Sign in to use this feature.

Years

Between: -

Subjects

remove_circle_outline
remove_circle_outline
remove_circle_outline
remove_circle_outline
remove_circle_outline
remove_circle_outline
remove_circle_outline

Journals

Article Types

Countries / Regions

Search Results (55)

Search Parameters:
Keywords = axial resolution enhancement

Order results
Result details
Results per page
Select all
Export citation of selected articles as:
15 pages, 3646 KB  
Article
Research on the Frequency Modulation Micro-Electro-Mechanical System Electric Field Sensor
by Ying Zhang, Shourong Nie, Huixian Li, Boyixiao Pang, Weiyang Li, Xun Sun and Xiaolong Wen
Symmetry 2026, 18(2), 270; https://doi.org/10.3390/sym18020270 - 31 Jan 2026
Viewed by 42
Abstract
High-sensitivity, high-resolution electric field sensors (EFS) find extensive applications across multiple domains, including atmospheric monitoring, aerospace, power grid management, and industrial automation. While conventional electric field measurement techniques suffer from integration challenges and high-power consumption, micro-electromechanical systems (MEMS)-based EFS offer distinct advantages through [...] Read more.
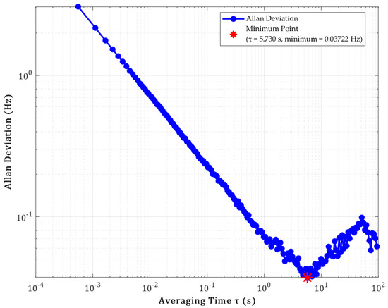
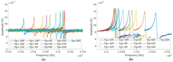
High-sensitivity, high-resolution electric field sensors (EFS) find extensive applications across multiple domains, including atmospheric monitoring, aerospace, power grid management, and industrial automation. While conventional electric field measurement techniques suffer from integration challenges and high-power consumption, micro-electromechanical systems (MEMS)-based EFS offer distinct advantages through miniaturization, integration capability, and functional intelligence. This research incorporates frequency modulation technology into MEMS EFS, leveraging its inherent noise immunity, long-range transmission capacity, and compatibility with digital systems to enhance measurement precision. The sensor’s lateral and axial symmetry configurations are systematically investigated to reveal how asymmetric stiffness perturbations (negatives vs. positives) optimize performance, aligning with symmetry principles in MEMS design. Experimental results demonstrate that the lateral configuration achieves optimal performance with a sensitivity of 0.091√Hz/(kV/m) and a resolution of 1.01 kV/m, whereas the axial configuration yields an average sensitivity of 0.038 √Hz/(kV/m) with a corresponding resolution of 2.37 kV/m. The measurement range of the sensor is from −193.4 kV/m to 193.4 kV/m. Full article
Show Figures

