Dietary Chia Seed Oil Enhances Growth, Immunological Response, and Disease Resistance Against Aeromonas hydrophila in Common Carp (Cyprinus carpio)
Abstract
1. Introduction
2. Materials and Methods
2.1. Preparation of Experimental Feed and Fatty Acid Analyses
2.2. Experimental Design and Feeding of Fish
2.3. Growth Performance and Feed Evaluation Parameters
| Relative growth rate (RGR, %): [(Final weight − Initial weight)/Initial weight] × 100 |
| Specific growth rate (SGR, % day−1): [ln(Final average weight) − ln(Initial average weight)]/Experiment duration × 100 |
| Feed conversion ratio (FCR, %): [Weight gain/Feed consumption] |
2.4. Blood Sampling and Analysis
2.5. Haematological Analyses
| Mean corpuscular volume (MCV, fL): MCV = (Hct × 10)/RBC |
| Mean corpuscular haemoglobin (MCH, pg): MCH = (Hb × 10)/RBC |
| Mean corpuscular haemoglobin concentration (MCHC, g/dL): MCHC = (Hb × 100)/Hct |
2.6. Serum Biochemical Analyses
2.7. Bacterial Challenge Test with Aeromonas Hydrophila
2.8. Gene Expression Analyses
2.9. Statistical Analyses
3. Results
3.1. Growth Performance
3.2. Haematological and Serum Biochemical Parameters
3.3. Bacterial Challenge
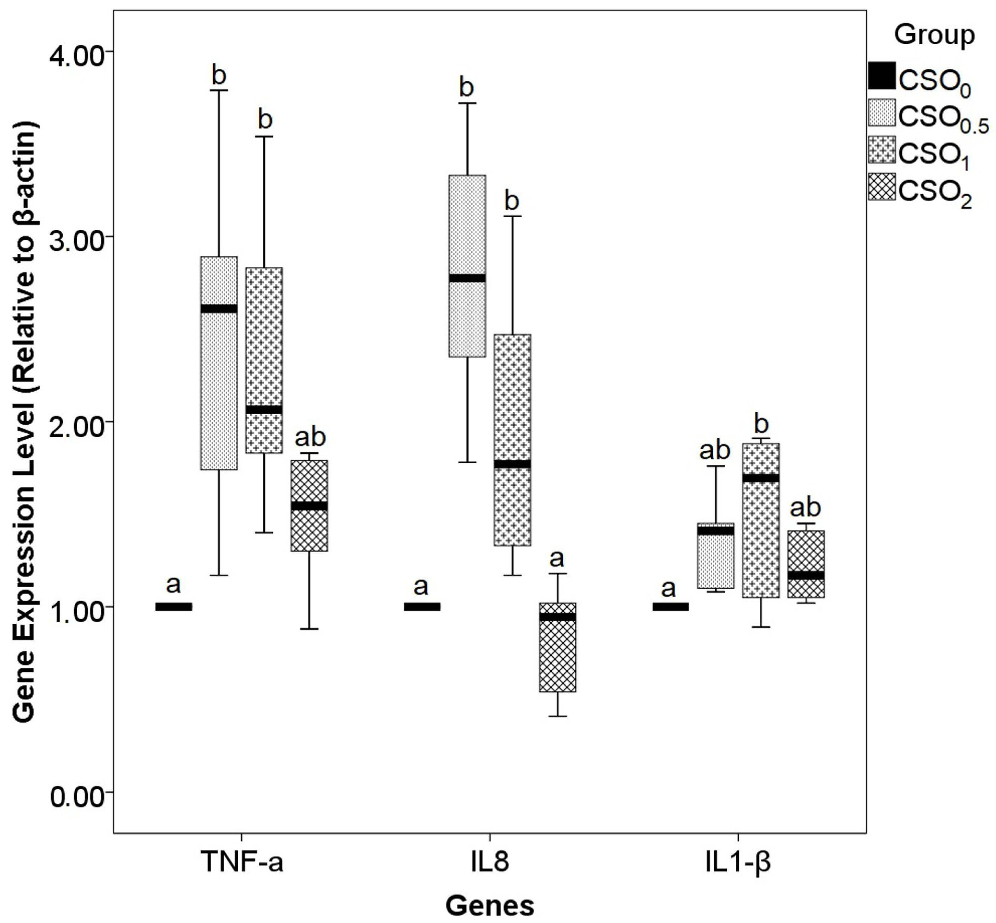
3.4. Gene Expression
4. Discussion
5. Conclusions
Author Contributions
Funding
Institutional Review Board Statement
Data Availability Statement
Conflicts of Interest
References
- Tacon, A.G.J.; Metian, M.; McNevin, A.A. Future feeds: Suggested guidelines for sustainable development. Rev. Fish. Sci. Aquac. 2021, 30, 271–279. [Google Scholar] [CrossRef]
- Hodar, A.R.; Vasava, R.; Joshi, N.H.; Mahavadiya, D.R. Fish meal and fish oil replacement for alternative sources: A review. J. Exp. Zool. India 2020, 23, 13–21. [Google Scholar]
- Alhazzaa, R.; Nichols, P.D.; Carter, C.G. Sustainable alternatives to dietary fish oil in tropical fish aquaculture. Rev. Aquac. 2019, 11, 1195–1218. [Google Scholar] [CrossRef]
- Acar, Ü.; Türker, A. Response of Rainbow trout (Oncorhynchus mykiss) to unrefined peanut oil diets: Effect on growth performance, fish health and fillet fatty acid composition. Aquac. Nutr. 2018, 24, 292–299. [Google Scholar] [CrossRef]
- Turchini, G.M.; Trushenski, J.T.; Glencross, B.D. Thoughts for the future of aquaculture nutrition: Realigning perspectives to reflect contemporary issues related to judicious use of marine resources in aquafeeds. N. Am. J. Aquac. 2019, 81, 13–39. [Google Scholar] [CrossRef]
- Huyben, D.; Rimoldi, S.; Ceccotti, C.; Montero, D.; Betancor, M.; Iannini, F.; Terova, G. Effect of dietary oil from Camelina sativa on the growth performance, fillet fatty acid profile and gut microbiome of gilthead sea bream (Sparus aurata). PeerJ 2020, 8, e10430. [Google Scholar] [CrossRef]
