Abstract
This work proposes a novel extension for a new extended Weibull distribution. Some statistical properties of the proposed distribution are studied including quantile, moments, skewness, and kurtosis. The hazard rate function of the new distribution has certain elastic qualities, allowing it to take increasing, upside-down bathtub, and modified upside-down bathtub shapes commonly observed in medical contexts. Different methods of estimation are studied using complete data. Two real data sets from the medical field are analyzed to demonstrate that the proposed model has adaptability in practice. In comparison to some well-known distributions, the suggested distribution fits the tested data better based on both parametric and non-parametric statistical criteria. A simulation study is presented to compare the obtained estimates based on mean square error and average absolute bias.
Keywords:
new extended Weibull distribution; different estimation methods; upside-down bathtub hazard rate; modified upside-down hazard rate MSC:
62F10; 60E05
1. Introduction
The provided statistical lifetime distributions play a significant role in both the quality of the statistical analysis procedures and in the realization and forecasting of real-world phenomena. The statistician’s choice of model is made easier by the availability of many lifetime distributions that are available to them. Thus, the generalization of the existing lifetime distributions has become urgently necessary due to their flexibility because the data of many significant problems in engineering, medicine, and other areas are incompatible with or poorly fit by the available lifetime distributions. It is important and challenging to select the best statistical model for data analysis. As a result, several authors have worked very hard in recent years to propose new families that extend current distributions and offer adaptable classes for modeling data in many different areas.
In several disciplines, including medicine and reliability engineering, the Weibull distribution [1] is one of the most often utilized distributions. The complicated lifetime of some systems cannot be modeled by the Weibull distribution because it does not possess the property of bathtub-shaped or unimodal-shaped hazard rate functions. Several extensions to the Weibull distribution have been developed to address this issue.
Numerous publications, including [2,3,4,5,6], proposed several Weibull distribution extensions with more adaptable characteristics.
Additionally, the Weibull distribution also has two important extensions, namely, the modified Weibull distribution (MWD) [7] and new extended Weibull distribution (NEWD) [8], which are extremely significant in numerous applications. For the MWD’s HRF, only increasing or bathtub shapes are available, while the NEWD’s HRF only permits the use of increasing or upside-down bathtub shapes. Recently, many publications proposed several extension of distributions with HRFs with upside-down bathtub and modified upside-down bathtub shapes, including [9,10,11,12].
This study’s primary goal is to introduce a new extension known as the Modification for New Extended Weibull distribution, which has more flexible qualities than the New Extended Weibull distribution.
The following goals give a significant justification for the importance of the proposed distribution.
- To present a novel lifetime distribution by extending the new extended Weibull distribution and discuss its advantages and potential uses.
- To calculate the formula of the quantile in closed form and study the numerical results of the rth moment of the proposed distribution.
- To show the hazard rate function of the new distribution can take not only the upside-down bathtub shape like NEWD but also the modified upside-down bathtub shape commonly observed in medical contexts.
- To investigate several techniques of estimation for the new model’s unknown parameters based on complete data.
- Using the ideas and techniques presented in this study, the significance of this new model in the medical field is demonstrated under complete data.
- When applied to the clinical data, the new distribution demonstrates a superior fit compared to its sub-models and some well-known distributions.
- The effectiveness of the various estimation strategies used to estimate the distribution parameters is investigated using a simulation study.
The article is divided into seven sections, each focusing on a particular topic of the study. In Section 2, the construction of the GNEWD is thoroughly detailed. In Section 3, some statistical properties are studied. The behavior of the HRF of the GNEWD is presented in Section 4. Section 5 is dedicated to studying the different techniques of estimation for the new model. Two applications are presented to demonstrate the practical relevance and effectiveness of the proposed methods based on real-life data in Section 6. A simulation study is carried out in Section 7 to evaluate the performance of the proposed estimators.
2. The New Modification for Weibull Distribution
The CDF of the GNEWD with parameter vector is obtained by multiplying the cumulative hazard rate function for the Weibull distribution by the component
where is the scale parameter, and are the shape parameters.
Accordingly, the PDF, SF, and HRF of the GNEWD are given, respectively, as follows.
