Next Article in Journal
Investigation of the Photoresponse and Time-Response Characteristics of HDA-BiI5-Based Photodetectors
Previous Article in Journal
Compressive Fatigue Behaviour of High-Strength Concrete and Mortar: Experimental Investigations and Computational Modelling
 
 
Font Type:
Arial Georgia Verdana
Font Size:
Aa Aa Aa
Line Spacing:
Column Width:
Background:
Article

Mechanochemical Activation Effect on Technogenic Iron Oxide Reduction Kinetics

1
Institute of Metallurgy of the Ural Branch of Russian Academy of Sciences, 101 Amundsen Str., 620016 Ekaterinburg, Russia
2
Federal State Autonomous Educational Institution of Higher Education «Ural Federal University Named after the First President of Russia B. N. Yeltsin», Mira Str. 19, 620002 Ekaterinburg, Russia
*
Author to whom correspondence should be addressed.
Materials 2022, 15(1), 320; https://doi.org/10.3390/ma15010320
Submission received: 15 November 2021 / Revised: 30 December 2021 / Accepted: 30 December 2021 / Published: 3 January 2022

Abstract

:
Understanding the reaction kinetics of iron oxide reduction by carbon is a key task of the theory of metallurgical processes. One of the understudied features of the reaction kinetics of iron oxide solid-phase reduction by carbon is the discrepancy between the reacting substances’ small contact area and the process’s high rate. A convincing theoretical and experimental explanation of this effect has not yet been obtained. The data obtained earlier show that an increase in the scale of the briquetting pressure from 0 to 300 MPa increases the degree of its metallization during heating two-fold, and the metallization temperature decreases by more than 40 °C. Therefore, it was assumed that these effects during heating are a consequence of the mechanochemical activation (MCA) of iron oxides in the scale during its pressing. This paper presents the results of experimental studies on the influence of two types of scale MCA (grinding and pressing) on iron oxide reduction. The study of the MCA effect on the reaction kinetics of scale iron oxide reduction by carbon is a promising way to assess the criteria for scale phase composition changes under external factors. The presented results indicate a decrease in the amount of trivalent iron oxide (Fe2O3) after the MCA and an increase in the amount of one-and-a-half oxide (Fe3O4) and bivalent iron oxide (FeO). The obtained experimental data show that the initial stage of iron oxide reduction, consisting in the transition from higher iron oxides to lower ones, is possible at room temperature without carbon presence.