- Munoz, L.A.; Cobos, A.; Diaz, O.; Aguilera, J.M. Chia seed (Salvia hispanica): An ancient grain and a new functional food. Food Rev. Int. 2013, 29, 394–408. [Google Scholar] [CrossRef]
- Suri, S.; Passi, S.J.; Goyat, J. Chia seed (Salvia hispanica L.)—A new age functional food. In 4th International Conference on Recent Innovations in Science Engineering and Management; IJATES: Uttar Pradesh, India, 2016; Volume 4, pp. 286–299. [Google Scholar]
- Jin, F.; Nieman, D.C.; Sha, W.; Xie, G.; Qiu, Y.; Jia, W. Supplementation of milled chia seeds increases plasma ALA and EPA in postmenopausal women. Plant Foods Hum. Nutr. 2012, 67, 105–110. [Google Scholar] [CrossRef]
- Grancieri, M.; Martino, H.S.D.; Gonzalez de Mejia, E. Chia seed (Salvia hispanica L.) as a source of proteins and bioactive peptides with health benefits: A review. Compr. Rev. Food Sci. Food Saf. 2019, 18, 480–499. [Google Scholar] [CrossRef]
- Bodoira, R.M.; Penci, M.C.; Ribotta, P.D.; Martínez, M.L. Chia (Salvia hispanica L.) oil stability: Study of the effect of natural antioxidants. LWT Food Sci. Technol. 2017, 75, 107–113. [Google Scholar] [CrossRef]
- Ahmadifar, E.; Yousefi, M.; Karimi, M.; Fadaei Raieni, R.; Dadar, M.; Yılmaz, S.; Dawood, M.A.O. Benefits of dietary polyphenols and polyphenol-rich additives to aquatic animal health: An overview. Rev. Fish. Sci. Aquac. 2021, 29, 478–511. [Google Scholar] [CrossRef]
- Petenuci, M.E.; Schneider, V.V.A.; Lopes, A.P.; Gonçalves, R.M.; Dos Santos, V.J.; Matsushita, M.; Visentainer, J.V. Effect of Alpha-Linolenic Acid Sources in Diets for Nile Tilapia on Fatty Acid Composition of Fish Fillet Using Principal Component Analysis. J. Aquat. Food Prod. Technol. 2018, 27, 464–476. [Google Scholar] [CrossRef]
- Saheli, M.; Islamia, H.R.; Mohsenib, M.; Soltani, M. Effects of dietary vitamin E on growth performance, body composition, antioxidant capacity, and some immune responses in Caspian trout (Salmo caspius). Aquac. Rep. 2021, 21, 100857. [Google Scholar] [CrossRef]
- Nakano, T.; Wiegertjes, G. Properties of carotenoids in fish fitness: A review. Mar. Drugs 2020, 18, 568. [Google Scholar] [CrossRef]
- Dawood, M.A.; Koshio, S.; Esteban, M.A. Beneficial roles of feed additives as immunostimulants in aquaculture: A review. Rev. Aquac. 2018, 10, 950–974. [Google Scholar] [CrossRef]
- Hoseinifar, S.H.; Sun, Y.-Z.; Zhou, Z.; Van Doan, H.; Davies, S.J.; Harikrishnan, R. Boosting immune function and disease biocontrol through environment-friendly and sustainable approaches in finfish aquaculture: Herbal therapy scenarios. Rev. Fish. Sci. Aquac. 2020, 28, 303–321. [Google Scholar] [CrossRef]
