Sign in to use this feature.

Years

Between: -

Subjects

remove_circle_outline
remove_circle_outline
remove_circle_outline
remove_circle_outline
remove_circle_outline
remove_circle_outline
remove_circle_outline
remove_circle_outline
remove_circle_outline

Journals

remove_circle_outline
remove_circle_outline
remove_circle_outline

Article Types

Countries / Regions

remove_circle_outline
remove_circle_outline
remove_circle_outline
remove_circle_outline
remove_circle_outline

Search Results (403)

Search Parameters:
Keywords = brine salinity

Order results
Result details
Results per page
Select all
Export citation of selected articles as:
25 pages, 7026 KB  
Article
Effects of Thermal Cycling and Environmental Exposure on Mechanical Properties of 6061 and 7075 Aluminum Alloys
by Valentin Zichil, Cosmin Constantin Grigoras, Ana-Maria Rosu, Vlad Andrei Ciubotariu and Aurel Mihail Titu
Processes 2026, 14(1), 16; https://doi.org/10.3390/pr14010016 - 19 Dec 2025
Viewed by 210
Abstract
This work quantifies the environmental sensitivity of tartaric–sulfuric acid (TSA) anodized and sealed 6061 and 7075 aluminum. Five alloy–temper states (6061-T4, 6061-T62, 7075-T0, 7075-T62, and 7075-T73) were TSA-treated, pore sealed and then exposed for eight weeks (56 days) to ambient air, 11 wt.% [...] Read more.
This work quantifies the environmental sensitivity of tartaric–sulfuric acid (TSA) anodized and sealed 6061 and 7075 aluminum. Five alloy–temper states (6061-T4, 6061-T62, 7075-T0, 7075-T62, and 7075-T73) were TSA-treated, pore sealed and then exposed for eight weeks (56 days) to ambient air, 11 wt.% NaCl brine, or a microbiological medium, with weekly +20 °C/−20 °C freeze–thaw cycles. Tensile tests assessing yield strength, ultimate strength, and elongation were conducted. Strength losses were modest in ambient conditions (<5%) but increased to ≈5–10% for yield and ≈2–9% for ultimate under saline and microbial conditions, particularly in the annealed 7075-T0 and peak-aged 7075-T62 states. Ductility was more sensitive, declining up to ≈30% for 6061-T4 and 6061-T62 in harsh media. Permutation-based inference within an additive screening model indicated that environmental exposure is strongly associated with the dominant share of the observed variability (R2env ≈ 0.91–0.93 for yield, ultimate strength, and elongation), within the limits of the present dataset. These results suggest that freeze–thaw cycling, chloride exposure, and microbiological activity are consistent with the observed degradation trends. Over-aged 7075-T73 retained properties better than T62, highlighting the roles of temper and pore sealing quality in cold, saline, and microbiologically active service. Full article
Show Figures

Figure 1

25 pages, 4815 KB  
Article
Performance Evaluation of an Activated Greek Palygorskite in High-Salinity and High-Hardness Water-Based Drilling Fluids
by Dimitrios Papadimitriou, Ernestos Nikolas Sarris and Nikolaos Kantiranis
Minerals 2025, 15(12), 1309; https://doi.org/10.3390/min15121309 - 15 Dec 2025
Viewed by 153
Abstract
The performance of conventional bentonite-based drilling fluids is severely compromised in high-salinity and high-hardness brines, creating a need for salt-tolerant viscosifiers. This work provides a comprehensive performance evaluation of an activated palygorskite sourced from the Ventzia basin in Greece to be used as [...] Read more.
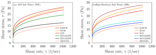
The performance of conventional bentonite-based drilling fluids is severely compromised in high-salinity and high-hardness brines, creating a need for salt-tolerant viscosifiers. This work provides a comprehensive performance evaluation of an activated palygorskite sourced from the Ventzia basin in Greece to be used as a high-performance additive for water-based drilling fluids. Six raw clay samples were mechanically processed and activated via extrusion and chemically treated with 2.25% MgO. Their rheological behavior and filtration properties were systematically investigated in three aqueous environments, (i) deionized water, (ii) API-standard salt water, and (iii) API-standard high-hardness salt water. The performance was benchmarked against that of commercial palygorskite products. The results demonstrated that the selected activated Greek samples exhibited excellent rheological properties, including higher viscosity, yield point, and thixotropic gel strength, comparable to those of the commercial benchmark. While the fluid’s rheology was suppressed by increasing salinity due to the flocculation of co-existing smectite, the best-performing Greek clays maintained a significant advantage, developing exceptionally robust gel structures critical for solid suspension in harsh conditions. Crucially, the same smectite flocculation mechanism proved highly beneficial for filtration control, leading to a significant reduction in fluid loss and the formation of a thin filter cake, particularly with the high-hardness brine. The findings confirm that activated Greek palygorskite is a technically viable, high-performance alternative to imported commercial materials, offering a sustainable solution for formulating resilient drilling fluids for challenging environments. Full article
(This article belongs to the Special Issue Alkali Activation of Clay-Based Materials)
Show Figures

