Next Article in Journal
Maximum Principles for Fractional Diffusion Problems
Next Article in Special Issue
Online SF6 Gas Monitoring Sensing System Based on Lithium Niobate Tuning Fork in Impedance Mode
Previous Article in Journal
Periodic Event-Triggered Consensus Relying on Previous Information in Leader-Following Multi-Agent Systems
 
 
Font Type:
Arial Georgia Verdana
Font Size:
Aa Aa Aa
Line Spacing:
Column Width:
Background:
Article

Research on the Frequency Modulation Micro-Electro-Mechanical System Electric Field Sensor

by
Ying Zhang
1,
Shourong Nie
1,
Huixian Li
1,
Boyixiao Pang
1,
Weiyang Li
1,
Xun Sun
2 and
Xiaolong Wen
1,*
1
School of Mathematics and Physics, Beijing Weak Magnetic Testing and Applied Engineering Technology Research Center, University of Science and Technology Beijing, Beijing 100083, China
2
Guizhou Key Laboratory for Basic Components and Equipment Quality Inspection and Evaluation, Institute of Guizhou Aerospace Measuring and Testing Technology, Guiyang 550009, China
*
Author to whom correspondence should be addressed.
Symmetry 2026, 18(2), 270; https://doi.org/10.3390/sym18020270
Submission received: 25 December 2025 / Revised: 27 January 2026 / Accepted: 29 January 2026 / Published: 31 January 2026

Abstract

High-sensitivity, high-resolution electric field sensors (EFS) find extensive applications across multiple domains, including atmospheric monitoring, aerospace, power grid management, and industrial automation. While conventional electric field measurement techniques suffer from integration challenges and high-power consumption, micro-electromechanical systems (MEMS)-based EFS offer distinct advantages through miniaturization, integration capability, and functional intelligence. This research incorporates frequency modulation technology into MEMS EFS, leveraging its inherent noise immunity, long-range transmission capacity, and compatibility with digital systems to enhance measurement precision. The sensor’s lateral and axial symmetry configurations are systematically investigated to reveal how asymmetric stiffness perturbations (negatives vs. positives) optimize performance, aligning with symmetry principles in MEMS design. Experimental results demonstrate that the lateral configuration achieves optimal performance with a sensitivity of 0.091√Hz/(kV/m) and a resolution of 1.01 kV/m, whereas the axial configuration yields an average sensitivity of 0.038 √Hz/(kV/m) with a corresponding resolution of 2.37 kV/m. The measurement range of the sensor is from −193.4 kV/m to 193.4 kV/m.

1. Introduction

The detection of electric fields is of pivotal importance across diverse fields, including atmospheric electrical studies for analyzing lightning formation [1,2], real-time surveillance of high-voltage power grids to prevent equipment failure [3,4], forecasting weather by measuring the atmospheric electric field [5], and biomedical engineering for monitoring faint cardiac and neural electric signals [6]. The development of the field of biochemistry analysis is driven by integrated circuit materials and micro-electromechanical systems [7]. Micro-electromechanical systems (MEMS) electric field sensors have become a research hotspot due to their miniaturized size (typically millimeter-scale), low power consumption (micro-watt level), and seamless compatibility with integrated circuits—distinct advantages over traditional devices such as electric field mills (bulky and high-power) and electro-optical sensors (expensive and complex) [8,9].
Among various transduction mechanisms, frequency modulation (FM) stands out due to its high resolution and semi-digital output, and the structure based on electrostatic coupling has been proven feasible [10], which inherently mitigates electrical drift and noise interference—issues that are particularly prominent in amplitude modulation (AM) sensors. Specifically, AM sensors’ performance is highly reliant on the precise matching of driving and resonant frequencies, as frequency drift-induced mismatch can cause significant gain attenuation (e.g., a 67 dB reduction under 5% frequency error) and increased nonlinearity, while intricate optimization of excitation frequency parameters (e.g., blue-sideband excitation frequency) is often required to compensate for such deviations, indirectly reflecting the vulnerability of AM-based sensing schemes to frequency drift [11,12]. In addition, emerging sensing mechanisms based on the mode localization of weakly coupled resonators, by reading the changes in the amplitude ratio, have been proven to achieve a sensitivity improvement of several orders of magnitude over traditional sensors, which provides new design ideas for the development of high-performance FM sensors [13]. However, existing FM-MEMS electric field sensors still suffer from critical limitations: narrow measurement ranges (mostly <100 kV/m), degraded sensitivity under environmental fluctuations (e.g., temperature variations), and inadequate exploration of key factors regulating resonant characteristics—especially the impact of perturbation voltage application strategies on resonant beam stiffness [1]. Symmetry considerations are central to this study, especially in the design of the perturbation model: the lateral configuration unidirectionally breaks symmetry to enhance sensitivity, while the axial design maintains geometric symmetry to avoid local electric field concentration, and this symmetry mitigates nonlinear capacitance variations induced by displacement.
Recent efforts have focused on optimizing sensor structures like double-ended tuning forks (DETF) and Euler beams to boost performance [14,15]. For instance, Wang et al. [2] developed a mode-localized DETF sensor with a resolution of 21.3 V/m, but it failed to systematically investigate how perturbation voltage application positions affect resonant beam stiffness, leading to suboptimal sensitivity tuning. Similarly, Zhang et al. [3] reported an electrostatic induction-based sensor that exhibits limited dynamic ranges, restricting their use in scenarios requiring wide-field detection (e.g., high-voltage power grids). Moreover, most studies simplify perturbation voltage effects as a uniform stiffness change, overlooking the distinct influences of lateral versus axial application—this oversight results in sensor designs that cannot balance high sensitivity and wide measurement range, leaving a critical performance gap in precision engineering applications. This challenge is particularly pronounced in the context of measuring hybrid AC/DC electric fields near modern power transmission lines, where space charge interference and the lack of compact, integrated solutions are well-recognized issues [16].
To address these drawbacks, this study develops a frequency-modulated MEMS electric field sensor, aiming to enhance measurement precision, expand measurement range, and reduce power consumption through integrated theoretical analysis, COMSOL simulation, and experimental validation. The core novelty of this work lies in the following aspect: it systematically explores the influence of perturbation voltage application positions (lateral and axial) on resonant beam stiffness—theoretical derivation reveals that lateral application induces negative stiffness perturbation (enhancing sensitivity for low electric fields) while axial application generates positive stiffness perturbation (extending measurement range for high fields).
The research adopts a comprehensive approach: theoretical derivation of electrostatic force models (incorporating parallel-plate capacitor principles to calculate field-induced forces), COMSOL simulation to optimize structural parameters and predict resonant frequency responses, lock-in amplifiers (for signal demodulation), and precision power supplies (for voltage regulation). Key performance metrics, including sensitivity, measurement range, and quality factor, are characterized to validate the design. This study is expected to provide a theoretical and experimental basis for high-performance FM-MEMS electric field sensors, promoting their application in precision monitoring across multiple fields.

