Sign in to use this feature.

Years

Between: -

Subjects

remove_circle_outline
remove_circle_outline
remove_circle_outline
remove_circle_outline
remove_circle_outline
remove_circle_outline
remove_circle_outline
remove_circle_outline
remove_circle_outline

Journals

Article Types

Countries / Regions

Search Results (114)

Search Parameters:
Keywords = biocrude

Order results
Result details
Results per page
Select all
Export citation of selected articles as:
33 pages, 9256 KB  
Article
Mitigating Post-Recycling Plastic Waste Pollution Through Co-Hydrothermal Liquefaction with Freshwater Algal Biomass: Pathways to Biofuel and High-Value Products as Resource Recovery: Chi River, Thailand
by Sukanya Hongthong, Piyanan Kankhwao, Saranyu Kohaeoklang, Kowit Suwannahong, Torpong Kreetachat, Saksit Imman, Nopparat Suriyachai, Wipada Dechapanya, Wipawee Dechapanya, Panarat Phadee and Surachai Wongcharee
Sustainability 2026, 18(6), 2962; https://doi.org/10.3390/su18062962 - 17 Mar 2026
Viewed by 177
Abstract
Post-recycling plastic waste contamination in freshwater ecosystems represents an escalating environmental threat, while algal blooms continue to generate vast quantities of underutilized biomass. Addressing both challenges, this study investigated the co-hydrothermal liquefaction of Chlorella pyrenoidosa with representative post-recycling plastic wastes polypropylene, polyethylene terephthalate, [...] Read more.
Post-recycling plastic waste contamination in freshwater ecosystems represents an escalating environmental threat, while algal blooms continue to generate vast quantities of underutilized biomass. Addressing both challenges, this study investigated the co-hydrothermal liquefaction of Chlorella pyrenoidosa with representative post-recycling plastic wastes polypropylene, polyethylene terephthalate, and Nylon-6 as a dual-resource valorization strategy. Experiments were conducted in a 1000 mL high-pressure batch reactor at 350 °C for 30 min, with varying biomass-to-plastic feed ratios. Systematic product characterization, including functional group, elemental analysis, Van Krevelen diagrams, and heating value assessment, was employed to elucidate synergistic effects and evaluate product quality. Results revealed that co-processing with polyethylene terephthalate achieved the highest biocrude yield of 71.5%, with an enhanced higher heating value of 35.7 MJ kg−1, surpassing the 62.4% yield from microalgae alone. Nylon-6 blends also improved oil yield to 69.6% while producing aqueous fractions enriched with ε-caprolactam, indicating the recovery of valuable nitrogenous monomers. In contrast, PP exhibited limited reactivity toward oil generation but produced carbon-rich biochar with a higher heating value up to 41.4 MJ kg−1, comparable to high-grade solid fuels. Mechanistic analyses confirmed that plastics acted as hydrogen donors, promoting deoxygenation, radical stabilization, and selective depolymerization, thereby improving both liquid and solid fuel fractions. By employing ecologically relevant freshwater feedstocks from Thailand, this work advances beyond prior studies dominated by marine biomass or synthetic surrogates, providing realistic insights into resource integration within polluted inland waters. The co-hydrothermal liquefaction process simultaneously mitigates eutrophication-driven algal blooms and persistent plastic pollution while generating fuels and functional carbon materials, directly contributing to a circular bioeconomy. The demonstrated synergy between biological and synthetic wastes highlights a scalable, catalyst-free route to energy-dense biofuels and multifunctional biochar. These outcomes align strongly with SDG which offer a pragmatic framework for waste-to-energy transition in freshwater-dependent regions. Full article
Show Figures