Figure 1

19 pages, 5142 KB  
Article
Laser-Raman Analysis of Individual Fluid Inclusions and Hydrocarbon-Fluid Evolution in the Marine–Terrestrial Transitional Longtan Formation Shale, Southern Sichuan Basin
by Longyi Wang, Xizhe Li, Ya’na Chen, Nijun Qi, Wenxuan Yu, Yuchuan Chen, Sijie He, Yuhang Zhou, Yaqi Zhao and Jing Xiang
Appl. Sci. 2025, 15(24), 12874; https://doi.org/10.3390/app152412874 - 5 Dec 2025
Viewed by 362
Abstract
This study integrates microthermometry and laser-Raman spectroscopy of individual fluid inclusions with basin modelling to reconstruct the hydrocarbon-fluid evolution and multistage re-mobilisation of the Permian Longtan Formation transitional marine–terrestrial shale in the YJ-LJ area, southern Sichuan Basin. Systematic analysis of aqueous two-phase, methane-rich, [...] Read more.
This study integrates microthermometry and laser-Raman spectroscopy of individual fluid inclusions with basin modelling to reconstruct the hydrocarbon-fluid evolution and multistage re-mobilisation of the Permian Longtan Formation transitional marine–terrestrial shale in the YJ-LJ area, southern Sichuan Basin. Systematic analysis of aqueous two-phase, methane-rich, and associated bitumen inclusions hosted in fracture-fill veins and sandy partings identifies four fluid episodes, enabling subdivision of petroleum evolution into five stages. Results show trapping pressure increasing with temperature to a maximum of 107.77 MPa, equivalent vitrinite reflectance (EqVR) between 1.49% and 2.49%, and formation-water salinity that first rises then falls, remaining within the high-salinity continental-leaching brine field. Coupled with thermal-history modelling, shale-oil/gas evolution is divided into: (1) low-pressure slow burial, (2) over-pressured rapid burial, (3) sustained over-pressured deep burial, (4) high-pressure uplift adjustment, and (5) late uplift adjustment. The study demonstrates that over-pressure has been partially preserved, providing critical palaeo-fluid and pressure evidence for exploring transitional marine-terrestrial shale gas. Full article
Show Figures

Figure 1

23 pages, 5008 KB  
Article
Analysis of Fouling in Hollow Fiber Membrane Distillation Modules for Desalination Brine Reduction
by Hyeongrak Cho, Seoyeon Lee, Yongjun Choi, Sangho Lee and Seung-Hyun Kim
Membranes 2025, 15(12), 371; https://doi.org/10.3390/membranes15120371 - 2 Dec 2025
Viewed by 503
Abstract
Membrane distillation (MD) is a promising technology for reducing the volume of high-salinity brines generated from desalination plants, yet limited knowledge exists regarding its fouling behavior under long-term operation. In this study, fouling was investigated through the autopsy of a hollow fiber MD [...] Read more.
Membrane distillation (MD) is a promising technology for reducing the volume of high-salinity brines generated from desalination plants, yet limited knowledge exists regarding its fouling behavior under long-term operation. In this study, fouling was investigated through the autopsy of a hollow fiber MD module operated for 120 days in a direct contact membrane distillation (DCMD) configuration using real desalination brine. Despite stable salt rejection exceeding 99%, a gradual decline in flux and permeability was observed, indicating progressive fouling and partial wetting. Post-operation analyses, including SEM, EDS, ICP-OES, and FT-IR, revealed that the dominant foulants were inorganic scales, particularly calcium carbonate (CaCO3), with minor contributions from suspended particles (SiO2, Fe) and organic matter. Fouling was more severe in the inlet and inner regions of the module due to intensified temperature and concentration polarization, which promoted supersaturation and scale deposition. These combined effects led to a reduction in membrane hydrophobicity and liquid entry pressure, ultimately accelerating partial wetting and performance deterioration. The findings provide valuable insights into the spatial fouling behavior and mechanisms in MD systems, highlighting the importance of hydrodynamic optimization and fouling mitigation strategies for long-term brine concentration applications. Full article
(This article belongs to the Special Issue Membrane Distillation: Module Design and Application Performance)
Show Figures