2. Theory and Structural Design

The sensitive structure of the sensor in this study is shown in Figure 1, mainly consisting of driving electrodes, sensing electrodes, a resonant beam, fixed anchors, and other components. And the structural parameters are shown in Table 1. The sensing electrodes and lateral driving electrodes adopt parallel-plate capacitors; to increase the effective capacitance area between electrode plates, the axial driving electrodes are designed in a comb-shaped structure. This design concept utilizes the fact that the sensitivity of sensors can be enhanced by the coming capacitor structure [17].
For resonant motion, a flexural mechanical beam can be described as a mass-spring-damper vibration system, as shown in Figure 2, where F i n is the input force, M e f f , ζ e f f and K e f f represent the effective mass, the effective total losses in the system, and the stiffness of the resonator, respectively. Using Newton’s second law of motion, the dynamic response of a single-degree-of-freedom mechanical resonator can be expressed as
M e f f x ¨ t + ζ e f f x ˙ t + K e f f x t = F t
Assuming the driving force F(t) balances the system damping to maintain resonance, the natural frequency derived from solving the equation is
ω 0 = K e f f M e f f
In frequency-modulated electric field sensors, when the sensor is exposed to the electric field to be measured, charges are induced on its sensing electrodes, which in turn generate an electrostatic attractive or repulsive force between the resonator and the electrodes. The variation in this electrostatic force leads to a change in the effective stiffness of the resonator, thereby causing a shift in its resonant frequency. The following sections will further elaborate that an axially applied electrostatic force introduces a positive stiffness perturbation, whereas a laterally applied electrostatic force introduces a negative stiffness perturbation [18].
Considering the stiffness perturbation k , Equation (1) becomes
M e f f x ¨ t + ζ e f f x ˙ t + ( K e f f + k ) x t = F t
In a high vacuum environment, if the influence of damping is ignored, the resonant frequency derived from solving the equation becomes
ω = K e f f + k M e f f
Since the stiffness perturbation k   K e f f , it can be deduced that
f = 1 2 π   ω ω 0 = 1 2 π K e f f + k M e f f K e f f M e f f 1 2 π ω 0 2 k K e f f
Thus, the relationship f     k holds.
The following section calculates k . The stiffness perturbation of the resonant beam in the lateral and axial directions originates from the electrostatic force of the lateral parallel-plate capacitor and the electrostatic force of the axial comb-shaped capacitor, respectively.
For a capacitor, the total electrostatic field energy can be expressed as
W e = 1 2   C   V P V b i a s 2
Let x be the displacement and f e be the electrostatic force, then
f e = W e x = 1 2 C x   V P V b i a s 2
As shown in Figure 3a,b, in the axial force model, the approximate total capacitance of each pair of finger electrodes (excluding fringe field effects) is considered to be composed of four different types of parallel-plate capacitors connected in parallel [19]. The expression for each capacitor is as follows:
C 1 =   ε 0 ε l 1 l 2 d 1
C 3 = ε 0 ε l 1 l 2 d 3
C 2 = ε 0 ε t f l 1 d 2
C 4 = ε 0 ε t f l 1 d 4
Let d 1 = d 3 =   d 0 , d 2 = d 4 = d ;
Considering a small displacement y of the structure in the y-direction (where y is much smaller than the spacing of the comb-shaped electrodes), the total capacitance becomes
C a = n C 1 + C 2 + C 3 + C 4 = n ε 0 ε l 1 l 2 d 1 + ε 0 ε l 1 l 2 d 3 + ε 0 ε t f l 1 d 2 + ε 0 ε t f l 1 d 4 = 2 n ε 0 ε l 1 l 2 d 0 + t f l 1 d  
  C a = 2 n ε 0 ε l 1 ( l 2 + y ) d 0 + t f l 1 d y  
The partial derivative of C a with respect to y is
C a y = 2 n ε 0 ε l 1 d 0 + t f l 1 d y 2   = 2 n ε 0 ε l 1 d 0 + t f l 1 d 2 × 1 y d 2  
Since x   d , the term is expanded to the first-order infinitesimal via Taylor expansion
C a y = 2 n ε 0 ε l 1 d 0 + t f l 1 d 2 × 1 y d 2     2 n ε 0 ε l 1 d 0 + t f l 1 d 2 × 1 + 2 y d = 2 n ε 0 ε l 1 d 0 + t f l 1 d 2 + 2 t f l 1 d 3   y
Thus, the magnitude of the electrostatic force is
f e = n ε 0 ε l 1 d 0 + t f l 1 d 2 V P V b i a s 2 + n ε 0 ε   2 t f l 1 d 3 V P V b i a s 2   y
According to Hooke’s law, the stiffness perturbation of the resonator caused by stress changes induced by axial force input can be expressed as
k a x i a l = f e y = n ε 0 ε   2 t f l 1 d 3 V P V b i a s 2
As shown in Figure 3c, for the parallel-plate capacitor in the lateral force analysis when a small displacement x occurs in the x-direction:
C l =   ε 0 ε A d x
C l x = ε 0 ε A d x 2 = ε 0 ε A d 2   1 x d 2
Since x   d , the term is expanded to the first-order infinitesimal via Taylor expansion:
C l x = ε 0 ε A d 2   1 x d 2 ε 0 ε A d 2 1 + 2 x d
Thus, the electrostatic force is
f e = ε 0 ε A 2 d 2 V P V b i a s 2 + ε 0 ε A d 3 V P V b i a s 2 x
The lateral force contributes to the “restoring stiffness” of the vibration, so the stiffness perturbation caused by the lateral force is
k l a t e r a l = f e x = ε 0 ε A d 3 V P V b i a s 2
Considering axial and lateral perturbations separately, the relationship k   ±   V P   V b i a s 2 holds, leading to f     ± V P   V b i a s .
The frequency-electric field relationship was also demonstrated in Reference [20].
Assuming V b i a s = 10   V and V P ranges from −20 V to 20 V, the maximum of V P V b i a s 2 is 900   V 2 . So the axial and lateral perturbations calculated based on structural parameters in Table 1 are
k a x i a l 3.737 × 10 5 N m
k l a t e r a l 1.379 × 10 4 N m
Obviously, the k l a t e r a l is 3.69 times as large as k a x i a l , which is consistent with the simulation and experimental results.
To obtain clearer and more intuitive modal shape diagrams, a 2D model was established using KLayout, and a 3D structure was constructed and simulated using COMSOL Multiphysics 6.3. The material of the structure was set to silicon. Figure 4 presents the finite element simulation model and mode shapes of the resonator and the specific structure of the comb fingers, with the detailed parameters of the comb fingers provided in Table 1. The anchor blocks at the top are fixed, while the mass blocks below the resonant beam are allowed to vibrate freely. The Solid Mechanics module was applied for eigenfrequency analysis, and a refined mesh was selected.
Boundary loads were used to simulate the electrostatic force of the capacitor, whose magnitude was determined based on the theoretical derivation above and the parameters in Table 1. For simulating the axial force, the force was applied to the comb-shaped mass blocks at the bottom of the resonator; for the lateral force, the force was applied to partial areas on the side of the resonant beam.
As shown in Figure 4, the simulation results are presented: the modal shapes of the first-order, second-order, and third-order modes, where the colors represent the displacement magnitude relative to the equilibrium position.
The final simulation results show that the first-order resonant frequency is approximately 175,396 Hz, the second-order is approximately 428,460 Hz, and the third-order is approximately 903,625 Hz. In actual experiments, the measured resonant frequency of the first-order mode is about 172,016 Hz. The experimental results are in good agreement with the simulation results, with a relative error of approximately 1.93%, which fully proves the reliability of the simulation.

