error_outline You can access the new MDPI.com website here. Explore and share your feedback with us.
 
 
Sign in to use this feature.

Years

Between: -

Subjects

remove_circle_outline
remove_circle_outline
remove_circle_outline
remove_circle_outline
remove_circle_outline
remove_circle_outline
remove_circle_outline
remove_circle_outline
remove_circle_outline

Journals

Article Types

Countries / Regions

Search Results (84)

Search Parameters:
Keywords = bathtub distribution

Order results
Result details
Results per page
Select all
Export citation of selected articles as:
19 pages, 614 KB  
Article
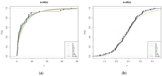
Modeling Diverse Hazard Shapes with the Power Length-Biased XLindley Distribution
by Suresha Kharvi, Muhammed Rasheed Irshad, Christophe Chesneau and Jabir Kakkottakath Valappil Thekkepurayil
Math. Comput. Appl. 2026, 31(1), 4; https://doi.org/10.3390/mca31010004 - 24 Dec 2025
Viewed by 196
Abstract
In many fields, including engineering, biology and economics, modeling and analyzing lifetime data is crucial for understanding the reliability and survival characteristics of systems and components. To address the limitations of existing lifetime distributions in capturing complex hazard rate behaviors, this article introduces [...] Read more.
In many fields, including engineering, biology and economics, modeling and analyzing lifetime data is crucial for understanding the reliability and survival characteristics of systems and components. To address the limitations of existing lifetime distributions in capturing complex hazard rate behaviors, this article introduces a new and flexible two-parameter distribution, the power length-biased XLindley (PLXL) distribution. This distribution extends the XLindley distribution family by incorporating a power transformation applied to a length-biased variant, thereby enriching its structural flexibility. It can model a variety of hazard rate shapes, including increasing, decreasing, decreasing–increasing–decreasing and inverted bathtub forms, making it suitable for a range of real-world applications. We derive the statistical properties of the PLXL distribution and develop parameter estimation methods based on the maximum likelihood and the least squares approach. We conduct a comprehensive simulation study to evaluate the performance of the proposed estimators in terms of bias and mean squared error. The practical utility and superior adaptability of the PLXL distribution are demonstrated by applying it to real lifetime data sets. Full article
(This article belongs to the Special Issue Statistical Inference in Linear Models, 2nd Edition)
Show Figures

Figure 1

37 pages, 5212 KB  
Article
A Flexible Bivariate Lifetime Model with Upper Bound: Theoretical Development and Lifetime Application
by Shuhrah Alghamdi, Tassaddaq Hussain, Hassan S. Bakouch and Maher Kachour
Axioms 2025, 14(12), 930; https://doi.org/10.3390/axioms14120930 - 18 Dec 2025
Viewed by 245
Abstract
This paper introduces the bivariate bounded Gompertz–log-logistic (BBGLL) distribution, a bounded bivariate lifetime model built by coupling two bounded Gompertz–log-logistic marginals through a Clayton copula with an independent dependence parameter. The proposed model effectively describes positively dependent lifetimes within finite support and accommodates [...] Read more.
This paper introduces the bivariate bounded Gompertz–log-logistic (BBGLL) distribution, a bounded bivariate lifetime model built by coupling two bounded Gompertz–log-logistic marginals through a Clayton copula with an independent dependence parameter. The proposed model effectively describes positively dependent lifetimes within finite support and accommodates increasing, decreasing, and bathtub-shaped hazard rates. Analytical expressions for the survival functions, hazard rate functions, and joint moments are derived, while measures of association such as Kendall’s tau, Spearman’s rho, and tail-dependence coefficients characterize the dependence structure. Parameters are estimated via maximum likelihood, inference functions for margins (IFM), and semi-parametric methods, with performance assessed through Monte Carlo simulations. A real-life data application illustrates the practical relevance of the model, showing that the BBGLL distribution achieves a superior goodness-of-fit relative to existing bivariate alternatives, highlighting its practical usefulness. Full article
Show Figures

