Sign in to use this feature.

Years

Between: -

Subjects

remove_circle_outline
remove_circle_outline
remove_circle_outline
remove_circle_outline
remove_circle_outline
remove_circle_outline
remove_circle_outline
remove_circle_outline

Journals

Article Types

Countries / Regions

remove_circle_outline
remove_circle_outline

Search Results (300)

Search Parameters:
Keywords = beam-column connection

Order results
Result details
Results per page
Select all
Export citation of selected articles as:
25 pages, 3627 KB  
Review
Structural Performance of Semi-Rigid Beam-to-Column Connections in Steel Storage Racks: A Review Focused on FEM Analysis
by Mirjana Piskulic, Rodoljub Vujanac, Snezana Vulović, Nenad Miloradovic, Mirko Blagojevic and Zorica Djordjevic
Metals 2026, 16(1), 2; https://doi.org/10.3390/met16010002 - 19 Dec 2025
Viewed by 234
Abstract
In practical applications, steel storage racks include a wide range of beam-to-column connections (BCCs), which have a significant impact on their structural stability, particularly under various loading conditions. This systematic review focuses on the application of the finite element method (FEM) as a [...] Read more.
In practical applications, steel storage racks include a wide range of beam-to-column connections (BCCs), which have a significant impact on their structural stability, particularly under various loading conditions. This systematic review focuses on the application of the finite element method (FEM) as a complementary tool to evaluate the mechanical behavior of these connections. Key parameters that influence connection performance include the connector’s class and hook configuration, column thickness, beam height and weld position on the connector. Although the Eurocode 3 standard provides design guidelines for connections, experimental testing remains the most reliable method due to the complexity of semi-rigid connections, particularly in the context of pallet racks. Validated FEM analysis emerges as a dependable and cost-effective alternative to experiments, enabling more detailed parametric studies and improving the prediction of structural response. This review focuses on the advantages of FEM integration into design workflows via quantitative synthesis, while also emphasizing the role of contact formulations in modeling accuracy. To establish FEM as an independent predictive tool for the design and optimization of steel storage racks, future research should focus on cohesive zone modeling, ductile damage criteria, advanced contact strategies and additional machine learning (ML) techniques. Full article
(This article belongs to the Special Issue Numerical and Experimental Advances in Metal Processing)
Show Figures

Figure 1

18 pages, 3446 KB  
Article
Weak-Axis Double Reduced Beam Section Connection: Seismic Performance Analysis and Design Method
by Linfeng Lu, Zihao Li, Qiuxue Xiang and Peng Pan
Buildings 2026, 16(1), 2; https://doi.org/10.3390/buildings16010002 - 19 Dec 2025
Viewed by 123
Abstract
A weak-axis moment connection incorporating a double reduced beam section and a box-reinforced panel zone (WDRBS) is introduced for hot-rolled H-shaped columns. The configuration is intended to shift inelastic demand away from the column face and to constrain weak-axis panel-zone distortion. A series [...] Read more.
A weak-axis moment connection incorporating a double reduced beam section and a box-reinforced panel zone (WDRBS) is introduced for hot-rolled H-shaped columns. The configuration is intended to shift inelastic demand away from the column face and to constrain weak-axis panel-zone distortion. A series of finite element models is established and calibrated to examine the cyclic response of this connection type. By varying the geometric parameters of the second reduction zone, a closed-form expression for determining its cutting depth (c2) is formulated, allowing both reduced regions to yield concurrently, i.e., the Optimum State. The numerical investigation demonstrates that connections designed according to this equation exhibit stable hysteresis, limited weld-adjacent plastic ll rightstrain, and sufficient deformation and energy-dissipation capacities. All specimens exhibit plastic rotations greater than 0.03 rad, ductility ratios greater than 3.0, and equivalent viscous damping ratios greater than 0.3. To facilitate engineering implementation using common hot-rolled sections, a simplified method is further proposed to approximate the admissible range of c2 with practical accuracy. While the length of the second reduction region has only a modest influence on peak strength (approximately 1.5–6%), it markedly affects the failure mechanism and plastic-hinge distribution. A stepwise design procedure for WDRBS connections is accordingly recommended. The study does not consider composite-slab interaction or gravity-load effects, and the findings—based solely on finite element simulations—require future verification through full-scale experimental testing. Full article
(This article belongs to the Special Issue Seismic and Durability Performance of Steel Connections)
Show Figures