1. Introduction

Throughout the centuries-old practice of iron ore reduction, solid carbon in the form of wood, coal and coke has become the most widespread reductant. When reducing iron oxides with carbon, both initial reagents and some reaction products are in a solid state. Therefore, the first attempts to scientifically substantiate this process, which arose in the 19th–20th centuries, focused on describing the reagents’ solid-phase interaction. At the same time, when describing the solid-phase iron reduction, a discrepancy between the reacting substances’ small contact area and the high rate of iron reduction was noted. To explain this effect, a significant number of theories have appeared, the founders of which are G. Tamman, G. Heavenshi, K. Tubandt, J. O. Endstrom, and others. However, convincing experimental data and theoretical justification of the high rate of solid-phase reduction of iron oxides by carbon have not yet been obtained. Most researchers into the solid-phase model of iron oxide and carbon interaction explain the reduction’s high rate by the presence of defects in the iron oxides’ crystal lattices, through which the ions of reacting substances are diffused. In recent years, a large number of works have appeared on the MCA effect on the kinetics of solid-phase reactions [1], in which an increase in the reaction rate is noted, and this effect is explained similarly, by the appearance of a large number of defects in the reacting substances’ crystal lattices.
It should be noted that the solid-phase interaction simulation of iron and carbon oxides was carried out during heating, under conditions close to industrial processes [2], without taking into account the preparation of raw materials. As a result, the industry has developed a classic scheme for preparing ore raw materials for blast furnace smelting by manufacturing pellets and agglomerate. Such preparation is carried out at atmospheric pressure without paying attention to the grinding degree of the raw materials. It is obvious that such a preparation cannot provide the proper area and contact strength of the reacting substances which contribute to the solid-phase reaction acceleration. Briquetting of metallurgical wastes together with blast furnace slag has been proposed for various forms of iron oxide reduction, up to metallic iron production [3].
In [4], the carbothermic reduction of rolled scale in an argon atmosphere was investigated by thermal analysis. It is established that the reduction proceeds in the sequence Fe3O4-FeO-Fe3C-α-Fe. In [5], the MCA influence (the briquetting pressure of the initial reagents) on the reduction in kinetics of scale of iron oxides during heating is considered. It was found that the reduction of iron oxides in scale proceeds in a solid-phase manner in three modes: diffusion-free, intermediate and diffusion. In the diffusion-free mode, the rate of heterogeneous reaction between iron oxides and carbon is limited by the contact area of the reacting substances and the contact’s pushing pressure. In this mode, the pushing pressure has a significant effect on the reduction reaction’s rate. In the diffusion-free mode, with the scale briquetting pressure increasing from 0 to 300 MPa, the metallization degree increases from 34.6 to 71.9%, and the metallization temperature shifts down from 1021.7 to 989.8 °C. In the intermediate mode, the diffusion processes start to affect the iron oxides’ reduction, but the briquetting pressure effect on the reduction kinetics is partially preserved. In the intermediate mode, with an increase in the scale briquetting pressure from 0 to 300 MPa, the metallization degree increases from 22.8 to 67.2%, while the metallization temperature in the entire range of briquetting pressures shifts from 930.7 to 947.6 °C. In the diffusion mode, due to the presence of a liquid silicate phase, only the diffusion mechanism works and the briquetting pressure has practically no effect on the reduction rates. In the diffusion mode, with an increase in the scale briquetting pressure from 0 to 300 MPa, the metallization degree practically does not change and is in the range of 58.2–73.6%, and the metallization temperature shifts from 883.7 to 911.7 °C.
In [5], only one of the MCA methods was considered (pressing). However, preliminary grinding is important for scale secondary processing. In the literature there is a significant amount of work on another MCA method (grinding to high specific surfaces of the oxide material). It was shown in [6] that mechanical treatment of Fe and α-Fe2O3 mixture in a planetary centrifugal mill leads to the formation of a nanocrystalline wustite (FeO) of nonequilibrium composition. This forms a nanoscale Fe/Fe3O4 composite during subsequent thermal decomposition in vacuum at 200 °C. The MCA effect on the monophase powder of α-Fe2O3 by grinding it in a roller-ring and planetary mills was studied in [7]. It is shown that during mechanical activation, the α-Fe2O3 phase composition remains unchanged, with only a slight decrease in the coherent scattering regions and an increase in the micro-deformations’ magnitude. According to the authors, the increase in the α-Fe2O3 micro-deformations’ magnitude during mechanical activation is associated with an increase in crystal structure defects. In [8], the effect of MCA by grinding in a high-energy planetary ball mill on the properties and structure of monophase α-Fe2O3 and α-Fe2O3 grounded together with graphite was studied. It is established according to X-ray phase analysis that during monophase α-Fe2O3 grinding, with an increase in the grinding duration the size of the coherent scattering region decreases and amorphization of the hematite (Fe2O3) crystal structure occurs. The last is reflected in the interplane distances’ diffraction maxima broadening, and in a decrease in their intensity. During α-Fe2O3 and graphite grounding, the number of Fe3+ ions decreases, the number of Fe2+ ions increases, and this leads to Fe3O4 formation. The authors of [9] presented a comparative analysis of mill scale reduction by carbon monoxide. Scale was in its original form and grounded to expand the surface and to account for the secondary oxidation in contact with air. Based on the thermal analysis data, it is shown that the process kinetics changes for scale of different fractions. The reduction process was investigated at temperatures of 850 °C, 950 °C and 1050 °C taking into account the secondary oxidation in contact with air at temperatures of 300 °C, 350 °C and 400 °C. The most favorable results were obtained for scale in the original form at T = 1050 °C. Most of the investigated iron oxide systems have a monophase composition. Data on the study of the MCA effect on iron-oxide systems of polyphase composition, such as scale, are few in the literature. Therefore, this paper presents the results when assessing the influence of two types of MCA (grinding and pressing) on the structure and properties of scale. Their influence on the reduction kinetics of scale iron oxides during heating has been evaluated.
Scale is a unique object of research because it contains basic iron oxides, arranged in layers according to the iron-oxygen state diagram. Iron oxides are represented by two-valent iron oxide-wustite (FeO), three-valent iron oxide-hematite (Fe2O3) and one-and-a-half oxide-magnetite (Fe3O4). Wustite [10] is a thermodynamically unstable compound, and below 560 °C it decays into α-Fe and magnetite (Fe3O4). The crystal lattice is cubic, a = 4.29 Å. The wustite crystal lattice always contains an excess of oxygen, therefore the composition of wustite more precisely corresponds to the non-stoichiometric formula Fe0.91O or FeO1.09. Due to this circumstance, the wustite crystal lattice contains a significant number of non-stoichiometry defects in the form of Fe2+ ion vacancies. From a structural point of view [11], wustite refers to solid subtraction solutions: in its lattice, oxygen atoms occupy all nodes in the anionic sublattice, and some nodes in the cationic sublattice are not occupied by iron atoms. With a lack of Fe2+ cations, lattice electroneutrality is maintained due to the partially transition of the two-charged Fe2+ cations to three-charged Fe3+. Therefore, this non-stoichiometric compound can be considered as a solid Fe2O3 substitution solution in FeO. The hematite (Fe2O3) is characterized by a rhombohedral lattice of the corundum type with a = 5.42 Å and α = 55°17’. The unit cell of hematite is formed by four Fe3+ and six O2• ions. The latter form a dense hexagonal package. One-third of the octahedral voids are vacant, and two-thirds are filled with Fe3+. The magnetite (Fe3O4) has a cubic lattice of “reversed” spinel with a = 8.38 Å. The magnetite unit cell contains 8Fe2+, 16Fe3+ and 32O2•. Oxygen ions form the densest cubic lattice containing 32 octahedral and 64 tetrahedral voids in one unit cell. At the same time, eight Fe2+ ions and the same amount of Fe3+ are distributed (statistically) in octahedral, and the eight Fe3+ are distributed in tetrahedral interstices. The presence of dissimilar iron ions (Fe2+ and Fe3+) in the same crystallographic positions facilitates the exchange of electrons and makes magnetite highly conductive.
In accordance with the principle of the sequence of transformations, iron oxide reduction during heating above 570 °C proceeds according to the generally recognized Equation (1), proposed by A.A. Baykov [12,13]:
Fe 2 O 3 C CO Fe 3 O 4 C CO FeO C CO Fe
To explain the effects observed during the scale iron oxide reduction, an ion-diffusion-catalytic mechanism of solid-phase technogenic (scale) iron oxide reduction was proposed in [5]. In accordance with this mechanism, at the first stage there is a solid-phase interaction of hematite located on the scale surface with solid carbon located in the intergranular space, with the formation of CO according to Equation (2):
Fe2O3 + C = 2FeO + CO↑
Thermodynamically, Equation (2) is possible at a temperature of 600 °C. Oxygen, interacting with carbon, in order to preserve the scale electroneutrality, transfers two electrons to neighboring iron atoms. As a result, an oxygen vacancy is formed on the scale surface simultaneously with two divalent iron atoms and, accordingly, two wustite molecules.
The formed wustite molecules are thermodynamically unstable, since in the entire temperature range they are thermodynamically predisposed to interact with the layers of hematite located below. This leads to formation of two magnetite molecules by Equation (3):
2FeO + 2Fe2O3 = 2Fe3O4
The Gibbs free energy of this reaction is near 600 °C is −58.4 kJ/mol. At the second stage, the surface oxygen of the newly formed magnetite molecules will interact with solid intergranular carbon with the formation of 6 FeO and CO molecules according to Equation (4):
2Fe3O4 + 2C = 6FeO + 2CO↑
The Equation (4) is thermodynamically possible from 700 °C. As a result, oxygen will transfer electrons to neighboring iron ions in order to preserve electroneutrality, with the formation of six divalent iron ions (six wustite molecules, respectively) and two oxygen vacancies. As a reaction 4 result, newly formed wustite molecules will also associate with neighboring hematite molecules to form magnetite molecules. Due to the formation of a significant number of wustite molecules, the scale reduction processes will be catalytically accelerated with the divalent iron ions advancing deep into the scale, and oxygen ions transferring to the surface, towards oxygen vacancies.
At the final stage, only wustite molecules and oxygen vacancies will be located on the scale surface. The interaction of oxygen wustite with solid carbon will lead to the formation of metallic iron and CO according to Equation (5):
FeO + C = Fe + CO↑
This reaction is thermodynamically possible from 800 °C. During the third stage, divalent iron and oxygen ions will diffuse to the surface, and metallic iron atoms will diffuse deep into the crystal.
The proposed ion-diffusion-catalytic mechanism [5] makes it possible to describe effects observed during scale with carbon heating, but not the causes that triggered these effects. In [3], a scheme for preparing the raw mixture was used which differs from the classical scheme for preparing pellets. The raw mixture was crushed to a specific surface area by Blaine ≈ 400 m2/kg, followed by pressing at pressures of 100, 200 and 300 MPa. Since such preparation of raw materials for firing showed high efficiency, it was decided to evaluate the effect of two types of MCA (grinding and pressing) of the raw mixture on the reduction reaction kinetics. Changing the classical metallurgical scheme for preparing the raw mixture for firing by pelleting and for agglomeration for cold briquetting would significantly reduce the consumption of coke.