Figure 1

25 pages, 4692 KB  
Article
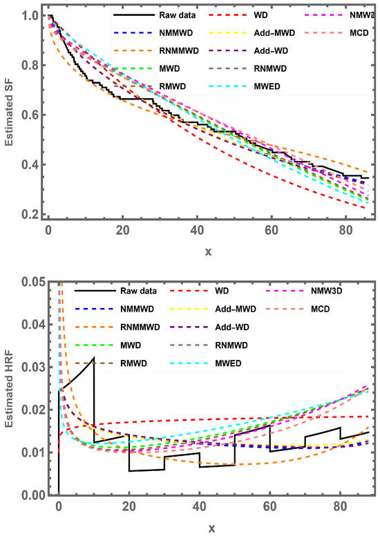
A New Modification of Modified Weibull Distribution for Modeling Engineering Data
by Asmaa S. Al-Moisheer, Khalaf S. Sultan and Hossam M. M. Radwan
Mathematics 2025, 13(24), 3963; https://doi.org/10.3390/math13243963 - 12 Dec 2025
Viewed by 219
Abstract
This study investigates a novel modification for a modified Weibull distribution called the new modification of modified Weibull distribution. Some distributions related to the NMMWD are given. Some characterization of the NMMWD, including quantiles, Bowley skewness, Moors kurtosis, and moments, are given in [...] Read more.
This study investigates a novel modification for a modified Weibull distribution called the new modification of modified Weibull distribution. Some distributions related to the NMMWD are given. Some characterization of the NMMWD, including quantiles, Bowley skewness, Moors kurtosis, and moments, are given in closed forms. The hazard rate function of the new distribution takes two distinct shapes, the increasing and the bathtub shapes. Different estimating approaches are investigated utilizing complete data. Three real data sets from the engineering field are analyzed to demonstrate the suggested model’s flexibility in practice. In comparison to certain well-known distributions, the proposed distribution fits the tested data better according to both parametric and non-parametric tests. A simulation study is presented to compare the various estimating approaches using mean square error and average absolute bias. Full article
Show Figures

Figure 1

28 pages, 1946 KB  
Article
Efficient Analysis of the Gompertz–Makeham Theory in Unitary Mode and Its Applications in Petroleum and Mechanical Engineering
by Refah Alotaibi, Hoda Rezk and Ahmed Elshahhat
Axioms 2025, 14(11), 775; https://doi.org/10.3390/axioms14110775 - 22 Oct 2025
Viewed by 396
Abstract
This paper introduces a novel three-parameter probability model, the unit-Gompertz–Makeham (UGM) distribution, designed for modeling bounded data on the unit interval (0,1). By transforming the classical Gompertz–Makeham distribution, we derive a unit-support distribution that flexibly accommodates a wide range of shapes in both [...] Read more.
This paper introduces a novel three-parameter probability model, the unit-Gompertz–Makeham (UGM) distribution, designed for modeling bounded data on the unit interval (0,1). By transforming the classical Gompertz–Makeham distribution, we derive a unit-support distribution that flexibly accommodates a wide range of shapes in both the density and hazard rate functions, including increasing, decreasing, bathtub, and inverted-bathtub forms. The UGM density exhibits rich patterns such as symmetric, unimodal, U-shaped, J-shaped, and uniform-like forms, enhancing its ability to fit real-world bounded data more effectively than many existing models. We provide a thorough mathematical treatment of the UGM distribution, deriving explicit expressions for its quantile function, mode, central and non-central moments, mean residual life, moment-generating function, and order statistics. To facilitate parameter estimation, eight classical techniques, including maximum likelihood, least squares, and Cramér–von Mises methods, are developed and compared via a detailed simulation study assessing their accuracy and robustness under varying sample sizes and parameter settings. The practical relevance and superior performance of the UGM distribution are demonstrated using two real-world engineering datasets, where it outperforms existing bounded models, such as beta, Kumaraswamy, unit-Weibull, unit-gamma, and unit-Birnbaum–Saunders. These results highlight the UGM distribution’s potential as a versatile and powerful tool for modeling bounded data in reliability engineering, quality control, and related fields. Full article
(This article belongs to the Special Issue Advances in the Theory and Applications of Statistical Distributions)
Show Figures