Figure 1

17 pages, 1986 KB  
Article
Catalytic Upgrading of Microalgae-Based Bio-Oils for Sustainable Jet Fuel Production
by Bruna Thomazinho França, Filipe Paradela, Marta Martins, Ana Luísa Fernando, Alberto Reis and Paula Costa
Clean Technol. 2026, 8(2), 34; https://doi.org/10.3390/cleantechnol8020034 - 5 Mar 2026
Viewed by 269
Abstract
The transition to sustainable energy systems has intensified the search for renewable alternatives to reduce greenhouse gas emissions and reliance on fossil fuels. In this context, microalgae have emerged as a promising third-generation feedstock for biofuel production due to their rapid development, high [...] Read more.
The transition to sustainable energy systems has intensified the search for renewable alternatives to reduce greenhouse gas emissions and reliance on fossil fuels. In this context, microalgae have emerged as a promising third-generation feedstock for biofuel production due to their rapid development, high lipid content, and ability to grow in wastewater without competing with freshwater resources. In this study, the hydrotreatment of biocrudes derived from C. vulgaris, T. obliquus, and a mixed microalgal culture cultivated in domestic wastewater is investigated. Catalytic upgrading was applied using sulphided CoMo/Al2O3 (sCoMo) and Pt/Al2O3 catalysts. The results demonstrated that catalytic upgrading enhanced the upgraded bio-oils’ quality compared to non-catalysed reactions, confirming the crucial role of catalysts in improving bio-oil properties. Compared with the Pt catalyst, sCoMo produced higher yields of upgraded bio-oil, greater enrichment in carbon and hydrogen, and higher heating value (HHV), while effectively enhancing nitrogen and oxygen removal. However, when compared with the non-sulphided CoMo, the sulphiding treatment did not significantly improve denitrogenation and treated oil yields. The highest fraction of components within the jet fuel boiling range (37.7%) was obtained using a Pt catalyst, while the non-catalysed process yielded the lowest (26.6%). In this sense, catalytic upgrading of microalgae-based biocrude represents an important step towards the production of advanced and environmentally sustainable fuels. Full article
Show Figures

Figure 1

34 pages, 8098 KB  
Review
Aqueous Phase Recycling in Hydrothermal Liquefaction: Mechanisms, Feedstock Interactions, and Sustainable Biorefinery Integration
by Ayaz Ali Shah, Altaf Alam Noonari, Iftikhar Ahmed Channa, Muhammad Ashraf, Aamir Raza, Asif Shah, Nabi Bakhsh Mallah, Muhammad Azam Usto and Mohammad Ilyas Khan
Sustainability 2026, 18(5), 2370; https://doi.org/10.3390/su18052370 - 28 Feb 2026
Viewed by 254
Abstract
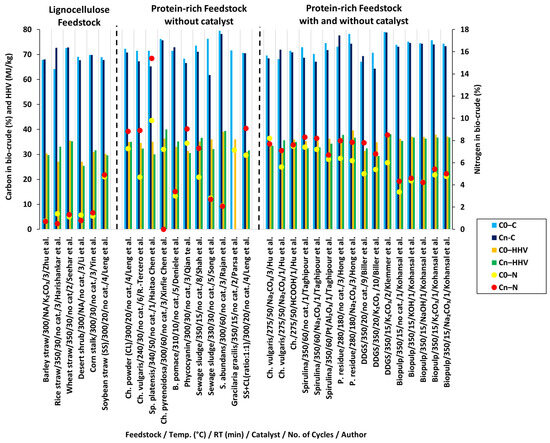
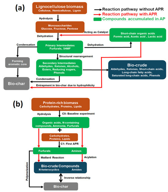
The aqueous phase (AP) produced during hydrothermal liquefaction (HTL) contains high organic loads and a chemically complex mixture of dissolved intermediates, posing significant environmental management challenges. Aqueous phase recycling (APR) has emerged as a strategy to enhance bio-crude yield, improve energy recovery, and [...] Read more.
The aqueous phase (AP) produced during hydrothermal liquefaction (HTL) contains high organic loads and a chemically complex mixture of dissolved intermediates, posing significant environmental management challenges. Aqueous phase recycling (APR) has emerged as a strategy to enhance bio-crude yield, improve energy recovery, and reduce freshwater consumption by reintroducing reactive water-soluble species into subsequent cycles. However, repeated recycling can lead to the accumulation of N-containing compounds and phenolics, potentially diminishing bio-crude quality and heating value through secondary polymerization and condensation reactions. Simultaneously, the carbon and nutrient-rich character of AP presents opportunities for valorization via anaerobic digestion, microalgae cultivation, and supercritical water gasification. Despite growing interest, APR-HTL research remains feedstock-specific, and a systematic understanding of AP compositional evolution across multiple recycling cycles is limited. This review synthesizes recent progress, highlighting mechanistic linkages between AP composition, bio-crude performance, and integrated biorefinery strategies. Full article
(This article belongs to the Section Waste and Recycling)
Show Figures