2. Materials and Methods

Rolling scale was used during the work. The crystal phases’ identification and their quantitative ratios in the products were determined using X-ray phase a quantitative method of analysis on a diffractometer STADI-P (STOE, Darmstadt, Germany). The initial scale contains, according to quantitative X-ray phase analysis by mass %: 55.73 Fe2O3; 27.05 Fe3O4 and 17.22 FeO. The scale was dried to a constant mass and subjected to grinding in a bead mill with different grinding durations. The specific surface area of the grinding products was determined on the device for measuring the specific surface area and average particle size of powders (PSH-11M) and the grinding products’ granulometric composition was determined on the Camsizer XT device (RETSCH GmbH, Haan, Germany,). The specific surface area of the grinding products was 0 cm2/g, (assumed for the initial scale), 1084 cm2/g, 2857 cm2/g and 5585 cm2/g. The average particle size for 1084 cm2/g was 10.1 mkm, for 2857 cm2/g—3.8 mkm, for 5585 cm2/g—2.0 mkm. Figure 1, Figure 2 and Figure 3 show the scale granulometric composition, ground to a specific surface of 1084–2857–5585 cm2/g.
The dry ground scale of each specific surface was pressed without the introduction of any additives at pressures of 0 (initial scale), 100, 200 and 300 MPa.
The products of scale grinding and pressing were subjected to X-ray phase analysis to determine the phase composition.
After determining the phase composition, the second batch of raw mixture was prepared. The coke was added to the scale at an amount of 15% over stoichiometry. The samples of the second batch were crushed and pressed under the same conditions as the first and subjected to differential thermal analysis. Thermo-analysis was performed using the differential scanning calorimetry method (DSC) on the STA 449 F3 Jupiter thermo-analyzer (Netzsch-Geratebau GmbH, Selb, Germany). The experiment was conducted in an argon atmosphere (Ar high purity 99.998%, the volume fraction CO2 not more than 0.00002%), the gas flow was 30 mL/min under the condition of linear heating at a speed of 10 K/min, and the temperature measurement error was no more than ±1.5 degree. Al2O3 crucibles with lids were used for the study. Lids were holed to improve the reaction gas exchange. The value of the endothermic effect was calculated in the device software module in J/g and converted to kJ/mol by multiplying the device data by the mole mass of metallic iron. The firing products were subjected to quantitative X-ray phase analysis.