Figure 1

27 pages, 1000 KB  
Article
Weibull Distribution with Linear Shape Function
by Piotr Sulewski and Antoni Drapella
Appl. Sci. 2025, 15(20), 11222; https://doi.org/10.3390/app152011222 - 20 Oct 2025
Viewed by 563
Abstract
The paper is intended to put forward a modified Weibull-type lifetime model. Modification consists of replacing the shape parameter of the original Weibull model with the shape function. It is self-evidently a novelty among lifetime models. The model in question will further be [...] Read more.
The paper is intended to put forward a modified Weibull-type lifetime model. Modification consists of replacing the shape parameter of the original Weibull model with the shape function. It is self-evidently a novelty among lifetime models. The model in question will further be named the Weibull-sf model. To present the Weibull-sf, we need appropriate background. The background comes from an extensive review performed on 165 Weibull-type lifetime models we found in the source literature. Performing this review, we focused on two properties of the models: modality of failure density functions, as well as shape of the hazard rate functions. It does not matter that these are strongly interrelated, incidentally. The Weibull-sf lifetime model has the valuable property of flexibility. It may have a bathtub-like hazard rate function and bimodal density function. This is exactly what reliability analysts want to have. Foreseeing the huge numerical problems one will face when trying the maximum-likelihood method, we promote the method of the least absolute values that is a “close relative” to the method of least squares. Examples of fitting the Weibull-sf to real data are given. The cumulative failure functions of bimodal models with a bathtub-like hazard rate function and R codes are given. Full article
Show Figures

Figure 1

20 pages, 466 KB  
Article
A New Extended Weibull Distribution: Estimation Methods and Applications in Engineering, Physics, and Medicine
by Dawlah Alsulami and Amani S. Alghamdi
Mathematics 2025, 13(20), 3262; https://doi.org/10.3390/math13203262 - 12 Oct 2025
Cited by 2 | Viewed by 661
Abstract
Increasing the amount of data with complex dynamics requires the constant updating of statistical distributions. This study aimed to introduce a new three-parameter distribution, named the new exponentiated Weibull (NEW) distribution, by applying the logarithmic transformation to the exponentiated Weibull distribution. The exponentiated [...] Read more.
Increasing the amount of data with complex dynamics requires the constant updating of statistical distributions. This study aimed to introduce a new three-parameter distribution, named the new exponentiated Weibull (NEW) distribution, by applying the logarithmic transformation to the exponentiated Weibull distribution. The exponentiated Weibull distribution is a powerful generalization of the Weibull distribution that includes several classical distributions as special cases—Weibull, exponential, Rayleigh, and exponentiated exponential—which make it capable of capturing diverse forms of hazard functions. By combining the advantages of the logarithmic transformation and exponentiated Weibull, the new distribution offers great flexibility in modeling different forms of hazard functions, including increasing, J-shaped, reverse-J-shaped, and bathtub-shaped functions. Some mathematical properties of the NEW distribution were studied. Moreover, four different methods of estimation—the maximum likelihood (ML), least squares (LS), Cramer–Von Mises (CVM), and percentile (PE) methods—were employed to estimate the distribution parameters. To assess the performance of the estimates, three simulation studies were conducted, showing the benefit of the ML method, followed by the PE method, in estimating the model parameters. Additionally, five datasets were used to evaluate the effectiveness of the new distribution in fitting real data. Compared with some Weibull-type extensions, the results demonstrate the superiority of the new distribution in modeling various forms of real data and provide evidence for the applicability of the new distribution. Full article
Show Figures