Figure 1

20 pages, 1190 KB  
Article
Compositional Group Analysis of Biocrude Oils Obtained from Swine Manure by Slow Pyrolysis
by Lenia Gonsalvesh, Stefan Marinov, Maya Stefanova, Jan Czech, Robert Carleer and Jan Yperman
Processes 2026, 14(2), 382; https://doi.org/10.3390/pr14020382 - 22 Jan 2026
Viewed by 284
Abstract
The study comprises an in-depth characterization of compositional groups of the liquid by-products obtained from the pyrolysis of swine manure at 500 °C, with the aim of providing an alternative and efficient approach for the valorisation of this waste stream, alongside with the [...] Read more.
The study comprises an in-depth characterization of compositional groups of the liquid by-products obtained from the pyrolysis of swine manure at 500 °C, with the aim of providing an alternative and efficient approach for the valorisation of this waste stream, alongside with the production of biogas and char, the latter of which can be further converted into activated carbon. Two samples were considered: de-watered cake and solid product from anaerobic digestion of swine manure. Biocrude oils were fractionated into weak acidic, strong acidic, alkaline and neutral oil fractions. Subsequently, the neutral oil fraction was separated into paraffinic–naphthenic, slightly polar and polar fractions. All fractions were analyzed by GC–MS. The major identified compositional groups were: (i) for de-watered cake: steroids (40.7%), fatty acids, FAs (23.7%) and n-alkenes/n-alkanes (23.3%); (ii) for solid product from anaerobic digestion: FAs (31.0%), phenols/methoxy phenols (26.6%), n-alkenes/n-alkanes (10.8%) and steroids (10.6%). A variety of short-chain FAs (i.e., linear saturated, mono- and di-unsaturated, cis (i-), trans (ai-), isoprenoid, phenyl alkanoic, amongst others) and methyl esters (FAMEs) were identified as well. FA distribution, nC12nC20, was similar for both manures studied with nC16 and nC18 as major compounds. FAMEs (nC14nC28, with even carbon number dominance) in the slightly polar fraction of both samples were accompanied by considerable amounts of oleic (nC18:1) and linoleic (nC18:2) acids, and corresponding methyl esters. Hydrocarbons, i.e., n-alkenes/n-alkanes, were in the range of nC15nC34, with nC18 maximizing. Anaerobically digested manure has resulted in (i) an increase in the portion of longer homologues of hydrocarbons and FAMEs and (ii) the appearance of new FAs series of long chain members nC22:1nC26:1, ω-9. The comprehensive analysis of the biocrude oils obtained from the slow pyrolysis of swine manure indicates their potential for use as biodiesel additives or as feedstock to produce value-added materials. Full article
(This article belongs to the Special Issue Biomass Pyrolysis Characterization and Energy Utilization)
Show Figures

Figure 1

13 pages, 2006 KB  
Article
Hydrodeoxygenation of Black Liquor HTL Oil Model Compounds in Supercritical Water
by Sari Rautiainen, Tyko Viertiö, Niko Vuorio, Felix Hyppönen, Luděk Meca, Pavel Kukula and Juha Lehtonen
Reactions 2026, 7(1), 7; https://doi.org/10.3390/reactions7010007 - 20 Jan 2026
Viewed by 353
Abstract
Black liquor, the side stream from Kraft pulping, is a promising feedstock for the production of renewable fuels via hydrothermal liquefaction (HTL). However, further upgrading of the black liquor HTL oil is required to reduce the oxygen content for fuel use. In this [...] Read more.
Black liquor, the side stream from Kraft pulping, is a promising feedstock for the production of renewable fuels via hydrothermal liquefaction (HTL). However, further upgrading of the black liquor HTL oil is required to reduce the oxygen content for fuel use. In this work, the hydrodeoxygenation (HDO) of black liquor HTL oil model compounds was investigated to enhance the understanding of catalyst activity and selectivity under hydrothermal conditions. The study focused on isoeugenol and 4-methylcatechol as model compounds, representing different functionalities in black liquor-derived HTL-oil. Sulfided NiMo catalysts supported on titania, zirconia, activated carbon, and α-alumina were evaluated in batch mode at subcritical and supercritical upgrading using hydrogen gas. The results show that isoeugenol was fully converted in all experiments, while 4-methylcatechol conversion varied depending on the catalyst and reaction conditions. Phenols were obtained as the main products and the maximum degree of deoxygenation achieved was around 40%. This research provides insights into the potential of hydrothermal HDO for upgrading BL-derived biocrudes, emphasising the importance of catalyst selection and reaction conditions in hydrothermal conditions. Full article
(This article belongs to the Special Issue Feature Papers in Reactions in 2025)
Show Figures