3. Experimental Setup

The resonant frequency and modal characteristics of frequency-modulated MEMS devices were obtained through simulation experiments. To measure the practical performance of the sensor, including its sensitivity, frequency response, and resolution, a test system was established as Figure 5. This system consists of a vacuum pump for providing a vacuum experimental environment, a DC power supply, a lock-in amplifier from Zurich Instruments, a data acquisition and display computer, a sensor chip, and several connecting wires. The manufacturing of sensor chips is similar to the reported research [15].
The sensor chip is placed inside the vacuum chamber connected to the vacuum pump, ensuring the experiment is conducted within a pressure range of 0.1 Pa to 0.01 Pa. The DC power supply is used to provide a DC bias voltage ( V b i a s or V d c ), which is applied to the DC bias electrode of the sensor chip. The potential difference between the DC bias voltage and the perturbation voltage ( V p ) induces an electrostatic force, leading to the static displacement of the sensor.
The lock-in amplifier can generate an AC perturbation voltage that is applied to the driving electrode to drive the sensor operation. Moreover, adjusting the magnitude of the AC voltage ( V a c ) allows controlling the amplitude of the sensor’s resonant beam, enabling the measurement of different vibration modes. In addition, the lock-in amplifier is used for signal processing: the output signal of the sensor is connected to the input terminal of the lock-in amplifier, which performs internal demodulation, and frequency-amplitude spectra are obtained via the LabONE Q 1.0.2 software installed on the externally connected computer. The experiment mainly adopts the principle of single-variable control. The characteristic frequency values under different DC bias voltages and AC driving voltages within the same vibration mode were measured separately, and the corresponding sensitivity and resolution were calculated. The specific procedures are as follows:
Firstly, the relationship between the electric field and the applied voltage was calibrated. In this experiment, to ensure the device operates in the linear region, three sets of DC bias voltage values were set: 10 V, 15 V, and 20 V. For each set, three AC voltage magnitudes were configured: 1 mV, 1.5 mV, and 2 mV. Additionally, the DC perturbation voltage for each group was adjusted within the range of −20 V to 20 V, corresponding to an electric field intensity range of −193.4 kV/m to 193.4 kV/m. This is the measurement range of the sensor.
The electrostatic force was applied to the lateral and bottom surfaces of the sensor to perform lateral and axial measurements, respectively. After determining the variables, frequency sweeping was carried out around the characteristic frequency obtained from the simulation to acquire frequency-response curves. Based on these curves, the sensitivity and resolution under different experimental conditions were calculated accordingly.

