Hydrothermal Liquefaction of Structurally Diverse Lignins: Insights into Biocrude Yield, Fuel Properties, and Reaction Mechanisms
Abstract
1. Introduction
2. Materials and Methods
2.1. Materials
2.2. Hydrothermal Liquefaction
2.3. Biocrude Characterization
3. Results and Discussion
3.1. Effect of Lignin Type and HTL Temperature on Biocrude Yield
3.2. Effect of Lignin Type and HTL Temperature on Fuel Properties of Biocrude
| Lignin Type | Temperature (°C) | Elemental Composition a | HHV c (MJ/kg) | ||||
|---|---|---|---|---|---|---|---|
| C (%) | H (%) | N (%) | S (%) | O b (%) | |||
| AL | Raw | 52.7 ± 0.2 | 4.9 ± 0.1 | 0.5 ± 0.1 | 3.7 ± 0.1 | 21.5 ± 0.7 | 21.5 ± 0.1 |
| 270 | 68.2 ± 0.7 | 6.4 ± 0.0 | 0.3 ± 0.2 | 0.4 ± 0.2 | 24.1 ± 0.7 | 28.1 ± 0.3 | |
| 290 | 70.2 ± 0.0 | 7.5 ± 0.1 | 0.3 ± 0.0 | 0.7 ± 0.0 | 20.8 ± 0.1 | 31.0 ± 0.2 | |
| 310 | 69.4 ± 0.3 | 6.7 ± 0.0 | 0.4 ± 0.2 | 0.8 ± 0.1 | 22.3 ± 0.2 | 29.3 ± 0.1 | |