Figure 1

27 pages, 14169 KB  
Article
Lite-BSSNet: A Lightweight Blueprint-Guided Visual State Space Network for Remote Sensing Imagery Segmentation
by Jiaxin Yan, Yuxiang Xie, Yan Chen, Yanming Guo and Wenzhe Liu
Remote Sens. 2026, 18(3), 441; https://doi.org/10.3390/rs18030441 - 30 Jan 2026
Viewed by 100
Abstract
Remote sensing image segmentation requires balancing global context and local detail across multi-scale objects. However, convolutional neural network (CNN)-based methods struggle to model long-range dependencies, while transformer-based approaches suffer from quadratic complexity and become inefficient for high-resolution remote sensing scenarios. In addition, the [...] Read more.
Remote sensing image segmentation requires balancing global context and local detail across multi-scale objects. However, convolutional neural network (CNN)-based methods struggle to model long-range dependencies, while transformer-based approaches suffer from quadratic complexity and become inefficient for high-resolution remote sensing scenarios. In addition, the semantic gap between deep and shallow features can cause misalignment during cross-layer aggregation, and information loss in upsampling tends to break thin continuous structures, such as roads and roof edges, introducing pronounced structural noise. To address these issues, we propose lightweight Lite-BSSNet (Blueprint-Guided State Space Network). First, a Structural Blueprint Generator (SBG) converts high-level semantics into an edge-enhanced structural blueprint that provides a topological prior. Then, a Visual State Space Bridge (VSS-Bridge) aligns multi-level features and projects axially aggregated features into a linear-complexity visual state space, smoothing high-gradient edge signals for sequential scanning. Finally, a Structural Repair Block (SRB) enlarges the effective receptive field via dilated convolutions and uses spatial/channel gating to suppress upsampling artifacts and reconnect thin structures. Experiments on the ISPRS Vaihingen and Potsdam datasets show that Lite-BSSNet achieves the highest segmentation accuracy among the compared lightweight models, with mIoU of 83.9% and 86.7%, respectively, while requiring only 45.4 GFLOPs, thus achieving a favorable trade-off between accuracy and efficiency. Full article
22 pages, 16958 KB  
Article
Optical Design of a Large-Angle Spectral Confocal Sensor for Liquid Surface Tension Measurement
by Lingling Wu, Tingting Yang, Fang Wang, Qian Wang, Fei Xi and Jinsong Lv
Sensors 2026, 26(2), 599; https://doi.org/10.3390/s26020599 - 15 Jan 2026
Viewed by 197
Abstract
The surface tension of a liquid droplet can be determined by fitting its actual profiles using the Young–Laplace equation, effectively reducing the measurement of surface tension to an accurate determination of the droplet’s profiles. Spectral confocal sensors are high-precision, interference-resistant, non-contact measurement systems [...] Read more.
The surface tension of a liquid droplet can be determined by fitting its actual profiles using the Young–Laplace equation, effectively reducing the measurement of surface tension to an accurate determination of the droplet’s profiles. Spectral confocal sensors are high-precision, interference-resistant, non-contact measurement systems for droplet surface profiling, employing a light source together with a dispersive objective lens and a spectrometer to acquire depth-dependent spectral information. The accuracy and stability of surface tension measurements can be effectively enhanced by spectral confocal sensors measuring the droplet surface profile. Although existing spectral confocal sensors have significantly improved measurement range and accuracy, their angular measurement performance remains limited, and deviations may arise at droplet edges with large inclinations or pronounced surface profile variations. This study presents the optical design of a large-angle spectral confocal sensor. By theoretically analyzing the conditions for generating linear axial dispersion in the dispersive objective lens, a front-end dispersive objective lens was designed by combining positive and negative lenses. Based on a Czerny–Turner (C-T) configuration, the back-end spectrometer was designed under the astigmatism-free condition, taking into account both central and edge wavelength effects. Zemax was employed for simulation optimization and tolerance analysis of each optical module. The results show that the designed system achieves an axial dispersion of 1.5 mm over the 430–700 nm wavelength range, with a maximum allowable object angle of ±40° and a theoretical resolution of 3 μm. The proposed spectral confocal sensor maintains high measurement accuracy over a wide angular range, facilitating precise measurement of droplet surface tension at large inclination angles. Full article
(This article belongs to the Section Optical Sensors)
Show Figures

Graphical abstract

10 pages, 2756 KB  
Article
Tapered Fiber Bragg Grating Fabry–Pérot Cavity for Sensitivity-Enhanced Strain Sensing
by Jinchen Zhang, Chao Wang, Rui Dai, Yaqi Tang and Junhui Hu
Sensors 2026, 26(2), 581; https://doi.org/10.3390/s26020581 - 15 Jan 2026
Viewed by 221
Abstract
This paper presents a novel optical fiber axial strain sensor based on a Fabry–Perot interferometer (FPI) cavity incorporating Fiber Bragg Gratings (FBGs) and a tapered fiber, which has been experimentally validated. The sensor structure primarily consists of two identical FBGs with a bi-conical [...] Read more.
This paper presents a novel optical fiber axial strain sensor based on a Fabry–Perot interferometer (FPI) cavity incorporating Fiber Bragg Gratings (FBGs) and a tapered fiber, which has been experimentally validated. The sensor structure primarily consists of two identical FBGs with a bi-conical tapered fiber segment between them, achieving a strain sensitivity of 13.19 pm/με. This represents a 12-fold enhancement compared to conventional FBG-FPI, along with a resolution limit of 3.7 × 10−4 με. The proposed sensor offers notable advantages including low fabrication cost, compact structure, and excellent linearity, demonstrating significant potential for high-precision axial strain measurement applications. Full article
(This article belongs to the Section Optical Sensors)
Show Figures