Figure 1

20 pages, 4203 KB  
Article
Experimental Study on Seismic Behavior of Novel Prefabricated RC Joints with Welded Cover-Plate Steel Sleeve and Bolted Splice
by Dong-Ping Wu, Kang Rao, Wei Wei, Fei Han and Sheng Peng
Buildings 2025, 15(24), 4579; https://doi.org/10.3390/buildings15244579 - 18 Dec 2025
Viewed by 168
Abstract
In order to ensure the structural safety and serviceability of existing reinforced concrete (RC) structures, there is a compelling need to develop efficient techniques for the rapid replacement of damaged RC beams within strong-column–weak-beam structural systems. This study introduces a novel prefabricated RC [...] Read more.
In order to ensure the structural safety and serviceability of existing reinforced concrete (RC) structures, there is a compelling need to develop efficient techniques for the rapid replacement of damaged RC beams within strong-column–weak-beam structural systems. This study introduces a novel prefabricated RC beam with welded cover-plate steel sleeve and bolted splice designed to facilitate accelerated replacement and enhance construction efficiency. The proposed beam is connected to cast-in-place RC columns, forming a prefabricated novel prefabricated RC joint with a welded cover-plate steel sleeve and a bolted splice; this configuration contrasts with conventional monolithic RC joints, which are formed by integrally casting beams and columns. The assembly speed of the prefabricated system markedly surpasses that of its cast-in-place counterpart, and the resulting beam–column system is fully demountable. Finite element simulations of the novel prefabricated RC joint with welded cover-plate steel sleeve and bolted splice, performed using ABAQUS, identified the thickness of the welded end-plate as a pivotal parameter influencing the joint’s mechanical behavior. Accordingly, quasi-static tests were carried out on three novel prefabricated RC joints with welded cover-plate steel sleeves and bolted splices and one cast-in-place RC joint, with the welded end-plate thickness serving as the primary test variable. The failure patterns, hysteretic responses, energy dissipation capacity, ductility, and stiffness degradation were systematically analyzed. Experimental findings indicate that increasing the end-plate thickness effectively improves both the peak load-bearing capacity and the ductility of the joint. All prefabricated specimens exhibited fully developed spindle-shaped hysteresis loops, with ductility coefficients ranging from 3.47 to 3.64 and equivalent viscous damping ratios exceeding 0.13. All critical seismic performance metrics either met or exceeded those of the reference cast-in-place RC joint, affirming the reliability and superior behavior of the proposed novel prefabricated RC joints with welded cover-plate steel sleeves. Full article
(This article belongs to the Section Building Structures)
Show Figures

Figure 1

19 pages, 5186 KB  
Article
Seismic Behavior of Beam-Connected Precast Walls with Innovative Concealed Steel Bracings: Experimental Insights and Numerical Study
by Yongguo Zhong, Zhimin Yu, Zejia Zhou, Jianzhong Lin and Peng Wang
Buildings 2025, 15(24), 4559; https://doi.org/10.3390/buildings15244559 - 17 Dec 2025
Viewed by 103
Abstract
In order to improve the seismic performance of traditional precast lightweight walls, a new precast concrete wall with beam connection and embedded steel support is proposed in this study. Six 2/3-scale specimens were designed for a quasi-static cyclic loading test, and a numerical [...] Read more.
In order to improve the seismic performance of traditional precast lightweight walls, a new precast concrete wall with beam connection and embedded steel support is proposed in this study. Six 2/3-scale specimens were designed for a quasi-static cyclic loading test, and a numerical study was carried out. Key variables include shear span ratio (0.8–1.6), wall thickness (120–200 mm), concrete strength (C25–C40), and concealed column configuration. The experimental results reveal three distinct failure modes, specifically, brace buckling, weld fracture at the lower joints, and bolt shear failure. The system shows excellent ductility (displacement ductility coefficient μ = 3.2–4.1) and energy dissipation capacity (equivalent viscous damping ratio ξ = 0.28–0.35), and its performance is 30–40% higher than that of traditional reinforced concrete walls and close to that of steel plate shear walls. The shear span ratio is reduced by 50%, the shear bearing capacity is increased by 16%, but the peak displacement is halved, and the peak load of concealed column is increased by 57%. The finite element analysis verified the experimental trends and emphasized that the shear capacity can be increased by 12–18% by widening the steel brace (relative to thickening) under the condition of constant steel volume. The results demonstrate that BIM-driven design is very important for solving connection conflicts and ensuring constructability. Parameter research shows that when the concrete strength is greater than C30, the yield load increases by 15–20%, but the influence on the ultimate bearing capacity is minimal. These findings provide an operational guide for the implementation of high-performance prefabricated walls in earthquake-resistant steel structures, and balance the details of constructability through support, connection, and BIM. Full article
(This article belongs to the Section Building Structures)
Show Figures