| DAL | Raw | 48.4 ± 0.0 | 4.3 ± 0.0 | 0.6 ± 0.0 | 4.7 ± 0.1 | 29.8 ± 0.6 | 17.7 ± 0.0 |
| 270 | 63.1 ± 1.9 | 6.3 ± 0.4 | 0.2 ± 0.0 | 2.3 ± 1.0 | 28.0 ± 1.3 | 25.8 ± 1.4 | |
| 290 | 63.9 ± 0.5 | 7.1 ± 0.1 | 0.2 ± 0.0 | 5.2 ± 0.1 | 23.5 ± 0.6 | 28.3 ± 0.4 | |
| 310 | 62.0 ± 0.7 | 6.4 ± 0.2 | 0.2 ± 0.0 | 3.2 ± 0.2 | 28.4 ± 1.1 | 25.5 ± 0.7 | |
| OL | Raw | 62.2 ± 0.2 | 4.9 ± 0.0 | 1.1 ± 0.1 | 0.0 ± 0.0 | 31.9 ± 0.3 | 22.4 ± 0.2 |
| 270 | 64.6 ± 0.1 | 6.3 ± 0.0 | 0.5 ± 0.0 | 0.0 ± 0.0 | 27.9 ± 0.5 | 26.0 ± 0.1 | |
| 290 | 65.7 ± 0.3 | 6.4 ± 0.1 | 0.6 ± 0.2 | 0.0 ± 0.0 | 27.1 ± 0.6 | 26.7 ± 0.4 | |
| 310 | 67.7 ± 0.0 | 6.0 ± 0.0 | 0.4 ± 0.0 | 0.0 ± 0.0 | 25.8 ± 0.0 | 27.0 ± 0.0 | |
| LS | Raw | 37.8 ± 0.2 | 4.6 ± 0.3 | 0.6 ± 0.0 | 7.5 ± 0.1 | 22.9 ± 1.4 | 16.1 ± 0.1 |
| 270 | 64.5 ± 0.3 | 7.7 ± 0.1 | 0.3 ± 0.0 | 7.9 ± 0.2 | 19.7 ± 0.3 | 30.3 ± 0.2 | |
| 290 | 60.7 ± 0.5 | 6.8 ± 0.1 | 0.3 ± 0.0 | 11.6 ± 0.6 | 20.6 ± 0.7 | 27.9 ± 0.4 | |
| 310 | 63.0 ± 1.4 | 7.0 ± 0.2 | 0.3 ± 0.0 | 8.6 ± 2.7 | 21.0 ± 2.1 | 28.6 ± 0.9 | |