4. Results

4.1. Frequency Response and Sensitivity Analysis

Frequency response is a fundamental characteristic of MEMS sensors, describing the relationship between the resonant frequency, vibration amplitude, and the applied perturbation voltage (corresponding to the actual electric field strength). This section focuses on the frequency response characteristics of the sensor under different perturbation directions (lateral, axial) and voltage combinations, providing raw data support for subsequent sensitivity analysis. All tests were conducted in a stable low-vacuum environment of 1 Pa, consistent with the experimental conditions for subsequent performance characterization.
The frequency response tests covered three DC bias voltages V d c and three AC drive voltages V a c . The reference state corresponded to the condition V p = V d c . Under this state, the amplitude-frequency curve for lateral perturbation is positioned furthest to the right, indicating the maximum resonant frequency, while for axial perturbation, it is positioned furthest to the left, indicating the minimum resonant frequency. The corresponding perturbation voltage is defined as the reference voltage, and its frequency as the reference frequency ( f 0 ). The absolute difference between the resonant frequency at a given V p and f 0 is denoted as f . This aligns with the theoretically derived sensitivity formula, where the applied voltage induces a negative stiffness perturbation in the lateral direction and a positive stiffness perturbation in the axial direction.
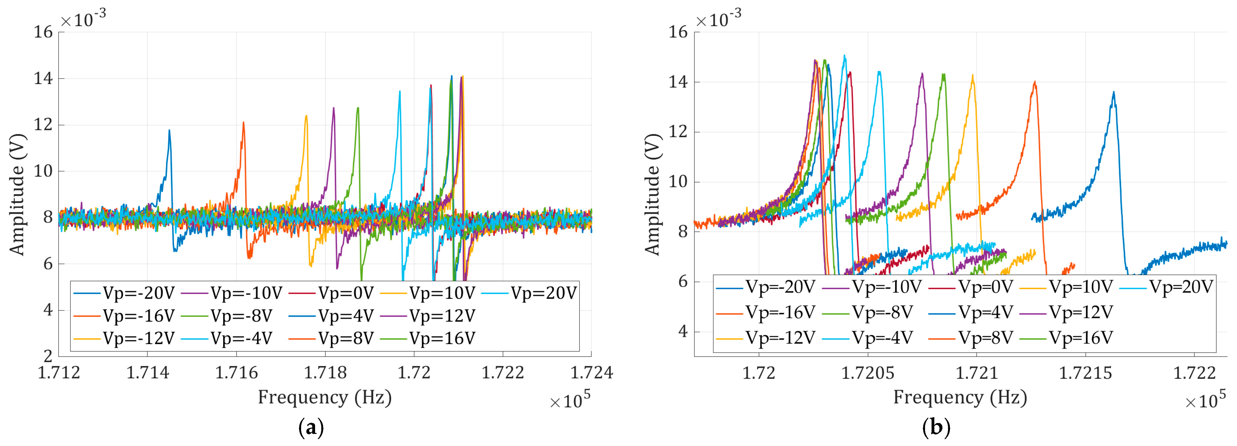
During testing, V p was adjusted from −20 V to +20 V. The amplitude-frequency curves at different V p values were acquired using a lock-in amplifier and LabONE software, with a focus on analyzing the direction and magnitude of the resonance peak shift relative to the reference position. Taking the combination V d c = 10   V , V a c = 1.5   m V as an example, as V p deviates from V d c and V p V d c increases, f increases. However, the amplitude-frequency curve for the lateral direction shifts towards lower frequencies, while the curve for the axial direction shifts towards higher frequencies, as shown in Figure 6. The figure also shows that f increases nonlinearly with the difference in electric field strength from the reference point, which will be further analyzed in the sensitivity section.
Furthermore, the quality factor under axial perturbation is generally higher (15,640.1 at the reference position), and the peak shift magnitude is less sensitive to changes in V a c (variation less than 10% when V a c increases from 1 mV to 2.5 mV), indicating superior stability of the resonant system. The comparison of frequency responses for the two perturbation directions shows that the lateral direction exhibits a more significant leftward shift in the resonance peak when V p deviates from V d c , laying the foundation for achieving higher sensitivity. In contrast, the axial direction shows a smaller rightward peak shift but a higher quality factor, reflecting better frequency selectivity. These differences are directly related to the stiffness perturbation effects induced by the different perturbation directions.
To investigate the influence of DC bias voltage and AC voltage on sensitivity, a voltage ranging from −20 V to +20 V (corresponding to an electric field strength from −193.4 kV/m to +193.4 kV/m following the same electric field generation plate as reference [15]) was applied to the metal cover plate, with a step size of 4 V. For each value of V d c , in addition to the perturbation voltage V p determined by the 4 V step, an additional perturbation at V d c = V p was applied. This aligns with the sensitivity expression derived earlier, where such a perturbation results in the maximum resonant frequency shift for the lateral direction and the minimum for the axial direction. Three different DC bias voltages V d c and three AC driving voltages V a c were selected. Nine sets of measurements were taken for each direction, and the sensitivity for each set was calculated, defined as the change in the square root of frequency per unit change in electric field strength. Using the calibrated voltage-to-electric field conversion factor, the electric field strength corresponding to each perturbation voltage was determined. The sensitivity curve for V d c = 10 V and V a c = 1 m V is shown in Figure 7, with electric field strength on the horizontal axis and f on the vertical axis. To visually distinguish the stiffness perturbations in different directions, the values for the lateral direction are plotted as f , placing its curve below the horizontal axis, while the axial direction (positive stiffness perturbation) is plotted as f , placing its curve above the axis. The figure clearly shows that f is a linear function of E, indicating that the frequency shift f has a quadratic relationship with the electric field strength E.
Heat maps Figure 8 were then plotted with DC bias voltage and AC driving voltage as independent variables and sensitivity as the dependent variable. The results indicate that the lateral sensitivity reaches its maximum, while the axial sensitivity reaches its minimum, when V a c = 2 mV and V d c = 15 V.
In summary, the lateral sensitivity is distributed around 0.088 H z / ( k V / m ) , and the axial sensitivity around 0.038 H z / ( k V / m ) , confirming that the lateral configuration yields superior sensitivity. Overall, the optimal sensitivity for the lateral direction is achieved at   V a c =   2 mV and V d c =   15 V. The difference in sensitivity between the two directions is associated with the symmetry in the perturbation modes, which indicates that an appropriate asymmetric design can enhance the sensor’s performance to a certain extent, while a symmetric design can ensure the structural stability.