3. Results and Discussion

At the first stage of research, according to quantitative X-ray phase analysis, the separate effect of the briquetting pressure, the grinding degree on the scale phase composition at normal temperature and their combined effect were evaluated. The pressed samples phase composition change depending on the briquetting pressure according to the X-ray phase analysis data is shown in Figure 4 and in Table 1.
A qualitative analysis of the briquetting pressure effect on the scale phase composition according to the X-ray phase analysis data (Figure 4) indicates that the non-pressed scale and scale pressed at 100 MPa completely lack diffraction peaks that are characteristic for FeO (interplane distances d = 2.14 Å and 2.47 Å). These peaks appear only at a briquetting pressure of 100 MPa and their intensity increases with increasing briquetting pressure. It can be noted that the intensity of diffraction peaks characteristic for Fe3O4 increases along with briquetting pressure increase according to Figure 4, and the diffraction peaks characteristic for Fe2O3 decrease in the same time.
The scale phase composition change pattern depending on the briquetting pressure is illustrated by Figure 5.
According to the data shown in Figure 5, as briquetting pressure increases, the content of Fe2O3 decreases, and Fe3O4 and FeO increases.
A quantitative assessment of the effect of briquetting pressure on the phase composition of the scale is given in Table 1.
Quantitative assessment of the briquetting pressing effect on the scale phase composition (Table 1) indicates that, with an increase in the scale briquetting pressure from 0 to 300 MPa, the Fe2O3 content decreases from 63.18 to 27.17%, the Fe3O4 content increases from 27.05 to 41.61%, and the FeO content increases from 17.22 to 30.22%.
A qualitative analysis of the grinding degree effect on the scale phase composition according to the X-ray phase analysis data (Figure 6) indicates that the non-ground scale completely lacks diffraction peaks that are characteristic of FeO (interplane distances d = 2.14 Å and 2.47 Å). These peaks appear only at a grinding degree of 1084 cm2/g and their intensity increases along with increased grinding degree. It can be noted that the intensity of the diffraction peaks characteristic of Fe3O4 increases slightly along with an increase in the grinding degree, and the diffraction maxima characteristic of Fe2O3 decreases at the same time.
The scale phase composition change pattern depending on the grinding degree is illustrated by Figure 7.
According to the data shown in Figure 7, along with an increase in the grinding degree, the content of Fe2O3 decreases, and Fe3O4 and FeO increases. It can also be noted that with an increase in the grinding degree up to 1084 cm2/g, the increase in FeO content occurs abruptly, and the increase in Fe3O4 over the entire grinding range is insignificant.
A quantitative assessment of the grinding degree effect on the scale phase composition is given in Table 2.
A quantitative assessment of the grinding degree effect on the scale phase composition, given in Table 3, indicates that with an increase in the scale grinding degree from 0 cm2/g to 5550 cm2/g, the content of Fe2O3 decreases from 63.18 to 24.97%, the content of Fe3O4 increases from 27.05 to 46.93%, and the content of FeO increases from 17.22 to 28.1%.
The combined results of pressing and grinding on the scale phase composition at room temperature according to phase analysis are shown in Table 3.
Figure 8 presents a general view of the response function of the Fe2O3 content in the scale, depending on the combined effect of the briquetting pressure and the grinding degree at normal temperature. Figure 9 shows isolines equal to Fe2O3 content for this function.
Analysis of the Fe2O3 content changes pattern, depending on the grinding and pressing combined effect, indicates that under the isoline corresponding to the grinding degree of 3000 cm2/g and the briquetting pressure of 200 MPa, there is a sharp decrease in the amount of Fe2O3 by 25–30%. With a further increase in the MCA intensity, the content of Fe2O3 changes slightly.
Figure 10 presents a general view of the response function of the Fe3O4 content in the scale, depending on the combined effect of the briquetting pressure and the grinding degree. Figure 11 shows that isolines equal Fe3O4 content for this function.
Analysis of the Fe3O4 content changes pattern, depending on the grinding and pressing combined effect, indicates that along with an increase in the briquetting pressure, the content of Fe3O4 increases, and decreases along with an increase in the grinding degree.
Figure 12 presents a general view of the response function of the FeO content in the scale, depending on the combined effect of the briquetting pressure and the grinding degree. Figure 13 shows that isolines equal FeO content for this function.
Analysis of the FeO content changes pattern, depending on the grinding and pressing combined effect, indicates that at a briquetting pressure of 150 MPa and a grinding degree of 5550 cm2/g, an optimal area with a maximum FeO content is observed.
During the experiment planning to assess the MCA effect on scale reduction, it was assumed that under mechanical impact, scale crystal structure would amorphized, as described in the above literature sources, and the amorphization degree could be determined by reducing the intensity and increasing the half-width of the diffraction maxima of scale iron oxide phases. However, the analysis of the experimental results showed that there is no scale crystal structure amorphization as a result of MCA, but a change in its phase composition, spotted in a decrease in the Fe2O3 content and an increase in the content of Fe3O4 and FeO. Descriptions of such an effect could not be found in the literary sources. The change in the phase composition of iron oxides during MCA is described in the work of [8]; however, this was spotted in the presence of graphite, which is theoretically understandable. The necessary and sufficient thermodynamic conditions for their reaction can be achieved during prolonged joint mechanical activation of iron oxide and graphite. Under the conditions of our experiment, carbon was not introduced into the scale in any form, so it is impossible to explain the observed effect according to classical ideas about the phase transformations of iron oxide in the presence of carbon.
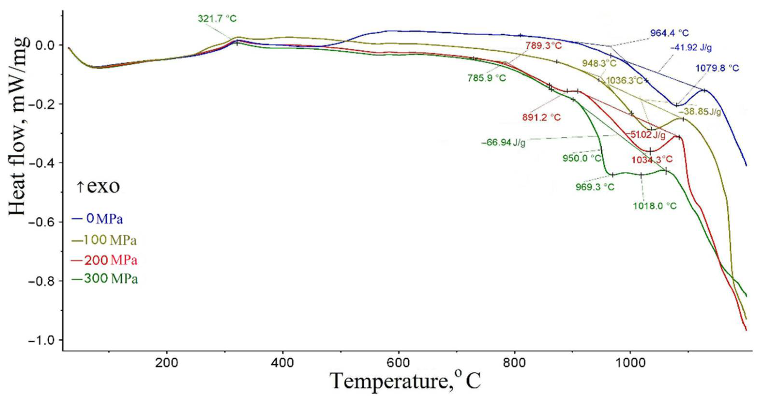
At the second stage of the research, the MCA effect at normal temperature on the process of reducing scale with coke during their calcination was determined. The DSC data of samples pressed with coke are presented in Figure 14. The phase composition of calcined samples pressed with coke is shown in Table 4. The phase composition changes of the calcined samples pressed with coke according to the X-ray phase analysis is shown in Figure 15.
An analysis of the results presented in Figure 14 and Figure 15 and in Table 4 indicates that they confirm the results described in [5].
With an increase in the briquetting pressure (Figure 14), the beginning of metallization decreases from 964.4 at 0 to 789.5 °C at 300 MPa, and the enthalpy of metallization increases from 41.92 at 0 to 66.94 J/g at 300 MPa. These effects in [5] are explained by an increase in the defect of the pressed samples.