Figure 1

12 pages, 3984 KB  
Article
A Ku-Band Circularly Polarized Array Antenna Based on Vertical Virtual Ground
by Gaoya Dong, Shibo Lv and Yuxin Zhang
Electronics 2025, 14(23), 4691; https://doi.org/10.3390/electronics14234691 - 28 Nov 2025
Viewed by 521
Abstract
In this paper, a compact 2 × 2 wideband circularly polarized (CP) array antenna is proposed. The antenna element comprises a square ring resonator, a square parasitic patch, and a vertical virtual ground (VVG) structure. To achieve circular polarization, truncated corners are etched [...] Read more.
In this paper, a compact 2 × 2 wideband circularly polarized (CP) array antenna is proposed. The antenna element comprises a square ring resonator, a square parasitic patch, and a vertical virtual ground (VVG) structure. To achieve circular polarization, truncated corners are etched on both the resonator and the parasitic patch; meanwhile, the VVG structure is introduced to enhance miniaturization and improve circular polarization performance. The operating mechanism of the proposed antenna element is analyzed in detail. Furthermore, a one-to-four microstrip power divider is designed to feed a 2 × 2 array, which occupies an area of 1.07λ02. For verification, the 2 × 2 array has been fabricated and measured. The measured results indicate that the proposed antenna operates at a center frequency of 17.2 GHz with a bandwidth of 14.4%. Additionally, it exhibits a 3 dB axial ratio bandwidth of 6.52% and a maximum gain of 8.64 dBi. With excellent CP performance and compact size, the proposed CP array is an attractive candidate for high-resolution radar and satellite communications. Full article
Show Figures

Figure 1

19 pages, 4019 KB  
Article
Three-Dimensional PET Imaging Reveals Canal-like Networks for Amyloid Beta Clearance to the Peripheral Lymphatic System
by Giselle Shim, Rudolf Hall, Zeming Zhang, Ibrahim M. Shokry, Alexandra To, Lillian Cruz, Mary C. Adam, Howard Prentice, Jang-Yen Wu, Hongbo Su, Rui Tao and for the Alzheimer’s Disease Neuroimaging Initiative
Cells 2025, 14(22), 1754; https://doi.org/10.3390/cells14221754 - 10 Nov 2025
Viewed by 1041
Abstract
18F-Florbetapir PET imaging is widely used to assess amyloid-β (Aβ) burden in the brain, particularly in the context of Alzheimer’s disease (AD). Conventional assessments typically rely on selected individual slices, which may limit spatial accuracy and are prone to image blurring. In [...] Read more.
18F-Florbetapir PET imaging is widely used to assess amyloid-β (Aβ) burden in the brain, particularly in the context of Alzheimer’s disease (AD). Conventional assessments typically rely on selected individual slices, which may limit spatial accuracy and are prone to image blurring. In the present study, we introduce novel techniques to enhance the spatial resolution and clarity of Aβ signal visualization in individuals pretreated with 18F-florbetapir. PET scans were retrospectively obtained from the Imaging and Data Archive for twelve individuals, including six cognitively unimpaired subjects and six diagnosed with AD. Each dataset consisted of 346 raw images, comprising 90 axial, 128 coronal, and 128 sagittal slices. Images were reconstructed into a single 3D volume using the 3D Slicer platform. Crucially, we applied artificial intelligence or AI-driven signal enhancement techniques to suppress background noise and amplify Aβ signals. This AI-enhanced processing improved image clarity and enabled visualization of subtle and spatially organized signal patterns. To verify anatomical location, Aβ PET signals were registered with MRI. This integrated workflow allowed us to visualize Aβ signals across regions of interest, including the brain parenchyma, skull, and cervical tissues. Our analytical approaches revealed that Aβ signals are highly concentrated and confined within non-CNS fluid compartments, forming canal-like networks that extend from the brain parenchyma toward the skull base, particularly the occipital clivus, and connect to the cervical lymph nodes. Additional Aβ signals were observed along the internal carotid plexus. These findings suggest that, when reconstruction in 3D and enhanced with AI, 18F-florbetapir PET imaging may not only reflect Aβ plaque burden in the brain but also visualize soluble Aβ species concentrated within anatomical clearance pathways leading to the peripheral lymphatic system. This approach offers a new dimension to PET signal interpretation and highlights the potential of AI-enhanced 3D in advancing neuroimaging analysis. Full article
Show Figures