Figure 1

18 pages, 3702 KB  
Article
A Refined Multi-Spring Model for Prestressed Precast Concrete Connections
by Hu Qi, Jie Qin, Mengke Zhang and Zhonghao Zhang
Buildings 2025, 15(24), 4428; https://doi.org/10.3390/buildings15244428 - 8 Dec 2025
Viewed by 168
Abstract
Precast concrete with a moment-resisting frame with hybrid beam–column connections (HBC), which is featured by inelastic deformation induced by opening and closing of the interface between precast beam and column, has been emphasized in recent years. Precast concrete frame structures with HBC are [...] Read more.
Precast concrete with a moment-resisting frame with hybrid beam–column connections (HBC), which is featured by inelastic deformation induced by opening and closing of the interface between precast beam and column, has been emphasized in recent years. Precast concrete frame structures with HBC are difficult to simulate because current numerical models usually adopt multiple elements to simulate contact surfaces, resulting in complexity, low computational efficiency, and a difficult modeling process. To explore the opening and closing behavior of the interface of the hybrid beam–column connection, a refined multi-spring model (MSM) with only two gap elements whose position and capacity is determined by a simple advanced section analysis method is proposed. The proposed multi-spring model, which is obviously with high computational efficiency, is able to tracking accurately the change in compressive zone height of the interface between precast beam and column and count in “beam elongation effects”. The proposed model was employed to simulate four prestressed precast beam–column connections. The accuracy of the analytical model was validated by examining three aspects: global mechanical performance, stress in prestressed tendons, and compression zone depth. Full article
(This article belongs to the Special Issue Engineering Mathematics in Structural Control and Monitoring)
Show Figures

Figure 1

24 pages, 12893 KB  
Article
Seismic Performance of T-Shaped Aluminum Alloy Beam–Column Bolted Connections: Parametric Analysis and Design Implications Based on a Mixed Hardening Model
by Bangzheng Rao, Zhongmin Wang, Weiguo Rao, Zhongping Que, Fengzeng Li, Jin Wang and Wenyuan Gao
Buildings 2025, 15(23), 4324; https://doi.org/10.3390/buildings15234324 - 28 Nov 2025
Viewed by 267
Abstract
The seismic design of aluminum alloy structures requires specific attention due to the material’s distinct mechanical properties compared to steel, which renders direct application of steel joint design methods inappropriate. This study investigates the seismic behavior of T-shaped aluminum alloy beam–column bolted connections, [...] Read more.
The seismic design of aluminum alloy structures requires specific attention due to the material’s distinct mechanical properties compared to steel, which renders direct application of steel joint design methods inappropriate. This study investigates the seismic behavior of T-shaped aluminum alloy beam–column bolted connections, which consist of 6061-T6 aluminum alloy beams and columns connected by S304 stainless steel connectors via high-strength bolts. A finite element model, incorporating a mixed hardening constitutive model for accurate cyclic response, is established and validated against low-cycle cyclic loading tests. Parametric analyses evaluated the influence of L-shaped connector dimensions on hysteresis response, skeleton curves, stiffness degradation, energy dissipation, and ductility. Results demonstrate that increasing the thickness of the short leg of the L-shaped connector between the beam flange and column flange significantly enhances the ultimate bending moment, with an increase of up to 36.7% per 2 mm increment, alongside improved energy dissipation and ductility. Stiffness degradation follows a natural exponential decay, with residual stiffness between 23.85% and 32.57% at ultimate deformation. An efficiency analysis identifies the most cost-effective measures for seismic design. The primary novelty of this work lies in the successful application and validation of a mixed hardening model for simulating the complex cyclic behavior of T-shaped aluminum alloy connections, coupled with a systematic efficiency-oriented parametric study. The findings offer practical, quantitative guidelines for designing aluminum alloy bolted connections in seismic-prone regions. Full article
(This article belongs to the Section Building Structures)
Show Figures