Graphical abstract

17 pages, 3058 KB  
Article
Fertilizer-Derived Low-Cost Culture Medium for Microalgae and Biofuel Production from Hydrothermal Liquefaction
by Alejandra M. Miranda, Fabian Hernandez-Tenorio, Gabriel J. Vargas, David Ocampo and Alex A. Sáez
Energies 2025, 18(24), 6559; https://doi.org/10.3390/en18246559 - 15 Dec 2025
Cited by 1 | Viewed by 651
Abstract
Microalgae have been characterized as an effective raw material for obtaining bioproducts from a biorefinery approach. However, production costs limit the large-scale production of microalgae, which makes these processes uncompetitive in the market. Therefore, in the present work, different agricultural fertilizers were evaluated [...] Read more.
Microalgae have been characterized as an effective raw material for obtaining bioproducts from a biorefinery approach. However, production costs limit the large-scale production of microalgae, which makes these processes uncompetitive in the market. Therefore, in the present work, different agricultural fertilizers were evaluated as low-cost culture media for microalgae growth and the use of the biomass for biocrude production. The tests were carried out in three phases: phase I, Laboratory scale 1 L Erlenmeyer (Boeco, Hamburg, Germany) and phase II–III Pilot scale with cylindrical photobioreactors (PBRs) (Atb services S.A.S, Medellin, Colombia) with a capacity of 20 L. In phase I, four commercial fertilizers Crecilizer® (C), Florilizer® (F) (Fertilizer, Bogota, Colombia), AcuaLeaf Macros® (Ma), and AcuaLeaf Micros® (Mi) (Deacua, Medellin, Colombia) were tested separately and in combination (C + Ma, F + M, and Ma + Mi). The most effective treatments (C and F) in phase I were chosen for scale-up during phase II. In phase III, the concentration of the best treatment from phase II was increased. The biomass obtained from the best phase III treatment showed a cultivation medium cost 50% lower than the biomass obtained using Bold’s Basal Medium (BBM). Following each treatment, the harvested biomass was processed via hydrothermal liquefaction (HTL) to yield biocrude. The reduction in culture medium cost contributed to an estimated 40% decrease in the relative biocrude yield cost. Full article
(This article belongs to the Special Issue Microalgae Biofuel Production: Challenges and Future Opportunities)
Show Figures

Figure 1

12 pages, 2401 KB  
Article
Kinetic Analysis and Products Characterization of Hydrothermal Liquefaction of Tetra Pak Waste for Bio-Oil Production
by Yuzhen Wang, Ao Lu, Zhuan Liu, Yu Feng, Di Shan and Changqing Fang
Polymers 2025, 17(24), 3246; https://doi.org/10.3390/polym17243246 - 5 Dec 2025
Viewed by 690
Abstract
Hydrothermal liquefaction (HTL) of Tetra Pak waste was investigated at 320–440 °C for 10–50 min to produce bio-crude oil. Bio-oil yield increased with temperature and time, reaching about 43 wt% at 40–50 min, while solid residue decreased and stabilized. Boiling point analysis indicated [...] Read more.
Hydrothermal liquefaction (HTL) of Tetra Pak waste was investigated at 320–440 °C for 10–50 min to produce bio-crude oil. Bio-oil yield increased with temperature and time, reaching about 43 wt% at 40–50 min, while solid residue decreased and stabilized. Boiling point analysis indicated diesel- and kerosene-range fractions as dominant components. FT-IR results showed enhanced aromatic and carbonyl groups with reaction time, suggesting secondary condensation. A modified first-order kinetic model described the conversion of carbohydrates and polyethylene, with activation energies of 25.8–49.0 and 54.9–78.3 kJ mol−1, respectively. The intermediate aqueous/gaseous pathway exhibited a lower activation energy (30.1 kJ mol−1), highlighting its vital role in oil formation. This study advances understanding of Tetra Pak liquefaction and provides guidance for efficient composite waste valorization. Full article
(This article belongs to the Special Issue Thermochemical Conversion of Polymer Waste)
Show Figures