- Tadese, D.A.; Song, C.; Sun, C.; Liu, B.; Liu, B.; Zhou, Q.; Xu, P.; Ge, X.; Liu, M.; Xu, X.; et al. The role of currently used medicinal plants in aquaculture and their action mechanisms: A review. Rev. Aquac. 2022, 14, 816–847. [Google Scholar] [CrossRef]
- Gupta, S.K.; Gupta, R.; Gupta, A.; Foysal, M.J.; Krishnani, K.K. Chia (Salvia hispanica) Seed Oil Modulates the Haemato-Immunological Response, Antioxidative Status and Cytokine Gene Expression of Tropical Freshwater Teleost. Labeo rohita. Biol. 2025, 14, 95. [Google Scholar] [CrossRef] [PubMed]
- Gupta, S.K.; Gupta, A.; Choudhary, J.S.; Foysal, M.J.; Gupta, R.; Sarkar, B.; Krishnani, K.K. Dietary Chia (Salvia hispanica L.) seeds oil supplementation augments growth performance and gut microbial composition in Labeo rohita fingerlings. Sci. Rep. 2025, 15, 1866. [Google Scholar] [CrossRef]
- Abd El-Naby, A.S.; El Asely, A.M.; Hussein, M.N.; Fawzy, R.M.; Abdel-Tawwab, M. Stimulatory effects of dietary chia (Salvia hispanica) seeds on performance, antioxidant-immune indices, histopathological architecture, and disease resistance of Nile tilapia. Aquaculture 2023, 563, 738889. [Google Scholar] [CrossRef]
- Yılmaz, S.; Ergün, S. Effects of garlic and ginger oils on hematological and biochemical variables of sea bass Dicentrarchus labrax. J. Aquat. Anim. Health 2012, 24, 219–224. [Google Scholar] [CrossRef]
- Austin, B.; Austin, D.A. Bacterial Fish Pathogens: Diseases of Farmed and Wild Fish; Springer: Dordrecht, The Netherlands, 2007. [Google Scholar]
- Kalendar, R.; Lee, D.; Schulman, A.H. FastPCR software for PCR primer and probe design and repeat search. Genes Genomes Genom. 2009, 3, 1–14. [Google Scholar]
- Aversa, R.; Petrescu, R.V.; Apicella, A.; Petrescu, F.I. One can slow down the aging through antioxidants. Am. J. Eng. Appl. Sci. 2016, 9, 1112–1126. [Google Scholar] [CrossRef]
- Di Melo, D.; Machado, T.B.; Oliveira, M.B.P. Chia seeds: An ancient grain trending in modern human diets. Food Funct. 2019, 10, 3068–3089. [Google Scholar] [CrossRef]
- Saini, R.K.; Keum, Y.S. Omega-3 and omega-6 Polyunsaturated fatty acids: Dietary sources, metabolism, and significance—A review. Life Sci. 2018, 203, 255–267. [Google Scholar] [CrossRef]
- Lokhande, P.; Kharche, A.; Wagh, S.G.; Manithe, D.; Harke, S. Immune boosting super food supplement from natural resources. J. Pharmacogn. Phytochem. 2019, 8, 2108–2113. [Google Scholar]
- Zorlu, K.; Gümüş, E. Effect of dietary fish oil replacement with grape seed oil on growth performance, feed utilization and fatty acid profile of mirror carp, Cyprinus carpio, fingerlings. Aquac. Res. 2022, 53, 1755–1765. [Google Scholar] [CrossRef]
