Sign in to use this feature.

Years

Between: -

Subjects

remove_circle_outline
remove_circle_outline
remove_circle_outline
remove_circle_outline
remove_circle_outline
remove_circle_outline
remove_circle_outline
remove_circle_outline
remove_circle_outline

Journals

remove_circle_outline
remove_circle_outline
remove_circle_outline
remove_circle_outline
remove_circle_outline
remove_circle_outline
remove_circle_outline
remove_circle_outline
remove_circle_outline
remove_circle_outline
remove_circle_outline
remove_circle_outline
remove_circle_outline
remove_circle_outline
remove_circle_outline

Article Types

Countries / Regions

remove_circle_outline
remove_circle_outline
remove_circle_outline
remove_circle_outline
remove_circle_outline
remove_circle_outline
remove_circle_outline

Search Results (1,690)

Search Parameters:
Keywords = brines

Order results
Result details
Results per page
Select all
Export citation of selected articles as:
17 pages, 948 KB  
Article
Rapid Screening Method to Assess Formation Damage During Injection of Metal Oxide Nanoparticles in Sandstone
by Craig Klevan, Bonnie A. Marion, Jae Jin Han, Taeyoung Chang, Shuhao Liu, Keith P. Johnston, Linda M. Abriola and Kurt D. Pennell
Nanomaterials 2026, 16(7), 402; https://doi.org/10.3390/nano16070402 - 26 Mar 2026
Abstract
Many advances in enhanced oil recovery (EOR) take advantage of the unique properties of nanomaterials to improve characterization of formation properties, achieve conformance control during flood operations, and extend the controlled release time of polymers. Magnetite nanoparticles (nMag) have been employed in these [...] Read more.
Many advances in enhanced oil recovery (EOR) take advantage of the unique properties of nanomaterials to improve characterization of formation properties, achieve conformance control during flood operations, and extend the controlled release time of polymers. Magnetite nanoparticles (nMag) have been employed in these processes due to their low cost, low toxicity, and ability to be engineered to meet desired needs, especially with the application of a magnetic field. Similarly, silica dioxide (SiO2) and aluminum oxide (Al2O3) nanoparticles have been evaluated for the delivery of scale and asphaltene inhibitors. However, the injection of nanoparticles into porous media comes with the risk of formation damage due to particle deposition, which can lead to increased injection pressures and reductions in permeability. The goal of this study was to develop a method to evaluate and assess nanoparticle formulations for their potential to cause formation damage. A screening apparatus was constructed to hold small sandstone discs (~2 mm) or cores (~2.5 cm) for rapid testing with minimal material use and the capability to be used with either aqueous brine solutions or non-polar solvents as the mobile phase. Image analysis of the disc and pressure measurements demonstrated increasing deposition of nMag and face-caking when the salinity was increased from 500 mg/L NaCl (8.56 mM) to API brine (2.0 M). Similarly, when the injected concentration of silica nanoparticles in 500 mg/L NaCl was increased from 1 to 10 wt%, the back pressure increased by 55 psi, and face-caking was observed. The screening test results were consistent with traditional core-flood tests and was able to be modified to accommodate organic liquid mobile phases. The screening test results closely matched nanoparticle transport and retention measured in sandstone cores, confirming the ability of the system to rapidly screen nanoparticle formulations for potential formation damage. Full article
(This article belongs to the Section Energy and Catalysis)
33 pages, 8911 KB  
Article
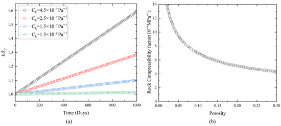
CO2 Plume Migration and Dissolution in Saline Aquifers with Variable Porosity and Permeability: Impacts of Anisotropy and Shale Interlayers
by Bohao Wu, Yuming Tao, Ben Wang, Ying Bi, Weitao Chen, Xiuqi Zhang, Chao Chang and Yulong Ji
Water 2026, 18(7), 788; https://doi.org/10.3390/w18070788 - 26 Mar 2026
Abstract
Deep saline aquifers are key targets for secure CO2 geological storage because of their petrophysical and geochemical characteristics. This study conducts two-dimensional radial numerical simulations of CO2–brine flow and dissolution to examine plume migration and dissolution in saline aquifers while [...] Read more.
Deep saline aquifers are key targets for secure CO2 geological storage because of their petrophysical and geochemical characteristics. This study conducts two-dimensional radial numerical simulations of CO2–brine flow and dissolution to examine plume migration and dissolution in saline aquifers while allowing porosity and permeability to evolve with pressure. The model outputs include reservoir pressure, porosity, permeability, gas saturation, and dissolved CO2, with additional analyses of permeability anisotropy, initial reservoir pressure, and stratified sandstone–shale architecture. Simulations with evolving properties predict a smaller radial plume extent than simulations with fixed properties, together with a maximum pressure buildup of about 2 MPa near the injection well. In a homogeneous aquifer, porosity and permeability increase nonlinearly during injection and reach about 1.25 and 2.6 times their initial values near the injection well after 1200 days, whereas the increases are lower in the sandstone–shale case at about 1.16 and 2.0 times because shale interlayers confine the enhanced zone to the lower sandstone. Increasing permeability anisotropy shifts migration toward lateral spreading, and higher initial reservoir pressure reduces plume extent. Overall, the assumption of constant porosity and permeability tends to predict larger plume footprints and different pressure responses, with sensitivity controlled by anisotropy, initial pressure, and shale interlayers. Full article
Show Figures