Figure 1

14 pages, 1132 KB  
Article
Hydrothermal Liquefaction of Structurally Diverse Lignins: Insights into Biocrude Yield, Fuel Properties, and Reaction Mechanisms
by Md Mostafizur Rahman and Toufiq Reza
Energies 2025, 18(17), 4773; https://doi.org/10.3390/en18174773 - 8 Sep 2025
Cited by 3 | Viewed by 1463
Abstract
Lignin holds significant promise as a feedstock for biocrude production via hydrothermal liquefaction (HTL). Although lignin HTL has been widely studied, the specific depolymerization pathways associated with distinct lignin structures remain largely unexplored. This study investigates the HTL of four structurally diverse lignins: [...] Read more.
Lignin holds significant promise as a feedstock for biocrude production via hydrothermal liquefaction (HTL). Although lignin HTL has been widely studied, the specific depolymerization pathways associated with distinct lignin structures remain largely unexplored. This study investigates the HTL of four structurally diverse lignins: alkaline (AL), dealkaline (DAL), organosolv (OL), and lignosulfonate (LS) across 270–310 °C to elucidate structure-specific mechanisms governing biocrude yield and composition. AL and OL achieved the highest yields (16.8 ± 0.3% and 16.8 ± 2.5%), with AL-derived biocrude showing the highest carbon content (70.2 ± 0.0%) and HHV (31.0 ± 0.2 MJ/kg). In contrast, DAL and LS produced lower yields and inferior fuel quality due to higher sulfur content and lower carbon enrichment. The structures of AL and DAL, containing fewer methoxy groups, produced guaiacol-rich biocrudes (46.6% and 69.5%). Methylation in AL formed alkyl guaiacols and veratroles, while DAL favored side-chain oxidation. OL retained complex structures, forming syringols and desaspidinol, which contributed to heavier biocrude compounds. Sulfonate groups in LS were stabilized mostly as sulfides, leading to elevated sulfur content. These findings provide mechanistic insight into how lignin structure governs HTL behavior, enabling targeted control of biocrude yield and quality for renewable fuel production. Full article
(This article belongs to the Special Issue Advances in Bioenergy and Bioproducts Innovation)
Show Figures

Figure 1

21 pages, 2243 KB  
Article
Selective Extraction and Hydrotreatment of Biocrude from Sewage Sludge: Toward High-Yield, Alkane-Rich, Low-Heteroatom Biofuels
by Muhammad Usman, Shuo Cheng, Sasipa Boonyubol, Muhammad Aziz and Jeffrey S. Cross
Energies 2025, 18(17), 4568; https://doi.org/10.3390/en18174568 - 28 Aug 2025
Cited by 1 | Viewed by 1181
Abstract
This study investigates the hydrothermal liquefaction (HTL) of sewage sludge across a temperature range of 250–375 °C, combined with selective solvent extraction and catalytic hydrotreatment to produce high-quality biocrude. Four solvents including dichloromethane (DCM), hexane, ethyl butyrate (EB), and ethyl acetate (EA), were [...] Read more.
This study investigates the hydrothermal liquefaction (HTL) of sewage sludge across a temperature range of 250–375 °C, combined with selective solvent extraction and catalytic hydrotreatment to produce high-quality biocrude. Four solvents including dichloromethane (DCM), hexane, ethyl butyrate (EB), and ethyl acetate (EA), were used to evaluate temperature-dependent extraction performance and product quality. Biocrude yields increased from 250 °C to a maximum at 350 °C for all solvents: hexane (9.3–18.1%), DCM (16.3–49.7%), EB (17.6–50.1%), and EA (9.6–23.5%). A yield decline was observed at 375 °C due to secondary cracking and gasification. Elemental analysis revealed that hexane and EB extracts had higher carbon (up to 61.6 wt%) and hydrogen contents, while DCM retained the most nitrogen (up to 3.96 wt%) due to its polarity. Sulfur remained below 0.5 wt% in all biocrudes. GC–MS analysis of 350 °C biocrudes showed fatty acids as dominant components (43–53%), especially palmitic acid, along with ketones, amides, and heterocyclic compounds. Hydrotreatment using Ni/SiO2–Al2O3 significantly enhanced biocrude quality by increasing alkane content by 40–60% and reducing nitrogen levels by up to 75%, with higher heating values reaching 38–44 MJ/kg. These findings demonstrate the integrated potential of HTL process tuning, green solvent extraction, and catalytic upgrading for converting sewage sludge into cleaner, energy-dense biofuels. Full article
Show Figures