Figure 1

20 pages, 2886 KB  
Article
Ultra-Efficient Removal of Crystal Violet Dye Using Industrial Brine and Horn-Derived Biochar: Synergistic Action of Salting-Out/Adsorption
by Asma Nouioua, Dhirar Ben Salem, Abdelkader Ouakouak, Saadia Guergazi, Abdelouaheb Abdelli, Daniel Goma, Jose Manuel Gatica and Hilario Vidal
Toxics 2025, 13(12), 1039; https://doi.org/10.3390/toxics13121039 - 30 Nov 2025
Viewed by 565
Abstract
This study introduces an innovative hybrid approach combining salting-out and adsorption for the highly efficient removal of crystal violet (CV) dye from aqueous solutions. The method leverages high-ionic-strength brine discharge from the Complex of El-Outaya (CEO, ENASEL, Biskra, Algeria) and micro-mesoporous biochar derived [...] Read more.
This study introduces an innovative hybrid approach combining salting-out and adsorption for the highly efficient removal of crystal violet (CV) dye from aqueous solutions. The method leverages high-ionic-strength brine discharge from the Complex of El-Outaya (CEO, ENASEL, Biskra, Algeria) and micro-mesoporous biochar derived from calves’ horn cores (BHC-800). Results demonstrate that both undiluted and diluted brine significantly enhance CV removal, while BHC-800, with a surface area of 258 m2 g−1, exhibits a maximum Langmuir adsorption capacity of 106.1 mg g−1 (at 20 °C ± 2). Thermodynamic analysis confirms a spontaneous (Δ < 0) and exothermic (Δ = −0.86 kJ mol−1) process, with increased interfacial disorder (Δ = 93.53 J mol−1 K−1). The synergistic effect of salting-out and adsorption achieved ~99.8% removal of CV at an initial concentration of 1000 mg L−1. Furthermore, BHC-800 exhibited excellent reusability, maintaining high adsorption efficiency over multiple cycles. Economic assessment revealed operational costs of 0.45–0.89 US$ m−3 for 60% brine discharge. Biochar production costs were 0.076–0.18 US$ kg−1, translating to 7.5–17.2 (10−4 US$) per gram of CV removed. This dual strategy not only offers an eco-friendly and cost-effective solution for dye-laden water but also promotes the valorization of saline effluents and animal byproducts, addressing critical environmental challenges in industrial wastewater treatment. Full article
Show Figures

