Sign in to use this feature.

Years

Between: -

Subjects

remove_circle_outline
remove_circle_outline
remove_circle_outline
remove_circle_outline
remove_circle_outline
remove_circle_outline
remove_circle_outline
remove_circle_outline
remove_circle_outline

Journals

remove_circle_outline
remove_circle_outline
remove_circle_outline
remove_circle_outline
remove_circle_outline
remove_circle_outline

Article Types

Countries / Regions

remove_circle_outline
remove_circle_outline
remove_circle_outline
remove_circle_outline

Search Results (500)

Search Parameters:
Keywords = bioreactor design

Order results
Result details
Results per page
Select all
Export citation of selected articles as:
18 pages, 2533 KB  
Article
Oxytetracycline Removal in a PLA-Immobilized Laccase Bioreactor: Experimental Evaluation and Diffusion–Convection–Reaction Modeling
by Paula Garín, Humberto Brito, Isabel Cáceres and Carola Bahamondes
Catalysts 2026, 16(5), 398; https://doi.org/10.3390/catal16050398 (registering DOI) - 30 Apr 2026
Abstract
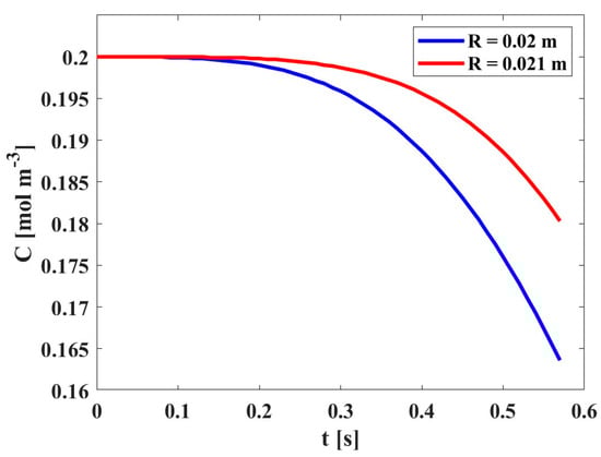
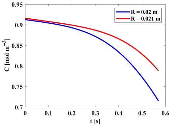
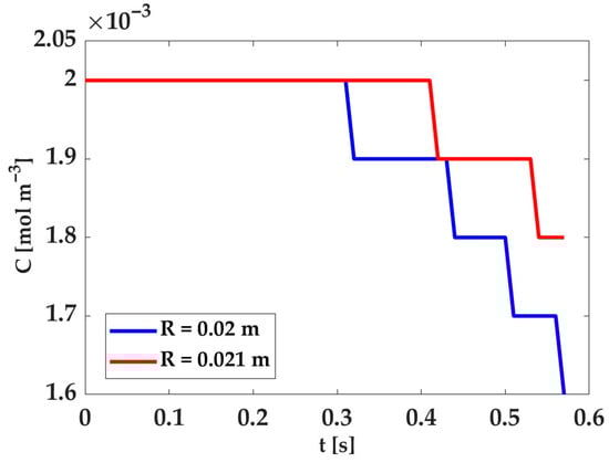
This work presents a novel integrative approach to the design and computational modeling of a bioreactor system for the enzymatic removal of antibiotics from aquatic environments. The study focuses on a three-dimensional mathematical model developed to resolve the diffusion–convection–reaction dynamics within the system. [...] Read more.
This work presents a novel integrative approach to the design and computational modeling of a bioreactor system for the enzymatic removal of antibiotics from aquatic environments. The study focuses on a three-dimensional mathematical model developed to resolve the diffusion–convection–reaction dynamics within the system. Programmed in MATLAB R2025a, the model integrates theoretical equations to determine the diffusion and convection coefficients, while the reaction rate constant was precisely determined through the experimental degradation data of oxytetracycline. To support this modeling, laccase was covalently immobilized on a chemically modified polylactic acid (PLA) matrix, achieving a 95.6% immobilization yield. Simulation results revealed that the system is primarily governed by the convection constant and that degradation efficiency is significantly optimized by reducing the reactor’s internal diameter. These findings demonstrate that the coupling of theoretical transport phenomena with experimentally derived kinetics provides a high-resolution tool for predicting bioreactor performance. By combining biocatalysis, materials science, and computational modeling, this research offers a scalable and environmentally friendly solution with direct implications for the development of advanced water treatment technologies. Full article
(This article belongs to the Special Issue Enzyme Design, Engineering and Applications in Efficient Biocatalysis)
Show Figures