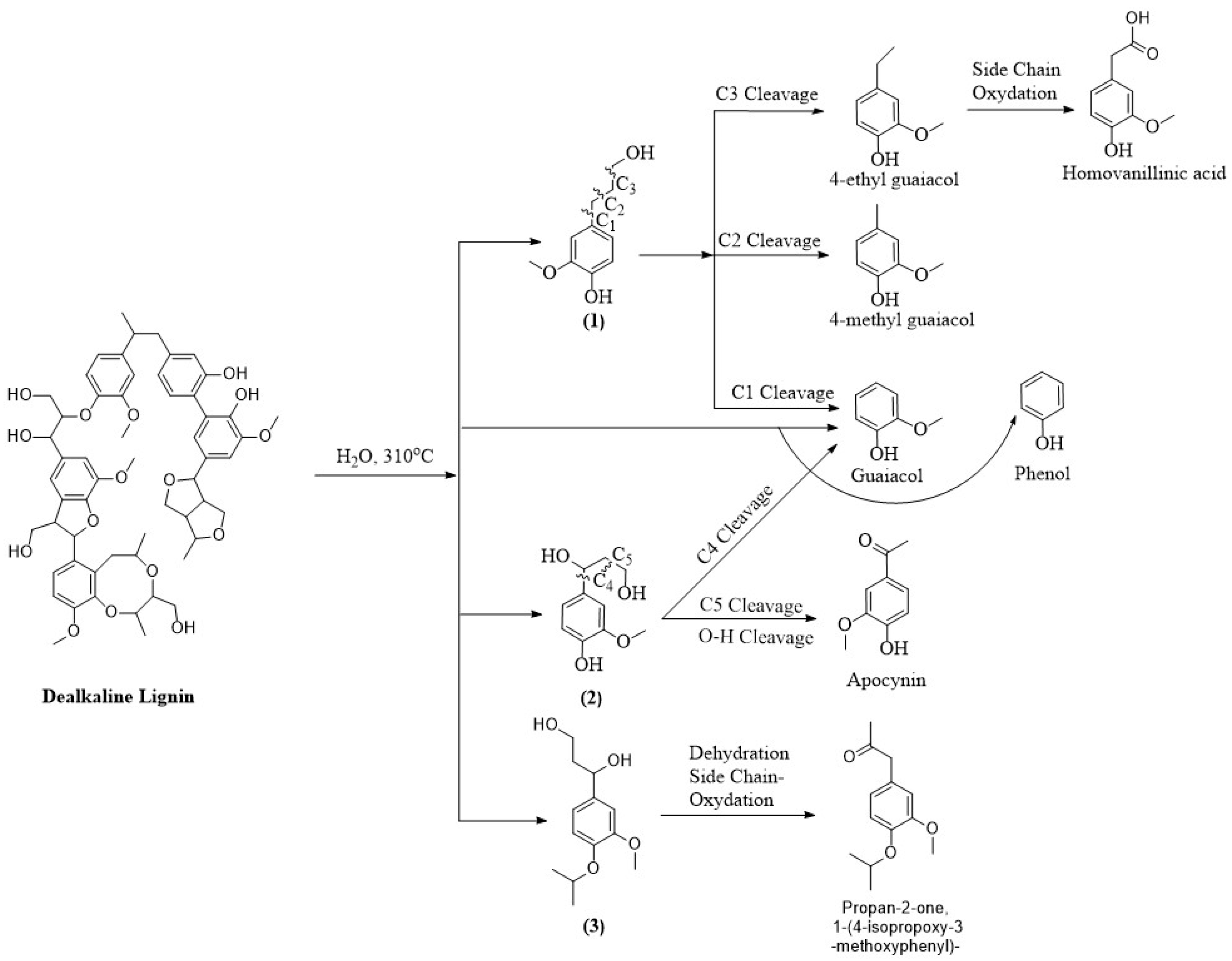
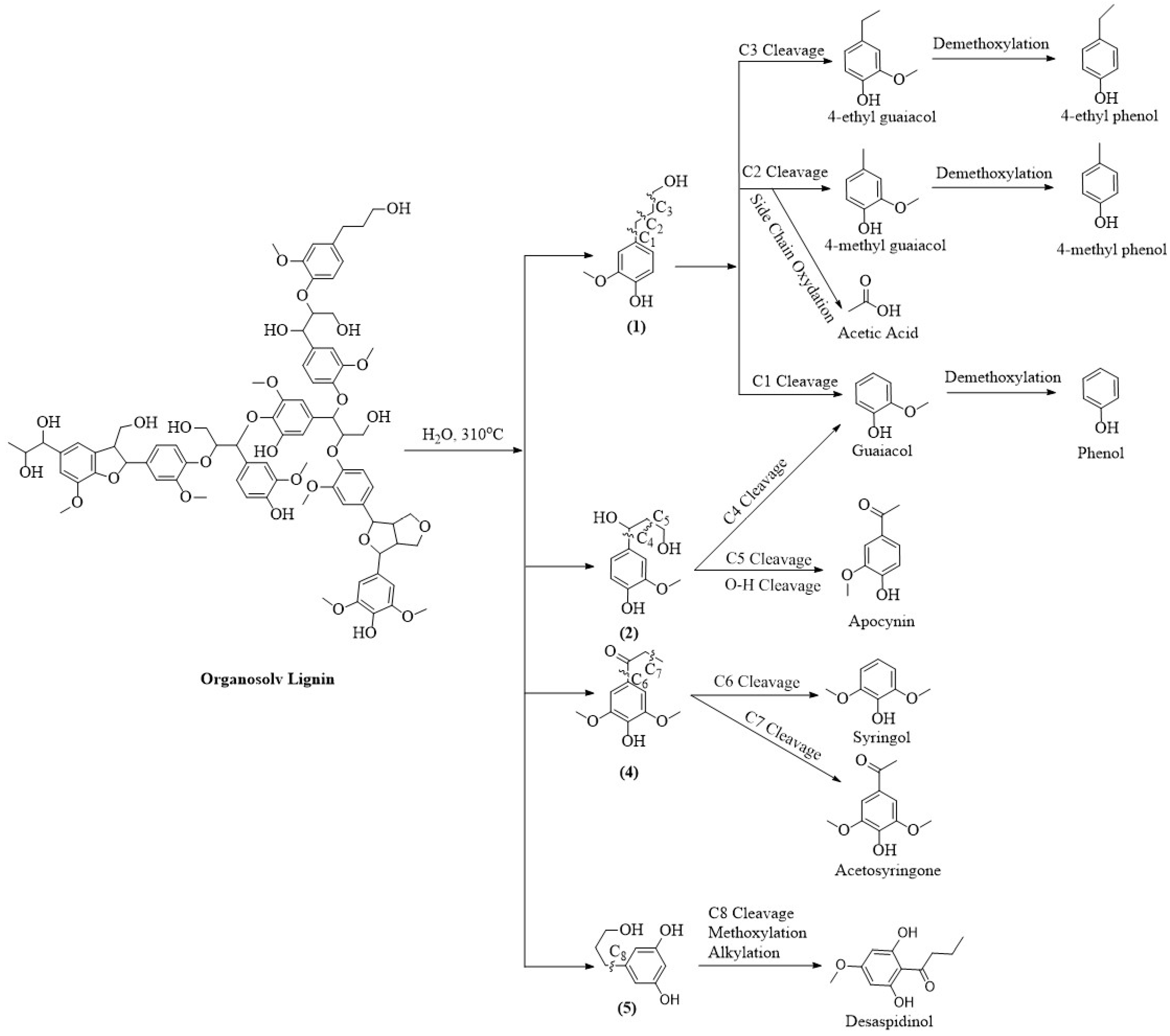
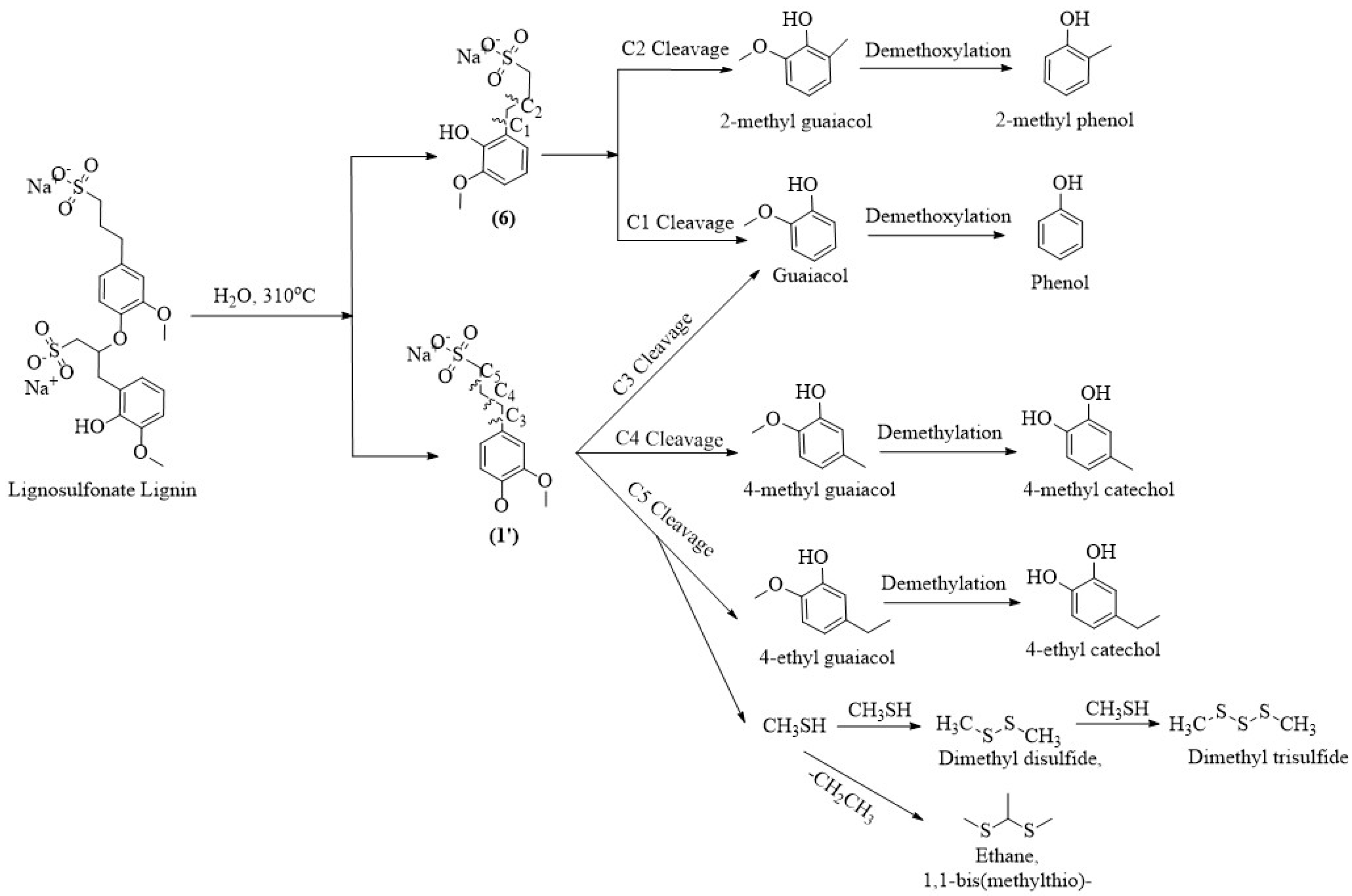
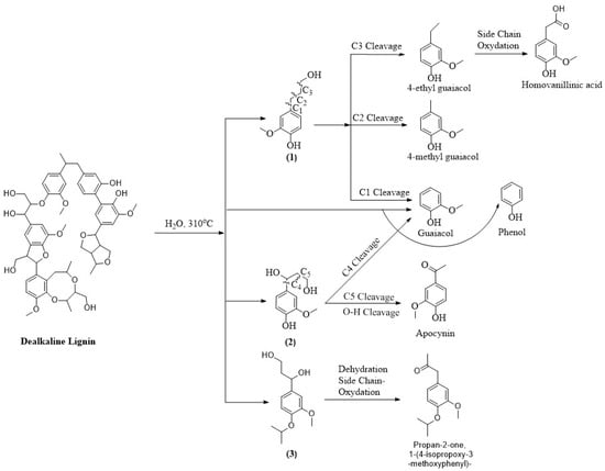
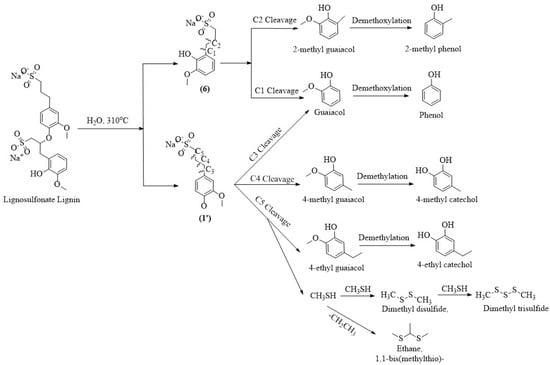
3.3. Molecular Compound Distribution of Biocrude and Its Formation Pathway
4. Conclusions
Supplementary Materials
Author Contributions
Funding
Data Availability Statement
Conflicts of Interest
References
- Chauhan, P.S.; Agrawal, R.; Satlewal, A.; Kumar, R.; Gupta, R.P.; Ramakumar, S.S.V. Next Generation Applications of Lignin Derived Commodity Products, Their Life Cycle, Techno-Economics and Societal Analysis. Int. J. Biol. Macromol. 2022, 197, 179–200. [Google Scholar] [CrossRef] [PubMed]
- Sharma, V.; Tsai, M.-L.; Nargotra, P.; Chen, C.-W.; Sun, P.-P.; Singhania, R.R.; Patel, A.K.; Dong, C.-D. Journey of Lignin from a Roadblock to Bridge for Lignocellulose Biorefineries: A Comprehensive Review. Sci. Total Environ. 2023, 861, 160560. [Google Scholar] [CrossRef] [PubMed]