Graphical abstract

16 pages, 7343 KB  
Article
Accelerated Super-Resolution Reconstruction for Structured Illumination Microscopy Integrated with Low-Light Optimization
by Caihong Huang, Dingrong Yi and Lichun Zhou
Micromachines 2025, 16(9), 1020; https://doi.org/10.3390/mi16091020 - 3 Sep 2025
Viewed by 2149
Abstract
Structured illumination microscopy (SIM) with π/2 phase-shift modulation traditionally relies on frequency-domain computation, which greatly limits processing efficiency. In addition, the illumination regime inherent in structured illumination techniques often results in poor visual quality of reconstructed images. To address these dual challenges, this [...] Read more.
Structured illumination microscopy (SIM) with π/2 phase-shift modulation traditionally relies on frequency-domain computation, which greatly limits processing efficiency. In addition, the illumination regime inherent in structured illumination techniques often results in poor visual quality of reconstructed images. To address these dual challenges, this study introduces DM-SIM-LLIE (Differential Low-Light Image Enhancement SIM), a novel framework that integrates two synergistic innovations. First, the study pioneers a spatial-domain computational paradigm for π/2 phase-shift SIM reconstruction. Through system differentiation, mathematical derivation, and algorithm simplification, an optimized spatial-domain model is established. Second, an adaptive local overexposure correction strategy is developed, combined with a zero-shot learning deep learning algorithm, RUAS, to enhance the image quality of structured light reconstructed images. Experimental validation using specimens such as fluorescent microspheres and bovine pulmonary artery endothelial cells demonstrates the advantages of this approach: compared with traditional frequency-domain methods, the reconstruction speed is accelerated by five times while maintaining equivalent lateral resolution and excellent axial resolution. The image quality of the low-light enhancement algorithm after local overexposure correction is superior to existing methods. These advances significantly increase the application potential of SIM technology in time-sensitive biomedical imaging scenarios that require high spatiotemporal resolution. Full article
(This article belongs to the Special Issue Advanced Biomaterials, Biodevices, and Their Application)
Show Figures

Figure 1

16 pages, 4291 KB  
Article
Nitride–Silver Hybrid PCF-SPR Biosensor: A High-Sensitivity Platform for Synchronous Monitoring of Low-Concentration Analytes and Temperature
by Chenyu Liang, Junzhu Wang, Jiaxuan Zhu, Jie Zhao and Kai Zhang
Sensors 2025, 25(17), 5292; https://doi.org/10.3390/s25175292 - 26 Aug 2025
Viewed by 1419
Abstract
This study proposes a dual-parameter photonic crystal fiber-based surface plasmon resonance (SPR) sensor for simultaneous refractive index and temperature detection. The sensor architecture incorporates an asymmetric air hole lattice, featuring elliptical inner holes (aspect ratio: 1.5) to enhance birefringence and axially aligned outer [...] Read more.
This study proposes a dual-parameter photonic crystal fiber-based surface plasmon resonance (SPR) sensor for simultaneous refractive index and temperature detection. The sensor architecture incorporates an asymmetric air hole lattice, featuring elliptical inner holes (aspect ratio: 1.5) to enhance birefringence and axially aligned outer circular holes to optimize surface plasmon coupling. Horizontally, symmetrically deposited silver films and silicon nitride layers constitute the RI-sensing channel, while a vertically machined PDMS-coated silver–nitride structure enables temperature responsivity. The temperature-sensing channel delivers a sensitivity of 20 nm/°C within 0–100 °C, while the RI channel achieves a peak sensitivity of 18,600 nm/RIU across na = 1.33–1.41 with a resolution of 5.38 × 10−6 RIU. Notably, cross-sensitivity between the two channels remains below 5%, underscoring the sensor’s capability for independent dual-parameter analysis. This low-interference, high-sensitivity platform holds significant promise for advanced biosensing applications requiring real-time multiparametric monitoring. Full article
Show Figures