and
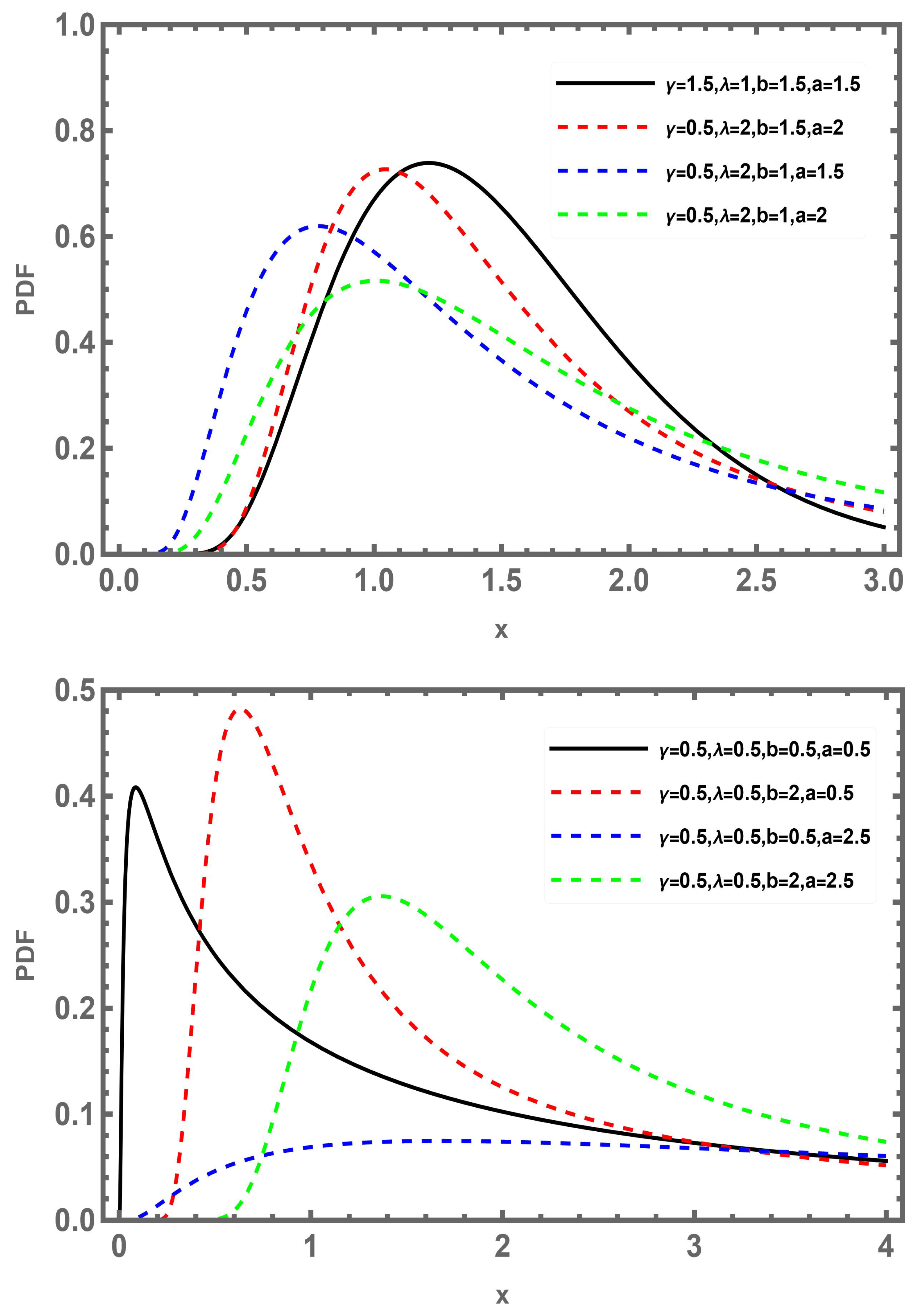
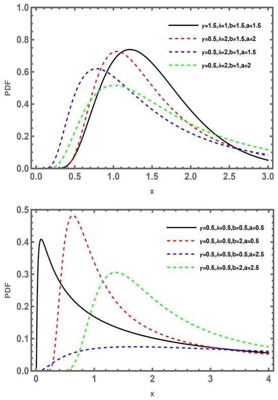
Some possible shapes for the PDF of the GNEWD are exhibited in Figure 1. Based on different values of parameters, the PDF of the GNEWD can be unimodal with a small and long right tail. Figure 2a exhibits the shapes for the CDF of the GNEWD and Figure 2b exhibits the shapes for the survival function of the GNEWD with different values of parameters of the GNEWD.
Figure 1.
The PDFs of GNEWD with different values of parameters.
Figure 2.
(a) The CDFs of GNEWD with different values of parameters; (b) the survival functions of GNEWD with different values of parameters.
Table 1.
The sub-models from GNEWD.
3. Some Statistical Properties
In this section, an explicit form of the GNEWD’s quantile function is presented. This is required for generating random data samples from the proposed distribution to conduct the simulation study. It is also important to calculate the Bowley skewness and Moors kurtosis measures which are used to demonstrate a distribution’s asymmetry and tail behavior, respectively, utilizing quantile-based techniques that are less sensitive to outliers. Further, the formula for the moments of the GNEWD is studied.
3.1. Quantiles
Lemma 1.
From (1), it is evident that the quantile function of the GNEWD can be given as follows:
where is the LambertW function [for more details, see [14]].
Proof 1.
Let ; then
by applying some algebraic calculation, we get
using the definition of the LambertW function, the result is satisfied. □
Let be the quantile of the GNEWD which is given by (5). Then the Bowley skewness and Moors kurtosis of the GNEWD can be given, respectively, as follows:
and
3.2. Moments
Moments are important in statistical analysis, both theoretically and practically. They provide crucial insights into probability distribution behavior by quantifying key properties like central tendency, variability, skewness, and kurtosis. Upon using (2), the rth moments of the GNEWD can be given as
The integration in (8) cannot be calculated analytically. So, numerical method can be used to compute (8) using NIntegrate in Wolfram Mathematica 11.
The measurements of variance , skewness , and kurtosis can be calculated, respectively, by using the first four ordinary moments of the GNEWD as:
and
Some numerical values of the first four ordinary moments, variance, skewness, and kurtosis of the GNEWD are calculated and listed in Table 2. From Table 2, one can show that the following results are satisfied:
Table 2.
The first four ordinary moments, variance, skewness, and kurtosis of the GNEWD using different values of a and b under fixed values of and .
- Under fixed values of ,
- As b increases with fixed a, the mean and variance of the GNEWD decrease.
- As a increases with fixed b, the mean and variance of the GNEWD increase.
- As b increases with fixed a, the skewness of the GNEWD decreases.
- As a increases with fixed b, the skewness of the GNEWD decreases.
- As b increases with fixed a, the kurtosis of the GNEWD increases.
- As a increases with fixed b, the kurtosis of the GNEWD decreases.
- Under fixed values of ,
- As b increases with fixed a, the mean of the GNEWD increases and variance of the GNEWD decreases.
- As a increases with fixed b, the mean and variance of the GNEWD increase.
- As b increases with fixed a, the skewness of the GNEWD decreases.
- As a increases with fixed b, the skewness of the GNEWD decreases.
- As b increases with fixed a, the kurtosis of the GNEWD increases.
- As a increases with fixed b, the kurtosis of the GNEWD increases.