Figure 1

14 pages, 2506 KB  
Article
Trace Elements and REEs of the Late Cretaceous Halite from Thakhek Basin, Laos and Its Paleoenvironmental Implication
by Jinyang Sha, Huijing Yin, Xize Zeng and Hua Zhang
Minerals 2026, 16(4), 346; https://doi.org/10.3390/min16040346 - 26 Mar 2026
Viewed by 190
Abstract
Rare earth elements (REEs) play a critical role in provenance tracing and the environmental reconstruction of the Earth. However, systematic investigations into the geochemical behavior and fractionation mechanisms of REEs during halite crystallization in brine–salt systems remain limited. This study reports new trace [...] Read more.
Rare earth elements (REEs) play a critical role in provenance tracing and the environmental reconstruction of the Earth. However, systematic investigations into the geochemical behavior and fractionation mechanisms of REEs during halite crystallization in brine–salt systems remain limited. This study reports new trace element and REE data for Late Cretaceous halites from the Thakhek Basin, Laos. Ratios of Sr/Ba, Sr/Cu, and V/Cr indicate a marine origin for the halites, which formed under hot climatic and oscillating oxidizing–anoxic redox conditions. Both primary and secondary halites display uniform Post-Archean Australian Shale (PAAS)-normalized REE distribution patterns, characterized by relative enrichment in medium rare earth elements (MREE) and depletion in light (LREE) and heavy rare earth elements (HREE). Similar REE patterns are also observed in halites from other modern and ancient, continental and marine salt basins worldwide. These observations suggest that the influences of parent brine composition and external provenance supplies on REE fractionation are negligible, given the consistent source, salinity, and redox conditions recorded in these halites. Accordingly, REE fractionation in halite was largely controlled by crystallographic effects, with aqueous MREE preferentially incorporated into halite crystals during deposition. In addition, the relatively lower Zr/Hf ratios in secondary halites compared to primary halites further validate the utility of the Zr/Hf ratio for distinguishing authigenic halite from salt modified by diagenesis, weathering, dissolution, or recrystallization. While our results establish a fundamental REE distribution pattern for halite, further research is needed to better constrain the underlying fractionation mechanisms of REEs in evaporite minerals within brine–salt systems. Full article
(This article belongs to the Section Environmental Mineralogy and Biogeochemistry)
Show Figures