Figure 1

19 pages, 1844 KB  
Article
Embedding 1D Euler Beam in 2D Classical Continua
by Armine Ulukhanyan, Luca Placidi, Anil Misra, Roberto Fedele, Raimondo Luciano and Francesco Fabbrocino
Fibers 2025, 13(7), 88; https://doi.org/10.3390/fib13070088 - 1 Jul 2025
Cited by 1 | Viewed by 746
Abstract
In this contribution, the classical Cauchy first-gradient elastic theory is used to solve the equilibrium problem of a bidimensional (2D) reinforced elastic structure under small displacements and strains. Such a 2D first-gradient continuum is embedded with a reinforcement, which is modeled as a [...] Read more.
In this contribution, the classical Cauchy first-gradient elastic theory is used to solve the equilibrium problem of a bidimensional (2D) reinforced elastic structure under small displacements and strains. Such a 2D first-gradient continuum is embedded with a reinforcement, which is modeled as a zero-thickness interface endowed with the elastic properties of an extensional Euler–Bernoulli 1D beam. Modeling the reinforcement as an interface eliminates the need for a full geometric representation of the reinforcing bar with finite thickness in the 2D model, and the associated mesh discretization for numerical analysis. Thus, the effects of the 1D beam-like reinforcements are described through proper and generalized boundary conditions prescribed to contiguous continuum regions, deduced from a standard variational approach. The novelty of this work lies in the formulation of an interface model coupling 1D and 2D continua, based on weak formulation and variational derivation, capable of accurately capturing stress distributions without requiring full geometric resolution of the reinforcement. The proposed framework is therefore illustrated by computing, with finite element simulations, the response of the reinforced structural element under uniform bending. Numerical results reveal the presence of jumps for some stress components in the vicinity of the reinforcement tips and demonstrate convergence under mesh refinement. Although the reinforcement beams possess only axial stiffness, they significantly influence the equilibrium configuration by causing a redistribution of stress and enhancing stress transfer throughout the structure. These findings offer a new perspective on the effective modeling of fiber-reinforced structures, which are of significant interest in engineering applications such as micropiles in foundations, fiber-reinforced concrete, and advanced composite materials. In these systems, stress localization and stability play a critical role. Full article
Show Figures

Figure 1

10 pages, 1891 KB  
Article
Alternative Methods to Enhance the Axial Resolution of Total Internal Reflection Fluorescence–Structured Illumination Microscopy
by Xiu Zheng, Xiaomian Cai, Wenjie Liu, Youhua Chen and Cuifang Kuang
Photonics 2025, 12(7), 652; https://doi.org/10.3390/photonics12070652 - 27 Jun 2025
Viewed by 1004
Abstract
Total internal reflection fluorescence–structured illumination microscopy (TIRF-SIM) can enhance the lateral resolution of fluorescence microscopy to twice the diffraction limit, enabling subtler observations of activity in subcellular life. However, the lack of an axial resolution makes it difficult to resolve three-dimensional (3D) subcellular [...] Read more.
Total internal reflection fluorescence–structured illumination microscopy (TIRF-SIM) can enhance the lateral resolution of fluorescence microscopy to twice the diffraction limit, enabling subtler observations of activity in subcellular life. However, the lack of an axial resolution makes it difficult to resolve three-dimensional (3D) subcellular structures. In this paper, we present an alternative TIRF-SIM axial resolution enhancement method by exploiting quantitative information regarding the distance between fluorophores and the surface within the evanescent field. Combining the lateral super-resolution information of TIRF-SIM with reconstructed axial information, a 3D super-resolution image with a 25 nm axial resolution is achieved without attaching special optical components or high-power lasers. The reconstruction results of cell samples demonstrate that the axial resolution enhancement method for TIRF-SIM can effectively resolve the axial depth of densely structured regions. Full article
(This article belongs to the Section Lasers, Light Sources and Sensors)
Show Figures

Figure 1

15 pages, 3832 KB  
Article
Research on Total Internal Reflection Detection Technology for Subsurface Defects of Optical Elements Based on Spectral Confocal Principles
by Rongcai Bao, Kaige Qu, Lu Wu, Shijian Zhang and Anyu Sun
Sensors 2025, 25(13), 3969; https://doi.org/10.3390/s25133969 - 26 Jun 2025
Viewed by 1643
Abstract
During the manufacturing of precision optical elements, subsurface defects seriously affect the performance of the elements, leading to the enhancement of light fields, an increase in laser absorption and an decrease in mechanical properties. It has become a key technology to realize the [...] Read more.
During the manufacturing of precision optical elements, subsurface defects seriously affect the performance of the elements, leading to the enhancement of light fields, an increase in laser absorption and an decrease in mechanical properties. It has become a key technology to realize the high-precision quantitative automatic detection of subsurface defects of optical elements. This paper presents a method of subsurface defect detection based on spectral confocal scattering measurement, the system adopts a dispersive lens group with the working band of 480–670 nm, and combines the spectral confocal technology and total internal reflection technology to effectively suppress the interference of scattered light on the surface, and can realize high-precision nondestructive detection without fluorescent substances. The axial resolution of this method is 0.8 μm and the measuring depth range is 0.94 mm. By building a measurement system and carrying out experimental verification, the results show that this method can accurately measure the depth and location of subsurface defects and confirm its feasibility and effectiveness. Full article
(This article belongs to the Section Optical Sensors)
Show Figures

