Sign in to use this feature.

Years

Between: -

Subjects

remove_circle_outline
remove_circle_outline
remove_circle_outline
remove_circle_outline
remove_circle_outline
remove_circle_outline
remove_circle_outline
remove_circle_outline
remove_circle_outline

Journals

Article Types

Countries / Regions

Search Results (74)

Search Parameters:
Keywords = bicycle stabilization

Order results
Result details
Results per page
Select all
Export citation of selected articles as:
30 pages, 1249 KB  
Article
Frequency-Based Examination of Tire-Specific Slips and Wheelbase Impact on Lateral Guidance Performance
by Gaël Atheupe, Gordan Kongue Meli, Valentin Carvalho and Anton Van Wyk
Vehicles 2026, 8(4), 78; https://doi.org/10.3390/vehicles8040078 - 3 Apr 2026
Viewed by 264
Abstract
Contemporary vehicle development, particularly for overactuated platforms, demands design methodologies that bridge the gap between high-level performance targets and hardware selection. Existing physics-based models, while essential, offer limited utility for this systems-level design task. This paper introduces a novel analytical framework for vehicle [...] Read more.
Contemporary vehicle development, particularly for overactuated platforms, demands design methodologies that bridge the gap between high-level performance targets and hardware selection. Existing physics-based models, while essential, offer limited utility for this systems-level design task. This paper introduces a novel analytical framework for vehicle lateral dynamics, predicated on a reformulated single-track model that integrates the concept of tire-specific slip. The derived specific slip-based bicycle model enables a comprehensive frequency-domain analysis of handling characteristics, articulated through three fundamental metrics: the front and rear axle specific slips and the vehicle wheelbase. Our results quantify the influence of these parameters on key handling attributes, including stability, responsiveness, and roll susceptibility. This work provides a constitutive tool for the model-based design of next-generation vehicles, enabling the a priori selection and optimization of chassis hardware to meet predefined performance objectives and informing the synthesis of advanced motion control systems. Full article
(This article belongs to the Special Issue Vehicle Design Processes, 3rd Edition)
Show Figures

Figure 1

15 pages, 2365 KB  
Article
Ion-Pair Mediated Valence Isomerization of Selected Cyclic C7H8 Molecules Trapped in Insertion Complexes
by Chen Liang and Fedor Y. Naumkin
Int. J. Mol. Sci. 2026, 27(7), 3086; https://doi.org/10.3390/ijms27073086 - 28 Mar 2026
Viewed by 276
Abstract
Highly polar M-mol-X (M = alkali metal, mol = molecule, X = halogen) insertion complexes have been predicted to offer potential practical applications, including molecular interactions with light, ion-pair induced isomerization, etc. In the present work, the insertion complexes of the seven-membered, fused [...] Read more.
Highly polar M-mol-X (M = alkali metal, mol = molecule, X = halogen) insertion complexes have been predicted to offer potential practical applications, including molecular interactions with light, ion-pair induced isomerization, etc. In the present work, the insertion complexes of the seven-membered, fused bicyclic norcaradiene and its monocyclic isomer trapped in Li-I, Na-I, and K-I counterion pairs were investigated using ab initio methods. The structures, stability, polarities, and simulated infrared spectra are analyzed and the effects of the insertion on the norcaradiene to cycloheptatriene isomerization process are examined. Furthermore, an uncommon bond between iodine and a fully substituted carbon atom is reported upon and hypothesized to be catalyzed by the presence of the cation in the insertion complexes. Full article
Show Figures