Figure 1

16 pages, 2381 KB  
Article
Sustainable Upgrading of a Cold-Region Wastewater Treatment Plant for Improved Effluent Quality in the Yellow River Basin: Design and Operational Evaluation
by Yong Wang, Xin Jin, Weijie Zhang, Zhixiao Zhao and Yidan Guo
Sustainability 2026, 18(9), 4360; https://doi.org/10.3390/su18094360 - 28 Apr 2026
Abstract
Improving the effluent quality of municipal wastewater treatment plants (WWTPs) is essential for sustainable water management and water quality protection in the Yellow River Basin. Many existing WWTPs in northern China were constructed under earlier discharge requirements and now face dual challenges of [...] Read more.
Improving the effluent quality of municipal wastewater treatment plants (WWTPs) is essential for sustainable water management and water quality protection in the Yellow River Basin. Many existing WWTPs in northern China were constructed under earlier discharge requirements and now face dual challenges of stricter effluent standards and poor low-temperature performance in winter. In this study, a municipal WWTP with a design capacity of 5 × 104 m3/d in northern China was upgraded to improve winter treatment performance and support stable compliance with the discharge requirements of the Yellow River Basin. The original anaerobic + oxidation ditch process suffered from unstable effluent quality, excessive sludge loading, and insufficient pollutant removal under low-temperature conditions. A land-saving retrofit strategy was therefore proposed, involving oxidation ditch wall-height raising to extend the hydraulic retention time (HRT) and membrane bioreactor (MBR) integration to increase the mixed liquor suspended solids (MLSS) concentration. After the retrofit, the total HRT increased to 19.82 h, and the average MLSS concentration reached 7050 mg/L. The relative abundances of key nitrogen-removing bacteria, including Nitrospiraceae, Nitrosomonadaceae, and Rhodocyclaceae, increased markedly. Meanwhile, denitrification sludge loading and BOD5 sludge loading decreased to 0.030 and 0.033 kg/(kg·d), respectively. Under low-temperature conditions, the theoretical removal capacities of total nitrogen (TN) and BOD5 reached 44.32 and 286.19 mg/L, respectively, enabling stable effluent compliance. The results show that this retrofit strategy can improve WWTP effluent quality while avoiding large-scale land expansion, providing a practical and sustainable solution for upgrading cold-region WWTPs along the Yellow River Basin. Full article
15 pages, 644 KB  
Article
The Role of γ-Polyglutamic Acid, Superphosphate, and Smectite-Silica Clay Additives in Stabilizing Organic Matter, Reducing the Bioavailability of Heavy Metals, and Limiting the Ecotoxicity of Composts Made from Poultry Litter and Biochar
by Krzysztof Gondek, Agnieszka Baran, Michał Kopeć, Piotr Micek and Iwona Spałek
Materials 2026, 19(9), 1788; https://doi.org/10.3390/ma19091788 - 28 Apr 2026
Abstract
A mixture of poultry litter (PL) and biochar (BC) was composted over 120 days in a bioreactor. To assess the impact on the stability of organic matter, the bioavailability of heavy metals, and ecotoxicity, the PL+BC biomass was supplemented with 0.5% (w [...] Read more.
A mixture of poultry litter (PL) and biochar (BC) was composted over 120 days in a bioreactor. To assess the impact on the stability of organic matter, the bioavailability of heavy metals, and ecotoxicity, the PL+BC biomass was supplemented with 0.5% (w/w) γ-polyglutamic acid (PGA), superphosphate (SPP) and smectite-silica clay (SSC) relative to the dry matter. Incorporating PGA, SPP, and SSC additives into PL+BC increased total carbon content by an average of 6%, compared to PL+BC without additives. The SSC additive proved to be more effective in increasing the humic acid carbon content, raising Cha by an average of 23% relative to PGA and SPP treatments. The incorporation of biochar into PL led to a substantial increase in nonhydrolizing carbon content, while the enrichment of composts with PGA, SPP, or SSC resulted in an escalation in this form of carbon by an average of over 7% compared to PL+BC. The lowest amounts of metals extracted with water and the lowest RAC values were obtained for PL+BC+SPP compost. The additives used stabilized the composts more quickly and reduced their toxicity. The classification of PL compost was designated as class III, whereas composts that incorporated additives were classified as class II toxicity. The study findings substantiated the necessity to incorporate additives during the biological processing of poultry litter. Full article
(This article belongs to the Special Issue Applications of Materials in Environmental Improvement)
Show Figures