Figure 1

18 pages, 2073 KB  
Article
Theoretical and Experimental Evaluations on Cooperative Bending Behavior of Laminated Channel Beams in Modular Steel Buildings
by Rui Liu, Yong Liu, Lin Li, Yuchao Zheng, Hongfei Chang, Qixiang Yin, Zibo Du and Bo Xu
Buildings 2025, 15(23), 4221; https://doi.org/10.3390/buildings15234221 - 22 Nov 2025
Viewed by 364
Abstract
Modular steel buildings that employed off-site prefabricated volumetric units offered advantages in construction speed and sustainability. The highly integrated buildings assembled by only column-to-column connections were prone to a global collapse, and beam-to-beam connections could greatly promote the overall mechanical performance. However, cooperative [...] Read more.
Modular steel buildings that employed off-site prefabricated volumetric units offered advantages in construction speed and sustainability. The highly integrated buildings assembled by only column-to-column connections were prone to a global collapse, and beam-to-beam connections could greatly promote the overall mechanical performance. However, cooperative bending performance has not been fully understood from a theoretical perspective, and therefore, a performance-based structural design cannot be conducted in practical engineering. In the present study, the laminated double beams in modular steel buildings were theoretically and experimentally investigated. Theoretical models for interfacial slip strain and slippage were established based on differential equations, accounting for both frictional and bolted connection types. In addition, mathematical expressions for bending curvature incorporating interfacial slip were derived, leading to a theoretical procedure for calculating the equivalent initial bending stiffness. In this way, the mechanical performance of laminated beams was analyzed, and the superimposed bending effect was further evaluated. The results demonstrated that bolted connections improved bending capacity by approximately 8% and increased initial bending stiffness by 17–28% compared to friction-only connections. The proposed stiffness prediction models showed significant agreement with experimental data, providing a theoretical basis for the structural design of laminated beams in modular steel buildings. Full article
(This article belongs to the Special Issue Advances in Structural Techniques for Prefabricated Modular Buildings)
Show Figures

Figure 1

25 pages, 7833 KB  
Article
Numerical and Experimental Study on the Effect of External Box Stiffeners for Rigid Connections of I-Beams to Concrete-Filled Circular Columns
by Ary Shehab Jamil, Mehrzad TahamouliRoudsari, AllahReza Moradi Garoosi and Javad Esfandiari
Buildings 2025, 15(22), 4116; https://doi.org/10.3390/buildings15224116 - 14 Nov 2025
Viewed by 311
Abstract
This study introduces an innovative connection to improve the seismic performance of I-beam–to–concrete-filled circular column joints. The concept employs a steel box with optimized internal and external stiffeners, eliminating continuity and doubler plates to simplify construction. Calibrated finite-element analyses were first conducted to [...] Read more.
This study introduces an innovative connection to improve the seismic performance of I-beam–to–concrete-filled circular column joints. The concept employs a steel box with optimized internal and external stiffeners, eliminating continuity and doubler plates to simplify construction. Calibrated finite-element analyses were first conducted to select three configurations for experimental testing under cyclic quasi-static loading, measuring energy dissipation, stiffness, ultimate moment, panel-zone rotation, and strain distribution. The best-performing specimen was then identified, followed by a numerical parametric study varying beam and column dimensions to determine the minimum steel-box thickness beyond which further increases offer negligible benefit and to assess its effect on connection rigidity. Experimentally, stiffeners aligned with beam flanges significantly improved moment capacity, stiffness, and energy dissipation. Based on parametric analyses, connections with appropriate box-to-flange thickness ratios achieved over 95% of the maximum flexural strength and stiffness, confirming the reliability of the proposed non-dimensional design approach. Numerical analyses showed that the proposed non-dimensional thickness ratios accurately predict connection behavior, where appropriate flange-to-box proportions ensure over 95% of maximum flexural strength and stiffness, leading to stable and rigid joint performance. Overall, the proposed detailing offers a constructible alternative to conventional plate-intensive solutions while achieving superior cyclic behavior. Full article
(This article belongs to the Section Building Structures)
Show Figures