Figure 1

20 pages, 1983 KB  
Article
Experimental Investigation of Surfactant-Assisted Low-Salinity Brine Flooding in Oil-Wet Carbonate Reservoirs for Enhanced Oil Recovery
by Amir Hossein Javadi, Ahmed Fatih Belhaj, Shasanowar Hussain Fakir and Hemanta Kumar Sarma
Processes 2026, 14(7), 1054; https://doi.org/10.3390/pr14071054 - 25 Mar 2026
Viewed by 201
Abstract
Low-salinity water flooding (LSWF) has been widely investigated as an enhanced oil recovery (EOR) method for carbonate reservoirs; however, the relative contributions of wettability alteration and oil–brine interfacial tension (IFT) reduction remain poorly understood, particularly under strongly oil-wet conditions. This study systematically investigates [...] Read more.
Low-salinity water flooding (LSWF) has been widely investigated as an enhanced oil recovery (EOR) method for carbonate reservoirs; however, the relative contributions of wettability alteration and oil–brine interfacial tension (IFT) reduction remain poorly understood, particularly under strongly oil-wet conditions. This study systematically investigates the physicochemical mechanisms governing oil recovery during hybrid LSWF–surfactant flooding in oil-wet carbonate systems. Oil-wet Indiana limestone cores were used as representative carbonate reservoir rocks. Seawater and its diluted analogs were employed as base brines and combined with anionic and cationic surfactants at varying concentrations. Zeta potential and pH measurements were conducted to characterize electrostatic interactions at the rock–brine and oil–brine interfaces, while dynamic contact angle and pendant-drop IFT measurements were used to quantify wettability evolution and fluid–fluid interactions. Core flooding experiments were subsequently performed to link interfacial phenomena to macroscopic oil recovery behavior. The results demonstrate that brine dilution induces more negative surface charges at both interfaces, promoting double-layer expansion and electrostatic repulsion, which stabilizes the aqueous film and drives wettability alteration toward a water-wet state. The addition of anionic surfactants further amplifies this effect by increasing surface charge negativity, whereas cationic surfactants preferentially adsorb onto the negatively charged rock surface, limiting wettability alteration despite producing greater IFT reduction. Sulfate ions enhance wettability alteration by facilitating divalent cation interactions with adsorbed oil components; however, excessive sulfate concentrations lead to precipitation-induced flow impairment. Core flooding results reveal that diluted seawater combined with an anionic surfactant yields the highest incremental oil recovery. Our findings conclusively demonstrate that wettability alteration—rather than IFT reduction—is the more dominant recovery mechanism in oil-wet carbonate reservoirs under the investigated conditions. These results provide mechanistic guidance for optimized brine and surfactant design in hybrid LSWF–chemical EOR applications. Full article
(This article belongs to the Special Issue New Technology of Unconventional Reservoir Stimulation and Protection)
Show Figures

Figure 1

26 pages, 4066 KB  
Article
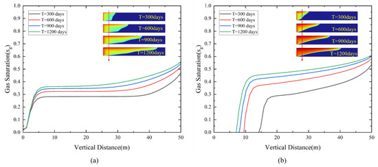
Study on CO2 Migration–Dissolution Characteristics in Saline Aquifers Under the Influence of Discontinuous Lenticular Shale Layers
by Bohao Wu, Yuming Tao, Jiubo Yang, Jihao Sun, Ying Bi, Kaixuan Feng, Chao Chang and Shaohua Li
Processes 2026, 14(7), 1034; https://doi.org/10.3390/pr14071034 - 24 Mar 2026
Viewed by 129
Abstract
During CO2 storage in deep saline aquifers, low-permeability lenticular shale layers alter CO2 migration and affect dissolution trapping, but their impacts remain unclear. In this study, a two-dimensional radial numerical model coupling gas–brine two-phase flow and mass transfer is developed to [...] Read more.
During CO2 storage in deep saline aquifers, low-permeability lenticular shale layers alter CO2 migration and affect dissolution trapping, but their impacts remain unclear. In this study, a two-dimensional radial numerical model coupling gas–brine two-phase flow and mass transfer is developed to simulate CO2 plume evolution and dissolution beneath discontinuous lenticular shale layers. In the model, lenticular shale interlayers are represented as discontinuous low-permeability barriers, and their geometry is characterized by radial length and vertical thickness. The blocking effect of lenticular shale layers induces bypass flow, promotes lateral plume spreading, and prolongs contact time between CO2 and brine, which increases dissolution during 250 to 1000 days of injection. When the permeability anisotropy ratio is 0.001, upward migration of CO2 is suppressed and a high-concentration retention zone forms beneath the lenticular shale layer. As the radial length of the lenticular shale layers increases from 150 to 250 m, the plume expands and the bypass-flow path lengthens, which strengthens lateral CO2 spreading and redistributes dissolved CO2 concentration. In contrast, varying the thickness of the lenticular shale layers from 6 to 10 m has a relatively limited influence on the extent of bypass flow and the morphology of the concentration field. Full article
(This article belongs to the Section Environmental and Green Processes)
Show Figures

