Statistical Inference and Goodness-of-Fit Assessment Using the AAP-X Probability Framework with Symmetric and Asymmetric Properties: Applications to Medical and Reliability Data
Abstract
1. Introduction
2. Research Gap
- Existing transformation techniques often increase model complexity through additional parameters, leading to parameter inflation without substantial gains in flexibility.
- Several extended models fail to offer adequate flexibility in capturing both symmetric and asymmetric data patterns observed in real-world datasets.
- There has been limited exploration of transformation frameworks that preserve theoretical tractability while enhancing distributional shapes.
- Many proposed models do not comprehensively evaluate estimation techniques, resulting in limited insights into their practical implementation.
- Prior works do not offer extensive empirical comparisons across diverse real-life datasets, especially from both medical and engineering domains.
- Limited research exists to assess the performance of new distributions using a wide range of goodness-of-fit criteria and graphical diagnostics.
- The integration of domain-specific datasets for validation of new models remains underexplored, especially in the context of survival and reliability data.
3. The Model and Properties
- When and , Equation (10) collapses to , the CDF of the baseline distribution.
3.1. Aging Properties
3.2. Quantile Function
3.3. Moments and Moment-Generating Function
3.4. Order Statistics
3.5. Residual and Reverse Residual Lifetime
4. Special Case
4.1. AAP Exponential (AAPEx) Distribution
- The shape and tail behaviors are largely controlled by the parameter. It improves the flexibility of the model by modifying the weight of the modified function.
- The steepness of the cumulative distribution function is influenced by the parameter. It influences the skewness and kurtosis, making the model capable of capturing asymmetric patterns in data.
- The parameter is the scale parameter from the baseline exponential distribution. It affects the spread of distribution by controlling the rate of decay.
- For the transformation to stay valid and the resultant function to remain a suitable CDF, the formula expressed as is utilized.
4.2. Moments and Moment-Generating Function
5. Parameter Estimation
5.1. Maximum Likelihood Estimation () for a Complete Sample
5.2. Cramer-von Mises Estimation (CVME)()
5.3. Maximum Product of Spacing Estimation (MPSE) ()
5.4. Ordinary Least Squares Estimation (LSE) () and Weighted Least Squares Estimation (WLSE) ()
5.5. Anderson–Darling Estimation (ADE) ()
6. Simulation Illustration
- .
- The bias of every estimator, regardless of the estimation technique, decreases as the sample size increases. This suggests that larger samples produce estimates that are more accurate and have less systematic error.
- The mean squared error (MSE) for any method of estimation decreases with a larger sample size. This means increased precision in the estimates resulting from a decrease in variance, as well as bias with larger samples.
- Similarly, for all estimators, the mean relative error (MRE) decreases with increasing sample size, demonstrating that larger samples minimize relative errors and yield more accurate and exact estimates.
- Regardless of sample size, the MLE and MPS approaches consistently exhibit the lowest bias, MSE and MRE, demonstrating their superior dependability for parameter estimation. These techniques have low errors across sample sizes and are very effective.
- In comparison to MLE and MPS, the CVM approach consistently has higher bias, MSE and MRE, despite showing some improvement with bigger sample numbers. Therefore, CVM is not as accurate or efficient as MLE or MPS, even if it might improve with larger samples.