Figure 1

19 pages, 3171 KB  
Article
Schizophyllan Optimization and Production in Submerged Cultures of Different Schizophyllum commune Isolates Collected in Thailand
by Soravit Chaimongkol, Wittayothin Yingkulchao, Nattawut Rungjindamai, Nguyen Tai Toan, Borworn Werapan, Kwanruthai Malairuang, Phongsawat Khamsuntorn, Sayanh Somrithipol, Somjit Komwijit, Sujinda Sommai, Umpawa Pinruan and Wai Prathumpai
J. Fungi 2026, 12(5), 321; https://doi.org/10.3390/jof12050321 - 28 Apr 2026
Abstract
Twenty strains of Schizophyllum commune from the BIOTEC culture collection were selected for this study. S. commune is characterized by white to gray fan-shaped caps with lobed margins and distinctive split gills. Phylogenetic analysis of combined LSU rDNA and ITS rDNA sequences data [...] Read more.
Twenty strains of Schizophyllum commune from the BIOTEC culture collection were selected for this study. S. commune is characterized by white to gray fan-shaped caps with lobed margins and distinctive split gills. Phylogenetic analysis of combined LSU rDNA and ITS rDNA sequences data using maximum parsimony placed the fungi in a strongly supported clade with S. commune. All strains were primarily screened for exopolysaccharide (EPS) and biomass production using potato dextrose broth (PDB) and peptone yeast glucose medium (PYGM) in 250 mL flasks shaken at 200 rpm for 7 days. The results revealed three strains with high EPS production, each exceeding 2.3 g/L, namely MMCR00487, MMCR00474 and MMCR00256. These strains were selected for media optimization using a Plackett–Burman design. Among them, MMCR00256 exhibited the highest EPS yield of 8.34 ± 1.47 g/L, followed by MMCR00487 and MMCR00474. Therefore, the strain MMCR00256 was further optimized by central composite design. The results revealed that the optimized medium for MMCR00256 increased the production of EPS to 10.39 ± 1.69 g/L, with a biomass yield of 26.28 ± 1.63 g/L (395 mg/g). The 5 L bioreactor optimization tested two inoculum types (mycelial and pellet) and two media (CCD and estimated) using strain MMCR00256. The mycelial inoculum grown in the estimated medium produced the highest EPS yield of 8.37 ± 0.26 g/L after 3 days, with 13.56 ± 2.94 g/L biomass. In conclusion, this study demonstrates that S. commune MMCR00256, when cultivated using the estimated medium and mycelial inoculum, can achieve enhanced exopolysaccharide production with improved efficiency, highlighting its significant potential for the development of efficient and scalable schizophyllan production processes at the industrial scale. Furthermore, this study provides essential insights into the cultivation and optimization of schizophyllan in S. commune. Full article
(This article belongs to the Special Issue Research Progress on Edible Fungi)
Show Figures

