Sign in to use this feature.

Years

Between: -

Subjects

remove_circle_outline
remove_circle_outline
remove_circle_outline
remove_circle_outline
remove_circle_outline
remove_circle_outline
remove_circle_outline
remove_circle_outline
remove_circle_outline

Journals

remove_circle_outline
remove_circle_outline
remove_circle_outline
remove_circle_outline
remove_circle_outline
remove_circle_outline
remove_circle_outline
remove_circle_outline
remove_circle_outline
remove_circle_outline
remove_circle_outline
remove_circle_outline
remove_circle_outline
remove_circle_outline
remove_circle_outline
remove_circle_outline
remove_circle_outline
remove_circle_outline

Article Types

Countries / Regions

remove_circle_outline
remove_circle_outline
remove_circle_outline
remove_circle_outline
remove_circle_outline
remove_circle_outline
remove_circle_outline
remove_circle_outline
remove_circle_outline
remove_circle_outline

Search Results (2,200)

Search Parameters:
Keywords = bacterial survival

Order results
Result details
Results per page
Select all
Export citation of selected articles as:
14 pages, 2134 KB  
Article
Wild Yeasts as Reservoirs of Bacterial Diversity: Biotechnological Insights from 16S rRNA Metabarcoding
by Eugenia Iturritxa, Nebai Mesanza and María-Jesús Torija
Foods 2026, 15(2), 262; https://doi.org/10.3390/foods15020262 (registering DOI) - 11 Jan 2026
Abstract
Recently acquired evidence indicates that bacteria can utilise yeasts as survival niches. This study investigated the presence of hidden, intracellular bacteria (endobacteria) within wild yeasts collected from natural ecosystems and evaluated whether biotechnological processes influenced these bacterial communities. We examined the microbiotas of [...] Read more.
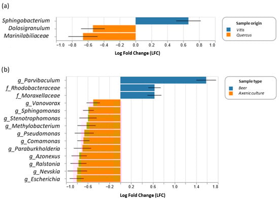
Recently acquired evidence indicates that bacteria can utilise yeasts as survival niches. This study investigated the presence of hidden, intracellular bacteria (endobacteria) within wild yeasts collected from natural ecosystems and evaluated whether biotechnological processes influenced these bacterial communities. We examined the microbiotas of 28 axenic cultures of wild yeasts; these were selected due to their potential brewing and biocontrol uses and were isolated from habitats associated with Quercus and Vitis. We also analysed the microbiotas present after these strains were used to ferment beer wort. Bacterial communities were characterised using 16S rRNA gene amplicon metagenomics. The results indicate that yeast strains and their endobacterial partners have coevolved, and their compositions are shaped by the environmental conditions. Substantial bacterial diversity was detected across strains in both axenic cultures and post-fermentation samples. The ecological origin of the yeast (oak- or grape-associated) did not significantly affect the endobacterial community structure. Across all samples, the dominant phyla were Proteobacteria, Actinobacteria, Firmicutes, and Cyanobacteria, with Proteobacteria representing over 90% of sequences. Most bacterial genera were shared between axenic and fermentation conditions. However, Escherichia and Comamonas predominated in axenic cultures, while Parvibaculum dominated after fermentation. These findings suggest that yeasts constitute stable microhabitats for bacterial communities, and their relative abundances can shift during fermentation processes. Full article
(This article belongs to the Special Issue Application of Fermentation Biotechnology in Food Science)
Show Figures