- Particularly for smaller sample sizes, the OLS and WLS approaches typically have the highest bias, MSE and MRE. This indicates that these techniques may not be as appropriate for high-quality estimation in any situation because of their lower accuracy and precision when compared to MLE and MPS.
7. Applications in Medical Research and Engineering
- The exponential (Ex) distribution with a PDF is expressed as
- The exponentiated exponential (EEx) distribution with a PDF is expressed as
- The Weibull (W) distribution with a PDF is expressed as
- The sine exponential (SEx) distribution with a PDF is expressed as
- The Gamma (G) distribution with PDF as:
- The alpha power exponential (APEx) distribution with a PDF is expressed as
- The Kumaraswamy exponential (KwEx) distribution with a PDF is expressed as
- The Marshal–Olkin exponential (MoEx) distribution with a PDF is expressed as
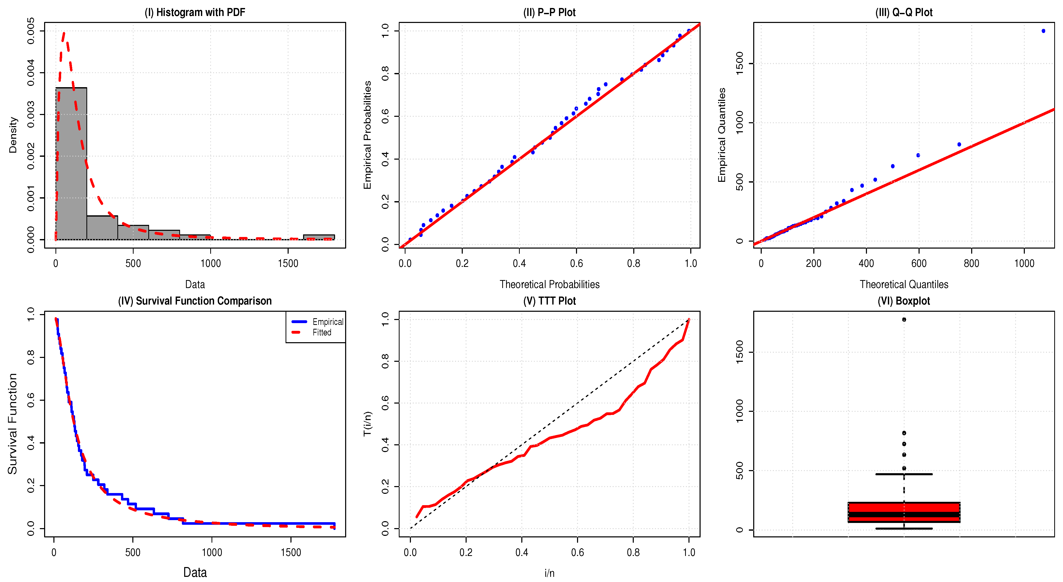
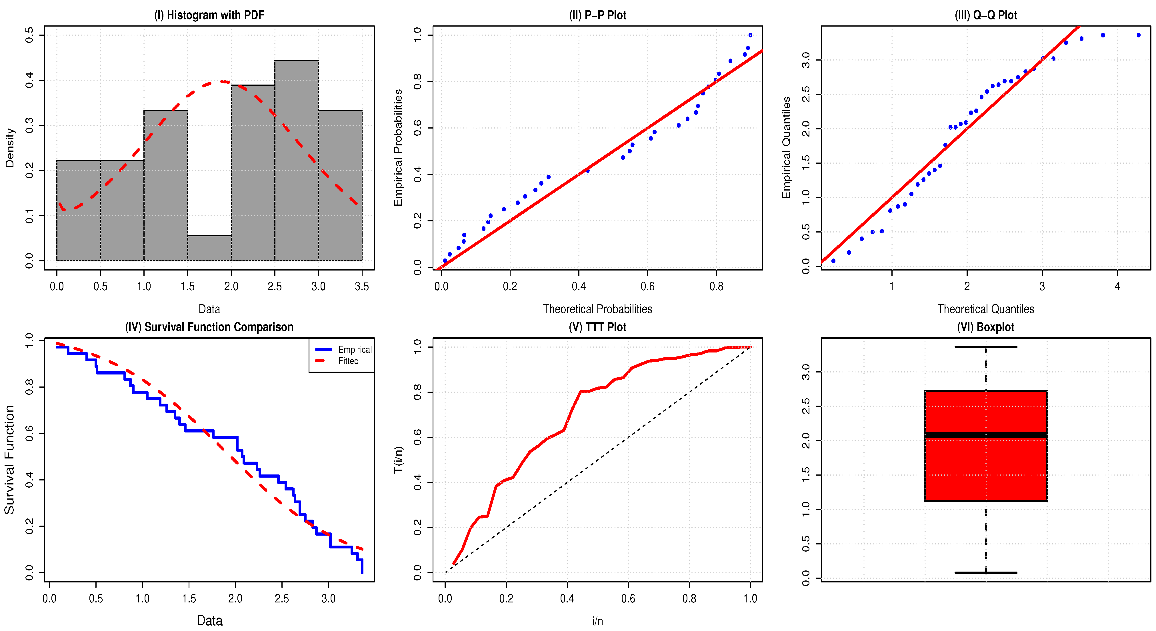
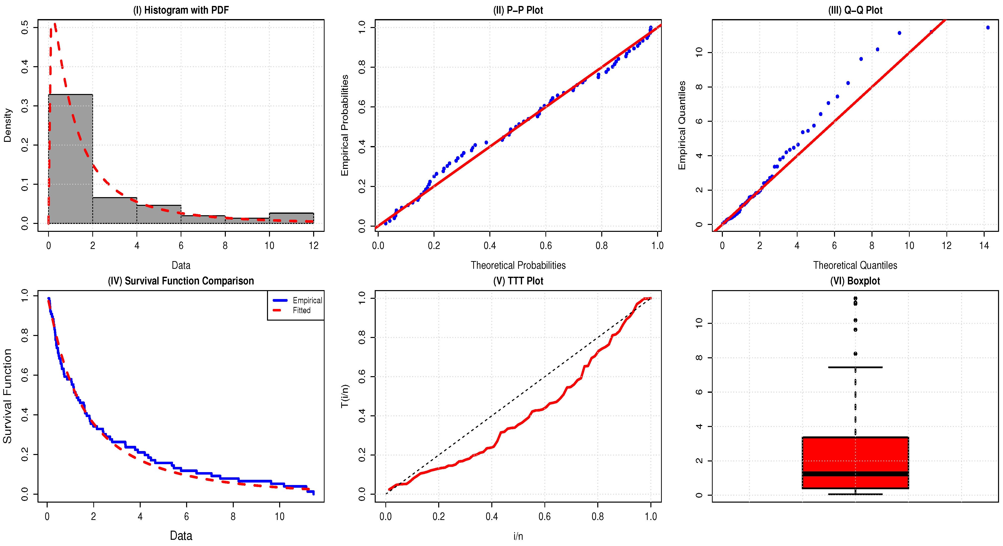
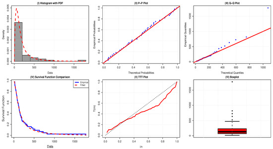
7.1. Application 1: Survival Time of 44 Head and Neck Cancer Patients
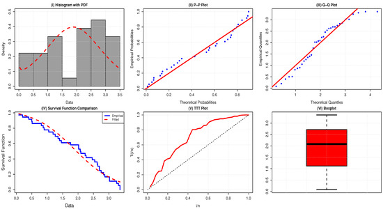
7.2. Application 2: Remission Times of 36 Bladder Cancer Patients
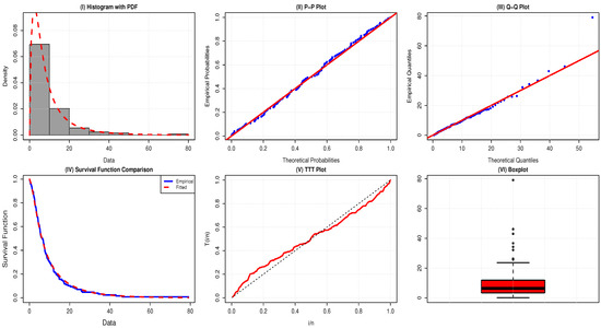
7.3. Application 3: Remission Times of 128 Bladder Cancer Patients
7.4. Application 4: United Kingdom COVID-19 Mortality Rate Data
7.5. Application 5: Failure Time of Censored Lifetime Data
8. Concluding Remarks
Author Contributions
Funding
Data Availability Statement
Acknowledgments
Conflicts of Interest
Appendix A
- Application I: Survival Time of 44 Head and Neck Cancer Patients:
- Application II: Remission Times of 36 Bladder Cancer Patients:
- Application III: Remission Times of 128 Bladder Cancer Patients:
- Application IV: United Kingdom COVID-19 Mortality Rate Data:
- Application V: Failure Time of Censored Lifetime Data:
References
- Mudholkar, G.S.; Srivastava, D.K. Exponentiated Weibull family for analyzing bathtub failure-rate data. IEEE Trans. Reliab. 1993, 42, 299–302. [Google Scholar] [CrossRef]
- Marshall, A.W.; Olkin, I. A new method for adding a parameter to a family of distributions with application to the exponential and Weibull families. Biometrika 1997, 84, 641–652. [Google Scholar] [CrossRef]
- Mahdavi, A.; Kundu, D. A new method for generating distributions with an application to exponential distribution. Commun. Stat.-Theory Methods 2017, 46, 6543–6557. [Google Scholar] [CrossRef]
- Lone, M.A.; Dar, I.H.; Jan, T. A new family of generalized distributions with an application to weibull distribution. Thail. Stat. 2024, 22, 1–16. [Google Scholar]
- Shah, Z.; Khan, D.M.; Khan, I.; Ahmad, B.; Jeridi, M.; Al-Marzouki, S. A novel flexible exponent power-X family of distributions with applications to COVID-19 mortality rate in Mexico and Canada. Sci. Rep. 2024, 14, 8992. [Google Scholar] [CrossRef] [PubMed]
- Alzaatreh, A.; Lee, C.; Famoye, F. A new method for generating families of continuous distributions. Metron 2013, 71, 63–79. [Google Scholar] [CrossRef]
- Musekwa, R.R.; Gabaitiri, L.; Makubate, B. A New Technique to Generate Families of Continuous Distributions. Colomb. J. Stat. Colomb. Estad. 2024, 47, 329–354. [Google Scholar] [CrossRef]
- Alsolmi, M.M. A New Logarithmic Tangent-U Family of Distributions with Reliability Analysis in Engineering Data. Comput. J. Math. Stat. Sci. 2025, 4, 258–282. [Google Scholar] [CrossRef]
- Odhah, O.H.; Alshanbari, H.M.; Ahmad, Z.; Khan, F.; El-Bagoury, A.a.A.H. A New Family of Distributions Using a Trigonometric Function: Properties and Applications in the Healthcare Sector. Heliyon 2024, 10, e29861. [Google Scholar] [CrossRef] [PubMed]
- Mir, A.A.; Rasool, S.U.; Ahmad, S.; Bhat, A.; Jawa, T.M.; Sayed-Ahmed, N.; Tolba, A.H. A Robust Framework for Probability Distribution Generation: Analyzing Structural Properties and Applications in Engineering and Medicine. Axioms 2025, 14, 281. [Google Scholar] [CrossRef]