- Nargotra, P.; Sharma, V.; Gupta, M.; Kour, S.; Bajaj, B.K. Application of Ionic Liquid and Alkali Pretreatment for Enhancing Saccharification of Sunflower Stalk Biomass for Potential Biofuel-Ethanol Production. Bioresour. Technol. 2018, 267, 560–568. [Google Scholar] [CrossRef]
- Sivagurunathan, P.; Raj, T.; Mohanta, C.S.; Semwal, S.; Satlewal, A.; Gupta, R.P.; Puri, S.K.; Ramakumar, S.S.V.; Kumar, R. 2G Waste Lignin to Fuel and High Value-Added Chemicals: Approaches, Challenges and Future Outlook for Sustainable Development. Chemosphere 2021, 268, 129326. [Google Scholar] [CrossRef]
- Moretti, C.; Corona, B.; Hoefnagels, R.; Vural-Gürsel, I.; Gosselink, R.; Junginger, M. Review of Life Cycle Assessments of Lignin and Derived Products: Lessons Learned. Sci. Total Environ. 2021, 770, 144656. [Google Scholar] [CrossRef] [PubMed]
- Wang, S.; Bai, J.; Innocent, M.T.; Wang, Q.; Xiang, H.; Tang, J.; Zhu, M. Lignin-Based Carbon Fibers: Formation, Modification and Potential Applications. Green Energy Environ. 2022, 7, 578–605. [Google Scholar] [CrossRef]
- Kraft Lignin Market. Market.us. Available online: https://market.us/report/global-kraft-lignin-market/ (accessed on 5 September 2025).
- Anukam, A.; Berghel, J.; Henrikson, G.; Frodeson, S.; Ståhl, M. A Review of the Mechanism of Bonding in Densified Biomass Pellets. Renew. Sustain. Energy Rev. 2021, 148, 111249. [Google Scholar] [CrossRef]
- Chen, H.; Wan, K.; Zheng, F.; Zhang, Z.; Zhang, Y.; Long, D. Mechanism Insight into Photocatalytic Conversion of Lignin for Valuable Chemicals and Fuels Production: A State-of-the-Art Review. Renew. Sustain. Energy Rev. 2021, 147, 111217. [Google Scholar] [CrossRef]
- M.R.F. Lignosulfonate Market Size, Share & Industry Report 2034. Available online: https://www.marketresearchfuture.com/reports/lignosulfonate-market-26116 (accessed on 6 August 2025).