4. Some Attributes of the HRF
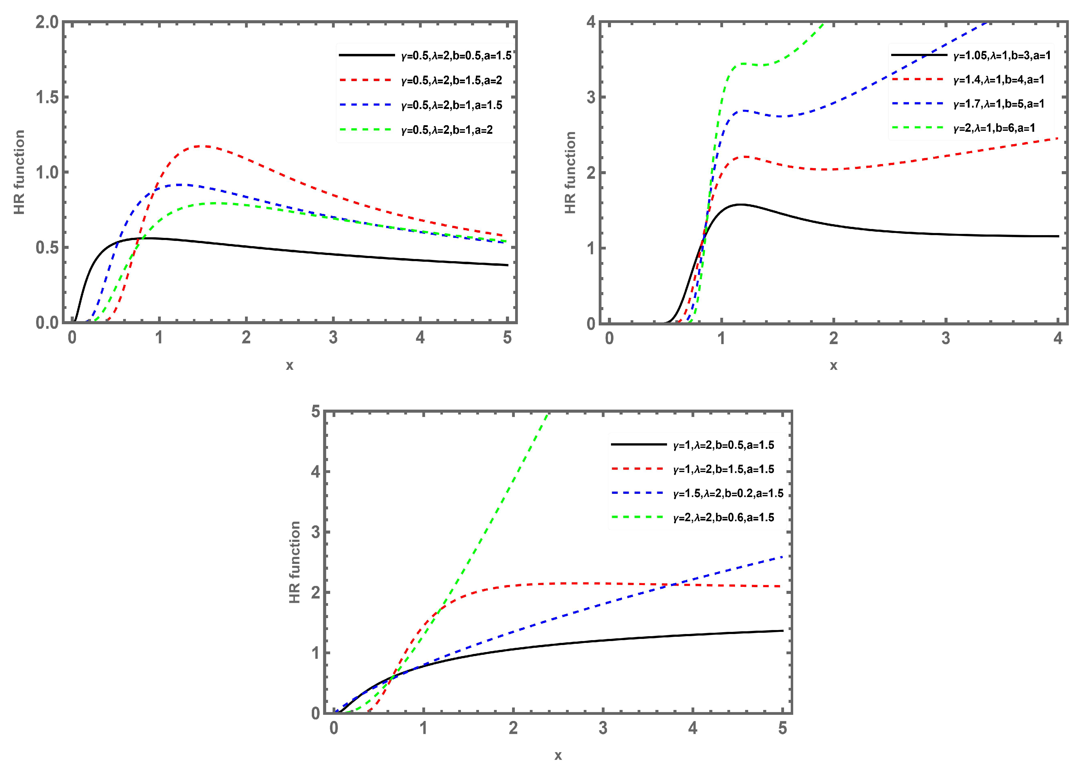
This section deals with some characterization of the HRF. The different shapes for the HRF of the GNEWD including increasing, upside-down bathtub, and modified upside-down bathtub shapes are shown in this section. From (4), one can show that the first derivative of can be written as
If , Equation (12) reduces to
which is the same for NEWD as in [8].
Remark 1.
For , , and , the following limits are satisfied:
- 1.
- for .
- 2.
- for .
- 3.
- for .
- 4.
- for .
- 5.
- for .
- 6.
- for .
It is easy to show that for all values of using L’Hospital’s rule. Further, the value of the limit can be obtained directly as shown in Remark 1.
Lemma 2.
For and , the HRF take the following shapes:
- h(x;Θ) has increasing shape from zero to infinity if and .
- h(x;Θ) has increasing shape from 0 to λ if and .
- h(x;Θ) has an upside-down bathtub shape if and .
- h(x;Θ) has a modified upside-down bathtub shape if and .
Proof 2.
Equation (12) can be rewritten as
Upon using (13) with the results in Remark 1, one can derived the following results:
- For and , it is clear that for all . Then has an increasing shape that goes from zero to ∞ as .
- For and , it is clear that for all . Then has an increasing shape that goes from zero to as .
- For and , it is clear that has two roots based on the expression which are given as follows: and . Under the two conditions and , it is evident that and because . So, has a unique root for which is . Additionally, when and when . This means that the hazard rate function has an upside-down bathtub shape that converges to 0 when x approaches 0 or ∞.
- For and , it is clear that has two roots, and . Under the two conditions and , it is clear that , , , and . So, there are two change points. Also, when and and when and (using in Wolfram Mathematica). This means that the hazard rate function has a modified upside-down bathtub shape.
□
Upon using different values of parameters as shown in the previous two lemmas, the behavior of the HRF of the GNEWD can be increasing, upside-down bathtub, and modified upside-down bathtub as shown in Figure 3.
Figure 3.
The HRFs of GNEWD with different values of parameters.
5. Different Methods of Estimation
This section outlines five specific estimation techniques relevant to the GNEWD: MLE, LSE, WLSE, CVME, and ADE. These methods are utilized to estimate the unknown parameters of the new model.
5.1. Maximum Likelihood Estimation
Suppose that is an independent random sample of size n from the GNEWD. From Equation (2), the log-likelihood function can be obtained as
5.2. The Parameters , , a, and b Are Unknown
The MLE of is given by solving the four normal equations , , , and . Since these equations cannot be solved analytically, they are solved numerically by employing in the Wolfram Mathematica 11 software. The initial values for the parameters can be obtained by fitting special GNEWD sub-models using in the Wolfram Mathematica 11 software.