Figure 1

7 pages, 194 KB  
Proceeding Paper
Muscle Activity of Hip Adductor During Closed Kinetic Chain Movement
by Atsushi Iwashita, Yuto Konishi, Iori Arisue, Genki Adachi and Satoshi Nakanishi
Eng. Proc. 2026, 129(1), 26; https://doi.org/10.3390/engproc2026129026 - 27 Mar 2026
Viewed by 284
Abstract
The closed kinetic chain is an essential movement method for humans in daily life, and is also important as a training method. However, there have been few studies focusing on the hip adductor muscles. We used electromyography to measure the muscle activity of [...] Read more.
The closed kinetic chain is an essential movement method for humans in daily life, and is also important as a training method. However, there have been few studies focusing on the hip adductor muscles. We used electromyography to measure the muscle activity of the hip adductor muscles during walking and standing movements as part of daily living activities, as well as bicycle ergometer exercise and squats. Concerning the role of the adductor muscles, they are thought to stabilize the pelvis during the unilateral support phase when walking, and to act as hip extension and hip alignment adjustment during cycle ergometer exercise. By using electromyography and inertial sensors, the results of this study showed that wearable technologies can be used to quantify neuromuscular function during closed kinetic chain movements. The results serve as a reference for the development of rehabilitation devices, assistive technologies, and computational models that need the simulation of hip joint mechanics. Linking muscle activity data to engineering-based strategies enables precise musculoskeletal assessment and intervention beyond biological observation. Full article
15 pages, 1388 KB  
Article
Rheological Behavior and Molecular Interactions in Concentrated Polycarbosilane Solutions in Linear and Cyclic Hydrocarbon Solvents
by Mikhail S. Kuzin, Maria F. Lobanova, Pavel S. Gerasimenko, Maria V. Mironova, Sergey A. Legkov and Ivan Yu. Skvortsov
Polymers 2026, 18(5), 550; https://doi.org/10.3390/polym18050550 - 25 Feb 2026
Viewed by 437
Abstract
Concentrated solutions of polycarbosilane (PCS) are critically important for the development of continuous SiC precursor fibers, where solvent–polymer interactions govern rheology, viscoelastic stability, and spinnability. In this work, PCS solutions in two nonpolar hydrocarbon solvents with different molecular architectures as linear n-heptadecane [...] Read more.
Concentrated solutions of polycarbosilane (PCS) are critically important for the development of continuous SiC precursor fibers, where solvent–polymer interactions govern rheology, viscoelastic stability, and spinnability. In this work, PCS solutions in two nonpolar hydrocarbon solvents with different molecular architectures as linear n-heptadecane and bicyclic decalin were systematically investigated over a wide concentration range, with emphasis on the semi-dilute entangled and concentrated regimes relevant to solution-based fiber spinning. A combined experimental approach involving steady and oscillatory rheometry and Fourier transform infrared (FTIR) spectroscopy was used to elucidate the influence of solvent structure on solvation, viscoelastic response, microstructural organization, and local intermolecular interactions. Despite similar dilute-solution interaction parameters, the concentrated regimes exhibit pronounced solvent-dependent differences in elasticity and flow behavior. For the first time, linear heptadecane is identified as a viable and technologically promising solvent for PCS, enabling the formation of thermostable homogeneous concentrated solutions with enhanced deformability. This behavior opens a realistic pathway toward a new solution-based fiber-spinning route based on elasticity-controlled processing. The results demonstrate that solvent molecular geometry governs the structure–rheology–processability relationship of concentrated PCS systems rather than solubility parameters alone, providing a new framework for solvent selection in SiC precursor fiber technologies. Full article
(This article belongs to the Special Issue Silicon-Based Polymers: From Synthesis to Applications)
Show Figures