Figure 1

22 pages, 5672 KB  
Article
A Comparative Study of RANS and PANS Turbulence Models for Flow Characterization Around the Joubert BB2 Submarine
by Changhun Lee, Hyeri Lee and Woochan Seok
J. Mar. Sci. Eng. 2025, 13(6), 1088; https://doi.org/10.3390/jmse13061088 - 29 May 2025
Cited by 2 | Viewed by 1535
Abstract
This study presents a comparative numerical investigation of Reynolds-averaged Navier–Stokes (RANS) and partially averaged Navier–Stokes (PANS) turbulence models applied to the Joubert BB2 submarine geometry under steady, calm-water conditions. To assess the influence of turbulence resolution and grid density on hydrodynamic performance prediction, [...] Read more.
This study presents a comparative numerical investigation of Reynolds-averaged Navier–Stokes (RANS) and partially averaged Navier–Stokes (PANS) turbulence models applied to the Joubert BB2 submarine geometry under steady, calm-water conditions. To assess the influence of turbulence resolution and grid density on hydrodynamic performance prediction, simulations were conducted using three mesh resolutions—coarse, medium, and fine—based on unstructured hexahedral grids. The results were validated against international benchmark data, with emphasis placed on total resistance, pressure and shear stress distributions, wake development, and vortex structure. The PANS model consistently outperformed RANS in accurately predicting total resistance and resolving wake asymmetry, especially at medium grid resolution, due to its ability to partially resolve turbulence without full reliance on eddy viscosity assumptions. It demonstrated superior capability in capturing coherent vortex structures and preserving axial momentum in the stern region, resulting in more realistic surface pressure recovery and delayed boundary layer separation. Cross-sectional and circumferential velocity distributions in the propeller plane further highlighted PANS’s enhanced turbulence fidelity, which is essential for downstream propeller performance evaluation. Overall, the findings support the suitability of the PANS model as a practical and computationally efficient alternative to RANS for high-fidelity submarine flow simulations, particularly in wake-sensitive applications where LES remains computationally prohibitive. Full article
(This article belongs to the Section Ocean Engineering)
Show Figures

Figure 1

20 pages, 4396 KB  
Article
Defect Detection in Wood Using Air-Coupled Ultrasonic Technique Based on Golay Code
by Jun Wang, Tianyou Xu and Hongyan Zou
Sensors 2025, 25(10), 3168; https://doi.org/10.3390/s25103168 - 17 May 2025
Viewed by 1794
Abstract
Air-coupled ultrasound overcomes the limitations of traditional contact-based ultrasonic methods that rely on liquid couplants. Still, it faces challenges due to the acoustic impedance mismatch between air and wood, causing significant signal scattering and attenuation. This results in weak transmission signals contaminated by [...] Read more.
Air-coupled ultrasound overcomes the limitations of traditional contact-based ultrasonic methods that rely on liquid couplants. Still, it faces challenges due to the acoustic impedance mismatch between air and wood, causing significant signal scattering and attenuation. This results in weak transmission signals contaminated by clutter and noise, compromising measurement accuracy. This study proposes a coded pulse air-coupled ultrasonic method for detecting defects in wood. The method utilizes Golay code complementary sequences (GCCSs) to generate excitation signals, with its feasibility validated through mathematical analysis and simulations. A-scan imaging was performed to analyze the differences in signal characteristics between defective and non-defective areas, while C-scan imaging facilitated a quantitative assessment of defects. Experimental results demonstrated that GCCS-enhanced signals improved the ultrasonic penetration and axial resolution compared to conventional multi-pulse excitation. The method effectively identified defects such as knots and pits, achieving a coincidence area of 85% and significantly enhancing the detection accuracy. Full article
(This article belongs to the Special Issue Novel Sensors for Structural Health Monitoring: 2nd Edition)
Show Figures