- Semary, H.; Hussain, Z.; Hamdi, W.A.; Aldahlan, M.A.; Elbatal, I.; Nagarjuna, V.B. Alpha–beta-power family of distributions with applications to exponential distribution. Alex. Eng. J. 2024, 100, 15–31. [Google Scholar] [CrossRef]
- Balakrishnan, K. Exponential Distribution: Theory, Methods and Applications; CRC Press: Boca Raton, FL, USA, 1996. [Google Scholar]
- Gupta, R.D.; Kundu, D. Exponentiated exponential family: An alternative to gamma and Weibull distributions. Biom. J. J. Math. Methods Biosci. 2001, 43, 117–130. [Google Scholar] [CrossRef]
- Isa, A.M.; Bashiru, S.O.; Ali, B.A.; Adepoju, A.A.; Itopa, I.I. Sine-exponential distribution: Its mathematical properties and application to real dataset. UMYU Sci. 2022, 1, 127–131. [Google Scholar]
- Nassar, M.; Afify, A.Z.; Shakhatreh, M. Estimation methods of alpha power exponential distribution with applications to engineering and medical data. Pak. J. Stat. Oper. Res. 2020, 16, 149–166. [Google Scholar] [CrossRef]
- Adepoju, K.; Chukwu, O. Maximum likelihood estimation of the Kumaraswamy exponential distribution with applications. J. Mod. Appl. Stat. Methods 2015, 14, 18. [Google Scholar] [CrossRef]
- Sule, I.; Doguwa, S.I.; Isah, A.; Jibril, H.M. The topp leone kumaraswamy-g family of distributions with applications to cancer disease data. J. Biostat. Epidemiol. 2020, 6, 40–51. [Google Scholar] [CrossRef]
- Abo-Kasem, O.; Ibrahim, O.; Aljohani, H.M.; Hussam, E.; Kilai, M.; Aldallal, R. Statistical Analysis Based on Progressive Type-I Censored Scheme From Alpha Power Exponential Distribution With Engineering and Medical Applications. J. Math. 2022, 2022, 3175820. [Google Scholar] [CrossRef]
- Hibatullah, R.; Widyaningsih, Y.; Abdullah, S. Marshall-Olkin extended power Lindley distribution with application. J. Ris. Apl. Mat. 2018, 2, 84–92. [Google Scholar] [CrossRef]
- Lee, E.T.; Wang, J. Statistical Methods for Survival Data Analysis; John Wiley & Sons: Hoboken, NJ, USA, 2003; Volume 476. [Google Scholar]
- Kilai, M.; Waititu, G.A.; Kibira, W.A.; Alshanbari, H.M.; El-Morshedy, M. A new generalization of Gull Alpha Power Family of distributions with application to modeling COVID-19 mortality rates. Results Phys. 2022, 36, 105339. [Google Scholar] [CrossRef] [PubMed]
- Kargbo, M.; Gichuhi, A.W.; Wanjoya, A.K. A novel extended inverse-exponential distribution and its application to COVID-19 data. Eng. Rep. 2024, 6, e12828. [Google Scholar] [CrossRef]








| 0.25 | 1.2 | 0.0939 | 0.4391 | 1.0789 | 0.2991 | 0.7759 | 0.0075 | 0.0939 | 0.4391 | 0.5994 | 1.5439 |
| 1.7 | 0.0663 | 0.3100 | 0.7616 | 0.0053 | 0.0663 | 0.3100 | |||||
| 2.1 | 0.0537 | 0.2509 | 0.6165 | 0.0043 | 0.0537 | 0.2509 | |||||
| 2.5 | 0.0451 | 0.2108 | 0.5179 | 0.0036 | 0.0451 | 0.2108 | |||||
| 1.25 | 1.2 | 0.8493 | 1.5092 | 2.3168 | 0.1007 | 0.2929 | 0.4112 | 0.8493 | 1.5092 | 0.2020 | 0.5413 |
| 1.7 | 0.5995 | 1.0653 | 1.6354 | 0.2903 | 0.5995 | 1.0653 | |||||
| 2.1 | 0.4853 | 0.8624 | 1.3239 | 0.2350 | 0.4853 | 0.8624 | |||||
| 2.5 | 0.4077 | 0.7244 | 1.1121 | 0.1974 | 0.4077 | 0.7244 | |||||
| 2.25 | 1.2 | 1.2610 | 1.9667 | 2.7949 | 0.0799 | 0.2351 | 0.7476 | 1.2610 | 1.9667 | 0.1577 | 0.4276 |
| 1.7 | 0.8901 | 1.3883 | 1.9729 | 0.5277 | 0.8901 | 1.3883 | |||||
| 2.1 | 0.7206 | 1.1238 | 1.5971 | 0.4272 | 0.7206 | 1.1238 | |||||
| 2.5 | 0.6053 | 0.9440 | 1.3415 | 0.3588 | 0.6053 | 0.9440 | |||||
| Metric | Param | Sample Size | ||||||
|---|---|---|---|---|---|---|---|---|
| AB | 25 | 0.3050 | 0.5710 | 0.3240 | 0.5240 | 0.3570 | 0.2640 | |
| 50 | 0.1750 | 0.3340 | 0.2100 | 0.3110 | 0.1770 | 0.1930 | ||
| 100 | 0.1450 | 0.2110 | 0.1060 | 0.1820 | 0.1350 | 0.1420 | ||
| 150 | 0.0870 | 0.1220 | 0.0900 | 0.1270 | 0.1330 | 0.0880 | ||
| 250 | 0.0800 | 0.0990 | 0.0640 | 0.0990 | 0.0770 | 0.0910 | ||
| 400 | 0.0480 | 0.0800 | 0.0500 | 0.0830 | 0.0660 | 0.0630 | ||
| 25 | 0.2470 | 0.4890 | 0.3370 | 0.4570 | 0.3150 | 0.2520 | ||
| 50 | 0.1440 | 0.2430 | 0.2130 | 0.2780 | 0.1890 | 0.1440 | ||