Figure 1

26 pages, 2731 KB  
Article
Coupled CFD-DEM Numerical Simulation of Hydrothermal Liquefaction (HTL) of Sludge Flocs to Biocrude Oil in a Continuous Stirred Tank Reactor (CSTR) in a Scale-Up Study
by Artur Wodołażski
Energies 2025, 18(17), 4557; https://doi.org/10.3390/en18174557 - 28 Aug 2025
Cited by 2 | Viewed by 1382
Abstract
A multiphase model of hydrothermal liquefaction (HTL) using the computational fluid dynamics coupling discrete element method (CFD-DEM) is used to simulate biocrude oil production from sludge flocs in a continuous stirred tank reactor (CSTR). Additionally, the influence of the agitator speed and the [...] Read more.
A multiphase model of hydrothermal liquefaction (HTL) using the computational fluid dynamics coupling discrete element method (CFD-DEM) is used to simulate biocrude oil production from sludge flocs in a continuous stirred tank reactor (CSTR). Additionally, the influence of the agitator speed and the slurry flow rate on dynamic biocrude oil production is investigated through full transient CFD analysis in a scaled-up CSTR study. The kinetics of the HTL mechanism as a function of temperature, pressure, and residence time distribution were employed in the model through a user-defined function (UDF). The multiphysics simulation of the HTL process in a stirred tank reactor using the Lagrangian–Eulerian (LE) approach, along with a standard k-ε turbulence model, integrated HTL kinetics. The simulation accounts for particle–fluid interactions by coupling CFD-derived hydrodynamic fields with discrete particle motion, enabling prediction of individual particle trajectories based on drag, buoyancy, and interphase momentum exchange. The three-phase flow using a compressible non-ideal gas model and multiphase interaction as design requirements increased process efficiency in high-pressure and high-temperature model conditions. Full article
(This article belongs to the Section A: Sustainable Energy)
Show Figures

Figure 1

19 pages, 1065 KB  
Review
Recovery of Nutrients from the Aqueous Phase of Hydrothermal Liquefaction—A Review
by Barbara Camila Bogarin Cantero, Yalin Li, Prasanta Kalita, Yuanhui Zhang and Paul Davidson
Water 2025, 17(14), 2099; https://doi.org/10.3390/w17142099 - 14 Jul 2025
Cited by 6 | Viewed by 3342
Abstract
Hydrothermal liquefaction (HTL) is a thermochemical conversion process that converts wet biomass into biocrude oil, a gas phase, a solid phase, and an aqueous phase (HTL-AP). An obstacle to the development and scaling of HTL is the volume of HTL-AP produced during the [...] Read more.
Hydrothermal liquefaction (HTL) is a thermochemical conversion process that converts wet biomass into biocrude oil, a gas phase, a solid phase, and an aqueous phase (HTL-AP). An obstacle to the development and scaling of HTL is the volume of HTL-AP produced during the process, which has high concentrations of nitrogen and carbon and cannot be disposed of in the environment without treatment. The HTL-AP is enriched with organic compounds, particularly light polar organics and nitrogenous compounds, which are inhibitory to microbial treatment in wastewater treatment plants. For this reason, the valorization of the HTL-AP is significant for the circular economy of HTL. This review synthesizes published findings on different types of treatment of the HTL-AP for the recovery of valuable nutrients and the removal of toxic compounds. This work outlines the trade-offs of the treatments to serve as a guide for future research to address these weaknesses and improve the valorization of the HTL-AP. Furthermore, this work uniquely focuses on HTL-AP treatment for recovering plant-available nitrogen, targeting its potential use as a fertilizer. The literature highlights the importance of increasing nitrogen bioavailability in HTL-AP through two-step treatments and by selecting HTL-AP derived from protein-rich feedstocks, which offer higher initial nitrogen content. According to the current state of research, further work is needed to optimize chemical and biological treatments for nutrient recovery from HTL-AP, particularly regarding treatment scale and duration. Additionally, economic analyses across different treatment types are currently lacking, but are essential to evaluate their feasibility and practicality. Full article
(This article belongs to the Special Issue Emerging Technologies for Nutrient Recovery and Wastewater Treatment)
Show Figures