Figure 1

39 pages, 1781 KB  
Article
An Exponentiated Inverse Exponential Distribution Properties and Applications
by Aroosa Mushtaq, Tassaddaq Hussain, Mohammad Shakil, Mohammad Ahsanullah and Bhuiyan Mohammad Golam Kibria
Axioms 2025, 14(10), 753; https://doi.org/10.3390/axioms14100753 - 3 Oct 2025
Viewed by 767
Abstract
This paper introduces Exponentiated Inverse Exponential Distribution (EIED), a novel probability model developed within the power inverse exponential distribution framework. A distinctive feature of EIED is its highly flexible hazard rate function, which can exhibit increasing, decreasing, and reverse bathtub (upside-down bathtub) shapes, [...] Read more.
This paper introduces Exponentiated Inverse Exponential Distribution (EIED), a novel probability model developed within the power inverse exponential distribution framework. A distinctive feature of EIED is its highly flexible hazard rate function, which can exhibit increasing, decreasing, and reverse bathtub (upside-down bathtub) shapes, making it suitable for modeling diverse lifetime phenomena in reliability engineering, survival analysis, and risk assessment. We derived comprehensive statistical properties of the distribution, including the reliability and hazard functions, moments, characteristic and quantile functions, moment generating function, mean deviations, Lorenz and Bonferroni curves, and various entropy measures. The identifiability of the model parameters was rigorously established, and maximum likelihood estimation was employed for parameter inference. Through extensive simulation studies, we demonstrate the robustness of the estimation procedure across different parameter configurations. The practical utility of EIED was validated through applications to real-world datasets, where it showed superior performance compared to existing distributions. The proposed model offers enhanced flexibility for modeling complex lifetime data with varying hazard patterns, particularly in scenarios involving early failure periods, wear-in phases, and wear-out behaviors. Full article
(This article belongs to the Special Issue Probability, Statistics and Estimations, 2nd Edition)
Show Figures

Figure 1

22 pages, 521 KB  
Article
A Novel Exponentiated Generalized Weibull Exponential Distribution: Properties, Estimation, and Regression Model
by Hadeel S. Klakattawi
Axioms 2025, 14(9), 706; https://doi.org/10.3390/axioms14090706 - 19 Sep 2025
Viewed by 856
Abstract
The exponential distribution is one of the most popular models for fitting lifetime data. This study proposes a novel generalization of the exponential distribution, referred to as the exponentiated generalized Weibull exponential, for the modeling of lifetime data. This new distribution is a [...] Read more.
The exponential distribution is one of the most popular models for fitting lifetime data. This study proposes a novel generalization of the exponential distribution, referred to as the exponentiated generalized Weibull exponential, for the modeling of lifetime data. This new distribution is a member of a family that combines two well-known distribution families: the exponentiated generalized family and the T-X family. It has five parameters, allowing it to fit data that exhibit increasing, decreasing, bathtub, upside-down bathtub, S-shaped, J-shaped and reversed-J hazard rates. Some mathematical and statistical properties of the newly suggested distribution are derived and the estimation of its parameters is studied using the method of maximum likelihood. Different simulation studies have been applied to evaluate the parameter estimation. Four lifetime datasets are analyzed to investigate the superiority of the proposed exponentiated generalized Weibull exponential distribution. A regression model based on the proposed distribution is then developed for both complete and censored samples, and its performance is assessed on two real datasets. The new distribution and its associated regression model are empirically demonstrated to be practically useful. Full article
Show Figures

Figure 1

27 pages, 4595 KB  
Article
The Unit Inverse Maxwell–Boltzmann Distribution: A Novel Single-Parameter Model for Unit-Interval Data
by Murat Genç and Ömer Özbilen
Axioms 2025, 14(8), 647; https://doi.org/10.3390/axioms14080647 - 21 Aug 2025
Viewed by 625
Abstract
The Unit Inverse Maxwell–Boltzmann (UIMB) distribution is introduced as a novel single-parameter model for data constrained within the unit interval (0,1), derived through an exponential transformation of the Inverse Maxwell–Boltzmann distribution. Designed to address the limitations of traditional unit-interval [...] Read more.
The Unit Inverse Maxwell–Boltzmann (UIMB) distribution is introduced as a novel single-parameter model for data constrained within the unit interval (0,1), derived through an exponential transformation of the Inverse Maxwell–Boltzmann distribution. Designed to address the limitations of traditional unit-interval distributions, the UIMB model exhibits flexible density shapes and hazard rate behaviors, including right-skewed, left-skewed, unimodal, and bathtub-shaped patterns, making it suitable for applications in reliability engineering, environmental science, and health studies. This study derives the statistical properties of the UIMB distribution, including moments, quantiles, survival, and hazard functions, as well as stochastic ordering, entropy measures, and the moment-generating function, and evaluates its performance through simulation studies and real-data applications. Various estimation methods, including maximum likelihood, Anderson–Darling, maximum product spacing, least-squares, and Cramér–von Mises, are assessed, with maximum likelihood demonstrating superior accuracy. Simulation studies confirm the model’s robustness under normal and outlier-contaminated scenarios, with MLE showing resilience across varying skewness levels. Applications to manufacturing and environmental datasets reveal the UIMB distribution’s exceptional fit compared to competing models, as evidenced by lower information criteria and goodness-of-fit statistics. The UIMB distribution’s computational efficiency and adaptability position it as a robust tool for modeling complex unit-interval data, with potential for further extensions in diverse domains. Full article
(This article belongs to the Section Mathematical Analysis)
Show Figures