Graphical abstract

27 pages, 1646 KB  
Article
Pseudomonas aeruginosa Phage Cocktails: Rational Design and Efficacy Against Mouse Wound and Systemic Infection
by Mikeljon P. Nikolich, Anna C. Jacobs, Tracey L. Peters, Yonas A. Alamneh, Kirill V. Sergueev, Nino Mzhavia, Chaselynn M. Watters, Helen R. Freyberger, Olga A. Kirillina, Emily Engeman, Brett E. Swierczewski, Mark P. Simons, Schroeder M. Noble, Damon W. Ellison and Andrey A. Filippov
Antibiotics 2026, 15(1), 75; https://doi.org/10.3390/antibiotics15010075 - 9 Jan 2026
Abstract
Background/Objectives: Phages show efficacy against multidrug-resistant Pseudomonas aeruginosa, but limited host ranges require combining them in cocktails. In this work, we characterized 25 P. aeruginosa phages, developed therapeutic cocktails active against diverse clinical isolates, and tested phage efficacy in a mouse incisional [...] Read more.
Background/Objectives: Phages show efficacy against multidrug-resistant Pseudomonas aeruginosa, but limited host ranges require combining them in cocktails. In this work, we characterized 25 P. aeruginosa phages, developed therapeutic cocktails active against diverse clinical isolates, and tested phage efficacy in a mouse incisional wound model. Methods/Results: These phages represent seven genera, and genomic and phenotypic analyses indicate that 24/25 are lytic and suitable for phage therapy. Phage host ranges on a diversity panel of 156 P. aeruginosa strains that included 106 sequence types varied from 8% to 54%, and together the 24 lytic phages were active against 133 strains (85%). All of the phages reduced bacterial counts in biofilms. A cocktail of five lytic phages, WRAIR_PAM1, covered 56% of the strain panel, protected 100% of mice from lethal systemic infection (vs. 20% survival in the saline-treated group), and accelerated healing of infected wounds. An improved five-phage cocktail, WRAIR_PAM2, was formulated by a rational design approach (using phages with broader host ranges, more complementing activity, relatively low resistance background, and compatibility in mixes). Conclusions: WRAIR_PAM2 covered 76% of highly diverse clinical isolates and demonstrated significant efficacy against topical and systemic P. aeruginosa infection, indicating that it is a promising therapeutic candidate. Full article
16 pages, 1359 KB  
Article
Theobroma bicolor (Pataxte) Fermentation: A Novel Source of Promising Probiotic Lactic Acid Bacteria
by María Fernanda Rosas-Ordaz, Beatriz Pérez-Armendáriz, María de Lourdes Meza-Jiménez, Laura Contreras-Mioni and Gabriel Abraham Cardoso-Ugarte
Fermentation 2026, 12(1), 41; https://doi.org/10.3390/fermentation12010041 - 9 Jan 2026
Viewed by 35
Abstract
This study reports the isolation, identification, and functional characterization of lactic acid bacteria (LAB) obtained from the endogenous fermentation of Theobroma bicolor (pataxte), an understudied Mesoamerican species with unexplored biotechnological potential. Five lactic acid bacteria strains were isolated and selected for comprehensive in [...] Read more.
This study reports the isolation, identification, and functional characterization of lactic acid bacteria (LAB) obtained from the endogenous fermentation of Theobroma bicolor (pataxte), an understudied Mesoamerican species with unexplored biotechnological potential. Five lactic acid bacteria strains were isolated and selected for comprehensive in vitro evaluation of their probiotic attributes. The assays included antimicrobial activity (disk diffusion and minimum inhibitory concentration), tolerance to simulated gastrointestinal conditions, and comparison of survival between non-encapsulated and bigel-encapsulated cells during digestion. All five isolates demonstrated notable antimicrobial activity against Escherichia coli ATCC 25922, Salmonella Enteritidis ATCC 13076, and Staphylococcus aureus ATCC 25923. Strain S1.B exhibited exceptional resistance to acidic pH (2.0) and bile salts, reaching 3.61 ± 0.00 log (CFU/mL) after gastrointestinal simulation. The strain was identified as Lactiplantibacillus pentosus via 16S rRNA gene sequencing, marking the first documented isolation of this species from pataxte fermentation. Bigel encapsulation markedly enhanced its survival, increasing viability to 5.08 ± 0.10 log (CFU/mL). These findings identify Lactiplantibacillus pentosus 124-2 as a potential probiotic candidate originating from pataxte fermentation and highlight bigel systems as powerful vehicles for bacterial protection. Collectively, this work expands the microbial biodiversity known in Theobroma fermentations and underscores their promise for future functional food applications. Full article
Show Figures