Figure 1

20 pages, 3519 KB  
Article
Valorizing Red Seaweed Spent Biomass into Reducing Sugars for β-Carotene Production by Rhodotorula paludigena
by Chatchol Kongsinkaew, Chutipol Tangsattayatithan, Supenya Chittapun, Parivat Phiphatbunyabhorn, Tunyaboon Laemthong, Mariena Ketudat-Cairns, Soisuda Pornpukdeewattana, Awanwee Petchkongkaew and Theppanya Charoenrat
Fermentation 2026, 12(5), 210; https://doi.org/10.3390/fermentation12050210 - 24 Apr 2026
Viewed by 340
Abstract
Seaweed bioactive extraction generates de-extracted residual solids that remain carbohydrate-rich but are often underutilized. This study developed an integrated valorization route for Gracilaria fisheri spent biomass to produce fermentable sugars for β-carotene production by Rhodotorula paludigena CM33. Reducing sugar production was optimized using [...] Read more.
Seaweed bioactive extraction generates de-extracted residual solids that remain carbohydrate-rich but are often underutilized. This study developed an integrated valorization route for Gracilaria fisheri spent biomass to produce fermentable sugars for β-carotene production by Rhodotorula paludigena CM33. Reducing sugar production was optimized using response surface methodology (Box–Behnken design) by varying reaction time, sulfuric acid concentration, and biomass loading at 90 °C. The predicted optimum (47.39 min, 2.50% (w/v) H2SO4, and 7.13% (w/v) biomass) yielded 22.41 g/L reducing sugars and was validated experimentally at 22.22 ± 0.19 g/L, indicating that the model reliably predicted reducing sugar production. The optimized condition was scaled up in a 22 L bioreactor with sequential acid hydrolysis followed by enzyme-assisted hydrolysis, increasing reducing sugars from ~30 to ~40 g/L. FTIR and SEM analyses indicated progressive modification of the carbohydrate matrix across processing stages. Batch cultivation of R. paludigena on the hydrolysate showed that ammonium sulfate supplementation significantly increased biomass, whereas β-carotene titers were not significantly different. Repeated-batch operation on non-supplemented hydrolysate sustained production over four cycles with β-carotene titers of 13.75–17.27 mg/L, demonstrating the operational feasibility of the hydrolysate-based system. Overall, this work demonstrates a practical seaweed biorefinery approach to upgrade G. fisheri spent biomass into sugars and carotenoid-rich yeast biomass. Full article
Show Figures

Figure 1

26 pages, 1712 KB  
Review
Solid-State Fermentation Towards Sustainability and Circularity in the Bioprocessing of Agri-Food Industrial Wastes
by Carlos N. Cano-González, Eliseo Cárdenas-Hernández, María de la Luz Herrera-Estrada, Miguel Angel Aguilar Gonzalez, José L. Martínez-Hernández, José Sandoval-Cortes and Cristóbal N. Aguilar
Foods 2026, 15(9), 1482; https://doi.org/10.3390/foods15091482 - 24 Apr 2026
Viewed by 409
Abstract
Solid-state fermentation (SSF) is a pivotal biotechnology in the circular economy, leveraging agri-food industrial waste and byproducts to produce high-value bioproducts while minimizing organic waste. By aligning with sustainability goals and zero-waste principles, SSF enables the production of enzymes, bioactive compounds, and secondary [...] Read more.
Solid-state fermentation (SSF) is a pivotal biotechnology in the circular economy, leveraging agri-food industrial waste and byproducts to produce high-value bioproducts while minimizing organic waste. By aligning with sustainability goals and zero-waste principles, SSF enables the production of enzymes, bioactive compounds, and secondary metabolites for food, agriculture, and biomedical applications. Recent advancements have optimized critical parameters, including substrate selection, culture conditions, and scalable bioreactor designs, enhancing process efficiency and reducing environmental impact. Despite progress, challenges persist in maximizing production yields and fostering industrial adoption. Addressing these hurdles, particularly through integrated environmental and techno-economic analyses, is essential to solidify SSF’s role as a sustainable and competitive bioprocessing method. This review analyzes the latest advances in SSF, including the valorization of food and agro-industrial wastes, innovative bioreactor designs, microbial engineering for more efficient strains, bioenergy production and its integration into biorefineries, and contributions to the circular bioeconomy. Thus, SSF emerges as a key technology in sustainable industrial biotechnology, offering eco-friendly alternatives and promoting a more efficient production model. Full article
(This article belongs to the Section Food Biotechnology)
Show Figures