Figure 1

37 pages, 11050 KB  
Article
A Dual-Mode Competitive Risk Framework for Electronic Devices Using the Fréchet-Chen Model
by Luis Carlos Méndez-González, Luis Alberto Rodríguez-Picón, Isidro Jesús González-Hernández, Iván Juan Carlos Pérez-Olguín and Abel Eduardo Quezada-Carreón
Electronics 2025, 14(16), 3276; https://doi.org/10.3390/electronics14163276 - 18 Aug 2025
Viewed by 468
Abstract
Electronic devices (EDs) exhibit complex failure patterns throughout their lifetime, with failure modes (FaM) can be monotonic, non-monotonic, or a combination of both. This complexity is increased by using advanced semiconductors and flexible electronics, which introduce variability in degradation mechanisms. Although multiple reliability [...] Read more.
Electronic devices (EDs) exhibit complex failure patterns throughout their lifetime, with failure modes (FaM) can be monotonic, non-monotonic, or a combination of both. This complexity is increased by using advanced semiconductors and flexible electronics, which introduce variability in degradation mechanisms. Although multiple reliability models exist, many lack flexibility or practical applicability in this context. This work proposes a novel competing risk (CR) model that combines the Fréchet and Chen distributions, called Fréchet-Chen Competitive Risk (FCCR). This model allows for modeling the minimum time to failure between two relevant FaMs. Its key mathematical properties and applicability to real-life scenarios are analyzed. Parameter estimation is performed using maximum likelihood (MLE) and Bayesian inference (BEM) using Hamiltonian Monte Carlo (HMC), which provides a robust basis for analysis. Two case studies with real-life ED data validate the model, demonstrating its superior fit and predictive capability compared to classical models. Furthermore, the effect of FCCR parameters on system behavior is explored, highlighting its usefulness in accurately modeling complex failure patterns in EDs. Full article
Show Figures

Figure 1

33 pages, 6324 KB  
Article
The Inverted Hjorth Distribution and Its Applications in Environmental and Pharmaceutical Sciences
by Ahmed Elshahhat, Osama E. Abo-Kasem and Heba S. Mohammed
Symmetry 2025, 17(8), 1327; https://doi.org/10.3390/sym17081327 - 14 Aug 2025
Cited by 1 | Viewed by 609
Abstract
This study introduces an inverted version of the three-parameter Hjorth lifespan model, characterized by one scale parameter and two shape parameters, referred to as the inverted Hjorth (IH) distribution. This asymmetric distribution can fit various positively skewed datasets more accurately than several existing [...] Read more.
This study introduces an inverted version of the three-parameter Hjorth lifespan model, characterized by one scale parameter and two shape parameters, referred to as the inverted Hjorth (IH) distribution. This asymmetric distribution can fit various positively skewed datasets more accurately than several existing models in the literature, as it can accommodate data exhibiting an inverted (upside-down) bathtub-shaped hazard rate. We derive key properties of the model, including quantiles, moments, reliability measures, stress–strength reliability, and order statistics. Point estimation of the IH model parameters is performed using maximum likelihood and Bayesian approaches. Moreover, for interval estimation, two types of asymptotic confidence intervals and two types of Bayesian credible intervals are obtained using the same estimation methodologies. As an extension to a complete sampling plan, Type-II censoring is employed to examine the impact of data incompleteness on IH parameter estimation. Monte Carlo simulation results indicate that Bayesian point and credible estimates outperform those obtained via classical estimation methods across several precision metrics, including mean squared error, average absolute bias, average interval length, and coverage probability. To further assess its performance, two real datasets are analyzed: one from the environmental domain (minimum monthly water flows of the Piracicaba River) and another from the pharmacological domain (plasma indomethacin concentrations). The superiority and flexibility of the inverted Hjorth model are evaluated and compared with several competing models. The results confirm that the IH distribution provides a better fit than several existing lifetime models—such as the inverted Gompertz, inverted log-logistic, inverted Lomax, and inverted Nadarajah–Haghighi distributions—making it a valuable tool for reliability and survival data analysis. Full article
Show Figures