| 100 | 0.1180 | 0.1950 | 0.1240 | 0.1680 | 0.1350 | 0.1090 | ||
| 150 | 0.0920 | 0.1340 | 0.1060 | 0.1240 | 0.1180 | 0.0930 | ||
| 250 | 0.0610 | 0.0990 | 0.0720 | 0.0970 | 0.0960 | 0.0720 | ||
| 400 | 0.0480 | 0.0640 | 0.0520 | 0.0700 | 0.0710 | 0.0510 | ||
| 25 | 0.2500 | 0.5150 | 0.3030 | 0.4740 | 0.3270 | 0.2760 | ||
| 50 | 0.1680 | 0.3140 | 0.1870 | 0.2920 | 0.1910 | 0.1790 | ||
| 100 | 0.1370 | 0.2050 | 0.1300 | 0.1780 | 0.1380 | 0.1350 | ||
| 150 | 0.0840 | 0.1310 | 0.0960 | 0.1270 | 0.1140 | 0.0950 | ||
| 250 | 0.0730 | 0.0920 | 0.0720 | 0.0970 | 0.0830 | 0.0840 | ||
| 400 | 0.0590 | 0.0820 | 0.0620 | 0.0860 | 0.0730 | 0.0620 | ||
| MSE | 25 | 0.1473 | 0.4566 | 0.1546 | 0.3618 | 0.1818 | 0.0934 | |
| 50 | 0.0383 | 0.1267 | 0.0462 | 0.1125 | 0.0443 | 0.0410 | ||
| 100 | 0.0203 | 0.0445 | 0.0140 | 0.0341 | 0.0206 | 0.0202 | ||
| 150 | 0.0076 | 0.0174 | 0.0086 | 0.0182 | 0.0216 | 0.0083 | ||
| 250 | 0.0063 | 0.0098 | 0.0046 | 0.0104 | 0.0064 | 0.0079 | ||
| 400 | 0.0025 | 0.0066 | 0.0025 | 0.0070 | 0.0043 | 0.0040 | ||
| 25 | 0.0994 | 0.3492 | 0.1502 | 0.2815 | 0.1289 | 0.0877 | ||
| 50 | 0.0300 | 0.0740 | 0.0456 | 0.0747 | 0.0363 | 0.0242 | ||
| 100 | 0.0165 | 0.0382 | 0.0196 | 0.0288 | 0.0203 | 0.0143 | ||
| 150 | 0.0093 | 0.0193 | 0.0125 | 0.0171 | 0.0154 | 0.0094 | ||
| 250 | 0.0047 | 0.0097 | 0.0062 | 0.0094 | 0.0091 | 0.0063 | ||
| 400 | 0.0026 | 0.0046 | 0.0030 | 0.0051 | 0.0051 | 0.0029 | ||
| 25 | 0.1052 | 0.3736 | 0.1384 | 0.3105 | 0.1478 | 0.1012 | ||
| 50 | 0.0322 | 0.1034 | 0.0361 | 0.0886 | 0.0353 | 0.0315 | ||
| 100 | 0.0187 | 0.0419 | 0.0162 | 0.0322 | 0.0190 | 0.0182 | ||
| 150 | 0.0070 | 0.0213 | 0.0101 | 0.0196 | 0.0132 | 0.0095 | ||
| 250 | 0.0054 | 0.0100 | 0.0057 | 0.0108 | 0.0070 | 0.0066 | ||
| 400 | 0.0035 | 0.0073 | 0.0040 | 0.0082 | 0.0050 | 0.0040 | ||
| MRE | 25 | 1.2200 | 2.2840 | 1.2960 | 2.0960 | 1.4280 | 1.0560 | |
| 50 | 0.7000 | 1.3360 | 0.8400 | 1.2440 | 0.7080 | 0.7720 | ||
| 100 | 0.5800 | 0.8440 | 0.4240 | 0.7280 | 0.5400 | 0.5680 | ||
| 150 | 0.3480 | 0.4880 | 0.3600 | 0.5080 | 0.5320 | 0.3520 | ||
| 250 | 0.3200 | 0.3960 | 0.2560 | 0.3960 | 0.3080 | 0.3640 | ||
| 400 | 0.1920 | 0.3200 | 0.2000 | 0.3320 | 0.2640 | 0.2520 | ||
| 25 | 1.6470 | 3.2600 | 2.2470 | 3.0470 | 2.1000 | 1.6800 | ||
| 50 | 0.9600 | 1.6200 | 1.4200 | 1.8530 | 1.2600 | 0.9600 | ||
| 100 | 0.7860 | 1.3000 | 0.8260 | 1.1200 | 0.9000 | 0.7260 | ||
| 150 | 0.6140 | 0.8930 | 0.7040 | 0.8270 | 0.7870 | 0.6200 | ||
| 250 | 0.4070 | 0.6600 | 0.4800 | 0.6470 | 0.6400 | 0.4800 | ||
| 400 | 0.3200 | 0.4270 | 0.3470 | 0.4670 | 0.4730 | 0.3400 | ||
| 25 | 0.7140 | 1.4710 | 0.8660 | 1.3530 | 0.9340 | 0.7880 | ||
| 50 | 0.4800 | 0.9420 | 0.5610 | 0.8330 | 0.5460 | 0.5110 | ||
| 100 | 0.3920 | 0.5860 | 0.3700 | 0.5070 | 0.3940 | 0.3850 | ||
| 150 | 0.2400 | 0.3740 | 0.2740 | 0.3620 | 0.3250 | 0.2700 | ||
| 250 | 0.2080 | 0.2620 | 0.2080 | 0.2760 | 0.2360 | 0.2400 | ||
| 400 | 0.1680 | 0.2340 | 0.1760 | 0.2460 | 0.2140 | 0.1780 |
| Metric | Param | Sample Size | ||||||
|---|---|---|---|---|---|---|---|---|
| AB | 25 | 0.7932 | 1.0942 | 0.9051 | 1.1267 | 0.8974 | 0.8062 | |
| 50 | 0.5607 | 0.8326 | 0.6876 | 0.8475 | 0.6212 | 0.6387 | ||
| 100 | 0.4796 | 0.7206 | 0.5391 | 0.5669 | 0.5031 | 0.5695 | ||
| 150 | 0.3162 | 0.4171 | 0.4028 | 0.4852 | 0.4197 | 0.2948 | ||
| 250 | 0.2861 | 0.3420 | 0.2609 | 0.3295 | 0.2710 | 0.3203 | ||
| 400 | 0.1778 | 0.2884 | 0.2186 | 0.2721 | 0.2397 | 0.2141 | ||
| 25 | 0.7711 | 1.0490 | 0.8740 | 0.8238 | 0.8734 | 0.7766 | ||
| 50 | 0.5278 | 0.7098 | 0.6459 | 0.6556 | 0.5938 | 0.5636 | ||
| 100 | 0.4492 | 0.5391 | 0.4109 | 0.6017 | 0.3958 | 0.4083 | ||
| 150 | 0.3108 | 0.4158 | 0.3297 | 0.3922 | 0.3856 | 0.3523 | ||
| 250 | 0.2315 | 0.3393 | 0.2604 | 0.3381 | 0.2615 | 0.3168 | ||
| 400 | 0.1960 | 0.2573 | 0.1683 | 0.2939 | 0.2126 | 0.2464 | ||
| 25 | 0.2333 | 0.3076 | 0.2304 | 0.2820 | 0.2405 | 0.2404 | ||
| 50 | 0.1667 | 0.2026 | 0.1740 | 0.2262 | 0.2021 | 0.1884 | ||