Figure 1

35 pages, 4208 KB  
Article
Surrogate-Assisted Techno-Economic Optimization to Reduce Saltwater Disposal via Produced-Water Valorization: A Permian Basin Case Study
by Ayann Tiam, Elie Bechara, Marshall Watson and Sarath Poda
Water 2026, 18(6), 739; https://doi.org/10.3390/w18060739 - 21 Mar 2026
Viewed by 201
Abstract
Produced-water (PW) management in the Permian Basin faces tightening injection constraints, induced seismicity concerns, and volatile saltwater disposal (SWD) costs. At the same time, chemistry-rich PW contains dissolved constituents (e.g., Li, B, and Sr) that may be valorized if SWD recovery performance and [...] Read more.
Produced-water (PW) management in the Permian Basin faces tightening injection constraints, induced seismicity concerns, and volatile saltwater disposal (SWD) costs. At the same time, chemistry-rich PW contains dissolved constituents (e.g., Li, B, and Sr) that may be valorized if SWD recovery performance and market conditions support favorable techno-economics. Here, we develop an integrated decision-support framework that couples (i) chemistry-informed surrogate models for unit process performance (recovery, effluent quality, and energy/chemical intensity) with (ii) a network-based allocation model that routes PW from sources through pretreatment, optional treatment and mineral-recovery modules (e.g., desalination and direct lithium extraction), and end-use nodes (beneficial reuse, hydraulic fracturing reuse, mineral recovery/valorization, or Class II disposal). This is a screening-level demonstration using publicly available chemistry percentiles and representative pilot-reported performance windows; it is not a site-specific facility design or a bankable TEA for a particular operator. The optimization is posed as a tri-objective problem—to maximize expected net present value, minimize SWD, and minimize an injection-risk indicator R—subject to mass balance, capacity, quality, and regulatory constraints. Uncertainty in commodity prices, recovery fractions, and operating costs is propagated via Monte Carlo scenario sampling, yielding PARETO-efficient portfolios that quantify trade-offs between profitability and risk mitigation. Using the PW chemistry percentiles reported by the Texas Produced Water Consortium for the Delaware and Midland Basins, we derive screening-level break-even lithium concentrations and illustrate how lithium-carbonate-equivalent price and recovery govern the extent to which mineral revenue can offset SWD expenditures. Comparative brine benchmarks (Smackover Formation and Salton Sea geothermal systems) contextualize the Permian’s generally lower-Li PW and highlight transferability of the workflow across brine types. The proposed framework provides a transparent, extensible basis for design matrix planning under evolving injection limits, enabling risk-aware PW management strategies that reduce disposal dependence while improving water resilience. Full article
(This article belongs to the Section Wastewater Treatment and Reuse)
Show Figures

Figure 1

18 pages, 3663 KB  
Article
Cooling–Heating Phase Behavior of Hypersaline Culture Media Studied by DSC and Cryomicroscopy
by Olena Bobrova, Nadiia Chernobai, Nadiia Shevchenko, Viktor Husak and Alexander Shyichuk
Water 2026, 18(6), 738; https://doi.org/10.3390/w18060738 (registering DOI) - 21 Mar 2026
Viewed by 203
Abstract
Hypersaline culture media used for cultivation of Dunaliella salina represent complex multicomponent aqueous systems whose cooling–heating phase behavior remains insufficiently characterized. In this study, the thermal transitions of two biologically relevant hypersaline media (Artari and Ramaraj) were investigated using differential scanning calorimetry (DSC) [...] Read more.
Hypersaline culture media used for cultivation of Dunaliella salina represent complex multicomponent aqueous systems whose cooling–heating phase behavior remains insufficiently characterized. In this study, the thermal transitions of two biologically relevant hypersaline media (Artari and Ramaraj) were investigated using differential scanning calorimetry (DSC) and cryomicroscopy. The media were examined at NaCl concentrations of 1.5, 2.0, and 4.0 M, corresponding to moderate to highly concentrated brine conditions comparable to natural salt lakes and evaporative basins. DSC analysis revealed pronounced salinity-dependent suppression of ice crystallization and modification of melting transitions relative to classical NaCl–water systems. Increased NaCl concentration reduced recrystallization during heating and shifted peak temperatures, indicating kinetic and compositional effects in the unfrozen fraction. Rapid cooling promoted formation of partially amorphous phases, consistent with limited vitrification in highly concentrated media. Cryomicroscopy directly confirmed changes in ice morphology, nucleation density, and crystal growth dynamics under varying salinity and thermal histories. The combined calorimetric and microscopic approach demonstrates that complete hypersaline cultivation media exhibit phase behavior that cannot be fully extrapolated from simplified binary systems. These findings provide new insight into the physicochemical stability of multicomponent brines during cooling and highlight the critical role of salinity and thermal history in controlling crystallization pathways in hypersaline aqueous environments. Full article
(This article belongs to the Section Water, Agriculture and Aquaculture)
Show Figures

