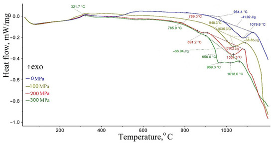
Mechanochemical Activation Effect on Technogenic Iron Oxide Reduction Kinetics
by Oleg Sheshukov, Mikhail Mikheenkov, Larisa Vedmid and Denis Egiazaryan
Materials 2022, 15(1), 320; https://doi.org/10.3390/ma15010320 - 3 Jan 2022
Cited by 1 | Viewed by 2082
Abstract
Understanding the reaction kinetics of iron oxide reduction by carbon is a key task of the theory of metallurgical processes. One of the understudied features of the reaction kinetics of iron oxide solid-phase reduction by carbon is the discrepancy between the reacting substances’ [...] Read more.
Understanding the reaction kinetics of iron oxide reduction by carbon is a key task of the theory of metallurgical processes. One of the understudied features of the reaction kinetics of iron oxide solid-phase reduction by carbon is the discrepancy between the reacting substances’ small contact area and the process’s high rate. A convincing theoretical and experimental explanation of this effect has not yet been obtained. The data obtained earlier show that an increase in the scale of the briquetting pressure from 0 to 300 MPa increases the degree of its metallization during heating two-fold, and the metallization temperature decreases by more than 40 °C. Therefore, it was assumed that these effects during heating are a consequence of the mechanochemical activation (MCA) of iron oxides in the scale during its pressing. This paper presents the results of experimental studies on the influence of two types of scale MCA (grinding and pressing) on iron oxide reduction. The study of the MCA effect on the reaction kinetics of scale iron oxide reduction by carbon is a promising way to assess the criteria for scale phase composition changes under external factors. The presented results indicate a decrease in the amount of trivalent iron oxide (Fe2O3) after the MCA and an increase in the amount of one-and-a-half oxide (Fe3O4) and bivalent iron oxide (FeO). The obtained experimental data show that the initial stage of iron oxide reduction, consisting in the transition from higher iron oxides to lower ones, is possible at room temperature without carbon presence. Full article
Show Figures

Figure 1

40 pages, 13196 KB  
Review
Empirical Studies on Biomass Briquette Production: A Literature Review
by Hívila M. P. Marreiro, Rogério S. Peruchi, Riuzuani M. B. P. Lopes, Silvia L. F. Andersen, Sayonara A. Eliziário and Paulo Rotella Junior
Energies 2021, 14(24), 8320; https://doi.org/10.3390/en14248320 - 10 Dec 2021
Cited by 65 | Viewed by 28125
Abstract
The densification of raw material into fuel briquettes is one of the routes to convert biomass into energy. This method provides uniformity to the solid fuel, better physical and energy properties, facilitating its storage and transport, in addition to more homogeneous combustion. Given [...] Read more.
The densification of raw material into fuel briquettes is one of the routes to convert biomass into energy. This method provides uniformity to the solid fuel, better physical and energy properties, facilitating its storage and transport, in addition to more homogeneous combustion. Given the importance of these characteristics, this work presents a literature review, emphasizing the experimental levels of the variables of the briquetting process, as well as on the most relevant quality parameters for obtaining briquettes. We also carry out a survey of the main technologies used in the production of briquettes, as well as the experimental methodologies and statistical analysis used in the planning and validation of processes. It was observed among the studies that the raw material granulometry, followed by pressure, initial moisture, compaction time and binder are the most used process variables for the production of briquettes. Other factors, such as the proportion of biomass, process temperature and thermal pre-treatments are used to obtain greater energetic and physical responses. Among the works, divergences were observed regarding the relevance and interaction of some process variables on the quality variables of the briquettes, indicating the need for the experiments to be mathematically modeled. Full article
Show Figures

Figure 1

20 pages, 9542 KB  
Article
Mechanical and Microstructural Characteristics of Calcium Sulfoaluminate Cement Exposed to Early-Age Carbonation Curing
by Weikang Wang, Xuanchun Wei, Xinhua Cai, Hongyang Deng and Bokang Li
Materials 2021, 14(13), 3515; https://doi.org/10.3390/ma14133515 - 24 Jun 2021
Cited by 28 | Viewed by 3703
Abstract
The early-age carbonation curing technique is an effective way to improve the performance of cement-based materials and reduce their carbon footprint. This work investigates the early mechanical properties and microstructure of calcium sulfoaluminate (CSA) cement specimens under early-age carbonation curing, considering five factors: [...] Read more.
The early-age carbonation curing technique is an effective way to improve the performance of cement-based materials and reduce their carbon footprint. This work investigates the early mechanical properties and microstructure of calcium sulfoaluminate (CSA) cement specimens under early-age carbonation curing, considering five factors: briquetting pressure, water–binder (w/b) ratio, starting point of carbonation curing, carbonation curing time, and carbonation curing pressure. The carbonization process and performance enhancement mechanism of CSA cement are analyzed by mercury intrusion porosimetry (MIP), thermogravimetry and derivative thermogravimetry (TG-DTG) analysis, X-ray diffraction (XRD), and scanning electron microscope (SEM). The results show that early-age carbonation curing can accelerate the hardening speed of CSA cement paste, reduce the cumulative porosity of the cement paste, refine the pore diameter distribution, and make the pore diameter distribution more uniform, thus greatly improving the early compressive strength of the paste. The most favorable w/b ratio for the carbonization reaction of CSA cement paste is between 0.15 and 0.2; the most suitable carbonation curing starting time point is 4 h after initial hydration; the carbonation curing pressure should be between 3 and 4 bar; and the most appropriate time for carbonation curing is between 6 and 12 h. Full article
(This article belongs to the Special Issue Concrete and Construction Materials)
Show Figures

Figure 1

16 pages, 4684 KB  
Article
Analysis of the Temperature Distribution on the Surface of Saddle-Shaped Briquettes Consolidated in the Roller Press
by Michał Bembenek and Andrzej Uhryński
Materials 2021, 14(7), 1770; https://doi.org/10.3390/ma14071770 - 3 Apr 2021
Cited by 10 | Viewed by 3048
Abstract
The unit pressure in the fine-grained material consolidation process in the roller press can reach over hundred MPa and is a parameter which results, among other things, from the properties of the consolidated material and the compaction unit geometry. Its value changes depending [...] Read more.
The unit pressure in the fine-grained material consolidation process in the roller press can reach over hundred MPa and is a parameter which results, among other things, from the properties of the consolidated material and the compaction unit geometry. Its value changes depending on the place on the molding surface. Generating different pressure on the surface of briquettes makes their compaction different. One’s own and other researchers’ experience shows that, in the case of exerting high pressure on the merged fine-grained material, the higher unit pressure exerted on the material, the higher temperature of the consolidated material is. The temperature distribution on the surface of the briquettes can testify the locally exerted pressure on the briquette. The stress distribution in the briquetting material is still a subject of research. The article includes thermography studies of the briquetting process of four material mixtures. Thermal images of briquettes were taken immediately after they left the compaction zone as well as forming rollers. The obtained thermograms and temperature variability at characteristic points of the surface of briquettes were analyzed. The correlation between the temperature distribution and the stress distribution in the briquettes was determined. Full article
(This article belongs to the Special Issue High Pressure Synthesis in Materials Science)
Show Figures

Figure 1

Back to TopTop