5.3. Fisher Information Matrix
Since the computation of the Fisher information matrix (given by taking the expectation of the second derivative of (14)) is very difficult, it seems appropriate to approximate these expected values by their MLEs. Then, the asymptotic variance–covariance matrix is given as follows [see, [15]]:
where , , see Appendix A. Accordingly, the ACIs based on the asymptotic variance–covariance matrix for the parameters , , a, and b are, respectively, given as follows:
5.4. Least Square and Weighted Least Square Estimations
The study [16] presents the LSE and WLSE for estimating the parameters of the beta distribution. These methods will estimate the parameters of the GNEWD. For this purpose, take , as the ordered sample of a random sample of size n. Then the LSE of the parameters of the GNEWD can be obtained by minimizing the following function:
with respect to the unknown parameters or by solving the following non-linear equations:
and
where
and
5.5. Cramér Von-Mises Estimation
In the study [17], it was shown that the bias of CVME is smaller than the other minimum distance estimator. The CVME of the GNEWD is obtained by minimizing the following function:
with respect to the unknown parameters or by solving the following non-linear equations:
and
where , , , and are given by (16), (17), (18), and (19), respectively.
5.6. Anderson Darling Estimation
Another study [18], studied the properties of ADE. From the results given there, the A-DE of the GNEWD is obtained by minimizing the following function:
with respect to the unknown parameters or by solving the following non-linear equations:
and
where , , , and are given by (16), (17), (18), and (19), respectively.
6. Application to Real Data
In this section, three clinical real data sets are analyzed to show that the generalized new extended Weibull distribution (GNEWD) offers enhanced flexibility for modeling these data sets better than their sub-models and some well-known distributions. For every data set, the NGNEWD can be compared, using a non-parametric test like the Kolmogorov–Smirnov test (K-S) and parametric tests such as the Akaike information criterion (AIC) and Bayesian information criterion (BIC), with its sub models (NEWD, RGNEWD, RNEWD, and WD) and also with the following well-known distributions summarized in Table 3.