Figure 1

18 pages, 1259 KB  
Article
Impact of Late ARNI Initiation on Quality of Life and Functional Capacity in CRT-Treated HFrEF Patients: A Single-Centre Cohort Study
by Oana Patru, Silvia Luca, Dragos Cozma, Cristina Vacarescu, Simina Crisan, Andreea Bena, Mirela Virtosu, Adrian Sebastian Zus, Constantin Tudor Luca and Simona Ruxanda Dragan
J. Clin. Med. 2026, 15(4), 1617; https://doi.org/10.3390/jcm15041617 - 19 Feb 2026
Viewed by 436
Abstract
Background/Objectives: Cardiac resynchronization therapy (CRT) is a cornerstone treatment for heart failure with reduced ejection fraction (HFrEF), yet many patients remain symptomatic despite long-term electrical optimization. Although sacubitril/valsartan (ARNI) is central to guideline-directed medical therapy (GDMT), data on its late initiation in patients [...] Read more.
Background/Objectives: Cardiac resynchronization therapy (CRT) is a cornerstone treatment for heart failure with reduced ejection fraction (HFrEF), yet many patients remain symptomatic despite long-term electrical optimization. Although sacubitril/valsartan (ARNI) is central to guideline-directed medical therapy (GDMT), data on its late initiation in patients with chronic CRT are scarce. This study evaluated the impact of delayed ARNI initiation on clinical status, functional capacity, and cardiac remodelling in a real-world CRT population. Methods: We performed a single-centre, retrospective observational study including 76 HFrEF patients with chronic CRT who started ARNI between 2022 and late 2024. Patients underwent standardized assessment at baseline (T0) and after 12 ± 3 months (T1), including clinical evaluation, 12-item Kansas City Cardiomyopathy Questionnaire (KCCQ-12), symptom-limited bicycle exercise testing, and comprehensive echocardiography. The primary endpoint was change in quality of life (QoL). Secondary endpoints included exercise capacity, echocardiographic reverse remodelling, NYHA class, loop diuretic dose, and device-detected arrhythmias. Dose–response and multidimensional response patterns were explored. Results: KCCQ-12 increased from 52.96 ± 16.33 to 75.55 ± 18.12 (Δ +22.59 ± 13.22, p < 0.001), with 89.5% achieving a clinically meaningful improvement. Exercise duration and peak workload improved significantly. LVEF increased from 35.08 ± 6.96% to 43.18 ± 8.42% (Δ +8.11%, p < 0.001), with reductions in left ventricular and atrial volumes. Loop diuretic dose decreased (median −10 mg/day furosemide equivalent, p < 0.001), and 26.3% discontinued diuretics. A lower prevalence of device-detected arrhythmias was observed at follow-up, from 34.2% to 6.6% (p < 0.001). Higher ARNI doses were associated with greater likelihood of clinical, functional, and structural response. Longer CRT duration reduced the probability of structural remodelling but not symptomatic or functional benefit. Conclusions: In patients with long-standing CRT, delayed ARNI initiation was associated with improvements in QoL, exercise capacity, cardiac remodelling, congestion status, and electrical stability. These findings suggest that CRT is not a therapeutic ceiling and that late ARNI initiation remains a valuable component of comprehensive GDMT. Full article
(This article belongs to the Special Issue Clinical Management of Patients with Heart Failure: 3rd Edition)
Show Figures