Graphical abstract

23 pages, 3792 KB  
Article
Optimization of the Synthesis of Low Viscosity and High Shear Sulfonated Guar Gum for Enhancing Its Performance in Drilling Fluids
by Yifei Zhao, Yansong Pan, Le Xue, Yongfei Li, Weichao Du and Gang Chen
Gels 2025, 11(12), 939; https://doi.org/10.3390/gels11120939 - 22 Nov 2025
Viewed by 509
Abstract
Guar gum (GG) is a classic polysaccharide gel former in drilling fluids, but its native network is hindered by high water-insoluble residue, modest yield-point (YP) build-up and poor tolerance to temperature ≥ 120 °C and salinity ≥ 12 wt% NaCl. Here we transformed [...] Read more.
Guar gum (GG) is a classic polysaccharide gel former in drilling fluids, but its native network is hindered by high water-insoluble residue, modest yield-point (YP) build-up and poor tolerance to temperature ≥ 120 °C and salinity ≥ 12 wt% NaCl. Here we transformed GG into a sulfonated guar gum (SGG) hydrogel via alkaline etherification with sodium 3-chloro-2-hydroxy-propane sulfonate. FTIR, EA and TGA corroborate the grafting of –SO3 groups (DS = 0.18), while rheometry shows that a 0.3 wt% SGG aqueous gel exhibits 34% higher YP/PV ratio and stronger shear-thinning than native GG, indicating a denser yet still reversible three-dimensional network. In 4 wt% Ca-bentonite mud the SGG gel film reduces API fluid loss by 12% and maintains YP/PV = 0.33 after hot-rolling at 120 °C, a retention 4.7-fold that of GG; likewise, in 12 wt% NaCl brine the gel still affords YP/PV = 0.44, evidencing electrostatically reinforced hydration layers that resist ionic compression. Linear-swell tests reveal shale inhibition improved by 14%. The introduced –SO3 functions strengthen inter-chain repulsion and water binding, yielding a thermally robust, salt-tolerant polysaccharide gel network. As a green, high-performance gel additive, SGG offers a promising route for next-generation water-based drilling fluids subjected to high temperature and high salinity. Full article
(This article belongs to the Topic Polymer Gels for Oil Drilling and Enhanced Recovery)
Show Figures

Graphical abstract

18 pages, 3550 KB  
Article
Experimental Study on the Variation Pattern of Saline Ice Microstructure with Temperature
by Haokun Li, Miao Yu, Peng Lu and Qingkai Wang
Water 2025, 17(23), 3343; https://doi.org/10.3390/w17233343 - 21 Nov 2025
Viewed by 518
Abstract
By employing high-resolution imaging and image processing techniques, a quantitative analysis was conducted on the changes in volume fraction and size of microstructures, such as brine inclusions and air bubbles, within natural saline ice at different temperatures. This study revealed the distinct stratified [...] Read more.
By employing high-resolution imaging and image processing techniques, a quantitative analysis was conducted on the changes in volume fraction and size of microstructures, such as brine inclusions and air bubbles, within natural saline ice at different temperatures. This study revealed the distinct stratified distribution characteristics of ice microstructure parameters along the depth direction and elucidated the differential response mechanisms of various ice layers to temperature changes. The results indicate that the sizes of brine inclusions and air bubbles decrease progressively from the surface layer to the bottom layer, with the size distribution of microstructures being most concentrated in the bottom layer. Changes in the size of microstructures in the surface ice layer are primarily dominated by solar radiation, showing strong correlations (brine inclusions: r = 0.96, p < 0.01; air bubbles: r = 0.95, p < 0.02). In contrast, the size changes of microstructures in the middle ice layer show a more significant response to ice temperature, with strong linear relationships between the sizes of brine inclusions/air bubbles and ice temperature (brine inclusions: r = 0.70, p < 0.04; air bubbles: r = 0.69, p < 0.05). The temperature of the bottom ice layer, influenced by the stable lake water temperature, remains relatively constant, and no significant correlation was observed between its microstructure size changes and ice temperature. Derived from field experiments, this study provides quantified, layer-specific mechanisms of how saline ice microstructure responds to temperature. These mechanisms offer crucial observational constraints for refining the parameterizations of ice thermodynamics and albedo feedback in cryosphere and climate system models. Full article
Show Figures