4.2. Resolution Analysis

To investigate the resolution of the sensor, open-loop time-domain data was collected for 5 min using a lock-in amplifier under a zero external electric field. The noise power spectral density (NPSD) was then calculated via fast Fourier transform (FFT) in MATLAB. During the test, the AC bias voltage was set to V a c = 30   m V , and the average frequency noise was computed as F = 0.090   H z / H z as shown in Figure 9. Given the nonlinear response between frequency offset and electric field intensity in this study, the resolution (R) can be calculated using the average frequency noise amplitude ratio sensitivity [21]:
R = F S
For lateral perturbation (DC perturbation voltage applied to the side of the resonant beam), the resolution is:
R l = F S l = 0.090   H z / H z 0.089   H z / ( k V / m ) = 1.01   k V / m
where S l is the sensitivity for lateral perturbation. Similarly, the axial resolution can be calculated as 2.37 kV/m.
A comparison of the noise analysis results for the two perturbation directions in the first-order linear region of the sensor reveals that the lateral perturbation achieves a smaller resolution, enabling the detection of weaker electric fields. The sensor operates in a well-developed electrostatic protection zone, and the laboratory temperature is constant, so the environmental noise sources can be ignored. Therefore, it is considered that the resolution in the report is the inherent performance of the sensor rather than the limitation of the measurement system.
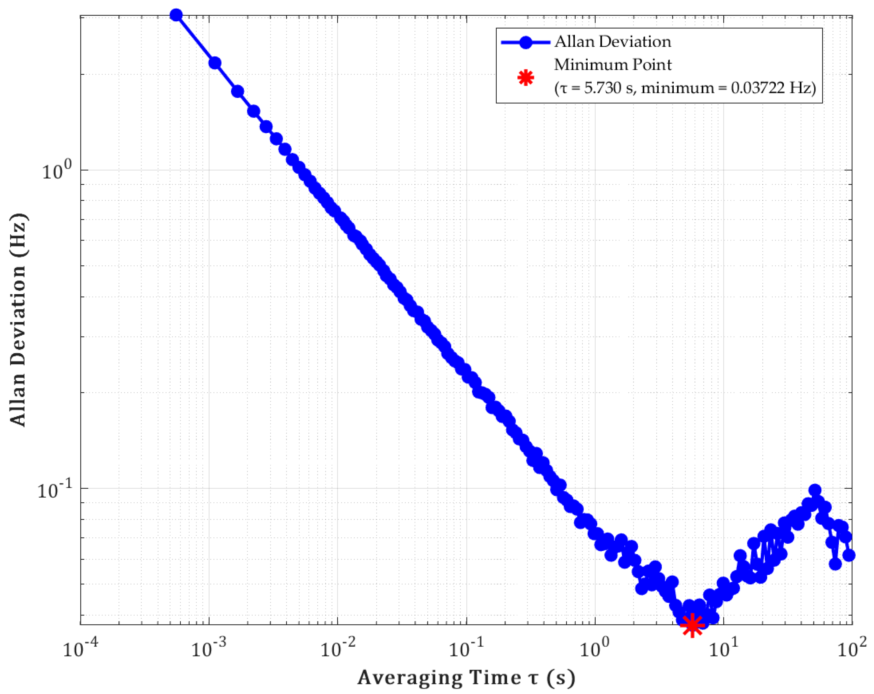
As shown in Figure 10, it is an Allan variance graph of the sensor during an open-loop test with V a c = 30 mV and V d c = 7 V. The figure shows that the sensor in this study exhibits excellent short-term stability in the time stability test, with the Allan variance reaching a minimum of 0.03722 Hz at τ = 5.730 s. This indicates that the sensor has superior frequency stability and internal noise at this time scale, making it suitable for medium and short-term high-precision electric field measurements on the order of seconds. However, the long-term stability needs to be improved. This can be addressed in future research by optimizing the signal conditioning circuit [22].