Figure 1

16 pages, 12627 KB  
Article
Forest Type Shapes Soil Microbial Carbon Metabolism: A Metagenomic Study of Subtropical Forests on Lushan Mountain
by Dan Xi, Feifei Zhu, Zhaochen Zhang, Saixia Zhou and Jiaxin Zhang
Microorganisms 2026, 14(1), 220; https://doi.org/10.3390/microorganisms14010220 - 17 Jan 2026
Viewed by 537
Abstract
Forest type strongly influences soil microbial community composition and associated carbon cycling, yet its influence on microbial functional traits remains poorly understood. In this study, metagenomics sequencing was used to investigate soil microbial communities and carbon metabolism genes across three forest types: deciduous [...] Read more.
Forest type strongly influences soil microbial community composition and associated carbon cycling, yet its influence on microbial functional traits remains poorly understood. In this study, metagenomics sequencing was used to investigate soil microbial communities and carbon metabolism genes across three forest types: deciduous broadleaf (DBF), mixed coniferous–broadleaf (CBMF), and coniferous forest (CF) at two soil depths (0–20 cm and 20–40 cm) on Lushan Mountain in subtropical China. The results showed that CF exhibited higher bacterial diversity and a distinct microbial composition, with an increase in Actinomycetota and Bacteroidota and a decrease in Acidobacteriota and Pseudomonadota. The Calvin cycle was the dominant carbon fixation pathway in all forests, while the relative abundance of secondary pathways (i.e., the 3-hydroxypropionate bi-cycle and reductive citrate cycle) varied significantly with forest type. Key carbon fixation genes (sucD, pckA) were more abundant in CF and CBMF, with higher levels of rpiA/B and ackA in DBF. Functional profiling further indicated that CF soils, especially in the surface layer, were enriched in glycoside hydrolases (GHs) and carbohydrate esterases (CEs), while CBMF showed a greater potential for starch and lignin degradation. Multivariate statistical analyses identified soil available phosphorus (AP) and pH as primary factors shaping microbial community variation, with AP emerging as being the dominant regulator of carbon-related functional gene abundance. Overall, the prevalence of these distinct genetic potentials across forest types underscores how vegetation composition may shape microbial functional traits, thereby influencing the stability and dynamics of the soil carbon pool in forest ecosystem. Full article
(This article belongs to the Special Issue Diversity, Function, and Ecology of Soil Microbial Communities)
Show Figures

Figure 1

14 pages, 3304 KB  
Article
Surface-Engineered Amino-Graphene Oxide Aerogel Functionalized with Cyclodextrin for Desulfurization and Denitrogenation in Oil Refining
by Zunbin Duan, Huiming Zhang, Qiang Tong, Yanfang Li, He Bian and Guanglei Zhang
Gels 2026, 12(1), 33; https://doi.org/10.3390/gels12010033 - 30 Dec 2025
Viewed by 435
Abstract
The selective removal of trace heteroatomic contaminants from fuel remains a critical challenge for clean combustion and refinery upgrading, particularly due to the chemical stability and structural similarity of sulfur- and nitrogen-containing aromatics. Herein, a surface-engineered graphene oxide aerogel functionalized with cyclodextrin ( [...] Read more.
The selective removal of trace heteroatomic contaminants from fuel remains a critical challenge for clean combustion and refinery upgrading, particularly due to the chemical stability and structural similarity of sulfur- and nitrogen-containing aromatics. Herein, a surface-engineered graphene oxide aerogel functionalized with cyclodextrin (β-CD-CONH-GO) is developed via covalent grafting to introduce well-defined host–guest recognition sites within a porous framework. Spectroscopic and microscopic characterizations confirm successful functionalization, preserved aerogel morphology, and accessible hybrid interfaces. The removal process for monocyclic, bicyclic, and tricyclic impurities is governed by synergistic molecular inclusion within the cyclodextrin cavity, interfacial hydrogen bonding, and secondary confinement provided by the aerogel porosity. Thus, the β-CD-CONH-GO exhibits efficient adsorption toward representative bicyclic impurities, and the removal performance follows the order of indole > quinoline > benzothiophene. Kinetic analysis demonstrates pseudo-second-order adsorption behavior, indicating chemisorption dominated by cooperative host–guest recognition and hydrogen bonding. It possesses removal selectivity even in mixed systems containing structurally similar aliphatic and aromatic competitors and maintains > 95% efficiency after five regeneration cycles via ethanol extraction, confirming superb durability. This study demonstrates a feasible pathway to design adsorbents for deep fuel refining and highlights cyclodextrin-based graphene hybrid aerogels as promising candidates for separations. Full article
(This article belongs to the Special Issue Synthesis and Application of Aerogel (2nd Edition))
Show Figures