Graphical abstract

21 pages, 13819 KB  
Article
Model-Free Adaptive Temperature Control for a Dual-Channel Water Circulation Bioreactor
by Zhe Hu, Fei Liu and Zhiguo Wang
Processes 2026, 14(8), 1244; https://doi.org/10.3390/pr14081244 - 14 Apr 2026
Viewed by 404
Abstract
The single-heat-exchanger dual-channel water circulation structure is a critical process configuration in laboratory-scale bioreactors. However, frequent switching between heating and cooling modes and the difficulty of establishing an accurate mechanistic model make precise temperature regulation challenging. To address this issue, a model-free adaptive [...] Read more.
The single-heat-exchanger dual-channel water circulation structure is a critical process configuration in laboratory-scale bioreactors. However, frequent switching between heating and cooling modes and the difficulty of establishing an accurate mechanistic model make precise temperature regulation challenging. To address this issue, a model-free adaptive temperature control scheme based on a second-order universal model is proposed, together with a real-time implementation algorithm. Separate controllers are designed for the heating and cooling processes to ensure accurate regulation under different operating conditions. Pulse-width modulation is employed to achieve equivalent continuous actuation of switching-type actuators, and a temperature dead-zone mechanism is introduced to suppress excessive actuator switching. For practical implementation, controller parameters are initialized offline using particle swarm optimization based on experimental data. Experimental results demonstrate that the proposed method satisfies the ±0.1 °C process requirement while achieving small steady-state fluctuations, low overshoot, and short settling time, thereby verifying its effectiveness for bioreactor temperature regulation under mode-switching conditions. Full article
Show Figures

Figure 1

20 pages, 1534 KB  
Article
Modelling Oxygen Transport, Microcarrier Aggregation, and Hydrodynamic Constraints in Stirred Bioreactors for Scalable Developmental Engineering
by Ben Logan and Tao Sun
Processes 2026, 14(8), 1219; https://doi.org/10.3390/pr14081219 - 10 Apr 2026
Viewed by 327
Abstract
Developmental engineering (DE) is a bottom-up strategy for generating functional tissues from modular tissues (MTs), offering potential advantages over conventional top-down approaches. However, scalable MT production remains constrained by limited understanding of scaffold aggregation, oxygen transport, and hydrodynamic effects in bioreactors. This study [...] Read more.
Developmental engineering (DE) is a bottom-up strategy for generating functional tissues from modular tissues (MTs), offering potential advantages over conventional top-down approaches. However, scalable MT production remains constrained by limited understanding of scaffold aggregation, oxygen transport, and hydrodynamic effects in bioreactors. This study integrates theoretical simulations with empirical correlations to analyze these factors and provide a systematic basis for MT production. Microcarrier aggregates were modelled to evaluate minimum oxygen concentration (Cmin). Results indicate that larger microcarrier diameters (dmc) are associated with increased Cmin due to longer diffusion distances. Aggregate geometry and packing configuration, including hexagonal close packing and the “kissing number,” influenced oxygen distribution and may explain observed Cmin plateaus. Hydrodynamic behaviour was assessed using the Zwietering correlation and Kolmogorov turbulence scaling. Denser microcarrier aggregates required higher minimum stirring speeds (Nmin), while larger dmc increased susceptibility to shear. Increased agitation intensity and more aggressive impeller designs reduced Nmin but were associated with potential cell damages. Higher medium density (e.g., 20% FBS) reduced shear stress and energy dissipation. A unified framework integrating oxygen diffusion, aggregate geometry, microcarrier properties, and hydrodynamics is proposed to estimate oxygen limitation and cell damage, highlighting trade-offs relevant to MT production in DE. Full article
(This article belongs to the Section Biological Processes and Systems)
Show Figures

Figure 1

23 pages, 14741 KB  
Article
Investigation of Flow Characteristics in a Stirred-Tank Bioreactor with Flexible Blades via Integrated PIV and Image Recognition
by Wenda Xu, Chengfan Cai, Zhe Li, Hancheng Lu, Chao Yang and Baoqing Liu
Bioengineering 2026, 13(4), 415; https://doi.org/10.3390/bioengineering13040415 - 1 Apr 2026
Viewed by 496
Abstract
Biological reactions are widely applied in processes such as bioenergy production, raw material manufacturing, and resource recovery from waste. As a main reactor type, the stirred-tank bioreactor exhibits prominent advantages of high mixing efficiency and strong adaptability. At present, the optimization of bioreactors [...] Read more.
Biological reactions are widely applied in processes such as bioenergy production, raw material manufacturing, and resource recovery from waste. As a main reactor type, the stirred-tank bioreactor exhibits prominent advantages of high mixing efficiency and strong adaptability. At present, the optimization of bioreactors mainly focuses on rigid impellers, and the research on flexible impellers is insufficient. Identifying the influence of flexible materials on bioreactor performance is of great significance. In this work, a stirred-tank bioreactor equipped with flexible blades was designed. In addition, a performance detection method coupling Particle Image Velocimetry (PIV) and image recognition was proposed to systematically study the effects of stirring speed, liquid environment, and impeller type. The results indicated that compared with rigid impellers, flexible impellers could reduce 7.7% low-velocity zones and save 15% mixing time. Velocity could be distributed more uniformly, and the suitable velocity ratio was increased by 7.88%. Moreover, the power consumption had been reduced by 7.49%. Taking into account the mixing efficiency and the impact of shear stress, the optimized structural combination and operating parameters were a pitched blade turbine (PBT)-propeller impeller type and a stirring speed of 300 rpm. This work provides important references for the design and optimization of stirred-tank bioreactors. Full article
(This article belongs to the Section Biochemical Engineering)
Show Figures