- Ahmadniaye Motlagh, H.; Horie, Y.; Rashid, H.; Banaee, M.; Multisanti, C.R.; Faggio, C. Unveiling the Effects of Fennel (Foeniculum vulgare) Seed Essential Oil as a Diet Supplement on the Biochemical Parameters and Reproductive Function in Female Common Carps (Cyprinus carpio). Water 2023, 15, 2978. [Google Scholar] [CrossRef]
- Acar, Ü. Sarı kantaron (Hypericum perforatum) yağının sazan yavrularının (Cyprinus carpio) büyüme performansı ve bazı kan parametreleri üzerine etkisi. Alinteri J. Agric. Sci. 2018, 33, 21–27. (In Turkish) [Google Scholar] [CrossRef]
- Kesbiç, O.S. Effects of juniper berry oil on growth performance and blood parameters in common carp (Cyprinus carpio). Aquac. Res. 2019, 50, 342–349. [Google Scholar] [CrossRef]
- Lochmann, R.T.; Gatlin, D.M. Essential fatty acid requirement of juvenile red drum (Sciaenops ocellatus). Fish Physiol. Biochem. 1993, 12, 221–235. [Google Scholar] [CrossRef]
- Ghena, M.M.; Amany, M.B. Chia (Salvia hispanica L.) seed oil a new source of omega 3. Plant Arch 2020, 20, 2678–2683. [Google Scholar]
- De Falco, B.; Incerti, G.; Bochicchio, R.; Phillips, T.D.; Amato, M.; Lanzotti, V. Metabolomic analysis of Salvia hispanica seeds using NMR spectroscopy and multivariate data analysis. Ind. Crop. Prod. 2017, 99, 86–96. [Google Scholar] [CrossRef]
- Sundar, S.; Singh, B.; Kaur, A. Influence of hot-air and infra-red pretreatments on oxidative stability, physicochemical properties, phenolic and fatty acid profile of white and black chia seed (Salvia hispanica L.) oil. J. Food Compos. Anal. 2023, 123, 105556. [Google Scholar] [CrossRef]
- Oteri, M.; Bartolomeo, G.; Rigano, F.; Aspromonte, J.; Trovato, E.; Purcaro, G.; Dugo, P.; Mondello, L.; Beccaria, M. Comprehensive Chemical Characterization of Chia (Salvia hispanica L.) Seed Oil with a Focus on Minor Lipid Components. Foods 2023, 12, 23. [Google Scholar] [CrossRef] [PubMed]
- Aslam, A.; Hassan, S.M.; Mughal, S.S.; Hassan, S.K.; Ibrahim, A.; Hassan, H.; Shafiq, S. Comprehensive review of structural components of Salvia hispanica & its biological applications. Int. J. Biochem. Biophys. Mol. Biol. 2020, 5, 1. [Google Scholar] [CrossRef]
- Das, S.; Pradhan, C.; Pillai, D. Dietary coriander (Coriandrum sativum L) oil improves antioxidant and anti-inflammatory activity, innate immune responses and resistance to Aeromonas hydrophila in Nile tilapia (Oreochromis niloticus). Fish. Shellfish Immunol. 2023, 132, 108486. [Google Scholar] [CrossRef]
- Reda, R.M.; El Asely, A.; Salah, A.S.; Mahmoud, M.A. Replacement of dietary fish oil with plant oils improves the immunological responses and the antioxidant status in Oreochromis niloticus exposed to suboptimal temperature. Fish Physiol. Biochem. 2020, 46, 2181–2196. [Google Scholar] [CrossRef] [PubMed]