Figure 1

21 pages, 1764 KB  
Article
A Novel Adaptable Weibull Distribution and Its Applications
by Asmaa S. Al-Moisheer, Khalaf S. Sultan and Hossam M. M. Radwan
Axioms 2025, 14(7), 490; https://doi.org/10.3390/axioms14070490 - 24 Jun 2025
Cited by 7 | Viewed by 1253
Abstract
This work proposes a novel extension for a new extended Weibull distribution. Some statistical properties of the proposed distribution are studied including quantile, moments, skewness, and kurtosis. The hazard rate function of the new distribution has certain elastic qualities, allowing it to take [...] Read more.
This work proposes a novel extension for a new extended Weibull distribution. Some statistical properties of the proposed distribution are studied including quantile, moments, skewness, and kurtosis. The hazard rate function of the new distribution has certain elastic qualities, allowing it to take increasing, upside-down bathtub, and modified upside-down bathtub shapes commonly observed in medical contexts. Different methods of estimation are studied using complete data. Two real data sets from the medical field are analyzed to demonstrate that the proposed model has adaptability in practice. In comparison to some well-known distributions, the suggested distribution fits the tested data better based on both parametric and non-parametric statistical criteria. A simulation study is presented to compare the obtained estimates based on mean square error and average absolute bias. Full article
Show Figures

Figure 1

28 pages, 13036 KB  
Article
Statistical Analysis of a Generalized Variant of the Weibull Model Under Unified Hybrid Censoring with Applications to Cancer Data
by Mazen Nassar, Refah Alotaibi and Ahmed Elshahhat
Axioms 2025, 14(6), 442; https://doi.org/10.3390/axioms14060442 - 5 Jun 2025
Viewed by 947
Abstract
This paper investigates an understudied generalization of the classical exponential, Rayleigh, and Weibull distributions, known as the power generalized Weibull distribution, particularly in the context of censored data. Characterized by one scale parameter and two shape parameters, the proposed model offers enhanced flexibility [...] Read more.
This paper investigates an understudied generalization of the classical exponential, Rayleigh, and Weibull distributions, known as the power generalized Weibull distribution, particularly in the context of censored data. Characterized by one scale parameter and two shape parameters, the proposed model offers enhanced flexibility for modeling diverse lifetime data patterns and hazard rate behaviors. Notably, its hazard rate function can exhibit five distinct shapes, including upside-down bathtub and bathtub shapes. The study focuses on classical and Bayesian estimation frameworks for the model parameters and associated reliability metrics under a unified hybrid censoring scheme. Methodologies include both point estimation (maximum likelihood and posterior mean estimators) and interval estimation (approximate confidence intervals and Bayesian credible intervals). To evaluate the performance of these estimators, a comprehensive simulation study is conducted under varied experimental conditions. Furthermore, two empirical applications on real-world cancer datasets underscore the efficacy of the proposed estimation methods and the practical viability and flexibility of the explored model compared to eleven other existing lifespan models. Full article
Show Figures