- Rabelo, S.C.; Nakasu, P.Y.S.; Scopel, E.; Araújo, M.F.; Cardoso, L.H.; Costa, A.C. da Organosolv Pretreatment for Biorefineries: Current Status, Perspectives, and Challenges. Bioresour. Technol. 2023, 369, 128331. [Google Scholar] [CrossRef]
- Bajwa, D.S.; Pourhashem, G.; Ullah, A.H.; Bajwa, S.G. A Concise Review of Current Lignin Production, Applications, Products and Their Environmental Impact. Ind. Crops Prod. 2019, 139, 111526. [Google Scholar] [CrossRef]
- Melro, E.; Filipe, A.; Sousa, D.; Valente, A.J.M.; Romano, A.; Antunes, F.E.; Medronho, B. Dissolution of Kraft Lignin in Alkaline Solutions. Int. J. Biol. Macromol. 2020, 148, 688–695. [Google Scholar] [CrossRef]
- Chen, Z.; Li, J.; Hu, S.; Zhou, X.; Zhang, H.; Yue, F. Reaction Pathways of Lignin Phenolation in Alkaline Medium and the Compatibility for Integrated Phenolation-Kraft Pulping Process. Ind. Crops Prod. 2025, 230, 121092. [Google Scholar] [CrossRef]
- Wang, H.; Male, J.; Wang, Y. Recent Advances in Hydrotreating of Pyrolysis Bio-Oil and Its Oxygen-Containing Model Compounds. ACS Catal. 2013, 3, 1047–1070. [Google Scholar] [CrossRef]
- Libretti, C.; Correa, L.S.; Meier, M.A.R. From Waste to Resource: Advancements in Sustainable Lignin Modification. Green Chem. 2024, 26, 4358–4386. [Google Scholar] [CrossRef]
- Zhang, W.; Qiu, X.; Wang, C.; Zhong, L.; Fu, F.; Zhu, J.; Zhang, Z.; Qin, Y.; Yang, D.; Xu, C.C. Lignin Derived Carbon Materials: Current Status and Future Trends. Carbon Res. 2022, 1, 14. [Google Scholar] [CrossRef]
- Akiya, N.; Savage, P.E. Roles of Water for Chemical Reactions in High-Temperature Water. Chem. Rev. 2002, 102, 2725–2750. [Google Scholar] [CrossRef]
- Abbas, S.C.; Alam, A.; Mian, M.M.; Walker, C.; Ni, Y. Hydrothermal Liquefaction of Sewage Sludge for Circular Bioeconomy: Focus on Lignocellulose Wastes, Microplastics, and Pharmaceuticals. J. Bioresour. Bioprod. 2025, 10, 170–186. [Google Scholar] [CrossRef]
- Motavaf, B.; Savage, P.E. Effect of Process Variables on Food Waste Valorization via Hydrothermal Liquefaction. ACS EST Eng. 2021, 1, 363–374. [Google Scholar] [CrossRef]
- Usman, M.; Cheng, S.; Boonyubol, S.; Cross, J.S. From Biomass to Biocrude: Innovations in Hydrothermal Liquefaction and Upgrading. Energy Convers. Manag. 2024, 302, 118093. [Google Scholar] [CrossRef]
- Yang, T.; Liu, Z.; Li, B.; Zhang, H.; Wang, H. Experimental Study on Preparation of Bio-Oil by Hydrothermal Liquefaction of Three Kinds of Lignin. J. Fuel Chem. Technol. 2023, 51, 1084–1095. [Google Scholar] [CrossRef]
- Lui, Y.W.; Tao, Q.; Akien, G.R.; Yuen, A.K.L.; Montoya, A.; Chan, B.; Lui, M.Y. Hydrothermal Depolymerization of Different Lignins: Insights into Structures and Reactivities. Int. J. Biol. Macromol. 2025, 314, 144293. [Google Scholar] [CrossRef] [PubMed]
- Halleraker, H.V.; Kalogiannis, K.; Lappas, A.; Castro, R.C.A.; Roberto, I.C.; Mussatto, S.I.; Barth, T. The Consistency of Yields and Chemical Composition of HTL Bio-Oils from Lignins Produced by Different Preprocessing Technologies. Energies 2022, 15, 4707. [Google Scholar] [CrossRef]
- Hashmi, S.F.; Meriö-Talvio, H.; Hakonen, K.J.; Ruuttunen, K.; Sixta, H. Hydrothermolysis of Organosolv Lignin for the Production of Bio-Oil Rich in Monoaromatic Phenolic Compounds. Fuel Process. Technol. 2017, 168, 74–83. [Google Scholar] [CrossRef]
- Kang, S.; Li, X.; Fan, J.; Chang, J. Classified Separation of Lignin Hydrothermal Liquefied Products. Ind. Eng. Chem. Res. 2011, 50, 11288–11296. [Google Scholar] [CrossRef]