Figure 1

24 pages, 1126 KB  
Review
From Orange to Oncology: Anti-Inflammatory and Anti-Cancer Mechanisms of Sinensetin
by Dong Joon Kim, Songyeon Ahn, Xiaomeng Xie, Yeon-Sun Seong and Yong Weon Yi
Cells 2026, 15(2), 110; https://doi.org/10.3390/cells15020110 - 8 Jan 2026
Viewed by 197
Abstract
Sinensetin, a polymethoxylated flavone abundant in citrus fruits, has been recognized for its broad biological activities and wide use in traditional medicine around the world. Emerging clinical evidence from flavonoid-enriched orange juice interventions indicates antioxidant and anti-inflammatory effects, aligning with extensive preclinical data. [...] Read more.
Sinensetin, a polymethoxylated flavone abundant in citrus fruits, has been recognized for its broad biological activities and wide use in traditional medicine around the world. Emerging clinical evidence from flavonoid-enriched orange juice interventions indicates antioxidant and anti-inflammatory effects, aligning with extensive preclinical data. In this review, we explored in vitro and in vivo findings on the anti-inflammatory and anticancer actions of sinensetin and delineated the underlying cellular pathways, especially in terms of proposed targets for sinensetin. In inflammatory settings, sinensetin attenuates NF-κB activation, lowers pro-inflammatory cytokines (e.g., TNF-α, IL-6), and enhances antioxidant defenses, supporting its reported antioxidant, anti-bacterial, anti-viral, and anti-obesity properties. Across multiple tumor models, sinensetin suppresses oncogenic signaling—including β-catenin, PI3K/AKT, VEGF, NRF2, P53, and MKK6—concomitant with reduced proliferation, migration, and survival signaling. We further discuss emerging immunological effects, including modulation of innate immune cell activation and cytokine production, which may contribute to tumor microenvironment reprogramming and inflammation resolution. Together, these mechanistic insights position sinensetin as a promising lead for chemopreventive and adjunct therapeutic strategies. Our efforts aim to provide insights into the future translational development and clinical evaluation of sinensetin and its derivatives. Full article
Show Figures

Figure 1

17 pages, 1005 KB  
Article
Microbial Community Profiling of Concrete
by Caroline Danner, Julien Charest, Carlijn Borghuis, Philipp Aschenbrenner, Jakob Lederer, Robert L. Mach and Astrid R. Mach-Aigner
Microorganisms 2026, 14(1), 131; https://doi.org/10.3390/microorganisms14010131 - 7 Jan 2026
Viewed by 101
Abstract
Concrete is the most widely used construction material worldwide, yet its production and disposal pose significant environmental challenges due to high carbon emissions and limited recyclability. While microbial colonization of concrete is often associated with structural deterioration, recent research has highlighted the potential [...] Read more.
Concrete is the most widely used construction material worldwide, yet its production and disposal pose significant environmental challenges due to high carbon emissions and limited recyclability. While microbial colonization of concrete is often associated with structural deterioration, recent research has highlighted the potential of microorganisms to contribute positively to concrete recycling and self-healing. In this study, we investigated the bacterial and fungal communities inhabiting urban concrete samples using amplicon-based taxonomic profiling targeting the 16S rRNA gene and internal transcribed spacer (ITS) region. Our analyses revealed a diverse assemblage of microbial taxa capable of surviving the extreme physicochemical conditions of concrete. Several taxa were associated with known metabolic functions relevant to concrete degradation, such as acid and sulphate production, as well as biomineralization processes that may support crack repair and surface sealing. These findings suggest that concrete-associated microbiomes may serve as a reservoir of biological functions with potential applications in sustainable construction, including targeted biodegradation for recycling and biogenic mineral formation for structural healing. This work provides a foundation for developing microbial solutions to reduce the environmental footprint of concrete infrastructure. Full article
(This article belongs to the Section Environmental Microbiology)
Show Figures