On the diffractogram of non-pressed scale (Figure 15), the residues of Fe2O3 and Fe3O4 are spotted. These phases are not observed on pressed samples. This effect can also be explained by an increase in the defectiveness of the pressed samples’ crystal lattice, since it increases the reduction reaction rate.
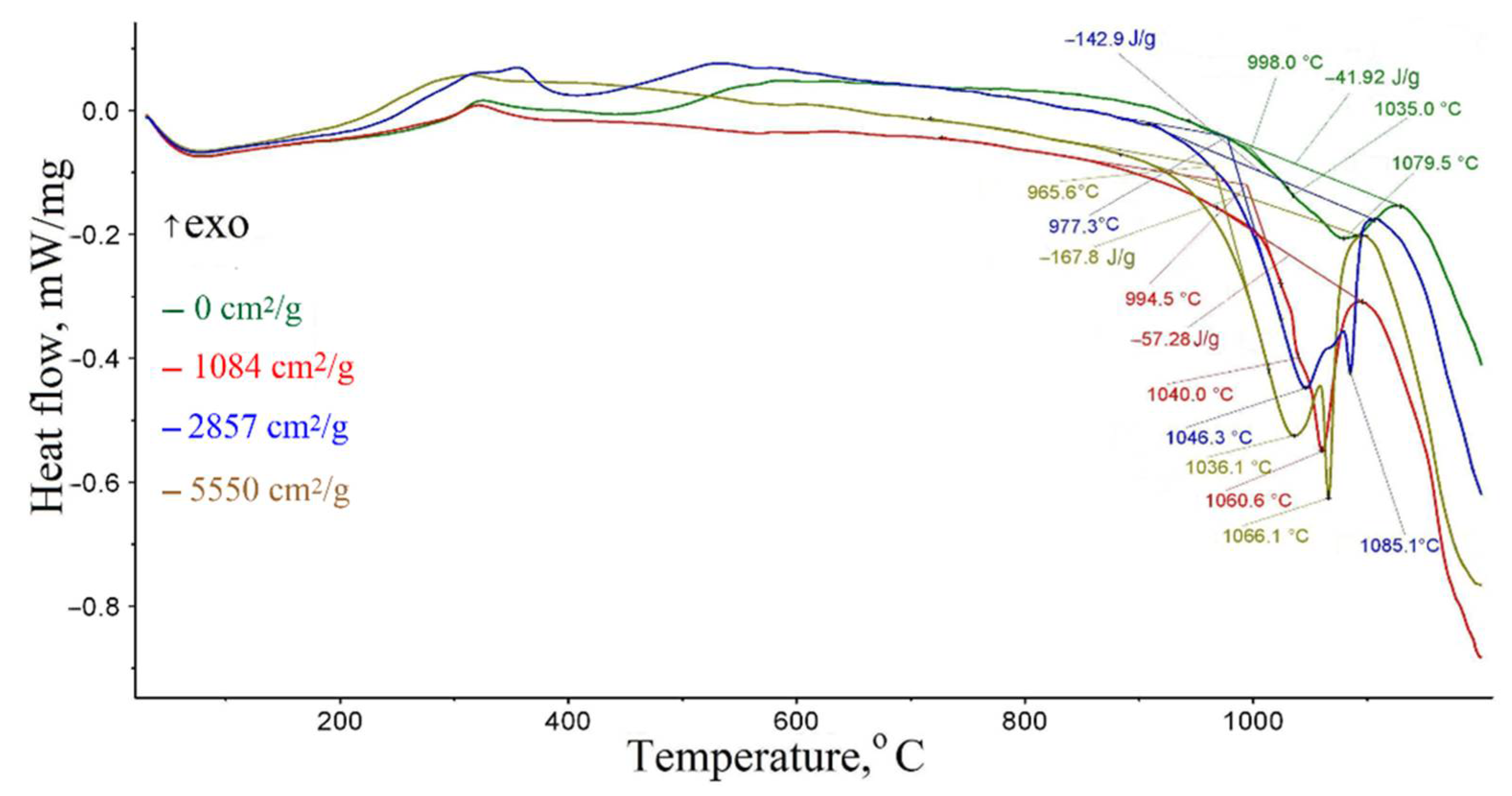
The DSC data of samples ground with coke are shown in Figure 16. The phase composition of calcined samples ground with coke is shown in Table 5. The change in the phase composition of calcined samples ground with coke is shown in Figure 17. Table 6 shows data on the effect of joint MCA on the metallization degree of calcined samples. Figure 18 shows the effect of joint MCA on the total iron content in calcined samples. Figure 19 shows the effect of joint MCA on the calcined samples’ metallization degree.
Figure 16 and Figure 17 and the results analysis in Table 5 show that with an increase in the grinding degree (Figure 16), the metallization temperature shifts down from 998.0 at 0 to 965.6 °C at 5550 cm2/g, and the value of the metallization enthalpy increases from 41.92 at 0 to 167.8 J/g at 5550 cm2/g. These effects can also be explained by an increase in the defectiveness of grounded samples, and according to the enthalpy value, it can be noted that the crystal lattice defectiveness during grinding is about three times higher than during pressing.
The results of Fetotal and metallization degree determination shown in Figure 18 and Figure 19 correlate well with the data on the FeO content shown in Figure 12 and Figure 13. The maximum metallization degree and the Fetotal content are in the region with a briquetting pressure of 150 MPa and a grinding degree of 5550 cm2/g. We supposed that the largest number of crystal lattice defects accumulates in this region, which make it easier to reduce FeO to Femet.
The test results indicate that MCA leads to a scale phase composition change both by scale pressing and by grinding at normal temperature, without carbon participation. This all corresponds to the initial stages of iron oxide reduction in accordance with the A.A. Baykov Equation (1). It can be noted that the scale phase transformations during the observed effects occur in accordance with Equation (6):
Fe 2 O 3   E m Fe 3 O 4 E m   FeO
where Em is MCA energy, obtained by scale during mechanical treatment, in kJ/mol.
The energy of the system changes under the MCA effect. Our conclusion is confirmed by the authors of [14]. They report that the activation of chemical processes is associated with the release of elastic energy at the solid destruction moment, the rupture of chemical bonds and the formation of short-lived active centers (radicals with uncompensated valence). It is considered in dislocation theory that activation occurs due to the energy of dislocations coming to the surface during plastic crushed substance deformation. Plastic deformation (both pressing and grinding) leads to various defects. Structural defects occur in solids under the influence of shear stresses. This leads to the substance dissociation.
The main process that MCA provides during the scale phase composition is an iron valence change from Fe3+ to Fe2+. Based on the data presented in Table 1 and Table 2, with a decrease in the content of Fe2O3 by 40%, there is an increase in the content of Fe3O4 by 20% and FeO by 20%. Such a change in the phase composition can be described by Equation (7) or (8):
2 Fe 2 O 3   E m Fe 3 O 4   +   FeO   +   O g
4 Fe 2 O 3 E m 2 Fe 3 O 4 + 2 FeO   +   O 2 g
We assume, that the energy obtained by the scale under mechanical treatment contributes to the electronic orbitals’ displacement of oxygen and iron ions. As a result, two ions Fe3+ of hematite capture two electrons of oxygen, becoming two Fe2+ ions. The oxygen ion O2• becomes electroneutral and diffuses to the surface of the scale. Due to the change in the valence of two hematite iron ions and the release of one oxygen atom from the hematite molecule, two FeO molecules are formed. One of them is immediately associated with the Fe2O3 molecule via the Fe3O4 formation in Equation (3). The Gibbs free energy of this reaction is −25.575 kJ/mol at room temperature. As a result of Equations (8) and (9), two moles of hematite are converted into one mole of wustite and one mole of magnetite, which corresponds to the scale phase content change observed during experiment.
Equation (7) is thermodynamically possible from a temperature of 2200 °C, and Equation (8) from a temperature of 1700 °C. It is obvious that the amount of thermal energy required for Equation (7) should be equal to the amount of mechanical energy obtained by the scale under mechanical treatment:
Et = Em
where, Et—thermal energy, kJ/mol.
Equation (9) could be presented as 9 for the pressing pressure:
C · dT · M = P · dV + Ed
where c—scale specific heat capacity, J/g·deg;
dT— Equation (7) realization temperature, K;
M—hematite molar mass, mol;
P—briquetting pressure, MPa;
dV—scale deformation during pressing, sm3;
Ed—total energy of scale defects formed during pressing or grinding, J/mole.
The measurement of the true density of the pressed samples by the pycnometric method showed that at briquetting pressures above 200 MPa, the porosity of the samples tends to 0 and the average density to the true density. Measuring of pressed samples deformation at a pressure of 300 MPa show that the system obtained 7.59 kJ/mol of mechanical energy during pressing, while the required thermal energy for Equation (7) is 882.11 kJ/mol. The difference is approximately 100 times. We consider that the greatest energy contribution to the process is made by the energy of defects in the system (Ed). Change of that energy can be estimated only by indirect methods.
According to Boldyrev [15,16,17,18], defects are concentrators of stress and excess energy of the crystal lattice. To anneal these defects, it is necessary to spend additional energy. This should be reflected in the scale metallization enthalpy value. The DSC data analysis of the samples pressed and ground with coke, shown in Figure 14 and Figure 16, indicates that with an increase in the briquetting pressure and the degree of scale grinding, the metallization enthalpy value really increases (Table 7). These data also show that with an increase in the briquetting pressure and degree of grinding, the beginning of metallization shifts to the low temperatures.
With an increase in the briquetting pressure and grinding degree, the enthalpy of metallization increases. This indicates that with MCA increase, the iron oxide crystal lattice defectiveness increases. Additional energy is required to anneal these defects. An increase in the iron oxide’s crystal lattices defectiveness also facilitates the diffusion processes. This leads to a shift in the metallization temperature.
The DSC data (Figure 16) shows a double endothermic effect at grinding degrees to a specific surface of 2857 and 5550 cm2/g. The appearance of a double endothermic effect can be explained by the presence of a significant amount of magnetite in the samples after grinding at normal temperature. The residual amount of Fe3O4 is revealed after annealing (Figure 15). The first peak of the endothermic effect corresponds to the Fe3O4 recovery, and the second to the FeO recovery.