- Jin, M.; Lu, Y.; Yuan, Y.E.; Li, Y.I.; Qiu, H.; Sun, P.; Ma, H.-N.; Ding, L.-Y.; Zhou, Q.C. Regulation of growth, antioxidant capacity, fatty acid profiles, hematological characteristics and expression of lipid related genes by different dietary n-3 highly unsaturated fatty acids in juvenile black seabream (Acanthopagrus schlegelii). Aquaculture 2017, 471, 55–65. [Google Scholar] [CrossRef]
- De Falco, B.; Amato, M.; Lanzotti, V. Chia seeds products: An overview. Phytochem. Rev. 2017, 16, 745–760. [Google Scholar] [CrossRef]
- Oliveira-Alves, S.C.; Vendramini-Costa, D.B.; Cazarin, C.B.B.; Júnior, M.R.M.; Ferreira, J.P.B.; Silva, A.B.; Prado, M.A.; Bronze, M.R. Characterization of phenolic compounds in chia (Salvia hispanica L.) seeds, fiber flour and oil. Food Chem. 2017, 232, 295–305. [Google Scholar] [CrossRef] [PubMed]
- Hoseini, S.M.; Hoseinifar, S.H.; Van Doan, H. Growth performance and hematological and antioxidant characteristics of rainbow trout, Oncorhynchus mykiss, fed diets supplemented with Roselle, Hibiscus sabdariffa. Aquaculture 2021, 530, 735827. [Google Scholar] [CrossRef]
- Bakhtiari, F.; Ahmadifar, E.; Moghadam, M.S.; Mohammadzadeh, S.; Mahboub, H.H. Dual effects of dietary Lactobacillus helveticus and chlorogenic acid on growth performance, digestibility, immune-antioxidant capacity and resistance against heat stress of juvenile common carp. Aquac. Int. 2024, 32, 7911–7927. [Google Scholar] [CrossRef]
- Xu, H.; Du, J.; Li, S.; Mai, K.; Xu, W.; Ai, Q. Effects of dietary n-3 long-chain unsaturated fatty acid on growth performance, lipid deposition, hepatic fatty acid composition and health-related serum enzyme activity of juvenile Japanese seabass Lateolabrax japonicus. Aquac. Nutr. 2017, 23, 1449–1457. [Google Scholar] [CrossRef]
- Shaalan, M.; Mahboub, H.H.; Abdelgawad, A.H.; Abdelwarith, A.A.; Younis, E.M.; Elnegiry, A.A.; Basher, A.W.; El-Houseiny, W.; Shawky, S.M.; Orabi, S.H.; et al. Dietary tea tree (Melaleucae aetheroleum) oil fortifies growth, biochemical, immune-antioxidant trait, gene function, tissue reaction, and Aeromonas sobria resistance in Nile tilapia (Oreochromis niloticus). BMC Vet. Res. 2025, 21, 1. [Google Scholar]
- Liu, M.; Sun, C.; Xu, P.; Liu, B.; Zheng, X.; Liu, B.; Zhou, Q. Effects of dietary tea tree (Melaleuca alternifolia) oil and feeding patterns on the zootechnical performance and nonspecific immune response of the giant freshwater prawn (Macrobrachium rosenbergii). J. World Aquac. Soc. 2022, 53, 542–557. [Google Scholar] [CrossRef]
- Mahmoud, H.K.; Reda, F.M.; Alagawany, M.; Farag, M.R.; El-Naggar, K. The role of dietary chia seed powder in modulating cold stress-related impacts in Nile tilapia, Oreochromis niloticus. Aquaculture 2023, 567, 739246. [Google Scholar] [CrossRef]