Figure 1

20 pages, 1525 KB  
Article
Antibiotic-Mediated Microbiota Depletion of Aedes aegypti Gut Bacteria Modulates Susceptibility to Entomopathogenic Fungal Infection and Modifies Developmental Factors
by Josiane Pessanha Ribeiro, Adriano Rodrigues de Paula, Leila Eid Imad Silva, Gerson Adriano Silva, Carlos Peres Silva, Tariq M. Butt and Richard Ian Samuels
Parasitologia 2026, 6(1), 4; https://doi.org/10.3390/parasitologia6010004 - 4 Jan 2026
Viewed by 149
Abstract
Entomopathogenic fungi are promising alternatives to synthetic insecticides for the control of vector species, notably the arbovirus vector, Aedes aegypti. The influence of intrinsic mosquito midgut microbiota on host susceptibility to fungal infection and subsequent physiological processes remains poorly understood. Here we [...] Read more.
Entomopathogenic fungi are promising alternatives to synthetic insecticides for the control of vector species, notably the arbovirus vector, Aedes aegypti. The influence of intrinsic mosquito midgut microbiota on host susceptibility to fungal infection and subsequent physiological processes remains poorly understood. Here we treated female Ae. aegypti with the broad-spectrum antibiotic carbenicillin to reduce gut bacterial populations, then exposed them to Metarhizium anisopliae conidia. Female Ae. aegypti offered carbenicillin and then sprayed with fungi had significantly lower survival rates (38.9% ± 1.15) compared to non-antibiotic-treated mosquitoes sprayed with fungus (68.9% ± 0.58). To monitor the kinetics of microbial community recovery, mosquitoes were challenged with conidia at 0, 3, 6, and 9 days following antibiotic removal from the diet. Reduced survival persisted through the 6-day period (survival rates 37.8% to 45.6%), with a significant increase in survival observed 9 days post-antibiotic removal (58.9% vs. control 63.3%), which coincided with recovery of gut bacterial populations. Additionally, antibiotic and fungal treatments reduced egg production, larval eclosion, and pupal formation. These results demonstrate that gut bacteria contribute to mosquito defense against fungal pathogens and support normal reproductive and developmental functions. Understanding the interplay between gut microbiota and entomopathogenic fungi may enhance biological control approaches. Full article
Show Figures

Figure 1

19 pages, 2989 KB  
Article
Characterization and Validation of the Antibacterial Activity of Heyndrickxia coagulans BHE26 Against Helicobacter pylori
by Nannan Wang, Changhe Ding, Jun Gao, Lingguang Du, Dongge Zheng, Zhihui Hao, Zhuoran Ren and Haiwei Lou
Foods 2026, 15(1), 131; https://doi.org/10.3390/foods15010131 - 1 Jan 2026
Viewed by 304
Abstract
Helicobacter pylori infection is a primary cause of gastritis and gastric ulcers. It is crucial to find alternative therapies for H. pylori infection due to the significant side effects of current antibiotics. Heyndrickxia coagulans is an ideal probiotic due to its functionality and [...] Read more.
Helicobacter pylori infection is a primary cause of gastritis and gastric ulcers. It is crucial to find alternative therapies for H. pylori infection due to the significant side effects of current antibiotics. Heyndrickxia coagulans is an ideal probiotic due to its functionality and stability in production and storage. This study explored the anti-bacterial effects of H. coagulans BHE26 in vitro and in vivo. H. coagulans BHE26 showed notable tolerance to simulated gastric juice (pH 3.0) and 1% bile salts, highlighting its potential suitability for gastrointestinal survival. H. coagulans BHE26 was resistant to ceftriaxone but sensitive to penicillin, ampicillin, erythromycin, gentamicin, ciprofloxacin, ceftriaxone, lincomycin, tetracycline and chloramphenicol. These characteristics showed that H. coagulans BHE26 is a potential probiotic bacterium. In vitro assays demonstrated that H. coagulans BHE26 inhibited H. pylori, reduced urease activity, and displayed notable auto-aggregation and co-aggregation abilities. In vivo, administration of H. coagulans BHE26 alleviated H. pylori-induced gastric mucosal damage, significantly lowered serum anti-bacterial IgG levels, and modulated gastric microbiota composition, including an increase in Turicibacter and a decrease in Lactobacillus abundance. These results indicate that H. coagulans BHE26 alleviated H. pylori-induced inflammation, offering a novel therapeutic strategy against H. pylori infection. Full article
(This article belongs to the Section Nutraceuticals, Functional Foods, and Novel Foods)
Show Figures