4. Conclusions

  • It has been experimentally established that the mechanical activation (grinding: 1084; 2857; 5550 cm2/g; or pressing 100; 200; 300 MPa) have a significant effect on the kinetics of iron oxide reduction reactions.
  • The scale MCA at room temperature without reducing agent activates the iron oxide reduction process. This occurs due to a change in the energy of the system during MCA and is associated with the rupture of chemical bonds and scale defects formation. It reveals a decrease in the amount of trivalent iron oxide (Fe2O3) and an increase in the amount of one-and-a-half oxide (Fe3O4) and ferrous iron oxide (FeO). The quantitative change of phases both during pressing and grinding under the conditions of the experiment is approximately the same. The observed effects are associated with the change in the iron valence from Fe3+ to Fe2+ after mechanical treatment.
  • According to XRD data, the scale phase content change patterns differ with different MCA types. The change in the specific surface area of the grinded products to 1084 cm2/g leads to an abrupt FeO amount increase. Further increase in the grinding degree increases the content of FeO and Fe3O4 phases slightly. Increasing the briquetting pressure monotonically reduces the amount of Fe2O3 and increases the amount of Fe3O4 and FeO.
  • The scale phase composition change under the MCA effect leads to a change in the kinetics of the scale reduction reactions. The DSC curves course showed that an increase in the briquetting pressure and the grinding degree leads to an increase in the scale metallization process enthalpy and a decrease in its temperature.
  • The change in the scale metallization kinetic parameters (the metallization temperature shifting down to low temperatures and the metallization rate increasing) after the MCA is the consequence of the elimination of crystal lattice defects in scale iron oxides.

Author Contributions

Conceptualization, M.M. and L.V.; methodology, M.M. and L.V.; software, M.M. and L.V.; validation, M.M. and L.V.; formal analysis, O.S., M.M. and D.E.; investigation, M.M. and L.V.; resources, M.M. and L.V.; data curation, M.M. and L.V.; writing—original draft preparation, M.M. and L.V.; writing—review and editing, O.S. and D.E.; visualization, M.M. and L.V.; supervision, M.M.; project administration, O.S.; funding acquisition, M.M. All authors have read and agreed to the published version of the manuscript.

Funding

This research was funded by RFBR, grant number 18-29-24064\19.

Conflicts of Interest

The authors declare no conflict of interest.