5. Discussion

This study compared the sensitivity and resolution of the resonator by applying disturbances along the lateral and axial directions, respectively. When the disturbance was applied laterally, the sensitivity reached a value of 0.088 H z / ( k V / m ) , with a resolution of 1.01 kV/m. In contrast, when the disturbance was applied axially, the sensitivity reached a value of 0.038 H z / ( k V / m ) , with a resolution of 2.37 kV/m. Overall, the lateral configuration outperformed the axial one in terms of both sensitivity and resolution, with the optimal sensitivity achieved at V a c = 2 mV and V d c = 15 V. Future research may explore the performance of the sensor in higher-order symmetric modes and nonlinear regimes. Moreover, the axial sensitivity and resolution differ from the corresponding lateral performance by only 2 to 3 times, which indicates that the axial comb-like structure exhibits excellent characteristics in enhancing the sensitivity and resolution of the sensor.

6. Conclusions

This study investigated the vibration characteristics of a MEMS sensor in the first-order linear region by applying disturbances along the lateral and axial directions, respectively. Comparison reveals that the optimal sensitivity is achieved when the disturbance is applied laterally under specific DC bias and AC driving conditions. Firstly, a structural model of the resonator operation was established, and the range of electric field force as well as the sensitivity expression were derived. Subsequently, a three-dimensional model was constructed, and the first-order linear resonant frequency was obtained through finite element simulation. Based on the simulation results, a complete test system was designed and set up. Disturbances were applied along the lateral and axial directions to obtain the frequency response under different DC bias voltages and AC driving conditions, and time-domain data under zero disturbance were collected. Following this, the frequency response and noise were analyzed to determine the sensitivity and noise level, and the influence of DC bias and AC drive on these parameters was examined, with the results presented in heat maps. The lateral sensitivity was 0.088 H z / ( k V / m ) , with a resolution of 1.01 kV/m. For the axial direction, the sensitivity was 0.038 H z / ( k V / m ) , with a resolution of 2.37 kV/m. The improvement of axial performance indicates that the comb-like structure is conducive to enhancing the sensitivity and resolution of the sensor. This research focuses on the characteristics in the first-order linear region. In comparison with other studies, MEMS structures operating in nonlinear regions and higher-order modes exhibit superior performance [21], indicating the significant potential of MEMS sensors in electric field measurement.

Author Contributions

Conceptualization, Y.Z.; Methodology, Y.Z., S.N. and W.L.; Software, Y.Z. and S.N.; Validation, Y.Z. and S.N.; Formal analysis, H.L. and B.P.; Investigation, Y.Z., S.N., H.L., B.P. and W.L.; Resources, X.S. and X.W.; Data curation, Y.Z., H.L., B.P. and W.L.; Writing—original draft, Y.Z., S.N., H.L. and B.P.; Writing—review and editing, Y.Z., S.N., H.L. and B.P.; Visualization, H.L. and B.P.; Supervision, Y.Z. and X.W.; Project administration, Y.Z. and X.W.; Funding acquisition, X.W. All authors have read and agreed to the published version of the manuscript.

Funding

This work was supported in part by the National Natural Science Foundation of China under Grant 62031025; in part by the Defense Industrial Technology Development Program of China under Grant JCKY2022110C013; and in part by the Fundamental Research Funds for the Central Universities under Grant FRF-BD-25-033.

Data Availability Statement

The raw data supporting the conclusions of this article will be made available by the authors on request.

Conflicts of Interest

The authors declare no conflicts of interest.