Figure 1

17 pages, 1604 KB  
Article
Sulfur Starvation, Sulfide Supplementation, and cysM Transcription in Campylobacter jejuni Strains with a Single Nucleotide Polymorphism
by Nereus W. Gunther, Aisha Abdul-Wakeel and Manita Guragain
Microorganisms 2026, 14(1), 97; https://doi.org/10.3390/microorganisms14010097 - 1 Jan 2026
Viewed by 156
Abstract
The amino acid cysteine is essential to Campylobacter jejuni survival, providing the bacterial cells with the element sulfur. When cysteine is not available for uptake, C. jejuni can synthesize cysteine from serine and sulfide or thiosulfate. The cysM gene produces a cysteine synthase [...] Read more.
The amino acid cysteine is essential to Campylobacter jejuni survival, providing the bacterial cells with the element sulfur. When cysteine is not available for uptake, C. jejuni can synthesize cysteine from serine and sulfide or thiosulfate. The cysM gene produces a cysteine synthase protein required for this process. Transcriptional control for cysM has been shown to reside within an untranslated sequence directly upstream of the gene. The untranslated sequence contains a conserved single-nucleotide polymorphism that was previously shown to influence gene transcription. Identification of the 5′ end of the cysM mRNA transcript confirmed that the SNP is present within full-length gene transcripts. A new sulfur starvation medium was deployed to study the survival and cysM transcription of C. jejuni strains with different SNP forms in the presence or absence of sulfide. Differences in survival between the SNP forms were observed during supplementation with low concentrations of sulfide. Additionally, differences in the cysM transcription profiles between the same strains with different SNP forms were observed when supplemented with a range of sulfide concentrations. The results support the hypothesis that a gene regulatory element is localized to the area around the SNP in the untranslated region upstream of cysM. Full article
(This article belongs to the Special Issue Exploring Foodborne Pathogens: From Molecular to Safety Perspectives)
Show Figures

Figure 1

31 pages, 1331 KB  
Review
The Bacterial Swiss Army Knife: ExPEC Utilizes Multiple Resistance Mechanisms to Counteract Host Immune Responses
by Eveline Weerdenburg, Susan King, Joyce Lübbers, Elise Hovingh, Todd Davies, Jeroen Geurtsen, Germie van den Dobbelsteen and Jan Poolman
Vaccines 2026, 14(1), 51; https://doi.org/10.3390/vaccines14010051 - 31 Dec 2025
Viewed by 284
Abstract
Extraintestinal pathogenic Escherichia coli (ExPEC) is a major cause of infections of the urinary tract, the bloodstream, and other non-intestinal sites in humans. ExPEC often resists the bactericidal action of human immune defenses including complement, antimicrobial peptides, antibodies, and cell-mediated killing. This review [...] Read more.
Extraintestinal pathogenic Escherichia coli (ExPEC) is a major cause of infections of the urinary tract, the bloodstream, and other non-intestinal sites in humans. ExPEC often resists the bactericidal action of human immune defenses including complement, antimicrobial peptides, antibodies, and cell-mediated killing. This review provides an overview of the main host defense strategies, and the mechanisms and molecules ExPEC engages to resist these human immune responses. Surface-exposed polysaccharides, outer membrane proteins, cytotoxins, and proteases are all part of the bacterial arsenal of defenses that can neutralize many of the host’s immune defenses. These factors work in concert to enable ExPEC to survive and thrive in extraintestinal environments of the human body. Full article
(This article belongs to the Section Pathogens-Host Immune Boundaries)
Show Figures

Figure 1

22 pages, 7950 KB  
Article
Isolation, Characterization, and Evaluation of a Lytic Jumbo Phage Z90 Against Aeromonas hydrophila in American Eels (Anguilla rostrata)
by Miaosen Zhang, Xuejin Feng, Jianxin Wang, Wu Qu and Min Jin
Antibiotics 2026, 15(1), 27; https://doi.org/10.3390/antibiotics15010027 - 31 Dec 2025
Viewed by 200
Abstract
Background: Aeromonas hydrophila is a common bacterial pathogen that causes hemorrhagic septicaemia in several farmed aquaculture species. Phage therapy is considered a promising and feasible alternative to antibiotic treatment. Methods: In this study, an A. hydrophila-infecting jumbo phage Z90 was isolated [...] Read more.
Background: Aeromonas hydrophila is a common bacterial pathogen that causes hemorrhagic septicaemia in several farmed aquaculture species. Phage therapy is considered a promising and feasible alternative to antibiotic treatment. Methods: In this study, an A. hydrophila-infecting jumbo phage Z90 was isolated from an aquaculture pond. The biological characteristics, genomic features, and in vitro and in vivo experiments were investigated to evaluate its application potential. Results: Phage Z90 was a myovirus with distinctive curled tail fibers. Additionally, phylogenetic and genomic analyses found that the phage Z90 was a novel virus belonging to the genus Ferozepurvirus of the family Chimalliviridae. One-step growth curve analysis revealed that the phage Z90 was a lytic phage, exhibiting a short latency period of 20 min and a relatively large burst size of 270 ± 42 PFU/cell. The phage Z90 particles were stable at psychrotrophic and mesophilic temperatures (10–50 °C) and a wide range of pH (pH 3–12). Genomic analysis revealed that the phage Z90 did not contain any genes encoding toxins, virulence factors, or antibiotic resistance factors. In vivo analysis demonstrated that the phage Z90 protected American eels from A. hydrophila infection, greatly increasing eel survival rates and alleviating symptoms caused by bacterial infections. The comparison of different phage administration methods suggested that phage Z90 was better administered through intraperitoneal injection than immersion in aquaculture water. Moreover, the combination of phage Z90 and ampicillin improved the bactericidal effect and reduced the treatment dosage compared to antibiotics or phage alone. Conclusions: Altogether, the findings of this study indicate that the phage Z90 can serve as a promising biocontrol agent for the treatment of A. hydrophila infection in aquaculture. Full article
Show Figures