Table 3.
Some unimodal well-known distributions.
6.1. Liver Cancer Data
The data presented in [26], and analyzed in [27,28,29], includes records for 39 liver cancer patients. These patients were treated at Elminia Cancer Center, which operates under the Ministry of Health in Egypt. The cases were registered in the year 1999. The data set contains the lifetimes of the patients, measured in days, being 10, 14, 14, 14, 14, 14, 15, 17, 18, 20, 20, 20, 20, 20, 23, 23, 24, 26, 30, 30, 31, 40, 49, 51, 52, 60, 61, 67, 71, 74, 75, 87, 96, 105, 107, 107, 107, 116, 150.
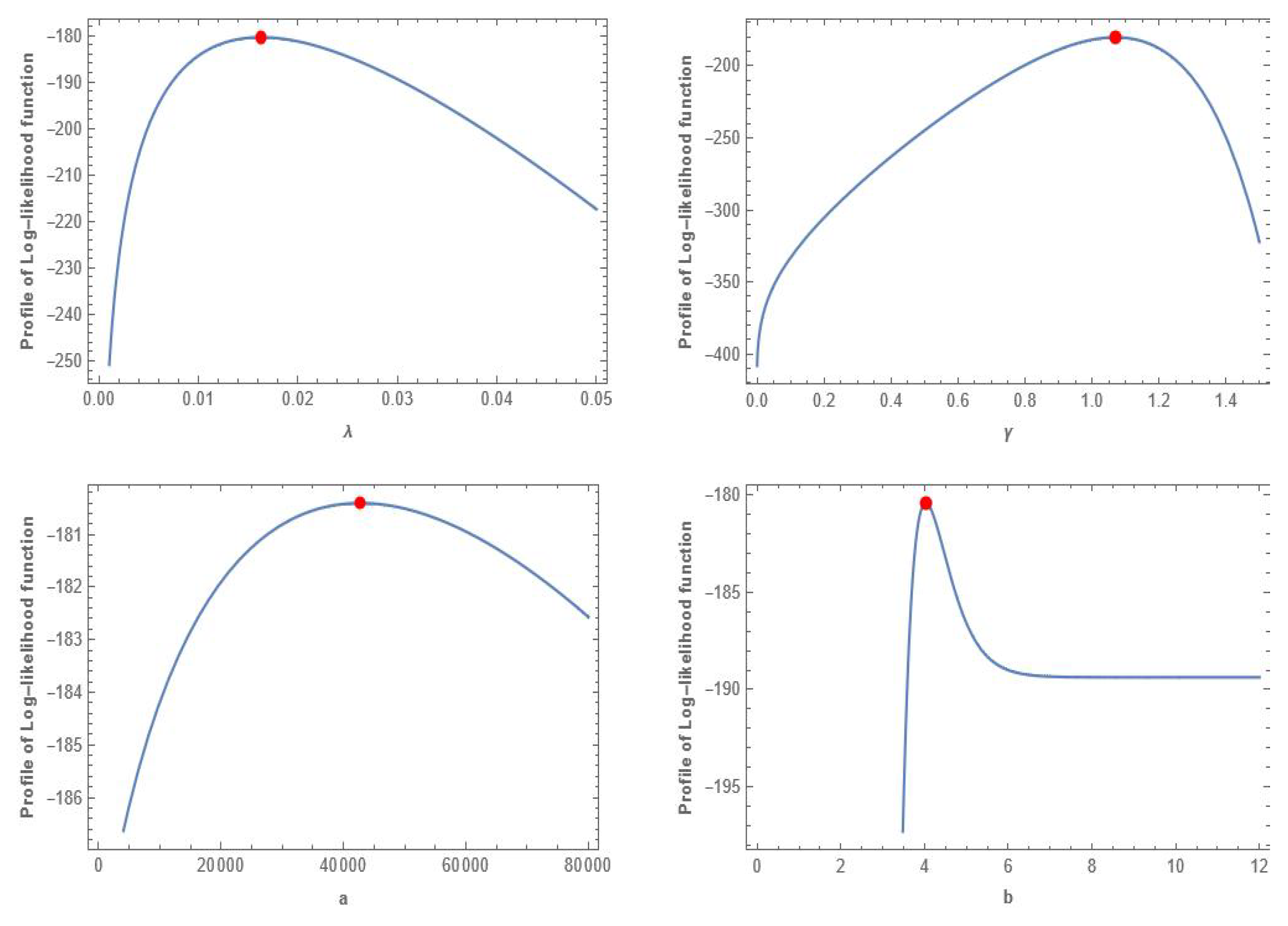
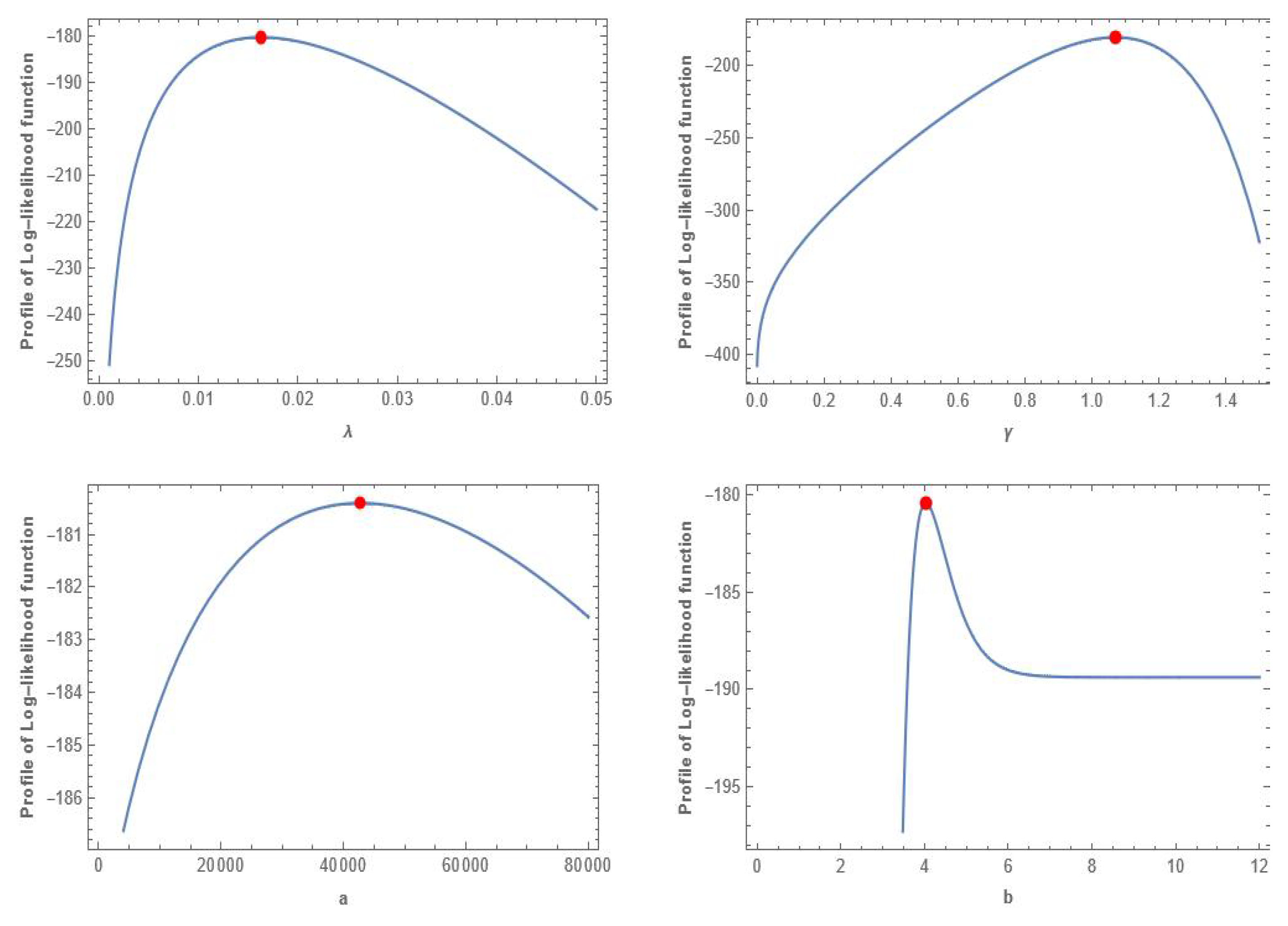
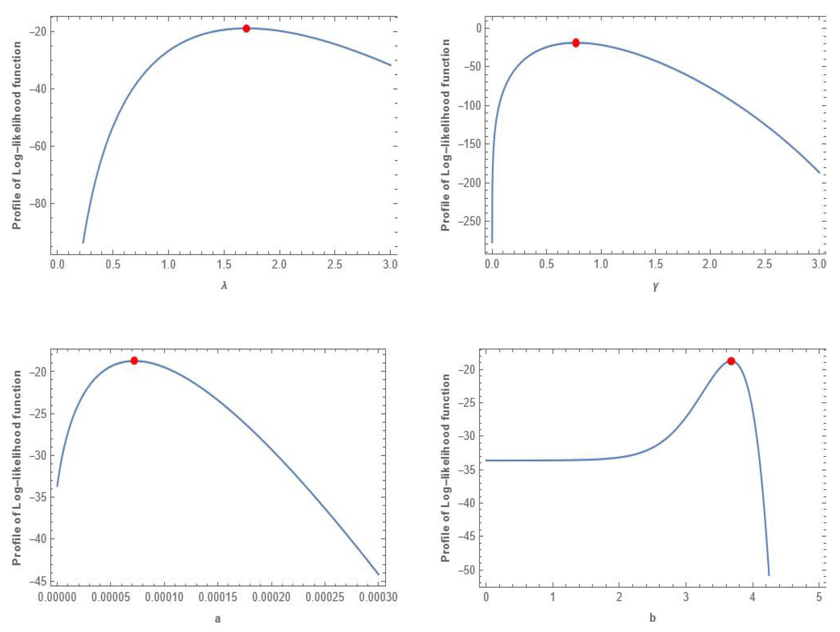
For this data, Table 4 provides a summary of the numerical results of the parametric and non-parametric tests based on the MLEs of all comparison distributions. At a level of significance of , it is possible to demonstrate that all distributions fit the liver cancer data based on the p-value related to the K-S test. Since the GNEWD has the lowest value based on the parametric tests AIC and BIC, it is clear from Table 4 that it fits this data better than other distributions. Based on the liver cancer data, Figure 4 displays the log-likelihood function profiles for each parameter. The approximate 95% CIs for , , a, and b are [0, 0.0439], [0, 296,323], [1.6289, 6.4285], and [0.6842, 1.4559], respectively, derived using the asymptotic variance–covariance matrix based on the MLEs for this data. Additionally, Table 5 provides the values of K-S along with the matching p-value for the liver cancer data, as well as all estimations of the unknown parameters based on the various approaches that were taken into consideration in an earlier section. Table 5 makes it clear that the ADE is the best approach for the liver cancer data when the K-S test is used with the associated p-value.