| 100 | 0.1151 | 0.1719 | 0.1369 | 0.1634 | 0.1513 | 0.1425 | ||
| 150 | 0.0854 | 0.1130 | 0.1110 | 0.1341 | 0.1030 | 0.1056 | ||
| 250 | 0.0832 | 0.0997 | 0.0772 | 0.0936 | 0.0805 | 0.0872 | ||
| 400 | 0.0617 | 0.0860 | 0.0691 | 0.0806 | 0.0759 | 0.0668 | ||
| MSE | 25 | 1.1790 | 1.8809 | 1.4391 | 2.0380 | 1.4198 | 1.2121 | |
| 50 | 0.6871 | 1.3594 | 0.9335 | 1.3450 | 0.7817 | 0.8637 | ||
| 100 | 0.5068 | 1.0583 | 0.5981 | 0.6789 | 0.5650 | 0.6949 | ||
| 150 | 0.2169 | 0.4192 | 0.3867 | 0.4963 | 0.4435 | 0.1587 | ||
| 250 | 0.2075 | 0.2462 | 0.1370 | 0.2029 | 0.1582 | 0.1758 | ||
| 400 | 0.0553 | 0.1674 | 0.0815 | 0.1301 | 0.0935 | 0.0787 | ||
| 25 | 0.9538 | 1.6608 | 1.2225 | 1.1130 | 1.1151 | 0.9672 | ||
| 50 | 0.5198 | 0.8479 | 0.6515 | 0.6883 | 0.5757 | 0.5274 | ||
| 100 | 0.3379 | 0.5124 | 0.2700 | 0.5517 | 0.2556 | 0.2822 | ||
| 150 | 0.1416 | 0.2772 | 0.1679 | 0.2565 | 0.2356 | 0.2088 | ||
| 250 | 0.0906 | 0.1751 | 0.1022 | 0.1709 | 0.1079 | 0.1403 | ||
| 400 | 0.0608 | 0.1055 | 0.0435 | 0.1250 | 0.0709 | 0.0847 | ||
| 25 | 0.0942 | 0.1549 | 0.0864 | 0.1248 | 0.0845 | 0.0949 | ||
| 50 | 0.0447 | 0.0662 | 0.0462 | 0.0743 | 0.0708 | 0.0548 | ||
| 100 | 0.0213 | 0.0432 | 0.0275 | 0.0397 | 0.0339 | 0.0289 | ||
| 150 | 0.0122 | 0.0198 | 0.0190 | 0.0275 | 0.0177 | 0.0178 | ||
| 250 | 0.0115 | 0.0155 | 0.0100 | 0.0143 | 0.0095 | 0.0118 | ||
| 400 | 0.0059 | 0.0111 | 0.0072 | 0.0102 | 0.0081 | 0.0066 | ||
| MRE | 25 | 1.1332 | 1.5631 | 1.2931 | 1.6096 | 1.2820 | 1.1517 | |
| 50 | 0.8010 | 1.1894 | 0.9823 | 1.2106 | 0.8874 | 0.9124 | ||
| 100 | 0.6852 | 1.0295 | 0.7701 | 0.8099 | 0.7187 | 0.8136 | ||
| 150 | 0.4517 | 0.5958 | 0.5754 | 0.6932 | 0.5996 | 0.4212 | ||
| 250 | 0.4088 | 0.4885 | 0.3727 | 0.4707 | 0.3872 | 0.4576 | ||
| 400 | 0.2540 | 0.4120 | 0.3122 | 0.3887 | 0.3425 | 0.3059 | ||
| 25 | 0.3856 | 0.5245 | 0.4370 | 0.4119 | 0.4367 | 0.3883 | ||
| 50 | 0.2639 | 0.3549 | 0.3230 | 0.3278 | 0.2969 | 0.2818 | ||
| 100 | 0.2246 | 0.2696 | 0.2055 | 0.3008 | 0.1979 | 0.2041 | ||
| 150 | 0.1554 | 0.2079 | 0.1649 | 0.1961 | 0.1928 | 0.1761 | ||
| 250 | 0.1158 | 0.1697 | 0.1302 | 0.1691 | 0.1308 | 0.1584 | ||
| 400 | 0.0980 | 0.1287 | 0.0842 | 0.1469 | 0.1063 | 0.1232 | ||
| 25 | 0.2916 | 0.3845 | 0.2880 | 0.3525 | 0.3006 | 0.3005 | ||
| 50 | 0.2083 | 0.2533 | 0.2175 | 0.2828 | 0.2526 | 0.2354 | ||
| 100 | 0.1438 | 0.2148 | 0.1711 | 0.2043 | 0.1892 | 0.1782 | ||
| 150 | 0.1068 | 0.1412 | 0.1387 | 0.1676 | 0.1287 | 0.1320 | ||
| 250 | 0.1040 | 0.1246 | 0.0965 | 0.1170 | 0.1006 | 0.1090 | ||
| 400 | 0.0771 | 0.1075 | 0.0864 | 0.1007 | 0.0949 | 0.0835 |
| Metric | Param | Sample Size | ||||||
|---|---|---|---|---|---|---|---|---|
| AB | 25 | 0.9053 | 1.1194 | 0.9950 | 1.0787 | 0.9699 | 0.8623 | |
| 50 | 0.6443 | 0.8626 | 0.7696 | 0.8760 | 0.7015 | 0.7216 | ||
| 100 | 0.6037 | 0.7605 | 0.6256 | 0.6857 | 0.6030 | 0.6525 | ||
| 150 | 0.4422 | 0.5281 | 0.4960 | 0.5761 | 0.5440 | 0.4161 | ||
| 250 | 0.3639 | 0.4476 | 0.3539 | 0.4650 | 0.3431 | 0.4373 | ||
| 400 | 0.2465 | 0.3844 | 0.2806 | 0.3800 | 0.3147 | 0.3066 | ||
| 25 | 0.2234 | 0.2890 | 0.2679 | 0.2249 | 0.2485 | 0.2175 | ||
| 50 | 0.1458 | 0.1873 | 0.1864 | 0.1837 | 0.1658 | 0.1560 | ||
| 100 | 0.1311 | 0.1539 | 0.1217 | 0.1718 | 0.1154 | 0.1200 | ||
| 150 | 0.0948 | 0.1224 | 0.0984 | 0.1124 | 0.1119 | 0.1054 | ||
| 250 | 0.0705 | 0.0976 | 0.0803 | 0.0980 | 0.0757 | 0.0925 | ||
| 400 | 0.0585 | 0.0746 | 0.0526 | 0.0858 | 0.0642 | 0.0744 | ||
| 25 | 0.8172 | 1.0434 | 0.7665 | 0.8860 | 0.8451 | 0.8225 | ||
| 50 | 0.5791 | 0.6999 | 0.5573 | 0.7775 | 0.6908 | 0.6248 | ||
| 100 | 0.3930 | 0.5750 | 0.4270 | 0.5792 | 0.5098 | 0.4591 | ||
| 150 | 0.2892 | 0.3829 | 0.3571 | 0.4533 | 0.3359 | 0.3579 | ||
| 250 | 0.2726 | 0.3513 | 0.2568 | 0.3303 | 0.2587 | 0.2997 | ||
| 400 | 0.2020 | 0.3017 | 0.2201 | 0.2793 | 0.2501 | 0.2321 | ||
| MSE | 25 | 1.1800 | 1.5789 | 1.3232 | 1.5416 | 1.2499 | 1.0802 | |