Figure 1

15 pages, 1769 KB  
Article
Phage Display Selection and In Silico Characterization of Peptides as Potential GroEL Modulators
by Stefania Olla, Stella Garcia Colombarolli, Chiara Siguri, Davide Murrau and Alberto Vitali
Pharmaceutics 2026, 18(1), 46; https://doi.org/10.3390/pharmaceutics18010046 - 30 Dec 2025
Viewed by 289
Abstract
Background/Objectives. Antibiotic resistance is an escalating global health concern, highlighting the need for innovative antibacterial strategies beyond traditional drugs. GroEL, a highly conserved bacterial chaperonin essential for protein folding and stress tolerance, represents a promising but underexplored therapeutic target. This study [...] Read more.
Background/Objectives. Antibiotic resistance is an escalating global health concern, highlighting the need for innovative antibacterial strategies beyond traditional drugs. GroEL, a highly conserved bacterial chaperonin essential for protein folding and stress tolerance, represents a promising but underexplored therapeutic target. This study aimed to identify short peptides capable of binding GroEL monomers and potentially altering their function, with the long-term goal of disrupting bacterial survival mechanisms. Methods. A phage display screening of a 12-mer peptide library was performed against purified GroEL monomers, yielding five candidate peptides (G1–G5). Their interactions with GroEL were analyzed through molecular docking and molecular dynamics simulations using three-dimensional GroEL structures (1MNF, 1XCK, 8S32). Stability of binding and interaction profiles were assessed through molecular dynamics-based analyses and MM/GBSA free energy calculations. Results. Peptides G4 and G5 displayed the most stable and energetically favorable interactions, with G4–8S32 showing the strongest binding (−116.68 kcal/mol). These peptides localized near inter-subunit interfaces, suggesting potential interference with GroEL oligomerization or allosteric transitions, which are critical for its biological function. Conclusions. Our findings demonstrate that short peptides can stably bind GroEL and potentially modulate its activity. Peptides G4 and G5 represent at our knowledge the first promising scaffolds for developing a novel class of peptide-based antibacterial agents targeting conserved chaperonin systems. This work introduces a new avenue that warrants further experimental validation. Full article
(This article belongs to the Special Issue In Silico Approaches of Drug–Target Interactions)
Show Figures