Figure 1

20 pages, 1635 KB  
Article
Pyrolysis of Rice Husk for the Production of Bioactive Compounds with Potential in Green Chemistry and Sustainable Agriculture
by Matheus de Paula Goularte, Ávila Ferreira de Sousa, Camila Cholant, Lucas Romano, Jalel Labidi, André Luiz Missio, Andrey Acosta and Darci Alberto Gatto
Molecules 2025, 30(13), 2754; https://doi.org/10.3390/molecules30132754 - 26 Jun 2025
Cited by 2 | Viewed by 1856
Abstract
The objective of this study was to investigate the chemical composition of the obtained products, as well as the antioxidant activity and bio-stimulant potential of the liquid fractions. The biomass was subjected to pyrolysis in a pilot-scale reactor, followed by distillation of the [...] Read more.
The objective of this study was to investigate the chemical composition of the obtained products, as well as the antioxidant activity and bio-stimulant potential of the liquid fractions. The biomass was subjected to pyrolysis in a pilot-scale reactor, followed by distillation of the pyroligneous liquid to separate volatile compounds and enrich bioactive fractions. The samples were analysed by FTIR, TGA/DTG, and GC-MS. Antioxidant activities were assessed through DPPH, FRAP, and total phenolic content assays, while the bio-stimulant potential was evaluated through germination and growth tests of lettuce and arugula seeds. The results showed that the distilled fraction had lower acidity, greater chemical stability, and high antioxidant activity, with the presence of industrially valuable compounds such as methoxylated phenols and furfural. Furthermore, application of the distilled liquid at 0.1% concentration stimulated early seedling development—especially in arugula—while higher concentrations demonstrated inhibitory effects. These findings show that distillation of pyroligneous liquid is an effective strategy to enhance its bioactive properties, enabling its use as a natural antioxidant and plant bio-stimulant. Full article
(This article belongs to the Special Issue 10th Anniversary of Green Chemistry Section)
Show Figures

Graphical abstract

7 pages, 933 KB  
Proceeding Paper
Hydrothermal Liquefaction of Pulp and Paper Mill Residues for Biocrude Production
by Toluwanimi Adetunji, Mohammad Yusuf, Pali Rosha and Hussameldin Ibrahim
Eng. Proc. 2024, 76(1), 108; https://doi.org/10.3390/engproc2024076108 - 5 Jun 2025
Viewed by 969
Abstract
The pulp and paper industry is one of the leading waste-generating industries globally. With the rich energy content of these wastes and many of these mills not paying attention/implementing efficient waste disposal methods, it has become imperative that research efforts on pulp and [...] Read more.
The pulp and paper industry is one of the leading waste-generating industries globally. With the rich energy content of these wastes and many of these mills not paying attention/implementing efficient waste disposal methods, it has become imperative that research efforts on pulp and paper waste valorization be performed; hence this paper. Hydrothermal liquefaction (HTL) technology was adopted due to its ability to transform wet biomass into biocrude. The research studied the effects of reaction parameters such as temperature, residence time, feed concentration, and catalysts on the yield of biocrude. While central composite design (CCD) was used in the design of the experiments, response surface methodology (RSM) was utilized for their optimization. The optimum parametric conditions obtained were the following: temperature: 340 °C; residence time: 56min; and feed concentration: 5%. Zeolite (HZSM-5), gamma-alumina (γ-Al2O3), and activated carbon were utilized as catalysts, and their performances with respect to biocrude yield improvement were evaluated. The order of catalytic effect on the biocrude yield was γ-Al2O3 (25.65%) > HZSM-5 (23.18%) > activated carbon (21.94%). Catalyst characterization was performed on the fresh and spent catalysts to study their properties and to make informed inferences on their impacts on biocrude yield. Based on the findings from this research, necessary conclusions and recommendations for future work are presented. Full article
Show Figures