Figure 1

18 pages, 415 KB  
Article
Mathematical Modeling and Solution of the Moving-Boundary Problem Related to Substrate Diffusion and Reaction in Enzymatic Catalytic Particles
by Félix Monteiro Pereira and Samuel Conceição Oliveira
Reactions 2026, 7(2), 23; https://doi.org/10.3390/reactions7020023 - 1 Apr 2026
Viewed by 388
Abstract
This study presents a transient mathematical model and its numerical solution for the moving-boundary problem related to substrate diffusion and reaction in enzymatic catalytic particles. The main focus is on bioreactor startup, where the initial substrate concentration inside the particles is zero, forming [...] Read more.
This study presents a transient mathematical model and its numerical solution for the moving-boundary problem related to substrate diffusion and reaction in enzymatic catalytic particles. The main focus is on bioreactor startup, where the initial substrate concentration inside the particles is zero, forming a dead core that shrinks over time and makes the catalytic effectiveness factor time-dependent. The substrate mass balance leads to a partial differential equation with a moving boundary, solved using the method of lines coupled with Newton’s method (MLN), implemented in Wolfram Mathematica (WM). The proposed approach was validated for zero- and first-order kinetics at steady state, whose analytical solutions are available. Compared to the method of orthogonal collocation on finite elements, the MLN offers advantages such as not requiring an initial concentration profile and simple implementation in WM. The results demonstrate that the proposed method provides accurate and physically consistent solutions, contributing to a better understanding of dead-core dynamics and supporting the design of heterogeneous bioreactors with immobilized enzymes. Full article
Show Figures

Figure 1

11 pages, 933 KB  
Article
Evaluation of Edible Pleurotus ostreatus for Cellulase Production by Submerged Fermentation Using Bench-Scale Bioreactor
by Olimpio C. Escosteguy, Dinalva Schein, Gustavo N. Pezzini and Marcio A. Mazutti
Processes 2026, 14(6), 990; https://doi.org/10.3390/pr14060990 - 20 Mar 2026
Viewed by 316
Abstract
Industries seek microorganisms capable of producing all types of cellulases, using low-cost substrate and under adequate process conditions, especially through submerged fermentation. Pleurotus ostreatus “L123” was evaluated as a potential microorganism for cellulase production, assaying total cellulolytic activity (FPase). Fermentation was carried out [...] Read more.
Industries seek microorganisms capable of producing all types of cellulases, using low-cost substrate and under adequate process conditions, especially through submerged fermentation. Pleurotus ostreatus “L123” was evaluated as a potential microorganism for cellulase production, assaying total cellulolytic activity (FPase). Fermentation was carried out using a 14L bioreactor, inoculated with 10% (v/v) grown on potato dextrose broth for 4 days. Fermentation media was composed of defatted rice bran (50 g/L), glucose (5 g/L), corn steep liquor (5 g/L) and chloramphenicol (0.25 g/L). Aeration and agitation effects on enzymatic activity were evaluated using a central composite design (CCD) for FPase after 5 days of fermentation. The obtained model was statistically significant, with the interaction of both parameters also being significant and presenting a negative effect. Membrane ultrafiltration (150 kDa MWCO) led to an approximately 3-fold increase in specific activity of permeate (0.6441 vs. 0.2043 FPU/mg of protein), with retention of around 80% of protein content while maintaining enzymatic activity of permeate similar to unfiltered broth (0.0932 vs. 0.0923 FPU/mL). The maximum value obtained experimentally was 0.1444 FPU/mL, which is significantly lower in comparison to commercially used strains and consequently unfeasible for industrial use at current state. However, after further improvements and optimization, Pleurotus ostreatus “L123” can become an alternative for in situ cellulase production through submerged fermentation. Full article
Show Figures