- Alagawany, M.; Nasr, M.; Al-Abdullatif, A.; Alhotan, R.A.; Azzam, M.M.; Reda, F.M. Impact of dietary cold-pressed chia oil on growth, blood chemistry, haematology, immunity and antioxidant status of growing Japanese quail. Ital. J. Anim. Sci. 2020, 19, 896–904. [Google Scholar] [CrossRef]
- Rossi, A.S.; Oliva, M.E.; Ferreira, M.R.; Chicco, A.; Lombardo, Y.B. Dietary chia seed induced changes in hepatic transcription factors and their target lipogenic and oxidative enzyme activities in dyslipidaemic insulin-resistant rats. Br. J. Nutr. 2013, 109, 1617–1627. [Google Scholar] [CrossRef]
- Atkinson, J.; Manor, D.; Parker, R. Vitamin E. In Encyclopedia of Biological Chemistry, 2nd ed.; Lennarz, W.J., Lane, M.D., Eds.; Academic Press: Waltham, MA, USA, 2013; pp. 545–550. [Google Scholar]
- Martin, S.A.; Król, E. Nutrigenomics and immune function in fish: New insights from omics technologies. Dev. Comp. Immunol. 2017, 75, 86–98. [Google Scholar] [CrossRef] [PubMed]
- Giri, S.S.; Sen, S.S.; Chi, C.; Kim, H.J.; Yun, S.; Park, S.C.; Sukumaran, V. Effect of guava leaves on the growth performance and cytokine gene expression of Labeo rohita and its susceptibility to Aeromonas hydrophila infection. Fish. Shellfish Immunol. 2015, 46, 217–224. [Google Scholar] [CrossRef]
- Dawood, M.A.; Zommara, M.; Eweedah, N.M.; Helal, A.I. The evaluation of growth performance, blood health, oxidative status and immune-related gene expression in Nile tilapia (Oreochromis niloticus) fed dietary nanoselenium spheres produced by lactic acid bacteria. Aquaculture 2020, 515, 734571. [Google Scholar] [CrossRef]
- Abd El-Hamid, M.I.; Ibrahim, S.M.; Eldemery, F.; El-Mandrawy, S.A.M.; Metwally, A.S.; Khalifa, E.; Elnahriry, S.S.; Ibrahim, D. Dietary Cinnamaldehyde Nanoemulsion Boosts Growth and Transcriptomes of Antioxidant and Immune Related Genes to Fight Streptococcus Agalactiae Infection in Nile tilapia (Oreochromis niloticus). Fish. Shellfish Immunol. 2021, 113, 96–105. [Google Scholar] [CrossRef] [PubMed]
- Guangxin, G.; Li, K.; Zhu, Q.; Zhao, C.; Li, C.; He, Z.; Hu, S.; Ren, Y. Improvements of immune genes and intestinal microbiota composition of turbot (Scophthalmus maximus) with dietary oregano oil and probiotics. Aquaculture 2021, 547, 737442. [Google Scholar] [CrossRef]


| Component (g/kg) | CSO0 | CSO0.5 | CSO1 | CSO2 |
| Fish Meal | 200 | 200 | 200 | 200 |
| Soybean Meal | 300 | 300 | 300 | 300 |
| Corn Starch | 180 | 180 | 180 | 180 |
| Wheat Flour | 200 | 200 | 200 | 200 |
| Anchovy Oil | 80 | 75 | 70 | 60 |
| Vit. Min. 1 | 40 | 40 | 40 | 40 |
| Chia Oil | - | 5 | 10 | 20 |
| Total (g) | 1000 | 1000 | 1000 | 1000 |
| Crude Protein | 350.12 | 351.2 | 351.63 | 351.71 |