- Katongtung, T.; Onsree, T.; Tippayawong, N. Machine Learning Prediction of Biocrude Yields and Higher Heating Values from Hydrothermal Liquefaction of Wet Biomass and Wastes. Bioresour. Technol. 2022, 344, 126278. [Google Scholar] [CrossRef]
- Nguyen, T.D.H.; Maschietti, M.; Åmand, L.-E.; Vamling, L.; Olausson, L.; Andersson, S.-I.; Theliander, H. The Effect of Temperature on the Catalytic Conversion of Kraft Lignin Using Near-Critical Water. Bioresour. Technol. 2014, 170, 196–203. [Google Scholar] [CrossRef]
- Kumar, A.; Yadav, P.; Reddy, S.N. Catalytic (Copper) Hydrothermal Liquefaction for Lignin to Produce High Quality Bio-Oil and Nano Cu Carbon Hybrids Material. Chem. Eng. Sci. 2023, 270, 118548. [Google Scholar] [CrossRef]
- Biswas, B.; Kumar, A.; Kaur, R.; Krishna, B.B.; Bhaskar, T. Catalytic Hydrothermal Liquefaction of Alkali Lignin over Activated Bio-Char Supported Bimetallic Catalyst. Bioresour. Technol. 2021, 337, 125439. [Google Scholar] [CrossRef]
- Channiwala, S.A.; Parikh, P.P. A Unified Correlation for Estimating HHV of Solid, Liquid and Gaseous Fuels. Fuel 2002, 81, 1051–1063. [Google Scholar] [CrossRef]
- Saha, N.; Banivaheb, S.; Toufiq Reza, M. Towards Solvothermal Upcycling of Mixed Plastic Wastes: Depolymerization Pathways of Waste Plastics in Sub- and Supercritical Toluene. Energy Convers. Manag. X 2022, 13, 100158. [Google Scholar] [CrossRef]
- Helander, M.; Theliander, H.; Lawoko, M.; Henriksson, G.; Zhang, L.; Lindström, M.E. Fractionation of Technical Lignin: Molecular Mass and pH Effects. BioResources 2013, 8, 2270–2282. [Google Scholar] [CrossRef]
- Latham, K.G.; Matsakas, L.; Figueira, J.; Rova, U.; Christakopoulos, P.; Jansson, S. Examination of How Variations in Lignin Properties from Kraft and Organosolv Extraction Influence the Physicochemical Characteristics of Hydrothermal Carbon. J. Anal. Appl. Pyrolysis 2021, 155, 105095. [Google Scholar] [CrossRef]
- Huang, J.; Wu, S.; Cheng, H.; Lei, M.; Liang, J.; Tong, H. Theoretical Study of Bond Dissociation Energies for Lignin Model Compounds. J. Fuel Chem. Technol. 2015, 43, 429–436. [Google Scholar] [CrossRef]
- Wörner, M.; Werner, L.; Hornung, U.; Islongo Canabarro, N.; Baudouin, D.; Dahmen, N. The Impact of Sulfur-Containing Inorganic Compounds during the Depolymerization of Lignin by Hydrothermal Liquefaction of Black Liquor. Energy Fuels 2024, 38, 6036–6047. [Google Scholar] [CrossRef]
- TCI AMERICA. Lignin 8061-51-6. Available online: https://www.tcichemicals.com/US/en/p/L0045 (accessed on 13 May 2025).
- Deshpande, R.; Sundvall, L.; Grundberg, H.; Henriksson, G.; Lawoko, M. Structural Basis for Lignin Recalcitrance during Sulfite Pulping for Production of Dissolving Pulp from Pine Heartwood. Ind. Crops Prod. 2022, 177, 114391. [Google Scholar] [CrossRef]
- Xu, D.; Savage, P.E. Effect of Temperature, Water Loading, and Ru/C Catalyst on Water-Insoluble and Water-Soluble Biocrude Fractions from Hydrothermal Liquefaction of Algae. Bioresour. Technol. 2017, 239, 1–6. [Google Scholar] [CrossRef] [PubMed]
- Mishra, S.; Mohanty, K. Co-HTL of Domestic Sewage Sludge and Wastewater Treatment Derived Microalgal Biomass—An Integrated Biorefinery Approach for Sustainable Biocrude Production. Energy Convers. Manag. 2020, 204, 112312. [Google Scholar] [CrossRef]
- Hu, Y.; Hu, M.; Jiang, H.; Yu, P.; Yang, W. Co-Liquefaction of Livestock Manure and Food Waste: Synergistic Effects and Product Combustion Performance. Appl. Energy 2023, 341, 121073. [Google Scholar] [CrossRef]