Table 4.
The ML estimates of unknown parameters, the K-S with the corresponding p-value, the AIC, and the BIC for different models using the liver cancer data.
Figure 4.
The profile of log-likelihood function of all parameters for the liver cancer data.
Table 5.
Unknown parameter estimates using different approaches and the K-S test with the associated p-value for the liver cancer data.
6.2. Plasma Concentrations of Indomethicin Data
Consider the following data set from [30] and analyzed by [31], which includes 66 observations of plasma concentrations of indomethicin (mcg/mL). The data are 1.50, 0.94, 0.78, 0.48, 0.37, 0.19, 0.12, 0.11, 0.08, 0.07, 0.05, 2.03, 1.63, 0.71, 0.70, 0.64, 0.36, 0.32, 0.20, 0.25, 0.12, 0.08, 2.72, 1.49, 1.16, 0.80, 0.80, 0.39, 0.22, 0.12, 0.11, 0.08, 0.08, 1.85, 1.39, 1.02, 0.89, 0.59, 0.40, 0.16, 0.11, 0.10, 0.07, 0.07, 2.05, 1.04, 0.81, 0.39, 0.30, 0.23, 0.13, 0.11, 0.08, 0.10, 0.06, 2.31, 1.44, 1.03, 0.84, 0.64, 0.42, 0.24, 0.17, 0.13, 0.10, 0.09.
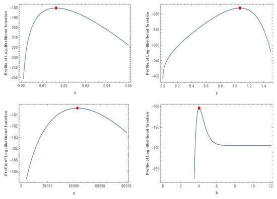
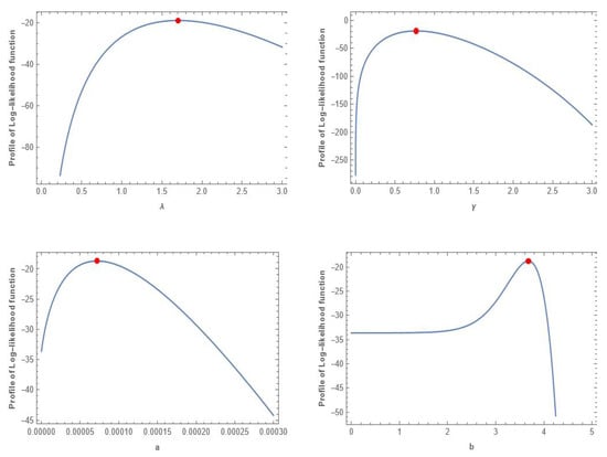
For this data, Table 6 provides a summary of the numerical results of the parametric and non-parametric tests based on the MLEs of all comparison distributions. At a level of significance of , it is possible to demonstrate that all distributions fit the plasma concentrations of the indomethicin data based on the p-value related to the K-S test. Since the GNEWD has the lowest value based on the parametric tests AIC and BIC, it is clear from Table 6 that it fits this data better than other distributions. Based on the plasma concentrations of the indomethicin data, Figure 5 displays the log-likelihood function profiles for each parameter. The approximate 95% CIs for , , a, and b are [1.2896, 2.1171], [0.5794, 0.9607], [0, 0.0004], and [1.9355, 5.4211], respectively, derived using the asymptotic variance–covariance matrix based on the MLEs for this data. The values of K-S and the corresponding p-value for the plasma concentrations of the indomethicin data are also shown in Table 7, along with all estimations of the unknown parameters based on the different methodologies that were considered in the previous section. When the K-S test is employed with the corresponding p-value, it is evident from Table 7 that the LSE is the optimal method for the plasma concentrations of the indomethicin data.
Table 6.
The ML estimates of unknown parameters, the K-S with the corresponding p-value, the AIC, and the BIC for different models using the plasma concentrations of indomethicin data.
Figure 5.
The profile of log-likelihood function of all parameters for the plasma concentrations of indomethicin data.
Table 7.
Unknown parameter estimates using different approaches and the K-S test with the associated P-value for the plasma concentrations of indomethicin data.
7. Simulation Study
The performance of various estimating techniques, as detailed in Section 5, is examined for the simulation study using the MSE and the AAB. In order to evaluate how well different approaches work in estimating the unknown parameters of the GNEWD, the following procedure is used:
- Choose different values for the initial values of the parameters of the proposed distribution.
- Generate random samples from the inverse CDF of the GNEWD with size n = (20, 60, 100, 150, 200, 250, 300).
- Calculate the estimates for all the varying methods shown in Section 5.
- Repeat Steps 2 and 3 N = 2000 times.
- Calculate the MSEs and AABs.
All numerical results obtained from the simulation study for the different estimation methods are presented in Table 8, Table 9, Table 10 and Table 11. Upon examination of these tables, several notable patterns and findings emerge. Specifically, Table 8, Table 9, Table 10 and Table 11 illustrate the following:
Table 8.
MSEs and AAB for parameter under proposed methods with varying sample size n.
Table 9.
MSEs and AAB for parameter under proposed methods with varying sample size n.