Graphical abstract

29 pages, 6927 KB  
Article
Chemical Signatures of Apatite in the AQW2 Deposit: Petrogenetic Insights on a Wide Archean–Paleoproterozoic Iron Oxide–Copper–Gold Mineral System in the Carajás Mineral Province
by Ligia Stama, Lena V. S. Monteiro, Nazaré A. Barbosa, Luiz F. Dutra, Giovanna C. Moreira, Sarah A. S. Dare, Rodrigo Oliveira de Araujo Mabub and Fernando Martins Vieira Matos
Minerals 2026, 16(3), 308; https://doi.org/10.3390/min16030308 - 15 Mar 2026
Viewed by 421
Abstract
Iron oxide–copper–gold (IOCG) deposits are widespread throughout the Carajás Province, Brazil, reflecting multiple Precambrian hydrothermal events. The Aquiri region is a relatively unexplored geological frontier in the northwestern Carajás Province. The AQW2 IOCG deposit is hosted by a Neoarchean mafic intrusive suite within [...] Read more.
Iron oxide–copper–gold (IOCG) deposits are widespread throughout the Carajás Province, Brazil, reflecting multiple Precambrian hydrothermal events. The Aquiri region is a relatively unexplored geological frontier in the northwestern Carajás Province. The AQW2 IOCG deposit is hosted by a Neoarchean mafic intrusive suite within metavolcano–sedimentary rocks. The pre-mineralization (Na and Na-K) and mineralization (Fe-Ca and Fe-P) hydrothermal stages appear as replacement fronts and as cement within ductile-deformed breccias. Late-mineralization (Fe-K, chlorite, and calcic-rich) assemblages occur in multidirectional veins controlled by brittle structures. Early- and main-mineralization apatite (Ap I-III) is enriched in F, Mn, and Sr, depleted in Y, shows unusually high Fe and Si (Ap III), and exhibits a pronounced positive Eu anomaly (Ap II). These characteristics indicate an alkaline fluid composition, substantial fluid–rock interaction, and episodic CO2 degassing with the release of overpressured fluids, resulting in multiple brecciation events. A rapid decrease in temperature due to boiling is interpreted as a principal mechanism for copper precipitation. Late-mineralization apatite (Ap V–VI) is characterized by relatively higher Cl, Y, and LREE contents, lower Sr and Mn, and negative Eu-anomaly ratios, suggesting control by shallower paleostructures and more oxidizing conditions associated with the influx of basinal brines. These results highlight the evolution of the AQW2 deposit within a broader IOCG system and provide new insights into the metallogenic processes responsible for copper resources essential to the clean energy transition. Full article
Show Figures

Graphical abstract

21 pages, 2105 KB  
Article
Sustainable Design of Phosphonate Anti-Scale Additives for Oilfield Flow Assurance via 2D-QSAR-KNN and Global Inverse-QSAR Descriptor Profiling
by Ouafa Belkacem, Lokmane Abdelouahed, Kamel Aizi, Maamar Laidi, Abdelhafid Touil and Salah Hanini
Processes 2026, 14(6), 906; https://doi.org/10.3390/pr14060906 - 12 Mar 2026
Viewed by 284
Abstract
Mineral scale deposition remains a major flow-assurance constraint in oil and gas operations, especially in water-flooding and produced-water reinjection, where mixing between incompatible brines promotes super-saturation and precipitation of poorly soluble salts. This work introduces a novel extension of traditional methods used for [...] Read more.
Mineral scale deposition remains a major flow-assurance constraint in oil and gas operations, especially in water-flooding and produced-water reinjection, where mixing between incompatible brines promotes super-saturation and precipitation of poorly soluble salts. This work introduces a novel extension of traditional methods used for modeling chemical inhibition and the predictive evaluation of oilfield scale-inhibitor molecules. A systematically optimized Two-Dimensional Quantitative Structure–Activity Relationship Model based on the k-Nearest Neighbors algorithm 2D-QSAR-KNN model was developed to quantitatively link molecular constitution of phosphonate inhibitors, brine chemistry, and operating factors with inhibition efficiency IE %. The optimized model achieved strong accuracy and generalization R2train = 0.9182, R2test = 0.9306, and R2global = 0.9208 with low prediction errors RMSEtrain = 4.7888%, RMSEtest = 4.5485%, and RMSEglobal = 4.7421%. Median absolute errors remained minimal for the train set = 0.80%, and test set = 1.63%, and model stability was confirmed by high correlation with experimental IE % r = 0.94 and R2train/R2test ≈ 0.99, showing no sign of overfitting. Additionally, an inverse-2D-QSAR framework was applied to identify the optimal molecular descriptor profile expected to maximize inhibitory performance within normalized bounds, providing rational rules for next-generation inhibitor design. The findings highlight the practical value of QSAR-inspired AI modeling to accelerate molecule screening and dosage exploration prior to laboratory validation, supporting more cost-effective, interpretable, and environmentally aware sulfate-scale inhibition strategies under high-salinity reservoir conditions. Full article
(This article belongs to the Special Issue Process Control and Optimization in the Era of Industry 5.0)
Show Figures