| Crude Lipid | 101.06 | 104.13 | 102.04 | 101.17 |
| Crude Ash | 43.3 | 42.4 | 41.4 | 43.3 |
| Crude Cellulose | 32.35 | 31.14 | 31.26 | 31.22 |
| NFE 2 | 473.16 | 471.13 | 473.67 | 472.6 |
| Fatty Acid Profile of Experimental Diets (g/100 g) | ||||
| Fatty Acid | CSO0 | CSO0.5 | CSO1 | CSO2 |
| C10:0 | 0.01 | 0.01 | 0.01 | 0.01 |
| C11:0 | 0.01 | 0.01 | 0.01 | 0.01 |
| C12:0 | 0.04 | 0.03 | 0.03 | 0.04 |
| C13:0 | 0.08 | 0.06 | 0.06 | 0.08 |
| C14:0 | 6.93 | 5.71 | 5.75 | 7.86 |
| C15:0 | 1.19 | 0.97 | 0.97 | 1.34 |
| C16:0 | 20.43 | 17.41 | 17.46 | 23.68 |
| C16:1 n-7 | 5.31 | 4.42 | 4.4 | 6.05 |
| C17:0 | 1.13 | 0.96 | 0.94 | 1.31 |
| C17:1 | 0.01 | 0.01 | 0.01 | 0.01 |
| C18:0 | 4.82 | 1.84 | 1.82 | 2.5 |
| C18:1 n-9 | 0.91 | 5.36 | 5.3 | 7.23 |
| C18:2 | 2.65 | 2.38 | 2.53 | 3.6 |
| C18:3 n-6 | 0.2 | 0.16 | 0.16 | 0.22 |
| C18:3 n-3 | 1.47 | 1.9 | 2.59 | 3.84 |
| C20:0 | 0.67 | 0.56 | 0.55 | 0.77 |
| C20:1 n-9 | 0.69 | 0.62 | 0.62 | 0.85 |
| C20:2 n-6 | 0.31 | 0.25 | 0.24 | 0.34 |
| C20:3 n-6 | 0.13 | 0.11 | 0.11 | 0.16 |
| C20:3 n-3 | 0.24 | 0.19 | 0.2 | 0.25 |
| C20:4 n-6 | 1.14 | 0.93 | 0.92 | 1.28 |
| C20:5 n-3 | 0.13 | 0.11 | 0.11 | 0.15 |
| C22:0 | 2.18 | 1.59 | 1.82 | 2.5 |
| C22:1 n-9 | 0.1 | 0.08 | 0.1 | 0.13 |
| C23:0 | 0.08 | 0.07 | 0.07 | 0.09 |
| C24:0 | 0.13 | 0.11 | 0.11 | 0.15 |
| C24:1 | 1 | 0.84 | 0.82 | 1.12 |
| C22:6 n-3 | 49.66 | 42.31 | 42.67 | 57.3 |
| Group | CSO0 | CSO0.5 | CSO1 | CSO2 | p Value | |
|---|---|---|---|---|---|---|
| Parameters | ||||||
| Initial Weight (g) | 27.18 ± 0.18 a | 27.49 ± 0.10 a | 27.47 ± 0.12 a | 27.32 ± 0.31 a | 0.257 | |
| Final Weight (g) | 43.07 ± 0.53 a | 44.16 ± 1.15 a | 47.36 ± 0.55 b | 49.55 ± 0.17 c | 0.000 | |
| RGR (%) | 58.48 ± 2.75 a | 60.67 ± 4.16 a | 72.42 ± 1.34 b | 81.37 ± 2.67 c | 0.001 | |
| SGR (%/day) | 0.77 ± 0.03 a | 0.79 ± 0.04 a | 0.91 ± 0.01 b | 0.99 ± 0.02 c | 0.001 | |
| FCR | 1.26 ± 0.05 b | 1.20 ± 0.08 b | 1.01 ± 0.02 a | 0.90 ± 0.02 a | 0.001 | |
| Group | CSO0 | CSO0.5 | CSO1 | CSO2 | p Value | |
|---|---|---|---|---|---|---|
| Parameters | ||||||
| RBC (×106/μL) | 1.89 ± 0.12 b | 1.77 ± 0.08 a | 1.88 ± 0.12 b | 1.85 ± 0.18 ab | 0.025 | |
| Hct (%) | 30.21 ± 1.78 a | 32.73 ± 1.92 b | 33.27 ± 2.39 b | 33.04 ± 2.69 b | 0.001 | |
| Hb (g/dL) | 7.26 ± 0.40 a | 8.00 ± 0.44 b | 8.48 ± 0.51 c | 8.42 ± 0.43 bc | 0.001 | |
| MCV (fL) | 160.63 ± 14.61 a | 185.19 ± 16.14 b | 177.69 ± 18.52 ab | 179.87 ± 20.93 b | 0.002 | |
| MCH (pg/cell) | 38.56 ± 2.74 a | 45.17 ± 2.75 b | 45.23 ± 3.34 b | 45.80 ± 3.84 b | 0.001 | |
| MCHC (%) | 24.11 ± 1.96 a | 24.53 ± 2.23 a | 25.65 ± 2.55 a | 25.64 ± 2.27 a | 0.159 | |
| Group | CSO0 | CSO0.5 | CSO1 | CSO2 | p Value | |