Figure 1

5 pages, 1074 KB  
Short Note
(1S,4R)-4,7,7-Trimethyl-1-(1H-perimidin-2-yl)-2-oxabicyclo[2.2.1]heptan-3-one
by Elżbieta Speina, Krzysztof Łyczko and Adam Mieczkowski
Molbank 2025, 2025(4), M2111; https://doi.org/10.3390/M2111 - 16 Dec 2025
Viewed by 441
Abstract
Perimidine derivatives are versatile heterocycles with growing significance in medicinal chemistry and materials sciences. However, their structural variety remains limited. This study focused on the synthesis and crystal structure characterization of a new perimidine-based molecule. A bicyclic perimidine lactone, (1S,4R [...] Read more.
Perimidine derivatives are versatile heterocycles with growing significance in medicinal chemistry and materials sciences. However, their structural variety remains limited. This study focused on the synthesis and crystal structure characterization of a new perimidine-based molecule. A bicyclic perimidine lactone, (1S,4R)-4,7,7-trimethyl-1-(1H-perimidin-2-yl)-2-oxabicyclo[2.2.1]heptan-3-one (1), was synthesized through an intramolecular dehydration of a monoamide intermediate formed from 1,8-diaminonaphthalene and (1S)-(–)-camphanic chloride under basic conditions. The product was purified and crystallized from acetone, giving single crystals suitable for X-ray diffraction. Structural analysis revealed two stereogenic centers and crystallization in the chiral tetragonal P43212 space group, with stabilization through N—H···O and C—H···N hydrogen bonds as well as C—H···π interactions. Full article
(This article belongs to the Collection Heterocycle Reactions)
Show Figures

Figure 1

33 pages, 3737 KB  
Article
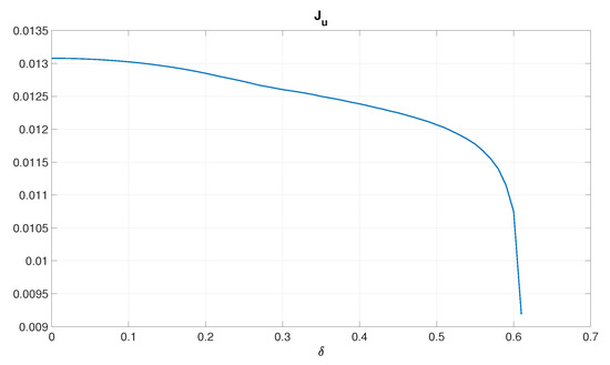
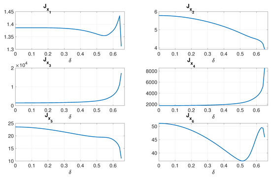
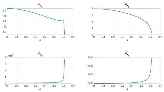
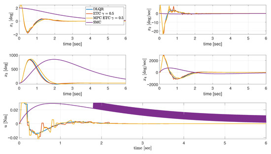
On Increasing the Energy Efficiency and Performance of a Bicycle Robot Stabilization—Towards Event-Triggered Control Considerations
by Adam Frański, Dariusz Horla and Raffaele Iervolino
Energies 2025, 18(23), 6146; https://doi.org/10.3390/en18236146 - 24 Nov 2025
Viewed by 635
Abstract
This paper addresses the critical problem of stabilizing an inherently unstable bicycle robot at low or zero speeds using advanced control strategies. The key objective is to develop a feedback controller that actively operates a handlebar, as well as a reaction wheel, maintaining [...] Read more.
This paper addresses the critical problem of stabilizing an inherently unstable bicycle robot at low or zero speeds using advanced control strategies. The key objective is to develop a feedback controller that actively operates a handlebar, as well as a reaction wheel, maintaining balance while keeping performance indices low, including energy consumption. It is the energy consumption that makes the platform attractive for the users by extending the time of operation, not only due to the actions connected to motor design and battery design, but to the control system itself. To design and verify the control law that enables stabilization, and reduces energy consumption, bicycle dynamics and controllers based on linear quadratic regulator (LQR) techniques are designed, along with their robustified variants accounting for actuator failures and model uncertainties, and an innovative event-triggered control (ETC) scheme to reduce control updates and energy use. Simulations demonstrate effective stabilization from various initial lean angles under realistic conditions, with robustness notably improved at zero speed, where balancing is most challenging. Extending control to include both reaction wheel and handlebar actuation enhances dynamic maneuverability and energy efficiency. The event-triggered approach significantly lowers computational and actuator energy demands by updating controls only when needed, reducing mechanical wear. This research contributes to electromobility by improving the control and energy efficiency of personal transport devices like electric bicycles and autonomous bicycles, which rely on stable balancing mechanisms for safety and user comfort. The findings support future experimental validation and IoT implementation, pushing forward controlled, energy-conscious stabilization for emerging personal electromobility solutions. Full article
Show Figures