Figure 1

14 pages, 4842 KB  
Article
Direct Detection of Biosignature Gasses Using Corrosion-Resistant QIT-MS Sensor for Planetary Exploration
by Dragan Nikolić and Stojan M. Madzunkov
Biophysica 2025, 5(2), 17; https://doi.org/10.3390/biophysica5020017 - 3 May 2025
Cited by 1 | Viewed by 1403
Abstract
We present a corrosion-resistant quadrupole ion trap mass spectrometer (QIT-MS) for the direct detection of biosignature gasses in chemically reactive planetary atmospheres, such as Venusian clouds. The system employs a Paul trap with hyperbolic titanium alloy electrodes and alumina spacers for chemical durability [...] Read more.
We present a corrosion-resistant quadrupole ion trap mass spectrometer (QIT-MS) for the direct detection of biosignature gasses in chemically reactive planetary atmospheres, such as Venusian clouds. The system employs a Paul trap with hyperbolic titanium alloy electrodes and alumina spacers for chemical durability and precise ion confinement. An yttria-coated iridium filament serves as the thermionic emitter within a modular electron gun capable of axial and radial ionization. Analytes are introduced through fused silica capillaries and crescent inlets into a miniature pressure cell. The testbed integrates high-voltage RF electronics, pressure-regulated sample delivery, and FPGA-based control for real-time tuning. Continuous operation in 98% sulfuric acid vapor for over three months demonstrated no degradation in emitter or sensor performance. Mass spectra revealed H2SO4 fragmentation and thermally induced decomposition up to 425 K. Spectral variations with filament current and electron energy highlight thermal and electron-induced dissociation dynamics. Operational modes include high-resolution scans and selective ion ejection (e.g., CO2+, N2+) to enhance the detection of PH3+, H2S+, and daughter ions. The compact QIT-MS platform is validated for future missions targeting corrosive atmospheres, enabling in situ astrobiological investigations through the detection of biosignature gasses such as phosphine and hydrogen sulfide. Full article
Show Figures

Figure 1

21 pages, 16026 KB  
Review
Recent Advances in Catalytic Atroposelective Synthesis of Axially Chiral Quinazolinones
by Yilin Liu, Jiaoxue Wang, Yanli Yin and Zhiyong Jiang
Catalysts 2025, 15(5), 426; https://doi.org/10.3390/catal15050426 - 27 Apr 2025
Cited by 1 | Viewed by 2306
Abstract
Quinazolinones, a class of nitrogen-containing heterocyclic compounds, occupy a crucial position in medicinal chemistry and materials science due to their significant application potential. In recent years, the catalytic asymmetric synthesis of axially chiral quinazolinones has emerged as a prominent research area, driven by [...] Read more.
Quinazolinones, a class of nitrogen-containing heterocyclic compounds, occupy a crucial position in medicinal chemistry and materials science due to their significant application potential. In recent years, the catalytic asymmetric synthesis of axially chiral quinazolinones has emerged as a prominent research area, driven by their prospective applications in the development of bioactive molecules, design of chiral ligands, and fabrication of functional materials. This review comprehensively summarizes recent advancements in the catalytic asymmetric synthesis of axially chiral quinazolinones, with a particular focus on the construction strategies for the three major structural types: the C–N axis, N–N axis, and C–C axis. Key synthetic methodologies, including atroposelective halogenation, kinetic resolution, condensation–oxidation, and photoredox deracemization, are discussed in detail. In addition, the review provides an in-depth analysis of the applications of various catalytic systems, such as peptide catalysis, enzymatic catalysis, metal catalysis, chiral phosphoric acid catalysis, and others. Despite the substantial progress made thus far, several challenges remain, including the expansion of the substrate scope, enhanced control over stereoselectivity, and further exploration of practical applications, such as drug discovery and asymmetric catalysis. These insights are expected to guide future research towards the development of novel synthetic strategies, the diversification of structural variants, and a comprehensive understanding of their biological activities and catalytic functions. Ultimately, this will foster the continued growth and evolution of this rapidly advancing field. Full article
(This article belongs to the Special Issue Recent Catalysts for Organic Synthesis)
Show Figures

Figure 1

Back to TopTop