Figure 1

30 pages, 5307 KB  
Article
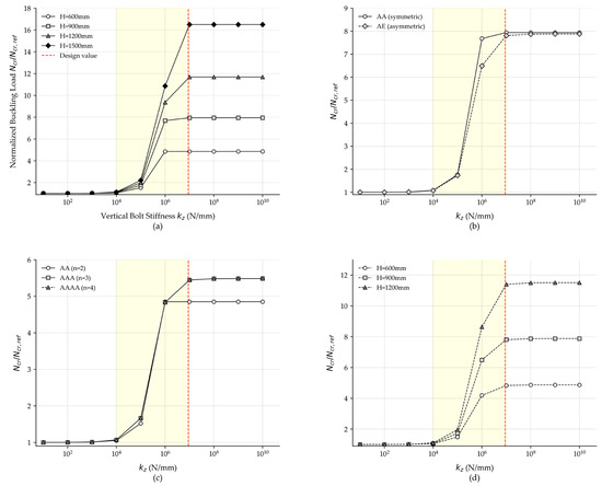
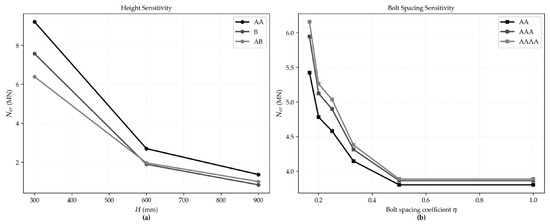
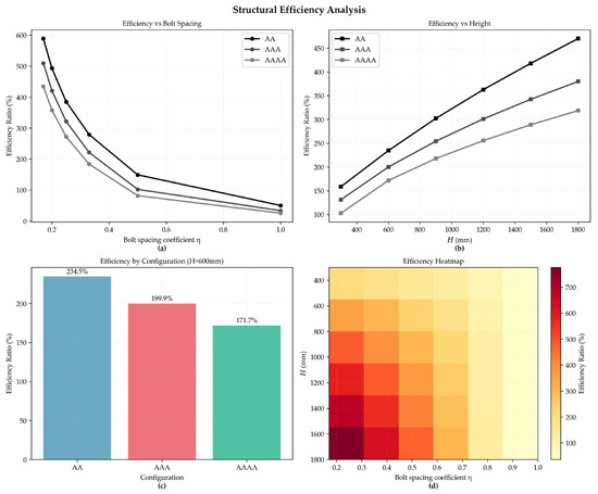
A Comprehensive Theoretical Framework for Elastic Buckling of Prefabricated H-Section Steel Wall Columns
by Lijian Ren
Buildings 2025, 15(22), 4115; https://doi.org/10.3390/buildings15224115 - 14 Nov 2025
Viewed by 369
Abstract
Prefabricated H-section steel composite wall columns (PHSWCs) are crucial for advancing modular steel construction, yet their elastic buckling performance lacks a universally accurate predictive model due to the complex interplay between section interaction and semi-rigid bolted connections. To address this, a comprehensive theoretical [...] Read more.
Prefabricated H-section steel composite wall columns (PHSWCs) are crucial for advancing modular steel construction, yet their elastic buckling performance lacks a universally accurate predictive model due to the complex interplay between section interaction and semi-rigid bolted connections. To address this, a comprehensive theoretical framework for elastic buckling analysis is developed in this study. The model integrates Euler–Bernoulli beam theory for the H-sections, a three-dimensional spring system to represent the stiffness of bolted connections, and the Green strain tensor to account for geometric nonlinearity. Validation against ABAQUS (2020) and ANSYS (2021 R1) shows high accuracy (average errors: 1.0% and 1.2%, respectively). Furthermore, a unified formula for the normalized slenderness ratio is derived via stepwise regression, which elegantly degenerates to the classical Euler solution under limiting conditions. The main conclusion is that this framework enables rapid and precise buckling analysis, reducing parametric study time by 95% compared to detailed finite element modeling. It establishes a bolt density coefficient threshold of η = 0.5 that separates composite from independent section behavior, with an optimal design range of η = 0.2 to 0.25, thereby offering a robust theoretical basis for PHSWC design. Full article
(This article belongs to the Section Building Structures)
Show Figures