Figure 1

24 pages, 1149 KB  
Article
Robust and Non-Fragile Path Tracking Control for Autonomous Vehicles
by Ilhan Lee and Jaewon Nah
Actuators 2025, 14(11), 510; https://doi.org/10.3390/act14110510 - 22 Oct 2025
Viewed by 942
Abstract
Path tracking is a fundamental function for autonomous vehicles, but its performance often degrades under parameter variations and controller fragility—an issue seldom addressed together in prior studies. This paper develops a robust non-fragile Linear Quadratic Regulator (LQR) using linear matrix inequality (LMI) optimization, [...] Read more.
Path tracking is a fundamental function for autonomous vehicles, but its performance often degrades under parameter variations and controller fragility—an issue seldom addressed together in prior studies. This paper develops a robust non-fragile Linear Quadratic Regulator (LQR) using linear matrix inequality (LMI) optimization, explicitly considering uncertainties in vehicle speed, mass, and cornering stiffness as well as gain perturbations from implementation. A two-degrees-of-freedom bicycle model is employed for controller design, and a weighted least-squares allocation method integrates multiple actuators, including front steering, rear steering, four-wheel independent drive, and braking. A double lane-change maneuver in CarSim evaluates the proposed design. The robust and non-fragile LQR maintains lateral offset within 0.02 m and overshoot below 1% under ±20% parameter variation, offering improved stability margins compared with the baseline LQR. The results highlight context-dependent actuator effects and clarify the trade-off between control complexity, robustness, and real-world applicability. Full article
(This article belongs to the Special Issue Feature Papers in Actuators for Surface Vehicles)
Show Figures

Figure 1

20 pages, 1205 KB  
Article
A Hybrid CNN–LSTM–Attention Mechanism Model for Anomaly Detection in Lithium-Ion Batteries of Electric Bicycles
by Zhaoyang Sun, Weiming Ye, Yuxin Mao and Yuan Sui
Batteries 2025, 11(10), 384; https://doi.org/10.3390/batteries11100384 - 20 Oct 2025
Cited by 1 | Viewed by 3458
Abstract
To improve the accuracy and stability of anomaly detection in lithium-ion batteries for electric bicycles, in this study, we propose a hybrid deep learning model that integrates a convolutional neural network (CNN), long short-term memory (LSTM) network, and attention mechanism to extract local [...] Read more.
To improve the accuracy and stability of anomaly detection in lithium-ion batteries for electric bicycles, in this study, we propose a hybrid deep learning model that integrates a convolutional neural network (CNN), long short-term memory (LSTM) network, and attention mechanism to extract local temporal features, capture long-term dependencies, and adaptively focus on key time segments around anomaly occurrences, respectively, thereby achieving a balance between local and global feature modeling. In terms of data preprocessing, separate feature sets are constructed for charging and discharging conditions, and sliding windows combined with min–max normalization are applied to generate model inputs. The model was trained and validated on large-scale real-world battery operation data. The experimental results demonstrate that the proposed method achieves high detection accuracy and robustness in terms of reconstruction error distribution, alarm rate stability, and Top-K anomaly consistency. The method can effectively identify various types of abnormal operating conditions in unlabeled datasets based on unsupervised learning. This study provides a transferable deep learning solution for enhancing the safety monitoring of electric bicycle batteries. Full article
(This article belongs to the Special Issue State-of-Health Estimation of Batteries)
Show Figures