Figure 1

23 pages, 2325 KB  
Article
Underground Hydrogen Storage: Steady-State Measurement of Hydrogen–Brine Relative Permeability with Gas Slip Correction
by Emmanuel Appiah Kubi, Hamid Rahnema, Abdul-Muaizz Koray and Babak Shabani
Gases 2025, 5(4), 26; https://doi.org/10.3390/gases5040026 - 20 Nov 2025
Viewed by 731
Abstract
Large-scale underground hydrogen storage in saline aquifers requires an understanding of hydrogen–brine two-phase flow properties, particularly relative permeability, which influences reservoir injectivity and hydrogen recovery. However, such hydrogen–brine relative permeability data remain scarce, hindering the predictive modeling of hydrogen injection and withdrawal. In [...] Read more.
Large-scale underground hydrogen storage in saline aquifers requires an understanding of hydrogen–brine two-phase flow properties, particularly relative permeability, which influences reservoir injectivity and hydrogen recovery. However, such hydrogen–brine relative permeability data remain scarce, hindering the predictive modeling of hydrogen injection and withdrawal. In this study, steady-state hydrogen–brine co-injection coreflood experiments were conducted on an Austin Chalk core sample to measure the relative permeabilities. Klinkenberg slip corrections were applied to the gas flow measurements to determine the intrinsic (slip-free) hydrogen permeability. The core’s brine permeability was 13.2 mD, and the Klinkenberg-corrected hydrogen gas permeability was 13.8 mD (approximately a 4.5% difference). Both raw and slip-corrected hydrogen relative permeability curves were obtained, showing that the gas-phase conductivity increased as the water saturation decreased. Gas slippage caused higher apparent gas permeability in the raw data, and slip correction significantly reduced hydrogen relative permeability at lower hydrogen saturations. The core’s irreducible water saturation was 39%, at which point the hydrogen relative permeability reached 0.8 (dropping to 0.69 after slip correction), which is indicative of strongly water-wet behavior. These results demonstrate a measurable impact of gas slippage on hydrogen flow behavior and highlight the importance of accounting for slip effects when evaluating hydrogen mobility in brine-saturated formations. Full article
Show Figures

Figure 1

27 pages, 20251 KB  
Article
Investigation of the Sealing and Mechanical Stability of Cap Rock for Offshore CO2 Sequestration in Saline Aquifers
by Jinsen Li, Jianye Chen, Jing Peng, Yueqiang Ma and Quan Gan
Energies 2025, 18(22), 6033; https://doi.org/10.3390/en18226033 - 19 Nov 2025
Viewed by 401
Abstract
Offshore saline aquifer CO2 sequestration relies heavily on the sealing integrity and mechanical stability of mudstone caprocks, yet their responses to supercritical CO2 (scCO2) remain inadequately constrained for marine geological settings. Here, we integrate permeability measurements, scCO2 breakthrough [...] Read more.
Offshore saline aquifer CO2 sequestration relies heavily on the sealing integrity and mechanical stability of mudstone caprocks, yet their responses to supercritical CO2 (scCO2) remain inadequately constrained for marine geological settings. Here, we integrate permeability measurements, scCO2 breakthrough pressure tests, and uniaxial mechanical experiments on natural and reconstituted core samples from the Pearl River Mouth Basin to address this gap. Our results reveal extreme vertical permeability heterogeneity (spanning 10−6 to 10−1 mD) within Yuehai and Hanjiang Formation caprocks. Critically, permeability and scCO2 breakthrough pressure are decoupled: breakthrough pressure is controlled by maximum pore-throat radius, while breakthrough time depends on post-breakthrough pore network topology. ScCO2-brine-rock interactions induce pronounced geomechanical weakening, with uniaxial compressive strength decreasing by up to 71.7% and the elastic modulus reducing, while a substantial increase in Poisson’s ratio signifies a fundamental transition from brittle to ductile behavior. We have developed a comprehensive framework to delineate potential CO2 migration pathways. Hanjiang Formation Section 1 (represented by sample A3) exhibits exceptional sealing properties, characterized by ultra-low permeability (2.41 × 10−6 mD), high breakthrough pressure (>16 MPa), and extended breakthrough time (>30 min). These attributes suggest that CO2 injection into the target saline aquifer at depths between 1470 and 1500 m, situated beneath this interval, can be deemed secure with a high potential for effective long-term containment. These findings provide essential insights for optimizing offshore CO2 sequestration site selection and injection pressure management to ensure long-term containment security. Full article
(This article belongs to the Section B3: Carbon Emission and Utilization)
Show Figures