- Duan, D.; Zhao, Y.; Fan, L.; Dai, L.; Lv, J.; Ruan, R.; Wang, Y.; Liu, Y. Low-Power Microwave Radiation-Assisted Depolymerization of Ethanol Organosolv Lignin in Ethanol/Formic Acid Mixtures. BioResources 2017, 12, 5308–5320. [Google Scholar] [CrossRef]
- Toledano, A.; Serrano, L.; Pineda, A.; Romero, A.A.; Luque, R.; Labidi, J. Microwave-Assisted Depolymerisation of Organosolv Lignin via Mild Hydrogen-Free Hydrogenolysis: Catalyst Screening. Appl. Catal. B Environ. 2014, 145, 43–55. [Google Scholar] [CrossRef]
- Dutta, K.; Singh, A. Chemical Modification of Lignin and Thereafter Grafting with Lactic Acid for Flexible Polymer Film Preparation. J. Appl. Polym. Sci. 2022, 139, 52320. [Google Scholar] [CrossRef]
- Peng, M.; Muraishi, T.; Hou, X.; Zhao, M.; Kamiya, K.; Qian, E.W. Oxidative Depolymerization of Lignin to Vanillin and Lactic Acid in an Aqueous Solution. Fuel 2023, 348, 128486. [Google Scholar] [CrossRef]
- Wörner, M.; Barsuhn, A.; Zevaco, T.; Hornung, U.; Dahmen, N. From Pulp to Aromatic Products─Reaction Pathways of Lignin Depolymerization. Energy Fuels 2024, 38, 6020–6035. [Google Scholar] [CrossRef]
- Wibowo, E.S.; Park, B.-D. Chemical and Thermal Characteristics of Ion-Exchanged Lignosulfonate. Molecules 2023, 28, 2755. [Google Scholar] [CrossRef] [PubMed]
- Khokarale, S.G.; Le-That, T.; Mikkola, J.-P. Carbohydrate Free Lignin: A Dissolution–Recovery Cycle of Sodium Lignosulfonate in a Switchable Ionic Liquid System. ACS Sustain. Chem. Eng. 2016, 4, 7032–7040. [Google Scholar] [CrossRef]






| Compound Types | Peak Area (%) | |||
|---|---|---|---|---|
| AL | DAL | OL | LS | |
| Phenol | 3.9 | 2.8 | 9.3 | 9.9 |
| Alkyl phenols | 0.0 | 0.0 | 6.8 | 12.4 |
| Guaiacol | 46.6 | 69.5 | 13.4 | 5.6 |
| Alkyl guaiacols | 26.2 | 10.9 | 5.7 | 0.6 |
| Other guaiacols | 2.4 | 11.6 | 1.9 | 0.0 |
| Catechols | 0.5 | 0.0 | 0.0 | 15.6 |
| Syringols | 0.0 | 1.0 | 26.8 | 0.3 |
| Veratroles | 13.0 | 0.0 | 0.0 | 0.0 |
| Desaspidinol | 0.0 | 0.0 | 12.1 | 0.0 |
| Aliphatic carbonyls | 1.4 | 0.8 | 4.9 | 15.3 |
| Sulfur-containing | 0.0 | 3.4 | 0.0 | 18.3 |
Disclaimer/Publisher’s Note: The statements, opinions and data contained in all publications are solely those of the individual author(s) and contributor(s) and not of MDPI and/or the editor(s). MDPI and/or the editor(s) disclaim responsibility for any injury to people or property resulting from any ideas, methods, instructions or products referred to in the content. |
© 2025 by the authors. Licensee MDPI, Basel, Switzerland. This article is an open access article distributed under the terms and conditions of the Creative Commons Attribution (CC BY) license (https://creativecommons.org/licenses/by/4.0/).
Share and Cite
Rahman, M.M.; Reza, T. Hydrothermal Liquefaction of Structurally Diverse Lignins: Insights into Biocrude Yield, Fuel Properties, and Reaction Mechanisms. Energies 2025, 18, 4773. https://doi.org/10.3390/en18174773
Rahman MM, Reza T. Hydrothermal Liquefaction of Structurally Diverse Lignins: Insights into Biocrude Yield, Fuel Properties, and Reaction Mechanisms. Energies. 2025; 18(17):4773. https://doi.org/10.3390/en18174773
Chicago/Turabian StyleRahman, Md Mostafizur, and Toufiq Reza. 2025. "Hydrothermal Liquefaction of Structurally Diverse Lignins: Insights into Biocrude Yield, Fuel Properties, and Reaction Mechanisms" Energies 18, no. 17: 4773. https://doi.org/10.3390/en18174773
APA StyleRahman, M. M., & Reza, T. (2025). Hydrothermal Liquefaction of Structurally Diverse Lignins: Insights into Biocrude Yield, Fuel Properties, and Reaction Mechanisms. Energies, 18(17), 4773. https://doi.org/10.3390/en18174773