References

  1. Nasser, A.; Mingelgrin, U. Mechanochemistry: A review of surface reactions and environmental applications. Appl. Clay Sci. 2012, 67–68, 141–150. [Google Scholar] [CrossRef]
  2. Mondal, K.; Lorethova, H.; Hippo, E.; Wiltowski, T.; Lalvani, S. Reduction of iron oxide in carbon monoxide atmosphere—Reaction controlled kinetics. Fuel Processing Technol. 2004, 86, 33–47. [Google Scholar] [CrossRef]
  3. Drobíková, K.; Valová, S.; Motyka, O.; Kutláková, K.M.; Plachá, D.; Seidlerová, J. Effects of binder choice in converter and blast furnace sludge briquette preparation: Environmental and practical implications. J. Waste Manag. 2018, 79, 30. [Google Scholar] [CrossRef] [PubMed]
  4. Suarez, S.M.E.; Borja-Castro, L.E.; Valerio-Cuadros, M.I.; Domínguez, A.B.; Cabrera-Tinoco, H.A.; Huaman, E.; Valencia-Bedregal, R.A.; Zhao, X.; Zhang, Y.; Zhang, D.; et al. Carbothermal reduction of mill scales formed on steel billets duing continuous casting. Hyperfine Interact. 2021, 242, 29. [Google Scholar] [CrossRef]
  5. Sheshukov, O.Y.; Mikheenkov, M.A.; Vedmid, L.B.; Nekrasov, I.; Egiazaryan, D. Mechanism of ion-diffusion solid-phase reduction of iron oxides of technogenic origin in the presence of the liquid phase and without it. Metals 2020, 10, 1564. [Google Scholar] [CrossRef]
  6. Emelyanov, D.A.; Korolev, K.G.; Mikhailenko, M.A.; Knot’ko, A.V.; Oleinikov, N.N.; Tret’yakov, Y.D.; Boldyrev, V.V. Mechanochemical synthesis of wustite in high-power apparatuses. J. Inorg. Mater. 2004, 40, 726–729. [Google Scholar]
  7. Ilyin, A.A.; Smirnov, N.N.; Ilyin, A.P. Influence of mechanical activation on the structure and catalytic properties of iron oxide. J. Chem. Chem. Technol. 2005, 48, 41–43. [Google Scholar]
  8. Kozhina, G.; Estemirova, S.; Pechishcheva, N.; Murzakaev, A.; Vovkotrub, E.; Skrylnik, M.; Shunyaev, K. Joint mechanical activation of MnO2, Fe2O3 and graphite: Mutual influence on the structure. Adv. Powder Technol. 2017, 28, 1202–1212. [Google Scholar] [CrossRef]
  9. Nowacki, K.; Maciąg, T.; Lis, T. Recovery of Iron from Mill Scale by Reduction with Carbon Monoxide. Minerals 2021, 11, 529. [Google Scholar] [CrossRef]
  10. Gerasimenko, A.A.; Aleksandrov, Y.I.; Andreev, I.N.; Batalov, A.K.; Beloglazov, S.M.; Bogoyavlenskiy, A.F.; Valeev, N.N.; Gerasimova, V.V.; Gerasimov, V.V.; Gonik, A.A.; et al. Protection against Corrosion, Aging and Bio-Damage of Machinery, Equipment and Structures: Handbook in 2 Volumes; Mashinostroenie: Moscow, Russia, 1987; Volume 1. [Google Scholar]
  11. Gorshkov, V.S.; Savelyev, V.G.; Fedorov, N.F. Physical Chemistry of Silicates and Other Refractory Compounds: Textbook; Vishaya Shkola: Moscow, Russia, 1988. [Google Scholar]
  12. Baikov, A.A. Collection of Selected Works in 2 Books Book 2; AS USSR: Moscow, Russia, 1948. [Google Scholar]
  13. Sun, G.; Li, B.; Guo, H.; Yang, W.; Li, S.; Guo, J. Thermodynamic study on reduction of iron oxides by H2 + CO + CH4 + N2 mixture at 900 °C. Energies 2020, 13, 5053. [Google Scholar] [CrossRef]
  14. Avvakumov, E.G.; Gusev, A.A. Mechanical Activation Methods in the Processing of Natural and Man-Made Raw Materials; Academic Publishing House “Geo”: Novosibirsk, Russia, 2009. [Google Scholar]
  15. Boldyrev, V.V. Mechanochemistry and mechanical activation of solid. Russ. Chem. Rev. 2006, 75, 177–189. [Google Scholar] [CrossRef]
  16. Boldyrev, V.V. Experimental Methods in Mechanochemistry of Solid Inorganic Substances; Nauka: Novosibirsk, Russia, 1983. [Google Scholar]
  17. Boldyrev, V.V. Control of the reactivity of solids. Ann. Rev. Mater. Sci. 1979, 9, 455–469. [Google Scholar] [CrossRef]
  18. Boldyrev, V.V.; Bulens, M.; Delmon, B. The Control of Rectivity of Solids; Elsevier Science Publisher Co.: Amsterdam, The Netherlands, 1979. [Google Scholar]
Figure 1. The scale granulometric composition, grounded to 1084 cm2/g.
Figure 1. The scale granulometric composition, grounded to 1084 cm2/g.
Materials 15 00320 g001
Figure 2. The scale granulometric composition, grounded to 2857 cm2/g.
Figure 2. The scale granulometric composition, grounded to 2857 cm2/g.
Materials 15 00320 g002
Figure 3. The scale granulometric composition, grounded to 5585 cm2/g.
Figure 3. The scale granulometric composition, grounded to 5585 cm2/g.
Materials 15 00320 g003
Figure 4. Influence of briquetting pressure at room temperature on the scale phase composition.
Figure 4. Influence of briquetting pressure at room temperature on the scale phase composition.
Materials 15 00320 g004
Figure 5. The nature of the scale phase composition change depending on the briquetting pressure.
Figure 5. The nature of the scale phase composition change depending on the briquetting pressure.
Materials 15 00320 g005
Figure 6. Influence of the grinding degree at room temperature on the scale phase composition.
Figure 6. Influence of the grinding degree at room temperature on the scale phase composition.
Materials 15 00320 g006
Figure 7. The nature of the scale phase composition change depending on the grinding degree.
Figure 7. The nature of the scale phase composition change depending on the grinding degree.
Materials 15 00320 g007
Figure 8. Response function of the Fe2O3 content in the scale depending on the combined effect of the briquetting pressure and the grinding degree.
Figure 8. Response function of the Fe2O3 content in the scale depending on the combined effect of the briquetting pressure and the grinding degree.
Materials 15 00320 g008
Figure 9. Isolines of equal Fe2O3 content in scale, depending on the combined effect of briquetting pressure and the grinding degree.
Figure 9. Isolines of equal Fe2O3 content in scale, depending on the combined effect of briquetting pressure and the grinding degree.
Materials 15 00320 g009
Figure 10. Response function of Fe3O4 content in scale depending on the combined effect of briquetting pressure and the grinding degree.
Figure 10. Response function of Fe3O4 content in scale depending on the combined effect of briquetting pressure and the grinding degree.
Materials 15 00320 g010
Figure 11. Isolines equal the content of Fe3O4 in the scale, depending on the combined effect of briquetting pressure and the grinding degree.
Figure 11. Isolines equal the content of Fe3O4 in the scale, depending on the combined effect of briquetting pressure and the grinding degree.
Materials 15 00320 g011
Figure 12. The response function of the FeO content in the scale depending on the combined effect of the briquetting pressure and the grinding degree.
Figure 12. The response function of the FeO content in the scale depending on the combined effect of the briquetting pressure and the grinding degree.
Materials 15 00320 g012
Figure 13. Isolines of equal FeO content in scale, depending on the combined effect of briquetting pressure and the grinding degree.
Figure 13. Isolines of equal FeO content in scale, depending on the combined effect of briquetting pressure and the grinding degree.
Materials 15 00320 g013
Figure 14. The DSC data of samples pressed with coke.
Figure 14. The DSC data of samples pressed with coke.
Materials 15 00320 g014
Figure 15. The phase composition changes of calcined samples pressed with coke.
Figure 15. The phase composition changes of calcined samples pressed with coke.
Materials 15 00320 g015
Figure 16. The DSC data of samples ground with coke.
Figure 16. The DSC data of samples ground with coke.
Materials 15 00320 g016
Figure 17. The change in the phase composition of calcined samples ground with coke.
Figure 17. The change in the phase composition of calcined samples ground with coke.
Materials 15 00320 g017
Figure 18. The effect of joint MCA on the total iron content in calcined samples.
Figure 18. The effect of joint MCA on the total iron content in calcined samples.
Materials 15 00320 g018
Figure 19. The effect of joint MCA on the calcined samples’ metallization degree.
Figure 19. The effect of joint MCA on the calcined samples’ metallization degree.
Materials 15 00320 g019
Table 1. Effect of briquetting pressure at room temperature on the phase composition of scale.
Table 1. Effect of briquetting pressure at room temperature on the phase composition of scale.
Briquetting Pressure, MPaContent, Mass. %
Fe2O3Fe3O4FeO
063.1827.0517.22
10049.9935.8414.17
20036.541.9121.58
30027.1741.6130.22
Table 2. Influence of the grinding degree at normal temperature on the scale phase composition.
Table 2. Influence of the grinding degree at normal temperature on the scale phase composition.
Specific Surface of Grounded Scale, cm2/gContent, Mass. %
Fe2O3Fe3O4FeO
063.1827.0517.22
108424.4748.9426.6
285720.8345.2833.89
555024.9746.9328.10
Table 3. The scale phases content depending on the combined effect of briquetting pressure and grinding at normal temperature.
Table 3. The scale phases content depending on the combined effect of briquetting pressure and grinding at normal temperature.
Briquetting Pressure, MPaSpecific Surface of Grounded Scale, cm2/gContent, Mass. %
Fe2O3Fe3O4FeO
0063.1827.0517.22
100049.9935.8414.17
200036.5041.9121.58
300027.1741.6130.22
0108424.4748.9426.6
100108439.4939.8620.66
200108435.0838.5026.42
300108435.1539.3925.46
0285720.8345.2833.89
100285731.9639.2928.71
200285728.0435.4736.54
300285726.7838.4934.73
0555024.9746.9328.10
100555026.5035.9437.54
200555025.4736.9637.72
300555026.1535.8438.01
Table 4. The phase composition of calcined samples pressed with coke.
Table 4. The phase composition of calcined samples pressed with coke.
Briquetting Pressure, MPaContent, Mass. %
Fe2O3Fe3O4FeOFe
014.7235.9544.424.90
1007.008.8062.7021.48
2002.863.8161.8931.43
3003.291.8461.2533.60
Table 5. The phase composition of calcined samples ground with coke.
Table 5. The phase composition of calcined samples ground with coke.
Specific Surface of Grounded Scale, cm2/gContent, Mass. %
Fe2O3Fe3O4FeOFe
014.7235.9544.424.90
108415.5529.8734.6919.89
285714.2221.645.2418.939
55500.601.2374.3123.852
Table 6. The effect of joint MCA on the metallization degree of calcined samples.
Table 6. The effect of joint MCA on the metallization degree of calcined samples.
Briquetting Pressure, MPaSpecific Surface of Grounded Scale, cm2/gFeall, %Metallization Degree, %
0068.9534.4
100081.1355.46
200077.0024.7
300079.8032.10
0108478.1236.48
100108483.9891.18
200108487.3531.50
300108477.9640.40
0285780.4035.94
100285785.2328.63
200285792.1848.30
300285778.0823.40
0555091.4058.37
100555094.8292.70
200555088.5236.00
300555092.9967.60
Table 7. The briquetting pressure and grinding degree effect on metallization temperature and its enthalpy.
Table 7. The briquetting pressure and grinding degree effect on metallization temperature and its enthalpy.
Briquetting Pressure, MPaGrinding Degree, cm2/gMetallization Temperature, °C.Metallization Enthalpy, kJ/mole
00964.42.34
1000948.42.18
2000891.22.86
3000785.93.75
00964.42.34
01084994.52.93
02857977.38.00
05550965.69.39
Publisher’s Note: MDPI stays neutral with regard to jurisdictional claims in published maps and institutional affiliations.