Table 10.
MSEs and AAB for parameter b under proposed methods with varying sample size n.
Table 11.
MSEs and AAB for parameter a under proposed methods with varying sample size n.
- The MSEs and the AABs for all methods of estimation decrease by increasing the sample size n.
- The MLE and A-DE are superior to other estimating techniques based on MSE and AAB.
8. Conclusions
In this paper, a new extension of the Weibull distribution was proposed. It extended the new extended Weibull distribution by introducing an additional shape parameter, allowing it to capture more complex hazard rate patterns, including upside-down bathtub, and modified upside-down bathtub behaviors commonly observed in medical fields. The quantile of the GNEWD was calculated in closed form while the formula of moments could not be given in closed form. The estimation of the unknown parameters for the GNEWD using several estimating techniques, such as MLE, LSE, WLSE, CVME, and ADE, was introduced in this study. The GNEWD was applied to two real data sets in order to demonstrate how broadly it can be used in medical fields. The use of the parametric and non-parametric tests gives the GNEWD a competitive advantage when modeling lifetime data. Additionally, the simulation study was presented to compare the proposed estimation techniques employing MSEs and AABs. For future work, additional properties for the GNEWD can be studied including reliability analysis and entropy. Further, we will try to extend the proposed methods using different censoring schemes. Furthermore, the unknown parameters can be estimated by Bayesian estimation under complete and censoring data.
Author Contributions
Conceptualization, K.S.S. and H.M.M.R.; Methodology, A.S.A.-M., K.S.S. and H.M.M.R.; Software, H.M.M.R.; Validation, A.S.A.-M. and H.M.M.R.; Formal analysis, K.S.S.; Investigation, K.S.S.; Resources, A.S.A.-M.; Data curation, H.M.M.R.; Writing—original draft, H.M.M.R.; Writing—review & editing, A.S.A.-M.; Visualization, H.M.M.R.; Supervision, K.S.S.; Funding acquisition, A.S.A.-M. All authors have read and agreed to the published version of the manuscript.
Funding
This work was supported and funded by the Deanship of Scientific Research at Imam Mohammad Ibn Saud Islamic University (IMSIU) (grant number IMSIU-DDRSP2501).
Data Availability Statement
All data supporting the findings of this study are included within the article.
Conflicts of Interest
The authors declare that they have no conflicts of interest.
Abbreviations
| CDF | Cumulative distribution function |
| Probability density function | |
| HRF | Hazard rate function |
| AIC | Akaike information criterion |
| BIC | Bayesian information criterion |
| K-S | Kolmogorov–Smirnov |
| IWD | Inverse Weibull distribution |
| GIWD | Generalized inverse Weibull distribution |
| GIGWD | Generalized inverse generalized Weibull distribution |
| GNEWD | Generalized new extended Weibull distribution |
| NEWD | New extended Weibull distribution |
| RGNEWD | Reduced generalized new extended Weibull distribution |
| RNEWD | Reduced new extended Weibull distribution |
| WD | Weibull distribution |
| GMWD | Generalized Modified Weibull distribution |
| EWD | Exponentiated Weibull distribution |
| M-O WD | Marshall–Olkin Weibull distribution |
| Logistic NHD | Logistic Nadarajah–Haghighi distribution |
| IGLED | Inverted generalized linear exponential distribution |
| MLE | Maximum likelihood estimation |
| LSE | Least square estimation |
| WLSE | Weighted least square estimation |
| CVME | Cramér Von-Mises estimation |
| ADE | Anderson Darling estimation |
| ACI | Approximate confidence interval |
Appendix A
References
- Weibull, W. A statistical distribution function of wide applicability. J. Appl. Mech. 1951, 18, 293–297. [Google Scholar] [CrossRef]
- Mudholkar, G.; Srivastava, D. Exponentiated Weibull family for analyzing bathtub failure-rate data. IEEE Trans. Reliab. 1993, 42, 299–302. [Google Scholar] [CrossRef]
- Xie, M.; Lai, C. Reliability analysis using an additive Weibull model with bathtub-shaped failure rate function. Reliab. Eng. Syst. Saf. 1996, 52, 87–93. [Google Scholar] [CrossRef]
- Xie, M.; Tang, Y.; Goh, T. A modified Weibull extension with bathtub-shaped failure rate function. Reliab. Eng. Syst. Saf. 2002, 76, 279–285. [Google Scholar] [CrossRef]
- Bebbington, M.; Lai, C.D.; Zitikis, R. A flexible Weibull extension. Reliab. Eng. Syst. Saf. 2007, 92, 719–726. [Google Scholar] [CrossRef]
- Dimitrakopoulou, T.; Adamidis, K.; Loukas, S. A Lifetime Distribution with an Upside-Down Bathtub-Shaped Hazard Function. IEEE Trans. Reliab. 2007, 56, 308–311. [Google Scholar] [CrossRef]
- Lai, C.D.; Xie, M.; Murthy, D.N.P. A modified Weibull distribution. IEEE Trans. Reliab. 2003, 52, 33–37. [Google Scholar] [CrossRef]
- Peng, X.; Yan, Z. Estimation and application for a new extended Weibull distribution. Reliab. Eng. Syst. Saf. 2014, 121, 34–42. [Google Scholar] [CrossRef]
- Alotaibi, R.; Okasha, H.; Nassar, M.; Elshahhat, A. A Novel Modified Alpha Power Transformed Weibull Distribution and Its Engineering Applications. CMES Comput. Model. Eng. Sci. 2022, 135, 2065–2089. [Google Scholar] [CrossRef]