Figure 1

29 pages, 510 KB  
Article
Statistical Inference and Goodness-of-Fit Assessment Using the AAP-X Probability Framework with Symmetric and Asymmetric Properties: Applications to Medical and Reliability Data
by Aadil Ahmad Mir, A. A. Bhat, S. P. Ahmad, Badr S. Alnssyan, Abdelaziz Alsubie and Yashpal Singh Raghav
Symmetry 2025, 17(6), 863; https://doi.org/10.3390/sym17060863 - 1 Jun 2025
Cited by 1 | Viewed by 950
Abstract
Probability models are instrumental in a wide range of applications by being able to accurately model real-world data. Over time, numerous probability models have been developed and applied in practical scenarios. This study introduces the AAP-X family of distributions—a novel, flexible framework for [...] Read more.
Probability models are instrumental in a wide range of applications by being able to accurately model real-world data. Over time, numerous probability models have been developed and applied in practical scenarios. This study introduces the AAP-X family of distributions—a novel, flexible framework for continuous data analysis named after authors Aadil Ajaz and Parvaiz. The proposed family effectively accommodates both symmetric and asymmetric characteristics through its shape-controlling parameter, an essential feature for capturing diverse data patterns. A specific subclass of this family, termed the “AAP Exponential” (AAPEx) model is designed to address the inflexibility of classical exponential distributions by accommodating versatile hazard rate patterns, including increasing, decreasing and bathtub-shaped patterns. Several fundamental mathematical characteristics of the introduced family are derived. The model parameters are estimated using six frequentist estimation approaches, including maximum likelihood, Cramer–von Mises, maximum product of spacing, ordinary least squares, weighted least squares and Anderson–Darling estimation. Monte Carlo simulations demonstrate the finite-sample performance of these estimators, revealing that maximum likelihood estimation and maximum product of spacing estimation exhibit superior accuracy, with bias and mean squared error decreasing systematically as the sample sizes increases. The practical utility and symmetric–asymmetric adaptability of the AAPEx model are validated through five real-world applications, with special emphasis on cancer survival times, COVID-19 mortality rates and reliability data. The findings indicate that the AAPEx model outperforms established competitors based on goodness-of-fit metrics such as the Akaike Information Criteria (AIC), Schwartz Information Criteria (SIC), Akaike Information Criteria Corrected (AICC), Hannan–Quinn Information Criteria (HQIC), Anderson–Darling (A*) test statistic, Cramer–von Mises (W*) test statistic and the Kolmogorov–Smirnov (KS) test statistic and its associated p-value. These results highlight the relevance of symmetry in real-life data modeling and establish the AAPEx family as a powerful tool for analyzing complex data structures in public health, engineering and epidemiology. Full article
(This article belongs to the Section Mathematics)
Show Figures

Figure 1

18 pages, 4487 KB  
Article
Thermal Management and Performance Optimization in High-Power-Density Lithium-Ion Battery Modules
by Jianhui He, Chao Wang and Yunhui Huang
Energies 2025, 18(9), 2294; https://doi.org/10.3390/en18092294 - 30 Apr 2025
Cited by 1 | Viewed by 1728
Abstract
The growing demand for high-power battery output in the ever-evolving electric vehicle and energy storage sectors necessitates the development of efficient thermal management systems. High-power lithium-ion batteries (LIBs), known for their outstanding performance, are widely used across various applications. However, effectively managing the [...] Read more.
The growing demand for high-power battery output in the ever-evolving electric vehicle and energy storage sectors necessitates the development of efficient thermal management systems. High-power lithium-ion batteries (LIBs), known for their outstanding performance, are widely used across various applications. However, effectively managing the thermal conditions of high-power battery packs remains a critical challenge that limits the operational efficiency and hinders broader market acceptance. The high charge and discharge rates in LIBs generate significant heat, and, as a result, inadequate heat dissipation adversely impacts battery performance, lifespan, and safety. This study utilized theoretical analysis, numerical simulations, and experimental methodologies to address these issues. Considering the anisotropic heat transfer characteristics of laminated pouch cells, this study developed a fluid–solid coupling simulation model tailored to the liquid-cooled structure of pouch battery modules, supported by an experimental test setup. A U-shaped “bathtub-type” cooling structure was designed for a 48 V/8 Ah high-power-density battery pack intended for start–stop power supply applications. This design aimed to resolve heat dissipation challenges, optimize the cooling efficiency, and ensure stable operation under varying conditions. During the performance assessments of the cooling structure conducted through simulations and experiments, extreme discharge conditions (320 A) and pulse charging/discharging cycles (80 A) at ambient temperatures of up to 45 °C were simulated. An analysis of the temperature distribution and its temporal evolution led to critical insights. The results showed that, under these severe conditions, the maximum temperature of the battery module remained below 60 °C, with temperature uniformity maintained within a 5 °C range and cell uniformity within 2 °C. Consequently, the battery pack meets the operational requirements for start–stop power supply applications and provides an effective solution for thermal management in high-power-density environments. Full article
Show Figures

Figure 1

Back to TopTop