| 50 | 0.6736 | 1.1030 | 0.9087 | 1.1416 | 0.7560 | 0.8268 | ||
| 100 | 0.6197 | 0.9602 | 0.6388 | 0.7620 | 0.6222 | 0.7678 | ||
| 150 | 0.3424 | 0.5012 | 0.4455 | 0.5514 | 0.5504 | 0.3027 | ||
| 250 | 0.2811 | 0.3469 | 0.2152 | 0.3727 | 0.2216 | 0.2948 | ||
| 400 | 0.0973 | 0.2796 | 0.1249 | 0.2281 | 0.1560 | 0.1540 | ||
| 25 | 0.0827 | 0.1465 | 0.1194 | 0.0965 | 0.0907 | 0.0720 | ||
| 50 | 0.0360 | 0.0570 | 0.0527 | 0.0530 | 0.0426 | 0.0394 | ||
| 100 | 0.0278 | 0.0384 | 0.0229 | 0.0428 | 0.0212 | 0.0237 | ||
| 150 | 0.0132 | 0.0231 | 0.0147 | 0.0212 | 0.0198 | 0.0182 | ||
| 250 | 0.0082 | 0.0145 | 0.0095 | 0.0143 | 0.0091 | 0.0119 | ||
| 400 | 0.0053 | 0.0090 | 0.0040 | 0.0105 | 0.0065 | 0.0076 | ||
| 25 | 1.2083 | 1.8953 | 1.0501 | 1.2623 | 1.1530 | 1.1465 | ||
| 50 | 0.5638 | 0.8614 | 0.5094 | 1.0323 | 0.9352 | 0.6747 | ||
| 100 | 0.2565 | 0.5344 | 0.2721 | 0.5630 | 0.4028 | 0.3098 | ||
| 150 | 0.1418 | 0.2366 | 0.1858 | 0.3154 | 0.1884 | 0.2029 | ||
| 250 | 0.1206 | 0.1917 | 0.1077 | 0.1779 | 0.1021 | 0.1427 | ||
| 400 | 0.0632 | 0.1357 | 0.0728 | 0.1238 | 0.0926 | 0.0836 | ||
| MRE | 25 | 0.7544 | 0.9328 | 0.8292 | 0.8989 | 0.8083 | 0.7186 | |
| 50 | 0.5369 | 0.7188 | 0.6413 | 0.7300 | 0.5846 | 0.6014 | ||
| 100 | 0.5031 | 0.6338 | 0.5213 | 0.5714 | 0.5025 | 0.5437 | ||
| 150 | 0.3685 | 0.4401 | 0.4133 | 0.4801 | 0.4533 | 0.3467 | ||
| 250 | 0.3032 | 0.3730 | 0.2949 | 0.3875 | 0.2859 | 0.3644 | ||
| 400 | 0.2054 | 0.3203 | 0.2338 | 0.3167 | 0.2622 | 0.2555 | ||
| 25 | 0.3192 | 0.4129 | 0.3827 | 0.3213 | 0.3550 | 0.3107 | ||
| 50 | 0.2083 | 0.2676 | 0.2662 | 0.2624 | 0.2368 | 0.2228 | ||
| 100 | 0.1873 | 0.2199 | 0.1739 | 0.2454 | 0.1648 | 0.1714 | ||
| 150 | 0.1354 | 0.1748 | 0.1405 | 0.1605 | 0.1598 | 0.1505 | ||
| 250 | 0.1007 | 0.1394 | 0.1147 | 0.1400 | 0.1081 | 0.1322 | ||
| 400 | 0.0836 | 0.1065 | 0.0751 | 0.1226 | 0.0917 | 0.1062 | ||
| 25 | 0.3891 | 0.4968 | 0.3650 | 0.4219 | 0.4024 | 0.3916 | ||
| 50 | 0.2757 | 0.3333 | 0.2654 | 0.3703 | 0.3289 | 0.2975 | ||
| 100 | 0.1871 | 0.2738 | 0.2033 | 0.2758 | 0.2428 | 0.2186 | ||
| 150 | 0.1377 | 0.1823 | 0.1700 | 0.2158 | 0.1600 | 0.1704 | ||
| 250 | 0.1298 | 0.1673 | 0.1223 | 0.1573 | 0.1232 | 0.1427 | ||
| 400 | 0.0962 | 0.1437 | 0.1048 | 0.1330 | 0.1191 | 0.1105 |
| N | Min | Max | Mean | Median | SD | CV | Skewness | Kurtosis |
|---|---|---|---|---|---|---|---|---|
| 45 | 1.22 | 177.60 | 19.58 | 13.00 | 27.33 | 1.39 | 2.60 | 8.43 |
| Model | KS | p-Value | |||||
|---|---|---|---|---|---|---|---|
| AAPEx | 22.64502 | 1.74971 | 0.01477 | 0.11854 | 0.01329 | 0.04823 | 0.99978 |
| Ex | – | – | 0.04557 | 1.02506 | 0.18737 | 0.14458 | 0.27615 |
| EEx | 0.04740 | – | 1.06055 | 1.08472 | 0.20649 | 0.14831 | 0.24971 |
| W | 0.93485 | – | 21.13857 | 0.90881 | 0.14610 | 0.12894 | 0.40838 |
| SEx | – | – | 0.02536 | 1.29298 | 0.25148 | 0.15813 | 0.18911 |
| G | 1.01382 | – | 0.04620 | 1.04062 | 0.19250 | 0.14580 | 0.26730 |
| APEx | 0.00985 | – | 0.01289 | 0.69647 | 0.09408 | 0.10812 | 0.62967 |
| KwEx | 1.35157 | 0.34143 | 0.14464 | 1.30992 | 0.26539 | 0.15490 | 0.20763 |
| MoEx | 0.47828 | – | 0.03000 | 0.87013 | 0.12745 | 0.11055 | 0.60213 |
| Model | AIC | SIC | AICC | HQIC | |
|---|---|---|---|---|---|
| AAPEx | 179.2323 | 364.4645 | 369.8845 | 373.2450 | 366.4850 |
| Ex | 183.9857 | 369.9714 | 371.7780 | 374.1574 | 370.6449 |
| EEx | 183.9450 | 371.8899 | 375.5032 | 378.3185 | 373.2369 |
| W | 183.7745 | 371.5489 | 375.1623 | 377.9775 | 372.8960 |
| SEx | 184.7475 | 371.4951 | 373.3017 | 375.6811 | 372.1686 |
| G | 183.9830 | 371.9659 | 375.5793 | 378.3945 | 373.3129 |
| APEx | 182.1599 | 368.3198 | 371.9332 | 374.7484 | 369.6668 |
| KwEx | 183.5517 | 373.1034 | 378.5234 | 381.8839 | 375.1239 |
| MoEx | 182.9520 | 369.9040 | 373.5173 | 376.3325 | 371.2510 |
| N | Min | Max | Mean | Median | SD | CV | Skewness | Kurtosis |
|---|---|---|---|---|---|---|---|---|
| 36 | 0.08 | 3.36 | 1.94 | 2.08 | 0.99 | 0.51 | −0.30 | 1.86 |