References

  1. Yang, P.; Chen, B.; Wen, X.; Peng, C.; Xia, S.; Hao, Y. A novel MEMS chip-based atmospheric electric field sensor for lightning hazard warning applications. In Proceedings of the 2015 IEEE Sensors, Busan, Republic of Korea, 1–4 November 2015; IEEE: Piscataway, NJ, USA; pp. 1–4.
  2. Yu, H.; Chen, Y.; Zhang, T.; Gao, Y.; Zhao, X.; Zhou, F. A Electrical Field with Multi- Parameters Sounding System for Observations through Thunderstorms. In Proceedings of the 2019 6th International Conference on Systems and Informatics (ICSAI), Shanghai, China, 2–4 November 2019; IEEE: Piscataway, NJ, USA; pp. 1362–1368.
  3. Ma, Q.; Huang, K.; Yu, Z.; Wang, Z. A MEMS-Based Electric Field Sensor for Measurement of High-Voltage DC Synthetic Fields in Air. IEEE Sens. J. 2017, 17, 7866–7876. [Google Scholar] [CrossRef]
  4. He, S.; Zhang, B.; Ni, X.; Qiu, P.; Song, Y.; Song, L. Design of Nanosecond-Level Transient Electric Field Sensor and Its Application in HVDC Converter Station. IEEE Lett. Electromagn. Compat. Pract. Appl. 2023, 5, 57–61. [Google Scholar] [CrossRef]
  5. Yair, Y.; Reuveni, Y.; Katz, S.; Price, C.; Yaniv, R. Strong electric fields observed during snow storms on Mt. Hermon, Israel. Atmos. Res. 2019, 215, 208–213. [Google Scholar] [CrossRef]
  6. Han, Z.; Xue, F.; Yang, G.; Yu, Z.; Hu, J.; He, J. Micro-Cantilever Capacitive Sensor for High-Resolution Measurement of Electric Fields. IEEE Sens. J. 2021, 21, 4317–4324. [Google Scholar] [CrossRef]
  7. Petersen, K. Biomedical applications of MEMS. In International Electron Devices Meeting; Technical Digest: San Francisco, CA, USA, 1996; pp. 239–242. [Google Scholar]
  8. Liu, X.; Wang, Z.; Wu, Z.; Gao, Y.; Peng, S.; Ren, R.; Zheng, F.; Lv, Y.; Yang, P.; Wen, X.; et al. Enhanced Sensitivity and Stability of a Novel Resonant MEMS Electric Field Sensor Based on Closed-Loop Feedback. IEEE Sens. J. 2021, 21, 22536–22543. [Google Scholar] [CrossRef]
  9. Xia, S.; Lei, H.; Liu, J.; Peng, S.; Peng, C.; Yang, P.; Wen, X.; Chu, Z. Research And Development on MEMS Based Electric Field Sensor. In Proceedings of the 2021 21st International Conference on Solid-State Sensors, Actuators and Microsystems (Transducers), Orlando, FL, USA, 20–24 June 2021; IEEE: Piscataway, NJ, USA; pp. 505–508.
  10. Ramezany, A.; Qaradaghi, V.; Kumar, V.; Pourkamali, S. Frequency modulated electrostatically coupled resonators for sensing applications. In Proceedings of the 2016 IEEE Sensors, Orlando, FL, USA, 30 October–2 November 2016; IEEE: Piscataway, NJ, USA; pp. 1–3.
  11. Hao, Y.; Liu, B.; Yu, C.; Zhou, G. Micromachined angular rate sensor allowing interchangeable operation in both amplitude modulation and frequency modulation. In Proceedings of the 2014 IEEE/ION Position, Location and Navigation Symposium—PLANS 2014, Monterey, CA, USA, 5–8 May 2014; IEEE: Piscataway, NJ, USA; pp. 147–151.
  12. Xi, J.; Xu, L.; Xiong, X.; Zou, X.; Li, C.; Hu, F.; Wang, Y.; Liu, H.; Zhao, C. Parameter Optimization for Amplitude-Modulated Resonant Mems Sensors Featuring Blue Sideband Excitation. In Proceedings of the 2023 22nd International Conference on Solid-State Sensors, Actuators and Microsystems (Transducers), Kyoto, Japan, 25–29 June 2023; IEEE: Piscataway, NJ, USA; pp. 1597–1600.
  13. Hao, Y.; Liang, J.; Kang, H.; Yuan, W.; Chang, H. A Micromechanical Mode-Localized Voltmeter. IEEE Sens. J. 2021, 21, 4325–4332. [Google Scholar] [CrossRef]
  14. Zhang, Z.; Zhang, H.; Hao, Y.; Chang, H. A Review on MEMS Silicon Resonant Accelerometers. J. Microelectromech. Syst. 2024, 33, 174–208. [Google Scholar] [CrossRef]
  15. Wang, G.; Hou, S.; Ran, L.; Li, J.; Zhang, B.; Wen, X.; Kacem, N.; Seshia, A.A. A Weakly Coupled Tuning Fork MEMS Electric Field Sensor With High Resolution and Wide Measurement Range. J. Microelectromech. Syst. 2025, 34, 82–91. [Google Scholar] [CrossRef]
  16. Hortschitz, W.; Kainz, A.; Beigelbeck, R.; Schmid, G.; Keplinger, F. Review on sensors for electric fields near power transmission systems. Meas. Sci. Technol. 2024, 35, 052001. [Google Scholar] [CrossRef]
  17. Pan, J.H.; Wu, W.J.; Liu, Q.; Zhao, W.S.; Wang, D.W.; Hu, X.P.; Liu, J.; Sun, L. Ultrahigh-Sensitivity Resonant Liquid Sensor Based on 3-D Comb-Shaped Capacitive Structures. IEEE Sens. J. 2024, 24, 38970–38978. [Google Scholar] [CrossRef]
  18. Wang, G.; Yang, P.; Chu, Z.; Ran, L.; Li, J.; Zhang, B.; Wen, X. A Review on Resonant MEMS Electric Field Sensors. Micromachines 2024, 15, 1333. [Google Scholar] [CrossRef] [PubMed]
  19. Zhang, S.; Lu, W.; Yang, Y.; Wang, R.; Zhang, G.; Xu, B.; Yilmaz, M.; Zhang, W. In-Plane-Sensing Analysis of Comb-Like Capacitive Micro-Machined Ultrasonic Transducers (CMUTs) Using Analytical Small-Signal Model and FEM. IEEE Sens. J. 2023, 23, 11498–11511. [Google Scholar] [CrossRef]
  20. Liu, X.; Xia, S.; Peng, C.; Gao, Y.; Peng, S.; Zhang, Z.; Zhang, W.; Xing, X.; Liu, Y. A Highly Sensitive and High-Resolution Resonant MEMS Electrostatic Field Microsensor Based on Electrostatic Stiffness Perturbation. Micromachines 2023, 14, 1489. [Google Scholar] [CrossRef] [PubMed]
  21. Ran, L.; Wang, G.; Kacem, N.; Hou, S.; Li, J.; Zhang, B.; Wen, X.; Seshia, A.A. On the Performance Enhancement of Electric Field Micro Mill Vibrating at High-Order Modes Beyond the Critical Duffing Amplitude. IEEE Sens. J. 2025, 25, 30667–30675. [Google Scholar] [CrossRef]
  22. Scott, H. 11 Myths About Analog Noise Analysis. Available online: https://www.analog.com/media/en/technical-documentation/tech-articles/11-Myths-About-Analog-Noise-Analysis.pdf (accessed on 25 June 2025).
Figure 1. Schematic layout of the frequency-modulated MEMS electric field sensor based on electrostatic stiffness perturbation, detailing the comb-shaped capacitor and sense electrodes.
Figure 1. Schematic layout of the frequency-modulated MEMS electric field sensor based on electrostatic stiffness perturbation, detailing the comb-shaped capacitor and sense electrodes.
Symmetry 18 00270 g001
Figure 2. Schematic of an equivalent mass-spring-damper vibration system for modeling the resonant motion of a flexural mechanical beam.
Figure 2. Schematic of an equivalent mass-spring-damper vibration system for modeling the resonant motion of a flexural mechanical beam.
Symmetry 18 00270 g002
Figure 3. Schematic of the electrostatic force application model for stiffness perturbation, with axial (comb-shaped capacitor) and lateral (parallel-plate capacitor) configurations. (a) Top view and side view of the axial configuration. (b) Schematic depicting the comb-shaped capacitor (axial configuration) represented as an equivalent circuit of four parallel-connected plate capacitors. (c) Lateral Configuration.
Figure 3. Schematic of the electrostatic force application model for stiffness perturbation, with axial (comb-shaped capacitor) and lateral (parallel-plate capacitor) configurations. (a) Top view and side view of the axial configuration. (b) Schematic depicting the comb-shaped capacitor (axial configuration) represented as an equivalent circuit of four parallel-connected plate capacitors. (c) Lateral Configuration.
Symmetry 18 00270 g003
Figure 4. Finite element simulation results showing the mode shapes of the first three resonant modes of the sensor structure, with key parameters listed in Table 1. (a) First mode shape, (b) second mode shape, (c) third mode shape.
Figure 4. Finite element simulation results showing the mode shapes of the first three resonant modes of the sensor structure, with key parameters listed in Table 1. (a) First mode shape, (b) second mode shape, (c) third mode shape.
Symmetry 18 00270 g004
Figure 5. Complete experimental setup, including the testing setups and sensor chip. (a) Experimental testing setups, (b) sensor chip in the vacuum pump.
Figure 5. Complete experimental setup, including the testing setups and sensor chip. (a) Experimental testing setups, (b) sensor chip in the vacuum pump.
Symmetry 18 00270 g005
Figure 6. Amplitude-frequency curves of different perturbation voltages at V a c = 1 mV and V d c = 10 V. (a) lateral perturbation, (b) axial perturbation.
Figure 6. Amplitude-frequency curves of different perturbation voltages at V a c = 1 mV and V d c = 10 V. (a) lateral perturbation, (b) axial perturbation.
Symmetry 18 00270 g006
Figure 7. Sensitivity fitting curve diagram of first mode with V a c is set to 1 mV and V d c is set to 10 V. (a) Lateral perturbation, (b) axial perturbation.
Figure 7. Sensitivity fitting curve diagram of first mode with V a c is set to 1 mV and V d c is set to 10 V. (a) Lateral perturbation, (b) axial perturbation.
Symmetry 18 00270 g007
Figure 8. Heat map of the influence of AC drive and DC bias on sensitivity under the first mode. (a) lateral perturbation, (b) axial perturbation.
Figure 8. Heat map of the influence of AC drive and DC bias on sensitivity under the first mode. (a) lateral perturbation, (b) axial perturbation.
Symmetry 18 00270 g008
Figure 9. Frequency noise spectral density for the first mode in linear region at V a c = 30   m V and V d c = 7   V .
Figure 9. Frequency noise spectral density for the first mode in linear region at V a c = 30   m V and V d c = 7   V .
Symmetry 18 00270 g009
Figure 10. Allan variance plot at V a c = 30 mV and V d c = 7 V.
Figure 10. Allan variance plot at V a c = 30 mV and V d c = 7 V.
Symmetry 18 00270 g010
Table 1. Structural parameters.
Table 1. Structural parameters.
Structural ParametersValue
Number of comb fingers: n38
The air gap between the teeth of the comb:
d 1 & d 3
2 μm
The   air   gap   between   the   end   of   the   comb   teeth   and   the   sensing   electrode :   d 2 & d 4 13 μm
Width   of   comb   finger :   t f 2 μm
Thickness   of   comb   finger :   l 1 25 μm
The   length   of   the   part   where   the   comb   teeth   are   directly   facing   each   other :   l 2 20 μm
The gap between sensing electrode and resonant beam: d4 μm
The frontal area between sensing electrode and resonant beam: A 120 × 25   μ m 2
Disclaimer/Publisher’s Note: The statements, opinions and data contained in all publications are solely those of the individual author(s) and contributor(s) and not of MDPI and/or the editor(s). MDPI and/or the editor(s) disclaim responsibility for any injury to people or property resulting from any ideas, methods, instructions or products referred to in the content.