Figure 1

20 pages, 24177 KB  
Article
Network-Wide GIS Mapping of Cycling Vibration Comfort: From Methodology to Real-World Implementation
by Jie Gao, Xixian Wu, Zijie Xie, Liang Song and Shandong Fang
Sensors 2025, 25(19), 6185; https://doi.org/10.3390/s25196185 - 6 Oct 2025
Cited by 1 | Viewed by 928
Abstract
Cycling-induced vibration significantly affects riding comfort, with road surface conditions and vehicle type identified as primary contributing factors. This study developed a vibration measurement system based on ISO 2631-1, and proposed a method for generating cycling comfort maps grounded in vibration severity levels. [...] Read more.
Cycling-induced vibration significantly affects riding comfort, with road surface conditions and vehicle type identified as primary contributing factors. This study developed a vibration measurement system based on ISO 2631-1, and proposed a method for generating cycling comfort maps grounded in vibration severity levels. Field measurements on 30 campus roads in Nanchang, China, used a Mountain Bike, Shared E-bike, and Shared Bicycle. Triaxial acceleration data were collected to evaluate vibration exposure, and comfort levels were classified to produce spatially resolved maps. Results show the proposed system has strong stability and adaptability across urban environments. The maps effectively captured vibration intensity variations along road segments. Among the three vehicle types, Mountain Bikes showed the lowest vibration exposure, with approximately 90% of segments rated as comfortable. Shared E-bike exhibited moderate vibration levels, with 42% of segments deemed uncomfortable, while Shared Bicycles experienced the highest vibration, with 80% of routes potentially inducing discomfort and only 1% meeting comfort standards. This study offers a framework for objective acquisition and visualization of cycling vibration data. The developed system and mapping method provide tools for assessing vehicle vibration, guiding route selection, and offer potential value for road quality monitoring. Full article
Show Figures

Figure 1

27 pages, 19149 KB  
Article
Efficient Autonomy: Autonomous Driving of Retrofitted Electric Vehicles via Enhanced Transformer Modeling
by Kai Wang, Xi Zheng, Zi-Jie Peng, Cong-Chun Zhang, Jun-Jie Tang and Kuan-Min Mao
Energies 2025, 18(19), 5247; https://doi.org/10.3390/en18195247 - 2 Oct 2025
Cited by 2 | Viewed by 1110
Abstract
In low-risk and open environments, such as farms and mining sites, efficient cargo transportation is essential. Despite the suitability of autonomous driving for these environments, its high deployment and maintenance costs limit large-scale adoption. To address this issue, a modular unmanned ground vehicle [...] Read more.
In low-risk and open environments, such as farms and mining sites, efficient cargo transportation is essential. Despite the suitability of autonomous driving for these environments, its high deployment and maintenance costs limit large-scale adoption. To address this issue, a modular unmanned ground vehicle (UGV) system is proposed, which is adapted from existing platforms and supports both autonomous and manual control modes. The autonomous mode uses environmental perception and trajectory planning algorithms for efficient transport in structured scenarios, while the manual mode allows human oversight and flexible task management. To mitigate the control latency and execution delays caused by platform modifications, an enhanced transformer-based general dynamics model is introduced. Specifically, the model is trained on a custom-built dataset and optimized within a bicycle kinematic framework to improve control accuracy and system stability. In road tests allowing a positional error of up to 0.5 m, the transformer-based trajectory estimation method achieved 94.8% accuracy, significantly outperforming non-transformer baselines (54.6%). Notably, the test vehicle successfully passed all functional validations in autonomous driving trials, demonstrating the system’s reliability and robustness. The above results demonstrate the system’s stability and cost-effectiveness, providing a potential solution for scalable deployment of autonomous transport in low-risk environments. Full article
(This article belongs to the Section E: Electric Vehicles)
Show Figures