Share and Cite

MDPI and ACS Style

Sheshukov, O.; Mikheenkov, M.; Vedmid, L.; Egiazaryan, D. Mechanochemical Activation Effect on Technogenic Iron Oxide Reduction Kinetics. Materials 2022, 15, 320. https://doi.org/10.3390/ma15010320

AMA Style

Sheshukov O, Mikheenkov M, Vedmid L, Egiazaryan D. Mechanochemical Activation Effect on Technogenic Iron Oxide Reduction Kinetics. Materials. 2022; 15(1):320. https://doi.org/10.3390/ma15010320

Chicago/Turabian Style

Sheshukov, Oleg, Mikhail Mikheenkov, Larisa Vedmid, and Denis Egiazaryan. 2022. "Mechanochemical Activation Effect on Technogenic Iron Oxide Reduction Kinetics" Materials 15, no. 1: 320. https://doi.org/10.3390/ma15010320

APA Style

Sheshukov, O., Mikheenkov, M., Vedmid, L., & Egiazaryan, D. (2022). Mechanochemical Activation Effect on Technogenic Iron Oxide Reduction Kinetics. Materials, 15(1), 320. https://doi.org/10.3390/ma15010320

Note that from the first issue of 2016, this journal uses article numbers instead of page numbers. See further details here.

Article Metrics

Back to TopTop