| Model | KS | p-Value | |||||
|---|---|---|---|---|---|---|---|
| AAPEx | 0.03581 | 0.65653 | 1.51556 | 0.71798 | 0.10516 | 0.11153 | 0.76174 |
| Ex | – | – | 0.51546 | 3.40831 | 0.65556 | 0.23032 | 0.04388 |
| EEx | 0.81237 | – | 2.27235 | 1.48294 | 0.25693 | 0.19628 | 0.12482 |
| W | 1.95698 | – | 2.16448 | 1.10604 | 0.17472 | 0.16587 | 0.27522 |
| SEx | – | – | 0.29213 | 3.07562 | 0.58929 | 0.22767 | 0.04789 |
| G | 2.30964 | – | 1.19053 | 1.40628 | 0.24106 | 0.19445 | 0.13137 |
| APEx | 57.9466 | – | 1.01115 | 1.03185 | 0.16795 | 0.16679 | 0.26915 |
| KwEx | 1.95798 | 100.005 | 0.01379 | 1.11289 | 0.17745 | 0.16812 | 0.26076 |
| MoEx | 17.1667 | – | 1.49380 | 0.76685 | 0.10965 | 0.11438 | 0.73394 |
| Model | AIC | SIC | AICC | HQIC | |
|---|---|---|---|---|---|
| AAPEx | 50.16594 | 106.3319 | 111.0824 | 115.3319 | 107.9901 |
| Ex | 59.85677 | 121.7135 | 123.2971 | 125.9488 | 122.2662 |
| EEx | 54.82474 | 113.6495 | 116.8165 | 120.1949 | 114.7549 |
| W | 51.38705 | 106.7741 | 109.9411 | 113.3195 | 107.8795 |
| SEx | 58.48822 | 118.9764 | 120.5599 | 123.2117 | 119.5291 |
| G | 54.09240 | 112.1848 | 115.3518 | 118.7303 | 113.2903 |
| APEx | 52.58815 | 109.1763 | 112.3433 | 115.7217 | 110.2817 |
| KwEx | 51.51497 | 109.0299 | 113.7805 | 118.0299 | 110.6880 |
| MoEx | 54.24223 | 108.4845 | 112.6515 | 116.0299 | 109.5898 |
| N | Min | Max | Mean | Median | SD | CV | Skewness | Kurtosis |
|---|---|---|---|---|---|---|---|---|
| 128 | 0.08 | 79.05 | 9.37 | 6.40 | 10.51 | 1.12 | 3.32 | 16.15 |
| Model | KS | p-Value | |||||
|---|---|---|---|---|---|---|---|
| AAPEx | 4.53731 | 1.65111 | 0.07081 | 95.5586 | 16.45183 | 0.03508 | 0.99749 |
| Ex | – | – | 0.10677 | 98.08299 | 17.20577 | 0.08463 | 0.31835 |
| EEx | 0.12117 | – | 1.21795 | 108.7662 | 18.26517 | 0.07251 | 0.51132 |
| W | 1.04784 | – | 9.56069 | 102.4439 | 17.60350 | 0.07002 | 0.55696 |
| SEx | – | – | 0.05974 | 103.4375 | 17.67466 | 0.07130 | 0.53327 |
| G | 1.17251 | – | 0.12519 | 107.2713 | 18.10190 | 0.07329 | 0.49738 |
| APEx | 1.17389 | – | 0.11132 | 99.81774 | 17.35312 | 0.07934 | 0.39612 |
| KwEx | 1.39231 | 0.36887 | 0.31797 | 109.6697 | 18.41134 | 0.07131 | 0.53309 |
| MoEx | 1.05580 | – | 0.10986 | 99.23212 | 17.30257 | 0.08113 | 0.36848 |
| Model | AIC | SIC | AICC | HQIC | |
|---|---|---|---|---|---|
| AAPEx | 409.3431 | 824.6862 | 832.2422 | 832.9442 | 828.1625 |
| Ex | 414.3419 | 830.6838 | 833.5358 | 834.7473 | 831.8426 |
| EEx | 413.0776 | 830.1552 | 835.8592 | 836.2992 | 832.4728 |
| W | 414.0869 | 832.1738 | 837.8778 | 838.3178 | 834.4913 |
| SEx | 414.3326 | 830.6652 | 833.5172 | 834.7287 | 831.8240 |
| G | 413.3678 | 830.7356 | 836.4396 | 836.8796 | 833.0531 |
| APEx | 414.3182 | 832.6364 | 838.3404 | 838.7804 | 834.9540 |
| KwEx | 412.5467 | 831.0934 | 839.6495 | 839.3515 | 834.5698 |
| MoEx | 414.3262 | 832.6523 | 838.3564 | 838.7963 | 834.9699 |
| N | Min | Max | Mean | Median | SD | CV | Skewness | Kurtosis |
|---|---|---|---|---|---|---|---|---|
| 76 | 0.0587 | 11.4584 | 2.44 | 1.25 | 2.94 | 1.20 | 1.73 | 2.32 |
| Model | KS | p-Value | |||||
|---|---|---|---|---|---|---|---|
| AAPEx | 4.18814 | 1.14796 | 0.21729 | 11.56824 | 2.08806 | 0.06201 | 0.93198 |
| Ex | – | – | 0.41031 | 15.18011 | 2.55809 | 0.14469 | 0.08295 |
| EEx | 0.35303 | – | 0.80094 | 12.36936 | 2.17238 | 0.09854 | 0.45159 |
| W | 0.84659 | – | 2.22001 | 11.68762 | 2.07868 | 0.08055 | 0.70739 |
| SEx | – | – | 0.22504 | 16.91311 | 2.79431 | 0.16798 | 0.02743 |
| G | 0.80374 | – | 0.32978 | 12.27718 | 2.15886 | 0.09615 | 0.48331 |
| APEx | 0.15208 | – | 0.25403 | 12.04856 | 2.13596 | 0.08109 | 0.69971 |
| KwEx | 0.84519 | 162.077 | 0.00108 | 11.69360 | 2.07978 | 0.08094 | 0.70182 |
| MoEx | 0.36165 | – | 0.24004 | 11.69679 | 2.10325 | 0.07129 | 0.90182 |
| Model | AIC | SIC | AICC | HQIC | |
|---|---|---|---|---|---|
| AAPEx | 139.9784 | 285.9568 | 292.9490 | 294.4013 | 288.7513 |
| Ex | 143.7044 | 289.4088 | 291.7395 | 293.5169 | 290.3402 |