Graphical abstract

14 pages, 793 KB  
Article
Dietary Chia Seed Oil Enhances Growth, Immunological Response, and Disease Resistance Against Aeromonas hydrophila in Common Carp (Cyprinus carpio)
by Ümit Acar, Osman Sabri Kesbiç, Sercan Yapıcı, Rifat Tezel, Gökçen Bilge, Ali Türker, Kenan Güllü, Hüseyin Serkan Erol, Funda Terzi, Beste Demirci and Daniela Giannetto
Fishes 2026, 11(1), 18; https://doi.org/10.3390/fishes11010018 - 28 Dec 2025
Viewed by 210
Abstract
This study was conducted to evaluate the effects of chia seed oil (CSO; Salvia hispanica L.) on the growth performance, haematological-biochemical parameters, immune-related gene expression, and disease resistance to Aeromonas hydrophila in common carp (Cyprinus carpio). The fish were fed diets [...] Read more.
This study was conducted to evaluate the effects of chia seed oil (CSO; Salvia hispanica L.) on the growth performance, haematological-biochemical parameters, immune-related gene expression, and disease resistance to Aeromonas hydrophila in common carp (Cyprinus carpio). The fish were fed diets containing 0%, 0.5%, 1%, and 2% CSO for 60 days. The results showed a significant improvement in final weight, specific growth rate (SGR), and feed conversion ratio (FCR) in fish fed diets containing 1% and 2% CSO compared to the control group. Haematocrit (Hct) and haemoglobin (Hb) levels increased in the CSO groups, while serum triglyceride and cholesterol levels decreased significantly, particularly in the 1% CSO group. The observed decrease in liver enzyme activities (AST, ALT) suggested a hepatoprotective effect of CSO. In the stress test with A. hydrophila, the highest survival rate (80%) was recorded in the 2% CSO group. Furthermore, gene expression analyses performed on spleen tissue revealed an increase in the expression of pro-inflammatory cytokines such as TNF-α, IL-1β, and IL-8 in the groups fed with CSO, particularly at the 1% level. These findings indicate that adding 1–2% CSO to carp feed promotes growth, improves lipid metabolism, strengthens immune status, and increases resistance to bacterial infection. Consequently, the use of CSO as a sustainable and functional additive to fish oil in fish feed is suggested. Full article
(This article belongs to the Special Issue Advances in the Immunology of Aquatic Animals)
Show Figures

Figure 1

16 pages, 6197 KB  
Article
Novel Endophytic Bacillus Isolates Promote Growth and Drought Tolerance in Peanut (Arachis hypogaea L.)
by Sarah Tasnim, Sherin Yassin, Kathleen Costello, Billy F. McCutchen, Caroly Leija, Emily Green, John M. Cason, Jeff A. Brady and Jeanmarie Verchot
Agronomy 2026, 16(1), 85; https://doi.org/10.3390/agronomy16010085 - 27 Dec 2025
Viewed by 338
Abstract
Aims: The plant and soil microbiome serve as a reservoir of beneficial endophytic bacteria, including plant-growth-promoting (PGP) Bacillus subtilis, which enhances nutrient acquisition and protects plants against environmental stresses. We isolated novel bacteria from cultivated peanut plants selected from agricultural fields that [...] Read more.
Aims: The plant and soil microbiome serve as a reservoir of beneficial endophytic bacteria, including plant-growth-promoting (PGP) Bacillus subtilis, which enhances nutrient acquisition and protects plants against environmental stresses. We isolated novel bacteria from cultivated peanut plants selected from agricultural fields that survived a season of water scarcity and high temperatures. Experiments were conducted to determine whether plant survival was partially attributable to the presence of beneficial microbes that could be harnessed for future biotechnology applications. Methods and Results: Seven bacterial isolates of Bacillus spp. were identified through 16S rRNA sequencing, revealing close affiliations to B. subtilis, B. safensis, and B. velezensis. Growth curve analysis and colony morphology characterization revealed distinct growth patterns across different media types, while phytohormone production assays demonstrated variable indole-3-acetic acid (IAA) synthesis among isolates. When applied as seed biopriming agents to two hybrid peanut varieties, bacterial inoculation significantly enhanced root surface area and root tip development, with B. subtilis-TAM84A showing the most pronounced effects on ‘Schubert’ roots. In addition, vegetative growth assessments indicated increased branch numbers and plant height, particularly with treatments with B. velezensis strains TAM6B and TAM61A, and a consortium of all isolates. Under drought conditions, inoculated plants exhibited delayed wilting and improved recovery after rehydration, indicating enhanced drought resilience. Conclusions: Several local Bacillus strains recovered from drought-tolerant peanut plants showed improved growth and drought tolerance in greenhouse-grown peanut plants. Ongoing field studies aim to evaluate the potential of regionally adapted microbial populations as soil amendments during planting. Impact Statement: This study demonstrates that local strains of Bacillus isolated from drought-resistant peanut plants possess significant potential as bioinoculants to improve growth and drought tolerance in potted peanut plants. This work provides a foundation for utilizing regionally adapted microbial populations to address agricultural challenges related to water scarcity. Full article
Show Figures