Figure 1

22 pages, 840 KB  
Review
Methanotrophic Technologies for Low-Concentration Methane: Reactor Designs and Performance
by Ajani A. Moss, Isaiah Thompson, John Tharakan and Cristiano E. Rodrigues Reis
Processes 2026, 14(6), 969; https://doi.org/10.3390/pr14060969 - 18 Mar 2026
Viewed by 516
Abstract
Low-concentration methane emissions from landfills, manure management, wastewater treatment, and ventilation streams are difficult to mitigate using conventional capture and oxidation because of high air-to-fuel ratios, variable flows, and unfavorable economics. Methanotrophic bioreactors provide an aerobic biological route to oxidize methane at ambient [...] Read more.
Low-concentration methane emissions from landfills, manure management, wastewater treatment, and ventilation streams are difficult to mitigate using conventional capture and oxidation because of high air-to-fuel ratios, variable flows, and unfavorable economics. Methanotrophic bioreactors provide an aerobic biological route to oxidize methane at ambient conditions and, in selected cases, enable valorization into biomass and bioproducts. This review synthesizes methanotrophic reactor technologies for dilute methane, emphasizing the design and operational constraints that control performance. We classify systems into (i) fixed-film gas–solid configurations (biofilters, biocovers, biotrickling filters, and bioscrubbers), (ii) suspended-growth gas–liquid reactors (stirred tanks, bubble columns, and loop/airlift designs), (iii) membrane-based and intensified contactors that decouple methane and oxygen delivery and enhance mass transfer, and (iv) hybrid and in situ approaches for diffuse sources. This review presents key metrics and discusses how mass transfer, moisture and temperature control, nutrient supply, and microbial ecology interact to define achievable removal. We further summarize recent techno-economic and life-cycle studies to identify dominant cost drivers, particularly air handling and gas–liquid transfer, and the concentration regimes where biological oxidation is competitive with catalytic or thermal alternatives. Full article
Show Figures

Figure 1

13 pages, 785 KB  
Article
Integrated RSM and Genomic Analysis for Optimized Sporulation in Heyndrickxia coagulans
by Yiwei Jin, Feng Chen and Jiang Cao
Fermentation 2026, 12(3), 158; https://doi.org/10.3390/fermentation12030158 - 17 Mar 2026
Viewed by 582
Abstract
Industrial spore production of the probiotic Heyndrickxia coagulans is hindered by its generally low and highly variable sporulation efficiency across strains. To address this, we selected the representative model strain ATCC 7050 and applied an integrated strategy combining statistical medium optimization with genomic [...] Read more.
Industrial spore production of the probiotic Heyndrickxia coagulans is hindered by its generally low and highly variable sporulation efficiency across strains. To address this, we selected the representative model strain ATCC 7050 and applied an integrated strategy combining statistical medium optimization with genomic analysis. Key factors (glucose, yeast extract, CaCl2) were screened and optimized using Plackett–Burman and Box–Behnken designs, yielding an optimal formulation that achieved 1.84 × 108 spores/mL in a bioreactor, consistent with the model prediction. Further genomic analysis revealed 112 sporulation-associated genes and identified key homologous genes related to spore resistance and germination. Among them, the successful identification of spoVA, which is implicated in calcium-dipicolinate transport in bacilli, allowed us to hypothesize why calcium ions play a critical role. This work not only enhances the spore yield of a model strain but also provides a framework to tackle the widespread sporulation variability in H. coagulans for industrial applications. Full article
Show Figures