Figure 1

18 pages, 16681 KB  
Article
Seismic Performance Testing and Damage Analysis of Reinforced T-Stub Connections
by Yifei Chen, Xin Bu, Bing Shen, Xufeng Yin, Xinwu Wang, Qiang Huang and Zhiwei Zhang
Buildings 2025, 15(22), 4112; https://doi.org/10.3390/buildings15224112 - 14 Nov 2025
Viewed by 232
Abstract
To improve the seismic performance of semi-rigid steel frame beam–column joints connected by T-stubs, reinforced T-stubs formed via wedge-shaped and thickening modifications are proposed. Taking the middle column joints in steel frames as the research objects, three types of beam–column joints are designed [...] Read more.
To improve the seismic performance of semi-rigid steel frame beam–column joints connected by T-stubs, reinforced T-stubs formed via wedge-shaped and thickening modifications are proposed. Taking the middle column joints in steel frames as the research objects, three types of beam–column joints are designed by adopting ordinary, wedge-shaped, and thickened wedge-shaped T-stubs. To conduct a comparative analysis of the seismic performance of the test specimens, this study imposes low-cycle cyclic loads on the column ends of each specimen along their major-axis and minor-axis in-planes. This loading protocol is adopted to simulate the dynamic responses of the specimens under bidirectional seismic action. Comparing the macroscopic failure phenomena of the specimens, the influence of reinforced T-stubs on the plastic development mode of the joints is analyzed. Based on seismic indicators such as hysteresis characteristics, skeleton curves, stiffness degradation, and energy dissipation capacity, the energy dissipation capacity of the specimens along the major-axis is greater than that along the minor-axis, but their deformation capacity is slightly reduced. The bearing capacity, energy dissipation, and rotational stiffness could be improved by reinforced T-stubs, but the deformation capacity is reduced to varying degrees. The stiffness degradation rate of the specimen adopting wedge-shaped T-stubs shows a more obvious accelerating trend. Through the comparative analysis of the three specimens based on the energy damage index, the results indicate that wedge-shaped T-stubs significantly increase the damage degree of the specimens, but thickened wedge-shaped T-stubs have a relatively small impact on the evolution of joint damage. Full article
Show Figures

Figure 1

39 pages, 12147 KB  
Article
Behaviour of Structural Subassemblies of Steel Beams with Corrugated Webs Using Reverse Channel Connections
by Sherif A. Elsawaf and Fahad S. Alshehri
Buildings 2025, 15(22), 4110; https://doi.org/10.3390/buildings15224110 - 14 Nov 2025
Viewed by 338
Abstract
This study uses the finite element (FE) software ABAQUS V 6.14to develop detailed, comprehensive numerical models of the behaviour of restrained structural subassemblies of corrugated web steel beams (SBCW) connected to concrete-filled tubular columns (CFTC) via reverse channel connection. Four different types of [...] Read more.
This study uses the finite element (FE) software ABAQUS V 6.14to develop detailed, comprehensive numerical models of the behaviour of restrained structural subassemblies of corrugated web steel beams (SBCW) connected to concrete-filled tubular columns (CFTC) via reverse channel connection. Four different types of web corrugation profiles—trapezoidal (Trap), rectangular (Rec), sinusoidal (Sin), and triangular (Tria)—are numerically modelled and analyzed to evaluate the significance of their influence on structural behaviour. In addition, the effects of flange stiffeners at the point load and web slenderness are examined. Moreover, this study investigates the effects of using four different joint types of reverse channel connection: extended endplate, flush endplate, flexible endplate, and hybrid extended/flexible endplate on the behaviour of SBCW. It is concluded that, by means of corrugated webs for enhancing beam deformation capacity and strength, it is feasible for the beams to achieve a higher load-carrying capacity. The ultimate load of the beams with Trap and Rec corrugated web was higher than that for the flat web beam by about 22% and 18%, respectively, and with the same increase of 10.5% for Tria and Sin corrugation profiles. However, providing the corrugated web beams with flange stiffeners at the point load had a limited effect (+0.7% to +5.1% depending on profile). Moreover, increasing the web thickness to reduce the slenderness ratio (hw/tw) from 250 to 200 can be an effective solution to prolong their load-carrying capacity. In addition, using an extended or flush endplate gave the best behaviour of SBCW connected to concrete-filled tubular columns (CFTC) with an increase of (5.3–31.7%) and (25–30.9%) for flush endplate and extended endplate, respectively, compared to flexible endplate, depending on the web corrugation profile. Full article
(This article belongs to the Section Building Structures)
Show Figures