Figure 1

26 pages, 6716 KB  
Article
Feasibility and Operability of CO2 Circulation in a CO2 Storage-Enabled Geothermal System with Uncertainty Insights from Aquistore
by Alireza Rangriz Shokri and Rick Chalaturnyk
Energies 2025, 18(22), 6031; https://doi.org/10.3390/en18226031 - 18 Nov 2025
Viewed by 338
Abstract
CO2 circulation between subsurface wells is a promising approach for geothermal energy recovery from deep saline formations originally developed for Carbon Capture and Storage (CCS). This study evaluates the feasibility, operability, and performance of sustained CO2 flow between an injector and [...] Read more.
CO2 circulation between subsurface wells is a promising approach for geothermal energy recovery from deep saline formations originally developed for Carbon Capture and Storage (CCS). This study evaluates the feasibility, operability, and performance of sustained CO2 flow between an injector and a producer at the Canadian Aquistore site, a location with active CO2 injection and an established geological model. A high-resolution sector model, derived from a history-matched parent simulation, was used to conduct a comprehensive uncertainty analysis targeting key operational and subsurface variables, including injection and production rates, downhole pressures, completion configurations and near-wellbore effects. All simulation scenarios retained identical initial and boundary conditions to isolate the impact of each variable on system behavior. Performance metrics, including flow rates, pressure gradients, brine inflow, and CO2 retention, were analyzed to evaluate CO2 circulation efficiency. Simulation results reveal several critical findings. Elevated injection rates expanded the CO2 plume, while bottomhole pressure at the producer controlled brine ingress from the regional aquifer. Once the CO2 plume was fully developed, producer parameters emerged as dominant control factors. Completion designs at both wells proved vital in maximizing CO2 recovery and suppressing liquid loading. Permeability variations showed limited influence, likely due to sand-dominated continuity and established plume connectivity at Aquistore. Visualizations of water saturation and CO2 plume geometry underscore the need for constraint optimization to reduce fluid mixing and stabilize CO2-rich zones. The study suggests that CO2 trapped during circulation contributes meaningfully to permanent storage, offering dual environmental and energy benefits. The results emphasize the importance of not underestimating subsurface complexity when CO2 circulation is expected to occur under realistic operating conditions. This understanding paves the way to guide future pilot tests, operational planning, and risk mitigation strategies in CCS-enabled geothermal systems. Full article
Show Figures

Figure 1

34 pages, 5691 KB  
Article
Impact of Operational Parameters on the CO2 Absorption Rate and Uptake in MgO Aqueous Carbonation—A Comparison with Ca(OH)2
by Quentin Wehrung, Davide Bernasconi, Enrico Destefanis, Caterina Caviglia, Alice Colli, Fabien Michel, Alessandro Pavese and Linda Pastero
Minerals 2025, 15(11), 1205; https://doi.org/10.3390/min15111205 - 15 Nov 2025
Viewed by 681
Abstract
The CO2 absorption rate and total uptake by MgO aqueous suspensions were investigated in batch experiments by systematically varying MgO concentrations (0.5–5 wt.%), CO2 flow rates (0.5–2 L/min), temperatures (278–363 K), NaCl salinities (0–7 wt.%), Na2SO4 and K [...] Read more.
The CO2 absorption rate and total uptake by MgO aqueous suspensions were investigated in batch experiments by systematically varying MgO concentrations (0.5–5 wt.%), CO2 flow rates (0.5–2 L/min), temperatures (278–363 K), NaCl salinities (0–7 wt.%), Na2SO4 and K2SO4 concentrations (0–10.5 wt.%), and gas–liquid mixing systems (pipe outlet and porous stone sparger). Results show that temperature strongly controls the carbonation process: increasing temperature above 303 K consistently reduced both the CO2 absorption rate ηt and the total CO2 uptake VCO2 due to the destabilization of metastable Mg(HCO3)2 solutions and accelerated precipitation of less soluble hydrated magnesium carbonates. Under optimal low-temperature conditions (278–283 K, 1–1.5 wt.% MgO, sparger mixing, pure system), the average capture efficiency reached ≈ 35%, with maximum peaks over 70% and total CO2 uptakes of ≈ 12–17 L. Adding NaCl at typical seawater levels (3.5–7 wt.%) slightly increased CO2 uptake at temperatures above 323 K. Sulfate ions (Na2SO4 and K2SO4) were found to enhance the absorption rate at low concentrations (<2 wt.%) but reduce it at higher levels, with no significant impact on the total CO2 uptake observed in this study. Using a CO2 sparger significantly improved gas–liquid contact, achieving average CO2 capture efficiencies ηmaxt above 70% at low temperatures, compared to <20% with simple pipe bubbling. A direct comparison with Ca(OH)2 aqueous carbonation confirmed that, despite its lower solubility and slower kinetics, MgO can outperform Ca-based systems under specific conditions. These results provide practical experimental benchmarks and process guidance for designing Mg-based aqueous carbonation systems, including applications that use brines, industrial wastewater or seawater. Full article
(This article belongs to the Special Issue CO2 Mineralization and Utilization)
Show Figures