Figure 1

20 pages, 39725 KB  
Article
TFP-YOLO: Obstacle and Traffic Sign Detection for Assisting Visually Impaired Pedestrians
by Zhiwei Zheng, Jin Cheng and Fanghua Jin
Sensors 2025, 25(18), 5879; https://doi.org/10.3390/s25185879 - 19 Sep 2025
Cited by 1 | Viewed by 1292
Abstract
With the increasing demand for intelligent mobility assistance among the visually impaired, machine guide dogs based on computer vision have emerged as an effective alternative to traditional guide dogs, owing to their flexible deployment and scalability. To enhance their visual perception capabilities in [...] Read more.
With the increasing demand for intelligent mobility assistance among the visually impaired, machine guide dogs based on computer vision have emerged as an effective alternative to traditional guide dogs, owing to their flexible deployment and scalability. To enhance their visual perception capabilities in complex urban environments, this paper proposes an improved YOLOv8-based detection algorithm, termed TFP-YOLO, designed to recognize traffic signs such as traffic lights and crosswalks, as well as small obstacle objects including pedestrians and bicycles, thereby improving the target detection performance of machine guide dogs in complex road scenarios. The proposed algorithm incorporates a Triplet Attention mechanism into the backbone network to strengthen the perception of key regions, and integrates a Triple Feature Encoding (TFE) module to achieve collaborative extraction of both local and global features. Additionally, a P2 detection head is introduced to improve the accuracy of small object detection, particularly for traffic lights. Furthermore, the WIoU loss function is adopted to enhance training stability and the model’s generalization capability. Experimental results demonstrate that the proposed algorithm achieves a detection accuracy of 93.9% and a precision of 90.2%, while reducing the number of parameters by 17.2%. These improvements significantly enhance the perception performance of machine guide dogs in identifying traffic information and obstacles, providing strong technical support for subsequent path planning and embedded deployment, and demonstrating considerable practical application value. Full article
(This article belongs to the Section Intelligent Sensors)
Show Figures

Graphical abstract

21 pages, 3137 KB  
Article
Lateral Trajectory Tracking Control for Intelligent Vehicles Using Backstepping Method and Dynamic Feedforward
by Lubna Khasawneh and Manohar Das
Machines 2025, 13(9), 800; https://doi.org/10.3390/machines13090800 - 2 Sep 2025
Cited by 1 | Viewed by 1117
Abstract
Controlling autonomous vehicles to follow a desired lateral trajectory presents a significant challenge. Developers of lateral control systems often find it difficult to simultaneously bring both lateral error and heading angle error close to zero while smoothly following the curvature of the road. [...] Read more.
Controlling autonomous vehicles to follow a desired lateral trajectory presents a significant challenge. Developers of lateral control systems often find it difficult to simultaneously bring both lateral error and heading angle error close to zero while smoothly following the curvature of the road. This paper introduces the design and development of a control strategy for lateral trajectory following using the backstepping control method, which successfully achieves the goal of stabilization and tracking. The controller comprises a backstepping feedback control law to regulate the errors and stabilize the vehicle by controlling the yaw rate, along with a dynamic feedforward component to compensate for road curvature and further eliminate steady-state errors on curved roads. The controller is built upon the dynamic bicycle model, enhanced by integrating the error dynamics into the state space equation, which allows for the inclusion of errors as state variables. The global uniform stability of the feedback control law is proven using Lyapunov stability theory and the LaSalle–Yoshizawa theorem. The stability and tracking performance of the controller are validated through simulation and experimental results obtained from a test vehicle on a public highway. Full article
(This article belongs to the Special Issue Intelligent Control and Active Safety Techniques for Road Vehicles)
Show Figures

Figure 1

Back to TopTop