- Khan, F.; Ahmad, Z.; Khosa, S.K.; Alomair, M.A.; Alomair, A.M.; Alsharidi, A.k. A new modification of the flexible Weibull distribution based on power transformation: Monte Carlo simulation and applications. Heliyon 2023, 9, e17238. [Google Scholar] [CrossRef] [PubMed]
- Bousseba, F.Z.; Zeghdoudi, H.; Sapkota, L.P.; Tashkandy, Y.A.; Bakr, M.; Kumar, A.; Gemeay, A.M. Novel two-parameter quadratic exponential distribution: Properties, simulation, and applications. Heliyon 2024, 10, e38201. [Google Scholar] [CrossRef]
- Ramaki, Z.; Alizadeh, M.; Tahmasebi, S.; Afshari, M.; Contreras-Reyes, J.E.; Yousof, H.M. The Weighted Flexible Weibull Model: Properties, Applications, and Analysis for Extreme Events. Math. Comput. Appl. 2025, 30, 42. [Google Scholar] [CrossRef]
- Bain, L.J. Analysis for the Linear Failure-Rate Life-Testing Distribution. Technometrics 1974, 16, 551–559. [Google Scholar] [CrossRef]
- Mezo, I. The Lambert W Function: Its Generalizations and Applications, 1st ed.; Chapman and Hall/CRC: Boca Raton, FL, USA, 2022. [Google Scholar] [CrossRef]
- Cohen, A.C. Maximum likelihood estimation in the Weibull distribution based on complete and on censored samples. Technometrics 1965, 7, 579–588. [Google Scholar] [CrossRef]
- Swain, J.J.; Venkatraman, S.; Wilson, J.R. Least-squares estimation of distribution functions in johnson’s translation system. J. Stat. Comput. Simul. 1988, 29, 271–297. [Google Scholar] [CrossRef]
- MacDonald, P.D.M. Comment on “An estimation procedure for mixtures of distributions” by Choi and Bulgren. J. R. Stat. Society. Ser. B (Methodol.) 1971, 33, 326–329. [Google Scholar] [CrossRef]
- Boos, D.D. Minimum distance estimators for location and goodness of fit. J. Am. Stat. Assoc. 1981, 76, 663–670. [Google Scholar] [CrossRef]
- Carrasco, J.M.F.; Ortega, E.M.M.; Cordeiro, G.M. A generalized modified Weibull distribution for lifetime modeling. Comput. Stat. Data Anal. 2008, 53, 450–462. [Google Scholar] [CrossRef]
- Jain, K.; Singla, N.; Sharma, S.K. The Generalized Inverse Generalized Weibull Distribution and Its Properties. J. Probab. 2014, 2014, 736101. [Google Scholar] [CrossRef]
- Gusmão, F.; Ortega, E.; Cordeiro, G. The generalized inverse Weibull distribution. Stat. Pap. 2011, 52, 591–619. [Google Scholar] [CrossRef]
- Ghitany, M.E.; Al-Hussaini, E.K.; Al-Jarallah, R.A. Marshall–Olkin extended weibull distribution and its application to censored data. J. Appl. Stat. 2005, 32, 1025–1034. [Google Scholar] [CrossRef]
- Peña-Ramírez, F.A.; Guerra, R.R.; Canterle, D.R.; Cordeiro, G.M. The logistic Nadarajah–Haghighi distribution and its associated regression model for reliability applications. Reliab. Eng. Syst. Saf. 2020, 204, 107196. [Google Scholar] [CrossRef]
- Mahmoud, M.A.W.; Ghazal, M.G.M.; Radwan, H.M.M. Inverted generalized linear exponential distribution as A lifetime model. Appl. Math. Inf. Sci. 2017, 11, 1747–1765. [Google Scholar] [CrossRef]
- Alternative Reliability Models for Mechanical Systems. In Proceedings of the Third International Conference on Reliability and Maintainability, Toulouse, France, 18–22 October 1982; Alternative Reliability Models for Mechanical Systems: Toulouse, France, 1982; Volume 5805.
- Mahmoud, M.A.W.; Attia, F.A.; Taib, I.B. Test for exponential better than used in average based on the total time on test transform. In Proceedings of the 17th Annual Conference on Statistics, Modelling in Human and Social Science, Oxford, UK, 27–30 June 2005; pp. 29–30. [Google Scholar]
- Mansour, M.M.M. Non-parametric statistical test for testing exponentiality with applications in medical research. Stat. Methods Med. Res. 2020, 29, 413–420. [Google Scholar] [CrossRef] [PubMed]
- Almarashi, A.M. A new modified inverse Lomax distribution: Properties, estimation and applications to engineering and medical data. Comput. Model. Eng. Sci. 2021, 127, 621–643. [Google Scholar] [CrossRef]
- El-Morshedy, M.; Al-Bossly, A.; EL-Sagheer, R.M.; Almohaimeed, B.; Etman, W.B.H.; Eliwa, M.S. A Moment Inequality for the NBRULC Class: Statistical Properties with Applications to Model Asymmetric Data. Symmetry 2022, 14, 2353. [Google Scholar] [CrossRef]
- Kwan, K.; Breault, G.; Umbenhauer, E.; McMahon, F.G.; Duggan, D.E. Kinetics of indomethacin absorption, elimination, and enterohepatic circulation in man. J. Pharmacokinet. Biopharm. 1976, 4, 255–280. [Google Scholar] [CrossRef]
- Warahena-Liyanage, G.; Pararai, M. The Lindley Power Series Class of Distributions: Model, Properties and Applications. J. Comput. Model. 2015, 5, 35–80. [Google Scholar]
Disclaimer/Publisher’s Note: The statements, opinions and data contained in all publications are solely those of the individual author(s) and contributor(s) and not of MDPI and/or the editor(s). MDPI and/or the editor(s) disclaim responsibility for any injury to people or property resulting from any ideas, methods, instructions or products referred to in the content. |
© 2025 by the authors. Licensee MDPI, Basel, Switzerland. This article is an open access article distributed under the terms and conditions of the Creative Commons Attribution (CC BY) license (https://creativecommons.org/licenses/by/4.0/).