Figure 1

19 pages, 3967 KB  
Article
Innovative Seismic Solutions for Precast Structures: Experimental and Numerical Studies on Beam–Column Joints
by Roberto Nascimbene and Davide Bellotti
Materials 2025, 18(21), 5049; https://doi.org/10.3390/ma18215049 - 6 Nov 2025
Viewed by 582
Abstract
This study presents a novel structural framing solution designed to improve seismic energy dissipation and limit displacements, aiming to serve as an effective alternative to traditional precast systems employing pendulum-based isolation. While pendulum mechanisms mitigate seismic forces by decoupling the superstructure from ground [...] Read more.
This study presents a novel structural framing solution designed to improve seismic energy dissipation and limit displacements, aiming to serve as an effective alternative to traditional precast systems employing pendulum-based isolation. While pendulum mechanisms mitigate seismic forces by decoupling the superstructure from ground motion, they are typically characterized by high implementation costs, mechanical complexity, and post-event maintenance challenges. In contrast, the proposed approach integrates seismic performance enhancements within the structural frame itself, removing the dependency on external isolation components. The system leverages a combination of pinned and semi-rigid beam-to-column joints that are tailored for use within dry precast construction technologies. These connection types not only support rapid and labor-efficient assembly but also, when properly detailed, offer robust hysteretic behavior and deformation control under dynamic loading. The research includes both experimental testing and numerical simulations focused on the cyclic response of these connections, enabling a comprehensive understanding of their role in dissipating energy and delaying damage progression. Recognizing the industry’s frequent emphasis on construction speed and upfront cost-efficiency, often at the cost of long-term reparability, this work introduces an alternative framework that emphasizes resilience without compromising construction practicality. The resulting system demonstrates improved post-earthquake functionality and reduced downtime, making it a promising and economically viable option for seismic applications in precast construction. This advancement supports current trends toward performance-based design and enhances the structural reliability of dry-assembled systems in seismic regions. Full article
(This article belongs to the Special Issue Study on Mechanical Properties of Concrete Structures and RC Beams)
Show Figures

Figure 1

19 pages, 4513 KB  
Article
Shear Analysis of “Concrete-to-Concrete” Contact as an Important Parameter for Strengthening Concrete Structures
by Matúš Farbák, Martin Vavruš, Peter Koteš and Anna Adamczak-Bugno
Buildings 2025, 15(21), 3889; https://doi.org/10.3390/buildings15213889 - 28 Oct 2025
Cited by 1 | Viewed by 572
Abstract
The need to strengthen existing load-bearing elements (slabs, girders, columns, etc.) is often encountered in practice mainly because existing reinforced concrete structures were previously designed according to provisions and standards that were valid decades ago and no longer comply with currently valid Eurocodes, [...] Read more.
The need to strengthen existing load-bearing elements (slabs, girders, columns, etc.) is often encountered in practice mainly because existing reinforced concrete structures were previously designed according to provisions and standards that were valid decades ago and no longer comply with currently valid Eurocodes, which provide new load levels and cross-section resistance calculations and, thus, a new level of reliability. Another reason is that the purpose behind the use of existing structures is changing, with these structures often now needing to withstand greater loads than were considered during the design. Many methods of strengthening elements stressed by axial force (pressure, tension), bending, shear, and their combination exist, with a common one being the addition of a new, more load-bearing layer of concrete, fibreconcrete, or ultra-high-performance concrete (UHPC). This experimental study focuses on the point of contact between two concrete surfaces and their modification to increase the bearing capacity of the bonded concrete-to-concrete cross-section. To strengthen the cross-section of the reinforced concrete (RC), a decisive condition is contact between individual layers, which is dependent on the resistance of the new, strengthened member. Connection occurs at the cross-section when the elements placed on top of each other are prevented by any suitable method from moving at the level of their contact surface. In this study, experimental tests were carried out to determine shear resistance using beams with dimensions of 100 × 100 × 300 mm, which consisted of two parts connected diagonally at an angle of 30°. To compare the increase in bearing capacity, the modifications of the contact surfaces and the characteristics of the material used for individual added layers were taken into account. The contact surfaces were either untreated, such as stamping from formwork, or smooth surfaces soaked in water for 48 h. For the modified surfaces, modifications included notches, indents, the use of an adhesive layer, and modifications of surface roughness using a steel brush. All base layers were concreted with the same class of concrete and processed according to the mentioned modifications. Different recipes were used for the upper (over-concreted) layer (part). The most effective processing methods were determined from the obtained results, and the coefficient of cohesion was determined through reverse calculation for individual surface treatments and subsequently compared with the Eurocode values. Full article
(This article belongs to the Section Building Materials, and Repair & Renovation)
Show Figures