Figure 1

47 pages, 742 KB  
Review
Plant-Derived Nanocarriers for Drug Delivery: A Unified Framework Integrating Extracellular Vesicles, Engineered Phytocarriers, Hybrid Platforms, and Bioinspired Systems
by Adina-Elena Segneanu, George Dan Mogoşanu, Cornelia Bejenaru, Roxana Kostici and Ludovic Everard Bejenaru
Plants 2026, 15(6), 908; https://doi.org/10.3390/plants15060908 - 15 Mar 2026
Viewed by 1225
Abstract
Plant-derived extracellular vesicles (PDEVs), engineered phytosomes, bioinspired polymeric plant-based nanoparticles (PBNPs), hybrid phyto-inorganic nanocomposites, green-synthesized metal nanoparticles, self-assembled nanoarchitectures, and multifunctional composites represent a rapidly advancing class of sustainable, nature-inspired nanocarriers. These platforms combine exceptional biocompatibility, negligible immunogenicity, and renewable sourcing with tunable [...] Read more.
Plant-derived extracellular vesicles (PDEVs), engineered phytosomes, bioinspired polymeric plant-based nanoparticles (PBNPs), hybrid phyto-inorganic nanocomposites, green-synthesized metal nanoparticles, self-assembled nanoarchitectures, and multifunctional composites represent a rapidly advancing class of sustainable, nature-inspired nanocarriers. These platforms combine exceptional biocompatibility, negligible immunogenicity, and renewable sourcing with tunable drug loading, targeted delivery, and controlled release properties. This review synthesizes translational advances from 2020 to 2026, covering scalable isolation/bioprocessing (bioreactors, elicitation), multi-parametric physicochemical/multi-omics characterization, rational engineering/hybridization, and rigorous in vitro/in vivo assessments of uptake, biodistribution, pharmacokinetic (PK), and efficacy. Phytosomes and PBNPs markedly enhance oral bioavailability and targeted delivery of lipophilic phytochemicals, while PDEVs offer unique immunomodulatory, anti-inflammatory, and gene-regulatory activities. Hybrid and green-synthesized systems provide structural stability, redox modulation, and synergistic effects, and self-assembled/multifunctional composites address solubilization barriers with stimuli-responsive design. Early-phase human studies on grapefruit-, ginger-, turmeric-, and ginseng-derived PDEVs report excellent short-term safety, favorable PK, and preliminary bioactivity signals, with no observed immunogenicity or dose-limiting toxicities; however, these trials remain exploratory, constrained by small sample sizes and safety-focused endpoints. Despite challenges, including methodological heterogeneity, variable yields, long-term safety uncertainties (notably for inorganic hybrids), and regulatory ambiguities, emerging strategies such as clustered regularly interspaced short palindromic repeats (CRISPR)-engineered plant line; artificial-intelligence-driven process optimization; standardized guidelines, and integrated clinical, intellectual property, and commercialization frameworks are progressively addressing these barriers. Collectively, these advances position plant-derived nanocarriers as immunologically privileged, eco-friendly alternatives to synthetic and mammalian platforms, laying the foundation for a sustainable era of precision phytomedicine. Full article
Show Figures

Graphical abstract

14 pages, 1209 KB  
Review
Integrated Bioreactor and Wetland-Based Approaches for Agricultural Drainage Treatment: A Comprehensive Review of Design, Performance, and Field Applications
by El Ouali Ouijdane, El Abbari Chaimaa, Labjar Najoua, Zouahri Abdelmjid, Dakak Houria, Beniken Lhou, Omari Fatima Ezahra, Nasrellah Hamid and El Hajjaji Souad
Environments 2026, 13(3), 158; https://doi.org/10.3390/environments13030158 - 13 Mar 2026
Viewed by 929
Abstract
Agricultural drainage water is a significant contributor to a broad spectrum of pollutant loads, including nitrates, ammonium, organic matter, phosphorus, and emerging substances, and thus poses an important environmental and human health concern. This review aims to integrate existing knowledge on bioreactors and [...] Read more.
Agricultural drainage water is a significant contributor to a broad spectrum of pollutant loads, including nitrates, ammonium, organic matter, phosphorus, and emerging substances, and thus poses an important environmental and human health concern. This review aims to integrate existing knowledge on bioreactors and natural and constructed wetlands in the treatment of agricultural drainage water. It covers bioreactors from a perspective on categorization, principles, and performance with respect to treatment efficiency. It provides a critical evaluation of constructed wetlands as passive treatment systems, in addition to their importance as nature-based service providers. Some significant issues in bioreactors, such as media durability, greenhouse gas production, and the elimination of emerging pollutants, will be critically described, and this critique will conclude with proposals for possible path methods in bioreactors toward a suitable convergence with a nature-related water treatment system. Full article
Show Figures

Figure 1

Back to TopTop