Figure 1

10 pages, 593 KB  
Review
Fecal Microbiota Transplant in Alcoholic Liver Disease: A Review of Current Literature
by Alexander Grieme, Yizhong Wu, Kalee Moore, Manuel Garza, Eric R. Smith, Erica Yatsynovich, Thomas J. Egeland and Rajesh Shah
Therapeutics 2026, 3(1), 2; https://doi.org/10.3390/therapeutics3010002 - 23 Dec 2025
Viewed by 372
Abstract
Alcohol-associated liver disease, particularly severe alcoholic-associated hepatitis (AH), remains a major cause of morbidity and mortality worldwide. Conventional treatments, including corticosteroids, offer limited short-term benefit and are contraindicated in many patients, necessitating exploration of alternative therapies. Fecal microbiota transplant (FMT) has emerged as [...] Read more.
Alcohol-associated liver disease, particularly severe alcoholic-associated hepatitis (AH), remains a major cause of morbidity and mortality worldwide. Conventional treatments, including corticosteroids, offer limited short-term benefit and are contraindicated in many patients, necessitating exploration of alternative therapies. Fecal microbiota transplant (FMT) has emerged as a novel therapeutic intervention, targeting the gut–liver axis that is disrupted in AH. This review synthesizes the current literature on FMT in the management of alcohol-induced liver injury, examining its pathophysiological basis, clinical efficacy, and implementation challenges. Dysbiosis and increased gut permeability in patients with alcohol use disorder contribute to systemic endotoxemia and hepatic inflammation. FMT aims to restore microbiota diversity and gut barrier integrity, mitigating the progression of liver injury. Some clinical trials have demonstrated encouraging survival benefits and modulation of gut microbiota composition in patients with severe AH. These studies report improved one-year survival rates and reductions in pathogenic bacterial taxa following FMT. However, the field remains nascent, with unresolved questions regarding optimal donor selection, sample preparation, administration routes, and long-term safety. Despite limited large-scale randomized data, FMT shows potential as an adjunct or alternative to existing therapies. Continued research is needed to establish standardized protocols and fully elucidate its role in the treatment algorithm for AH. Given the high mortality associated with untreated severe AH and limitations of current therapies, FMT represents a promising frontier in the management of alcohol-associated liver disease. Full article
Show Figures

Figure 1

17 pages, 5577 KB  
Article
Tracking Global Transmission Dynamics of the Plasmid-Mediated mcr Gene: A Genomic Epidemiological Analysis
by Jinzhao Long, Xin Wang, Mengyue Liu, Jie Wu, Haiyan Yang, Shuaiyin Chen and Guangcai Duan
Microorganisms 2026, 14(1), 28; https://doi.org/10.3390/microorganisms14010028 - 22 Dec 2025
Viewed by 314
Abstract
The emergence and spread of mobile colistin resistance (mcr) genes pose a significant challenge in controlling multidrug-resistant Gram-negative pathogens. Understanding the epidemiology of mcr-carrying plasmids is essential for mitigating their dissemination across humans, animals, and the environment. To characterize their [...] Read more.
The emergence and spread of mobile colistin resistance (mcr) genes pose a significant challenge in controlling multidrug-resistant Gram-negative pathogens. Understanding the epidemiology of mcr-carrying plasmids is essential for mitigating their dissemination across humans, animals, and the environment. To characterize their spatiotemporal dynamics on a global scale, we analyzed an extensive collection of 5,549 mcr-carrying plasmids spanning 1995 to the present. We found that cross-genera transmission patterns of mcr-carrying plasmids varied across four distinct periods. Initially, IncHI2/HI2A plasmids provided a survival advantage across genera and regions, followed by IncI2, and ultimately by IncX4. Moreover, the three plasmid lineages (i.e., IncX4, IncI2, and IncHI2/HI2A) have reached a stable distribution across diverse bacterial hosts and geographic regions through horizontal gene transfer and clonal expansion. By integrating sequence similarity clustering of plasmids and mcr-related genetic environments, we identified 79 cross-genus, 43 intra-E. coli, and 10 intra-S. enterica transmission units. Molecular dating analysis traced the origin of IncX4 plasmids to 1990 in animal hosts, with phylogenetic evidence indicating potential cross-host, -genus, and -region exchange. Notably, IncP1 plasmids emerged as important vectors of mcr-1 and mcr-3 spread, particularly in Southeast Asia, warranting enhanced surveillance. These findings provide critical insights into the global transmission networks of plasmid-mediated mcr genes and underscore the urgent need for coordinated interventions. Full article
(This article belongs to the Special Issue Advances in Microbial Genomics in the AMR Field)
Show Figures

Graphical abstract

Back to TopTop