Figure 1

28 pages, 10613 KB  
Article
Characterization of Hydrogeologic and Lithologic Heterogeneity Along the Southern Shore of the Great Salt Lake, Utah, from Electrical Methods
by Mason Jacketta, Michael S. Thorne, Surya Pachhai, Ivan Tochimani-Hernandez, Tonie van Dam, Christian L. Hardwick, Ebenezer Adomako-Mensah, William P. Johnson and Leif S. Anderson
Geosciences 2026, 16(3), 114; https://doi.org/10.3390/geosciences16030114 - 11 Mar 2026
Viewed by 404
Abstract
Water levels in the Great Salt Lake (GSL), UT, USA, have been declining overall since 1989, leading to a 70% decrease in surface area. To understand GSL’s future, we seek to image fresh groundwater input and lithologic variation along the lake’s boundary. Determining [...] Read more.
Water levels in the Great Salt Lake (GSL), UT, USA, have been declining overall since 1989, leading to a 70% decrease in surface area. To understand GSL’s future, we seek to image fresh groundwater input and lithologic variation along the lake’s boundary. Determining the amount of groundwater recharge into GSL is crucial for lake management but currently unknown. During the Fall of 2024 and Spring 2025, we conducted 16 electrical resistivity tomography (ERT) and six transient electromagnetic (TEM) surveys along the southern shore of GSL between Burmester Road (to the West), Saltair, and Lee’s Creek (to the East). These measurements indicate a low-resistivity layer consistent with brine pore-water, with variable thickness ranging from 7.1 ± 0.1 m at Burmester to 9.6 ± 0.2 m at Saltair. The Saltair region shows a high-resistivity layer, consistent with a 4.4 ± 0.05 m thick layer of mirabilite. This layer contains vertical conduits that allow saline pore-water to upwell onto the surface forming evaporite deposits. Near Lee’s Creek, we find evidence of high resistivities consistent with fresher groundwater as shallow as 2.8 ± 0.03 m, where increased permeability along the paleo-Jordan River corridor may provide a path for groundwater recharge from the Wasatch Mountains. Full article
(This article belongs to the Section Hydrogeology)
Show Figures

Figure 1

17 pages, 3074 KB  
Article
Predicting CO2 Solubility in Brine for Carbon Storage with a Hybrid Machine Learning Framework Optimized by Ant Colony Algorithm
by Seyed Hossein Hashemi, Farshid Torabi and Sepideh Palizdan
Water 2026, 18(6), 662; https://doi.org/10.3390/w18060662 - 11 Mar 2026
Viewed by 227
Abstract
Predicting carbon dioxide (CO2) solubility in brine is critical for carbon capture and storage. This study employs the Ant Colony Optimization (ACO) algorithm to enhance the predictive accuracy of four machine learning models: Neural Network (NN), Decision Tree (DT), Support Vector [...] Read more.
Predicting carbon dioxide (CO2) solubility in brine is critical for carbon capture and storage. This study employs the Ant Colony Optimization (ACO) algorithm to enhance the predictive accuracy of four machine learning models: Neural Network (NN), Decision Tree (DT), Support Vector Regression (SVR), and Gradient Boosting Machine (GBM). The models were trained and validated on a mineral compound dataset. Performance was evaluated using the coefficient of determination (R2) and error metrics including RMSE and MAE. The GBM model achieved the highest test accuracy (R2 = 0.986) with low errors (RMSE = 0.0478, MAE = 0.0362), demonstrating superior ability to model complex, non-linear relationships with minimal overfitting. The optimized NN, featuring three layers and fifteen neurons, delivered strong performance (R2 = 0.930) with balanced errors across datasets. The DT model offered excellent interpretability and a strong test score (R2 = 0.912), while the SVR model provided robust generalization (R2 = 0.889). The results indicate that ACO is an effective tool for hyperparameter tuning across diverse model architectures. For maximum accuracy, GBM is recommended, whereas DT is ideal when interpretability is required. The NN presents a strong middle-ground option with competitive accuracy. This comparative framework assists in selecting the optimal model based on specific project priorities of accuracy, transparency, or computational efficiency for geochemical forecasting. Full article
Show Figures