Figure 1

19 pages, 3724 KB  
Article
Computational Fluid Dynamics–Discrete Element Method Numerical Simulation of Hydrothermal Liquefaction of Sewage Sludge in a Tube Reactor as a Linear Fresnel Solar Collector
by Artur Wodołażski
Solar 2025, 5(2), 16; https://doi.org/10.3390/solar5020016 - 28 Apr 2025
Cited by 1 | Viewed by 5912
Abstract
This paper discusses the thermal and exergy efficiency analysis of the hydrothermal liquefaction (HTL) process, which converts sewage sludge into biocrude oil in a continuous plug–flow reactor using a linear Fresnel solar collector. The investigation focuses on the influence of key operational parameters, [...] Read more.
This paper discusses the thermal and exergy efficiency analysis of the hydrothermal liquefaction (HTL) process, which converts sewage sludge into biocrude oil in a continuous plug–flow reactor using a linear Fresnel solar collector. The investigation focuses on the influence of key operational parameters, including slurry flow rate, temperature, pressure, residence time, and the external heat transfer coefficient, on the overall efficiency of biocrude oil production. A detailed thermodynamic evaluation was conducted using process simulation principles and a kinetic model to assess mass and energy balances within the HTL reaction, considering heat and mass momentum exchange in a multiphase system using UDF. The reactor’s receiver, a copper absorber tube, has a total length of 20 m and is designed in a coiled configuration from the base to enhance heat absorption efficiency. To optimize the thermal performance of biomass conversion in the HTL process, a Computational Fluid Dynamics–Discrete Element Method (CFD-DEM) coupling numerical method approach was employed to investigate improved thermal performance by obtaining a heat source solely through solar energy. This numerical modeling approach allows for an in-depth assessment of heat transfer mechanisms and fluid-particle interactions, ensuring efficient energy utilization and sustainable process development. The findings contribute to advancing solar-driven HTL technologies by maximizing thermal efficiency and minimizing external energy requirements. Full article
Show Figures

Graphical abstract

18 pages, 2468 KB  
Article
Optimization Study of Hydrothermal Liquefaction Sewage Sludge to Biocrude Oil in Continuous Multiphase Plug Flow Reactor
by Artur Wodołażski and Adam Smoliński
Processes 2025, 13(4), 976; https://doi.org/10.3390/pr13040976 - 25 Mar 2025
Cited by 4 | Viewed by 2623
Abstract
This paper provides an optimization analysis of the hydrothermal liquefaction (HTL) process of sewage sludge to biocrude oil in a continuous plug-flow reactor. The increase in flow rate led to enhanced swirling flow, which significantly improved convective heat transfer. The composition and yield [...] Read more.
This paper provides an optimization analysis of the hydrothermal liquefaction (HTL) process of sewage sludge to biocrude oil in a continuous plug-flow reactor. The increase in flow rate led to enhanced swirling flow, which significantly improved convective heat transfer. The composition and yield of biocrude oil produced in the process (HTL) can vary significantly depending on the type of feedstock used. Using process simulation principles and a kinetic model, this study thoroughly evaluated the mass and energy balance of the HTL reaction, considering heat and mass momentum exchange in a multiphase system. Therefore, it is useful to use a transient flow model to determine the influence of process parameters on optimization. A parametric study with multiphase profiles along the reactor axis allowed tracing of interphase flow trajectories for optimal conditions in order to maximize the process efficiency of biocrude oil production. Through optimization of process parameters, there was a significant improvement in the conversion of sewage sludge to biocrude oil in the continuous HTL process. The optimal conditions were where the reaction mass maintained in the liquid phase enabled the stabilization of process parameters, preventing evaporation and heat loss by increasing the energy process efficiency. Full article
(This article belongs to the Section Energy Systems)
Show Figures

Figure 1

Back to TopTop