Figure 1

22 pages, 6991 KB  
Article
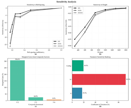
Numerical Study on the Flexural Performance of Fully Bolted Joint for Panelized Steel Modular Structure
by Hao Wang, Xuetong Li, Conghe Tian, Jintao Cui, Xuyue Wang, Chuan Zhao and Yanlai Li
Buildings 2025, 15(20), 3807; https://doi.org/10.3390/buildings15203807 - 21 Oct 2025
Viewed by 558
Abstract
To investigate the initial rotational stiffness and ultimate moment of fully bolted connections in panelized steel modular structures, a finite element analysis was carried out on 20 joint models. High-fidelity models were developed using ABAQUS, and their accuracy was confirmed through comparison with [...] Read more.
To investigate the initial rotational stiffness and ultimate moment of fully bolted connections in panelized steel modular structures, a finite element analysis was carried out on 20 joint models. High-fidelity models were developed using ABAQUS, and their accuracy was confirmed through comparison with experimental tests. A parametric study was performed to systematically evaluate the effects of the column wall thickness in the core zone, internal diaphragm configurations, angle steel thickness, and stiffener layouts on the joint stiffness and ultimate strength, leading to practical optimization suggestions. Additionally, a mechanical model and a corresponding formula for predicting the initial rotational stiffness of the joints were proposed based on the component method in Eurocode EC3. The model was validated against the finite element results, showing good reliability. Three failure modes were identified as follows: buckling deformation of the beam flange, buckling deformation of the column flange, and deformation of the joint panel zone. In joints with a weak core zone, both the use of internal diaphragms and increased column wall thickness effectively improved the initial rotational stiffness and ultimate bearing capacity. For joints with weak angle steel connections, adding stiffeners or increasing the limb thickness significantly enhanced both the stiffness and capacity. The diameter of bolts in the endplate-to-column flange connection was found to have a considerable effect on the initial rotational stiffness, but minimal impact on the ultimate strength. This study offers a theoretical foundation for the engineering application of panelized steel modular structural joints. Full article
Show Figures

Figure 1

22 pages, 6974 KB  
Article
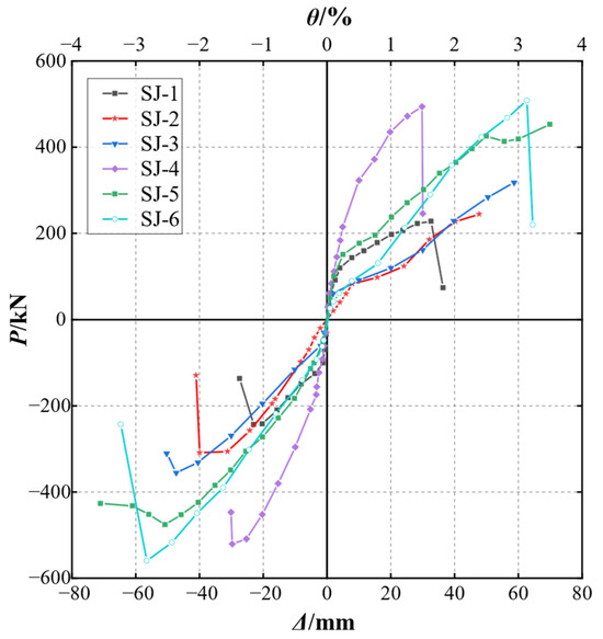
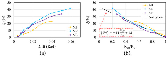
An Experimental Evaluation of Steel Beam-HSST/CFSST Column Connection with Varying Joint Configurations
by Zongmin Zhang, Lanhua Chen, Ling Cai, Yanchun Li and Zaharah Mohd Yusoff
Buildings 2025, 15(20), 3774; https://doi.org/10.3390/buildings15203774 - 19 Oct 2025
Viewed by 727
Abstract
Sixteen beam–column joints with different column types and connection configurations were designed and tested to identify suitable joints for low-rise prefabricated square steel tube (SST) columns and H-beams. The columns included hollow square steel tube (HSST) and concrete-filled square steel tube (CFSST) types, [...] Read more.
Sixteen beam–column joints with different column types and connection configurations were designed and tested to identify suitable joints for low-rise prefabricated square steel tube (SST) columns and H-beams. The columns included hollow square steel tube (HSST) and concrete-filled square steel tube (CFSST) types, while the joints consisted of welded, end plate, flange-connected, and angle connector plate configurations. Cyclic loading tests were conducted to examine failure modes, hysteresis and skeleton curves, stiffness degradation, and cumulative energy dissipation. The results showed that joints with angle connector plates outperformed welded, end-plate, and flange-connected joints. The height of the triangular stiffener was found to be a critical factor, with a 144 mm stiffener increasing the ultimate bending moment by 78.65% for CFSST and 79.3% for HSST columns, along with notable improvements in stiffness and energy dissipation. Based on Eurocode 3, angle connector plate joints with high stiffeners were classified as semi-rigid and full-strength. A combined assessment of mechanical behavior and economic efficiency indicated that this joint type provides the highest cost-effectiveness and significant application potential. Full article
(This article belongs to the Section Building Structures)
Show Figures

Figure 1

Back to TopTop