Figure 1

18 pages, 1999 KB  
Review
Ultrasound Fundamentals and Ultrasound-Assisted Food Processing Applications
by Alifdalino Sulaiman and Filipa Vinagre Marques Silva
Processes 2026, 14(6), 884; https://doi.org/10.3390/pr14060884 - 10 Mar 2026
Viewed by 405
Abstract
Ultrasound has emerged as a versatile and promising tool to enhance and speed up traditional processing operations used by the food industry or to be used as an alternative food-processing method. This review provides an overview of the fundamental principles of sonication and [...] Read more.
Ultrasound has emerged as a versatile and promising tool to enhance and speed up traditional processing operations used by the food industry or to be used as an alternative food-processing method. This review provides an overview of the fundamental principles of sonication and its diverse applications in food processing. The core concepts of acoustic cavitation and the influence of power on processing outcomes are discussed in detail. The design and operation of different ultrasound systems, including direct-contact probe and indirect-contact bath systems, and their respective advantages were reviewed. Furthermore, a wide array of applications were explored, namely extraction, homogenization, degassing and deodorizing, pasteurization and vegetable blanching, drying and dehydration, freezing and thawing, brining and hydration, and cutting, highlighting how ultrasound waves can enhance process efficiency and improve product quality. The review also provides a critical analysis of the challenges and limitations associated with scaling up the technology for industrial use, including potential impacts on food quality, safety considerations, and economic viability. Finally, future perspectives and potential areas for further research are outlined to encourage the broader adoption of this technology in the food sector. Full article
(This article belongs to the Special Issue Advanced Technology in Food Processing)
Show Figures

Figure 1

12 pages, 3805 KB  
Article
Carbon-Source-Dependent Toxicity of Carbon Dots: An Environmental Evaluation Using Brine shrimp
by Olga V. Soledad-Flores and Sonia J. Bailón-Ruiz
Foundations 2026, 6(1), 11; https://doi.org/10.3390/foundations6010011 - 6 Mar 2026
Viewed by 219
Abstract
Carbon dots (C-Dots) have attracted significant interest due to their strong photoluminescence, aqueous stability, and tunable surface chemistry; however, their environmental safety remains incompletely understood. In this work, C-Dots were synthesized via a rapid microwave-assisted method using two different carbon precursors, D-glucose and [...] Read more.
Carbon dots (C-Dots) have attracted significant interest due to their strong photoluminescence, aqueous stability, and tunable surface chemistry; however, their environmental safety remains incompletely understood. In this work, C-Dots were synthesized via a rapid microwave-assisted method using two different carbon precursors, D-glucose and ascorbic acid, with ethylenediamine as a passivating agent. The resulting nanoparticles exhibited predominantly amorphous structures with sizes below 10 nm, characteristic absorption bands at ~280–330 nm, and blue photoluminescence centered at ~450 nm. Acute toxicity was evaluated using Brine shrimp at concentrations ranging from 10 to 2000 ppm after 24 and 48 h of exposure. C-Dots synthesized from ascorbic acid showed significant toxicity at 2000 ppm, inducing higher mortality rates after 24 h, whereas D-glucose-derived C-Dots exhibited minimal toxic effects under the same conditions. These findings demonstrate that carbon precursor selection plays a critical role in determining the environmental toxicity of C-Dots and highlight the importance of precursor-dependent design strategies to minimize potential ecological risks associated with carbon-based nanomaterials. Full article
(This article belongs to the Section Chemical Sciences)
Show Figures