| EEx | 142.5029 | 289.0059 | 293.6673 | 295.2524 | 290.8688 |
| W | 141.7519 | 287.5037 | 292.1652 | 293.7503 | 289.3667 |
| SEx | 145.6999 | 293.3997 | 295.7305 | 297.5079 | 294.3312 |
| G | 142.4105 | 288.8209 | 293.4824 | 295.0675 | 290.6839 |
| APEx | 140.8746 | 285.7492 | 290.4107 | 291.9958 | 287.6122 |
| KwEx | 141.7632 | 289.5265 | 296.5187 | 297.9709 | 292.3209 |
| MoEx | 141.3077 | 286.6154 | 293.5187 | 295.9709 | 289.3209 |
| N | Min | Max | Mean | Median | SD | CV | Skewness | Kurtosis |
|---|---|---|---|---|---|---|---|---|
| 20 | 0.0014 | 10.7582 | 5.42 | 5.36 | 3.44 | 0.63 | 0.0025 | 1.87 |
| Model | KS | p-Value | |||||
|---|---|---|---|---|---|---|---|
| AAPEx | 0.00843 | 0.08342 | 0.41587 | 0.48125 | 0.06164 | 0.13795 | 0.79243 |
| Ex | – | – | 0.17519 | 1.70189 | 0.26703 | 0.23231 | 0.19687 |
| EEx | 0.15701 | – | 0.83773 | 1.88151 | 0.33551 | 0.24932 | 0.13961 |
| W | 1.08926 | – | 5.81639 | 1.59742 | 0.22706 | 0.22047 | 0.24651 |
| SEx | – | – | 0.09836 | 1.56546 | 0.23413 | 0.22178 | 0.24059 |
| G | 0.86369 | – | 0.15130 | 1.84426 | 0.32241 | 0.24603 | 0.14952 |
| APEx | 12.40703 | – | 0.28199 | 1.13144 | 0.10865 | 0.16304 | 0.60540 |
| KwEx | 0.30718 | 0.05988 | 2.74289 | 1.59080 | 0.30764 | 0.23903 | 0.17242 |
| MoEx | 8.08609 | – | 0.39842 | 1.05247 | 0.07825 | 0.14723 | 0.72520 |
| Model | AIC | SIC | AICC | HQIC | |
|---|---|---|---|---|---|
| AAPEx | 48.1684 | 102.3368 | 105.3239 | 112.3368 | 102.9199 |
| Ex | 54.8377 | 111.6754 | 112.6711 | 116.1199 | 111.8698 |
| EEx | 54.6205 | 113.2411 | 115.2325 | 120.2999 | 113.6298 |
| W | 54.7518 | 113.5036 | 115.4950 | 120.5624 | 113.8923 |
| SEx | 54.2871 | 110.5741 | 111.5699 | 115.0186 | 110.7685 |
| W | 54.6896 | 113.3792 | 115.3707 | 120.4380 | 113.7679 |
| APEx | 52.9431 | 109.8862 | 111.8777 | 116.9450 | 110.2750 |
| KwEx | 52.5538 | 111.1076 | 114.0948 | 121.1076 | 111.6907 |
| MoEx | 51.8900 | 107.7801 | 109.7715 | 114.8389 | 108.1688 |
Disclaimer/Publisher’s Note: The statements, opinions and data contained in all publications are solely those of the individual author(s) and contributor(s) and not of MDPI and/or the editor(s). MDPI and/or the editor(s) disclaim responsibility for any injury to people or property resulting from any ideas, methods, instructions or products referred to in the content. |
© 2025 by the authors. Licensee MDPI, Basel, Switzerland. This article is an open access article distributed under the terms and conditions of the Creative Commons Attribution (CC BY) license (https://creativecommons.org/licenses/by/4.0/).
Share and Cite
Mir, A.A.; Bhat, A.A.; Ahmad, S.P.; Alnssyan, B.S.; Alsubie, A.; Raghav, Y.S. Statistical Inference and Goodness-of-Fit Assessment Using the AAP-X Probability Framework with Symmetric and Asymmetric Properties: Applications to Medical and Reliability Data. Symmetry 2025, 17, 863. https://doi.org/10.3390/sym17060863
Mir AA, Bhat AA, Ahmad SP, Alnssyan BS, Alsubie A, Raghav YS. Statistical Inference and Goodness-of-Fit Assessment Using the AAP-X Probability Framework with Symmetric and Asymmetric Properties: Applications to Medical and Reliability Data. Symmetry. 2025; 17(6):863. https://doi.org/10.3390/sym17060863
Chicago/Turabian StyleMir, Aadil Ahmad, A. A. Bhat, S. P. Ahmad, Badr S. Alnssyan, Abdelaziz Alsubie, and Yashpal Singh Raghav. 2025. "Statistical Inference and Goodness-of-Fit Assessment Using the AAP-X Probability Framework with Symmetric and Asymmetric Properties: Applications to Medical and Reliability Data" Symmetry 17, no. 6: 863. https://doi.org/10.3390/sym17060863
APA StyleMir, A. A., Bhat, A. A., Ahmad, S. P., Alnssyan, B. S., Alsubie, A., & Raghav, Y. S. (2025). Statistical Inference and Goodness-of-Fit Assessment Using the AAP-X Probability Framework with Symmetric and Asymmetric Properties: Applications to Medical and Reliability Data. Symmetry, 17(6), 863. https://doi.org/10.3390/sym17060863