Share and Cite

MDPI and ACS Style

Zhang, Y.; Nie, S.; Li, H.; Pang, B.; Li, W.; Sun, X.; Wen, X. Research on the Frequency Modulation Micro-Electro-Mechanical System Electric Field Sensor. Symmetry 2026, 18, 270. https://doi.org/10.3390/sym18020270

AMA Style

Zhang Y, Nie S, Li H, Pang B, Li W, Sun X, Wen X. Research on the Frequency Modulation Micro-Electro-Mechanical System Electric Field Sensor. Symmetry. 2026; 18(2):270. https://doi.org/10.3390/sym18020270

Chicago/Turabian Style

Zhang, Ying, Shourong Nie, Huixian Li, Boyixiao Pang, Weiyang Li, Xun Sun, and Xiaolong Wen. 2026. "Research on the Frequency Modulation Micro-Electro-Mechanical System Electric Field Sensor" Symmetry 18, no. 2: 270. https://doi.org/10.3390/sym18020270

APA Style

Zhang, Y., Nie, S., Li, H., Pang, B., Li, W., Sun, X., & Wen, X. (2026). Research on the Frequency Modulation Micro-Electro-Mechanical System Electric Field Sensor. Symmetry, 18(2), 270. https://doi.org/10.3390/sym18020270

Note that from the first issue of 2016, this journal uses article numbers instead of page numbers. See further details here.

Article Metrics

Back to TopTop