Figure 1

16 pages, 5712 KB  
Article
Orange Peel-Derived Chitosan-TiO2 Nanoparticles: Synthesis, Characterization, and Potent Cervical Cancer Cell Inhibition Capacity
by Kavinithi Jaganathan Mahadevan, Dhruv Suraneni, Sanjana Raghupathy and Koyeli Girigoswami
J. Compos. Sci. 2026, 10(3), 142; https://doi.org/10.3390/jcs10030142 - 6 Mar 2026
Viewed by 378
Abstract
This study presents an efficient, environmentally benign approach for synthesizing chitosan-entrapped titanium dioxide (TiO2) nanocomposites utilizing aqueous orange peel extract playing its role in reduction and stabilization of the nanoparticles and exploring its anticancer activity in vitro. TiO2 nanoparticles were [...] Read more.
This study presents an efficient, environmentally benign approach for synthesizing chitosan-entrapped titanium dioxide (TiO2) nanocomposites utilizing aqueous orange peel extract playing its role in reduction and stabilization of the nanoparticles and exploring its anticancer activity in vitro. TiO2 nanoparticles were initially synthesized via a modified sol-gel method incorporating the orange peel extract. Subsequently, these nanoparticles were entrapped within a chitosan matrix. The orange peel extract was thoroughly characterized using analysis of phytochemicals present, and Gas Chromatography–Mass Spectrometry (GC–MS) analysis of a reconstructed methanolic extract to identify potential biomolecules responsible for the reduction and capping processes. The synthesized chitosan-entrapped TiO2 nanoparticles were subjected to comprehensive characterization using various analytical techniques, like UV–visible spectroscopy, Dynamic Light Scattering (DLS) and Zeta Potential analysis, X-ray Diffraction (XRD), FTIR, High-Resolution Scanning Electron Microscopy (HR-SEM) and Energy-Dispersive X-ray Spectroscopy (EDAX). An absorption peak was observed at 296 nm, a hydrodynamic diameter of 400 nm, a+ 35.88 mV zeta potential, and an SEM image showing a diameter in the range of 300–645 nm, indicating polymer entrapment with enhanced size. Brine shrimp assay, MTT assay using normal fibroblasts, 3T3-L1, and zebrafish embryo assay were done to observe the biocompatibility of the synthesized nanostructure. The concentration of 50 μg/mL was found to be inert in both in vitro and in vivo. Furthermore, cervical cancer cells, SiHa, were treated with the nanoparticles to exhibit their cancer-killing capability with an IC50 value of 30.74 μg/mL. The results demonstrate the effectiveness of orange peel extract as a sustainable agent for TiO2 nanoparticle synthesis and the successful formation of a stable chitosan-entrapped nanocomposite. This approach offers a promising pathway for producing functional metal oxide nanomaterials with reduced environmental impact and enhanced properties for diverse biomedical applications. Future studies using other types of cancer cells and animal models for cancerous tumors need to be explored. Full article
(This article belongs to the Special Issue Biomedical Composite Applications)
Show Figures

Figure 1

21 pages, 768 KB  
Article
The Environmental Impact of Reducing Heat Energy Losses Through External Brick Walls in Single-Family Houses
by Agnieszka Sobolewska, Marcin Bukowski and Janusz Majewski
Sustainability 2026, 18(5), 2580; https://doi.org/10.3390/su18052580 - 6 Mar 2026
Viewed by 226
Abstract
The use of appropriate thermal insulation is one of the fundamental methods for reducing a building’s energy demand. The article aims to assess the ecological effectiveness of reducing thermal energy losses through the external brick walls of a model single-family building. Environmental impacts [...] Read more.
The use of appropriate thermal insulation is one of the fundamental methods for reducing a building’s energy demand. The article aims to assess the ecological effectiveness of reducing thermal energy losses through the external brick walls of a model single-family building. Environmental impacts resulting from the use of three alternative heat sources (a condensing gas boiler, an oil boiler, and a brine-to-water heat pump) and two types of insulation materials (EPS with recycled material and mineral wool) were determined. Oil heating has the highest combined environmental impact (EUR 4.392). Using EPS as an insulating material generates a lower environmental impact compared to mineral wool (EUR 2.846 vs. EUR 3.775). The impact of climatic conditions was also considered, taking into account seven building locations that correspond to the diverse climatic conditions found in different regions of Poland. The obtained values indicate a clear impact of both the thickness of the thermal insulation layer and the building’s location on the amount of heat loss and, consequently, environmental costs. In locations with higher average annual outdoor temperatures, the determined heat losses are approximately 20% lower. The most significant environmental benefits are observed when switching from no insulation to 150–200 mm of insulation. The results indicate that the environmental benefits resulting from reduced heat losses achieved through the use of thermal insulation are quickly offset by the externalities associated with the production of the insulation. For a thickness of 50 mm, the benefit–cost ratio (B/C) ranges from 1.7 to 8.4, indicating that the environmental benefits achieved by reducing heat loss are approximately two to eight times greater than the costs associated with producing the material. The B/C ratio decreases with increasing insulation thickness, regardless of the building’s location and the type of heat source. As the thickness increases to 100 mm, the ratio drops to 1–5. In the temperate climate zone, where Poland and others UE’s countries are located, a 100–150 mm layer of insulation offers the best compromise between environmental benefits and environmental costs. The results demonstrate the validity of using building insulation and may serve as an argument in environmental policy for supporting it with budgetary funds in Poland and the European Union. Full article
(This article belongs to the Special Issue Energy Economics and Sustainable Environment)
Show Figures

Figure 1

Back to TopTop