Graphical abstract

33 pages, 6786 KB  
Article
Spatial Distribution and Enrichment Mechanisms of Major Trace Elements in Budonquan Salt Lake from Hoh Xil Basin, Northern Tibetan Plateau
by Guang Han, Yan Hu, Qiangqiang Cui, Yuzhen Yang, Chao Lu and Jianjian Zhang
Water 2025, 17(22), 3210; https://doi.org/10.3390/w17223210 - 10 Nov 2025
Viewed by 497
Abstract
Salt lakes on the Tibetan Plateau (TP) are vital repositories of China’s strategic mineral resources, including boron and lithium. The Budongquan Salt Lake (BDQSL) in eastern Hoh Xil Basin (HXB) represents a hypersaline system with combined geothermal recharge and intense evaporation, yet its [...] Read more.
Salt lakes on the Tibetan Plateau (TP) are vital repositories of China’s strategic mineral resources, including boron and lithium. The Budongquan Salt Lake (BDQSL) in eastern Hoh Xil Basin (HXB) represents a hypersaline system with combined geothermal recharge and intense evaporation, yet its hydrochemical characteristics and B-Li enrichment mechanisms remain poorly understood. Through systematic hydrochemical and isotopic analysis (δD, δ18O, d-excess) of 69 surface samples, 14 depth-stratified profiles, and 131 regional water samples, we reveal that: (1) BDQSL exhibits extremely saline Na-Cl brines (TDS: 192,700–220,700 mg/L) significantly enriched in B and Li (45–54 mg/L), with overall spatial homogeneity and complete vertical mixing; (2) B and Li demonstrate strong correlation (R2 = 0.95), controlled by coupled hydrothermal input, water–rock interaction, and evaporative concentration, with hydrothermal delivery as the predominant source; (3) depleted isotopic signatures (δ18O = −1.4‰, d-excess = −5‰) confirm intense evaporation, while upstream cascade connectivity and climate warming drive lake expansion and brine dilution, indicating transition toward lower salinity; (4) a distinctive hydrothermal–evaporative composite mineralization model differentiates BDQSL from regional mono-evaporative systems. This study elucidates B-Li enrichment mechanisms in hydrothermally active plateau salt lakes, providing geochemical constraints for resource assessment and predictive frameworks for evaluating mineral evolution under climate change. Full article
Show Figures

Figure 1

42 pages, 3363 KB  
Review
Large-Scale Hydrogen Storage in Deep Saline Aquifers: Multiphase Flow, Geochemical–Microbial Interactions, and Economic Feasibility
by Abdullahi M. Baru, Stella I. Eyitayo, Chinedu J. Okere, Abdurrahman Baru and Marshall C. Watson
Materials 2025, 18(22), 5097; https://doi.org/10.3390/ma18225097 - 10 Nov 2025
Viewed by 1089
Abstract
The development of large-scale, flexible, and safe hydrogen storage is critical for enabling a low-carbon energy system. Deep saline aquifers (DSAs) offer substantial theoretical capacity and broad geographic distribution, making them attractive options for underground hydrogen storage. However, hydrogen storage in DSAs presents [...] Read more.
The development of large-scale, flexible, and safe hydrogen storage is critical for enabling a low-carbon energy system. Deep saline aquifers (DSAs) offer substantial theoretical capacity and broad geographic distribution, making them attractive options for underground hydrogen storage. However, hydrogen storage in DSAs presents complex technical, geochemical, microbial, geomechanical, and economic challenges that must be addressed to ensure efficiency, safety, and recoverability. This study synthesizes current knowledge on hydrogen behavior in DSAs, focusing on multiphase flow dynamics, capillary trapping, fingering phenomena, geochemical reactions, microbial consumption, cushion gas requirements, and operational constraints. Advanced numerical simulations and experimental observations highlight the role of reservoir heterogeneity, relative permeability hysteresis, buoyancy-driven migration, and redox-driven hydrogen loss in shaping storage performance. Economic analysis emphasizes the significant influence of cushion gas volumes and hydrogen recovery efficiency on the levelized cost of storage, while pilot studies reveal strategies for mitigating operational and geochemical risks. The findings underscore the importance of integrated, coupled-process modeling and comprehensive site characterization to optimize hydrogen storage design and operation. This work provides a roadmap for developing scalable, safe, and economically viable hydrogen storage in DSAs, bridging the gap between laboratory research, pilot demonstration, and commercial deployment. Full article
Show Figures