|---|---|---|---|---|---|---|
| Parameters | ||||||
| GLU (mg/dL) | 77.50 ± 6.44 a | 80.12 ± 7.34 a | 72.87 ± 6.23 a | 75.85 ± 8.19 a | 0.051 | |
| TRIG (mg/dL) | 133.25 ± 10.23 c | 114.65 ± 11.62 b | 93.89 ± 17.86 a | 111.41 ± 17.78 b | 0.001 | |
| CHOL (mg/dL) | 163.37 ± 17.73 b | 134.32 ± 11.58 a | 128.16 ± 16.37 a | 135.29 ± 12.27 a | 0.001 | |
| AST (U/L) | 92.46 ± 12.44 b | 87.43 ± 8.76 ab | 79.23 ± 13.25 a | 87.70 ± 11.28 ab | 0.024 | |
| ALT (U/L) | 26.12 ± 4.01 a | 23.60 ± 3.17 a | 21.57 ± 4.70 a | 24.69 ± 6.42 a | 0.072 | |
| LDH (U/L) | 340.81 ± 42.80 a | 337.39 ± 42.80 a | 328.95 ± 28.88 a | 358.27 ± 29.38 a | 0.192 | |
| ALP (U/L) | 87.12 ± 11.95 ab | 77.91 ± 6.53 a | 76.83 ± 11.99 a | 96.22 ± 14.92 b | 0.001 | |
Disclaimer/Publisher’s Note: The statements, opinions and data contained in all publications are solely those of the individual author(s) and contributor(s) and not of MDPI and/or the editor(s). MDPI and/or the editor(s) disclaim responsibility for any injury to people or property resulting from any ideas, methods, instructions or products referred to in the content. |
© 2025 by the authors. Licensee MDPI, Basel, Switzerland. This article is an open access article distributed under the terms and conditions of the Creative Commons Attribution (CC BY) license.
Share and Cite
Acar, Ü.; Kesbiç, O.S.; Yapıcı, S.; Tezel, R.; Bilge, G.; Türker, A.; Güllü, K.; Erol, H.S.; Terzi, F.; Demirci, B.; et al. Dietary Chia Seed Oil Enhances Growth, Immunological Response, and Disease Resistance Against Aeromonas hydrophila in Common Carp (Cyprinus carpio). Fishes 2026, 11, 18. https://doi.org/10.3390/fishes11010018
Acar Ü, Kesbiç OS, Yapıcı S, Tezel R, Bilge G, Türker A, Güllü K, Erol HS, Terzi F, Demirci B, et al. Dietary Chia Seed Oil Enhances Growth, Immunological Response, and Disease Resistance Against Aeromonas hydrophila in Common Carp (Cyprinus carpio). Fishes. 2026; 11(1):18. https://doi.org/10.3390/fishes11010018
Chicago/Turabian StyleAcar, Ümit, Osman Sabri Kesbiç, Sercan Yapıcı, Rifat Tezel, Gökçen Bilge, Ali Türker, Kenan Güllü, Hüseyin Serkan Erol, Funda Terzi, Beste Demirci, and et al. 2026. "Dietary Chia Seed Oil Enhances Growth, Immunological Response, and Disease Resistance Against Aeromonas hydrophila in Common Carp (Cyprinus carpio)" Fishes 11, no. 1: 18. https://doi.org/10.3390/fishes11010018
APA StyleAcar, Ü., Kesbiç, O. S., Yapıcı, S., Tezel, R., Bilge, G., Türker, A., Güllü, K., Erol, H. S., Terzi, F., Demirci, B., & Giannetto, D. (2026). Dietary Chia Seed Oil Enhances Growth, Immunological Response, and Disease Resistance Against Aeromonas hydrophila in Common Carp (Cyprinus carpio). Fishes, 11(1), 18. https://doi.org/10.3390/fishes11010018