Graphical abstract

22 pages, 827 KB  
Review
Integrating Circular Economy Principles in Petroleum Produced Water Management: Toward Sustainable Resource Recovery and Waste Minimization
by Abdelaziz Khlaifat, Sherif Fakher, Fady Hany Ezzat, Mohammad Alalaween and John Galiotos
Processes 2025, 13(11), 3604; https://doi.org/10.3390/pr13113604 - 7 Nov 2025
Viewed by 1602
Abstract
Oil production generates approximately 250 million barrels of produced water (PW) daily, nearly three times the volume of oil, with salinity levels reaching up to 300,000 ppm. Improper management of this wastewater causes significant environmental degradation, including soil salinization and aquatic toxicity. To [...] Read more.
Oil production generates approximately 250 million barrels of produced water (PW) daily, nearly three times the volume of oil, with salinity levels reaching up to 300,000 ppm. Improper management of this wastewater causes significant environmental degradation, including soil salinization and aquatic toxicity. To address these impacts, this study applies circular economy (CE) principles to PW management through flash vaporization and resource recovery. Implementing this approach enables 85–90% water recovery and reduces salinity to below 1000 ppm, allowing reuse for irrigation. Simultaneously, residual brine processed via evaporation ponds yields 15–25% potash (KCl) and 30–40% halite (NaCl), thereby transforming waste into valuable products. As a result, the integrated CE process can reduce wastewater disposal by 80%, cut greenhouse gas emissions by 25–30%, and lower treatment costs by 20–35%, while generating additional revenue of $150–300 per ton of recovered potash. These outcomes demonstrate that adopting CE strategies in PW management not only mitigates environmental degradation but also strengthens economic resilience and resource efficiency. The framework offers a scalable pathway for achieving the UN Sustainable Development Goals (SDG 6 and 12) and advancing sustainability within the oil and gas industry. Full article
Show Figures

Figure 1

14 pages, 2968 KB  
Article
Mineral-Rich Brines from Portuguese Coastal Lagoons: Insights into Their Use in Thalassotherapy and Skin Care
by Lara Almeida, Fernando Rocha and Carla Candeias
Water 2025, 17(20), 3021; https://doi.org/10.3390/w17203021 - 21 Oct 2025
Viewed by 600
Abstract
This study characterized saline waters from traditional and semi-industrial saltpans located in the Ria Formosa and Ria de Aveiro Portuguese coastal lagoons, aiming to evaluate their potential for thalassotherapy and dermatological applications. Five saline water samples were collected and analyzed for physicochemical parameters [...] Read more.
This study characterized saline waters from traditional and semi-industrial saltpans located in the Ria Formosa and Ria de Aveiro Portuguese coastal lagoons, aiming to evaluate their potential for thalassotherapy and dermatological applications. Five saline water samples were collected and analyzed for physicochemical parameters (pH, electrical conductivity, dissolved oxygen, and total dissolved and suspended solids) and chemical composition (major, minor, and trace elements), complemented by SEM-EDS analyses of the suspended solids. All samples exhibited salinities above 70 g/kg, classifying them as mineral-rich brines. Sodium was the dominant element, followed by Mg, K, and Ca, with concentrations significantly higher than those of seawater. Apparent geochemical differences were observed between the two lagoons, with Ria de Aveiro water enriched in Ca, while Ria Formosa showed higher Mg and K contents. Suspended solids were composed mainly of halite, gypsum, K-Mg salts, and biogenic aggregates, reflecting the interaction between evaporitic and microbial processes. These findings highlighted the high therapeutic potential of Portuguese saline waters for skin-related applications, supporting the safe use of natural saline resources in evidence-based wellness and dermatological practices. Full article
(This article belongs to the Special Issue Groundwater for Health and Well-Being)
Show Figures

Figure 1

Back to TopTop