Monitoring Nitrogen Uptake and Grain Quality in Ponded and Aerobic Rice with the Squared Simplified Canopy Chlorophyll Content Index
Abstract
1. Introduction
2. Materials and Methods
2.1. Study Site Description and Field Management
2.2. Field Management
2.3. Irrigation Management
2.4. Multispectral Measurements
2.5. Plant Measurements
2.6. MultispeQ Measurements
2.7. Data Analysis
3. Results
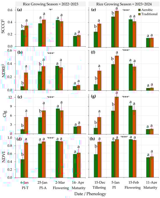
3.1. Canopy Reflectance and Seasonal Evolution of the Vegetation Indices
3.2. Biomass, N% and N Uptake at PI
3.3. Nitrogen Uptake Estimates
3.4. Environmental Conditions at Canopy Level and Photosynthesis-Related Parameters
3.5. Grain Yield and Milling Quality
3.6. Relationship Between Chlorophyll Sensitive Vegetation Indices and Grain Quality Parameters
4. Discussion
4.1. Validation of the SCCCI2 Model for N Uptake Estimates
4.2. Remote Sensing Monitoring of Grain Milling Quality
5. Conclusions
Supplementary Materials
Author Contributions
Funding
Data Availability Statement
Acknowledgments
Conflicts of Interest
References
- Reinke, R.; Beecher, G.; Dunn, B.; Sneil, P. Temperate rice in Australia. In Advances in Temperate Rice Research; Jena, K.K., Hardy, B., Eds.; International Rice Research Institute (IRRI): Los Baños, Philippines, 2012; pp. 1–14. ISBN 978-971-22-0289-6. Available online: http://books.irri.org/9789712202896_content.pdf (accessed on 19 December 2024).
- Tuong, T.P.; Bouman, B.A.M. Rice production in water scarce environments. In Water Productivity in Agriculture: Limits and Opportunities for Improvement; Kijne, J.W., Barker, R., Molden, D., Eds.; CABI Publishing: Wallingford, UK, 2003; pp. 53–67. [Google Scholar] [CrossRef]
- Mekonnen, M.M.; Hoekstra, A.Y. Sustainability: Four billion people facing severe water scarcity. Sci. Adv. 2016, 2, e1500323. [Google Scholar] [CrossRef] [PubMed]
- Bajwa, A.A.; Chauhan, B.S. Rice Production in Australia. In Rice Production Worldwide; Chauhan, B., Jabran, K., Mahajan, G., Eds.; Springer: Cham, Switzerland, 2017; pp. 169–184. [Google Scholar] [CrossRef]
- Bouman, B.A.M.; Lampayan, R.M.; Tuong, T.P. Water Management in Irrigated Rice: Coping with Water Scarcity; International Rice Research Institute (IRRI): Los Baños, Philippines, 2007; 54p, Available online: http://books.irri.org/9789712202193_content.pdf (accessed on 13 July 2024).
- Bouman, B.A.M.; Humphreys, E.; Tuong, T.P.; Barker, R. Rice and Water. Adv. Agron. 2007, 92, 187–237. [Google Scholar] [CrossRef]
- Dunn, B.W.; Gaydon, D.S. Rice growth yield and water productivity responses to irrigation scheduling prior to the delayed application of continuous flooding in southeast Australia. Agric. Water Manag. 2011, 98, 1799–1807. [Google Scholar] [CrossRef]
- Carrijo, D.R.; Lundy, M.E.; Linquist, B.A. Rice yields and water use under alternate wetting and drying irrigation: A meta-analysis. Field Crops Res. 2017, 203, 173–180. [Google Scholar] [CrossRef]
- Carracelas, G.; Hornbuckle, J.; Rosas, J.; Roel, A. Irrigation management strategies to increase water productivity in Oryza sativa (rice) in Uruguay. Agric. Water Manag. 2019, 222, 161–172. [Google Scholar] [CrossRef]
- Bouman, B.A.M.; Yang, X.; Wang, H.; Wang, Z.; Zhao, J.; Chen, B. Performance of aerobic rice varieties under irrigated conditions in North China. Field Crops Res. 2006, 97, 53–65. [Google Scholar] [CrossRef]
- Kato, Y.; Okami, M.; Katsura, K. Yield potential and water use efficiency of aerobic rice (Oryza sativa L.) in Japan. Field Crops Res. 2009, 113, 328–334. [Google Scholar] [CrossRef]
- Froes de Borja Reis, A.; Estevam Munhoz de Almeida, R.; Cocco Lago, B.; Trivelin, P.C.; Linquist, B.; Favarin, J.L. Aerobic rice system improves water productivity, nitrogen recovery and crop performance in Brazilian weathered lowland soil. Field Crops Res. 2018, 218, 59–68. [Google Scholar] [CrossRef]
- Champness, M.; Ballester, C.; Hornbuckle, J. Effect of Soil Moisture Deficit on Aerobic Rice in Temperate Australia. Agronomy 2023, 13, 168. [Google Scholar] [CrossRef]
- Bo, Y.; Wang, X.; van Groenigen, K.J.; Linquist, B.A.; Müller, C.; Li, T.; Yang, J.; Jägermeyr, J.; Qin, Y.; Zhou, F. Improved alternate wetting and drying irrigation increases global water productivity. Nat. Food 2024, 5, 1005–1013. [Google Scholar] [CrossRef] [PubMed]
- Groat, M. The Future of Australian Rice Production. A Focus on Water Use Efficiency in the Australian Temperate Rice System. A Report for Nuffield Australia Farming Scholars; Nuffield Australia: Sydney, NSW, Australia, 2020; pp. 1–44. Available online: https://www.mdba.gov.au/basin-plan (accessed on 5 May 2025).
- Williams, R.L.; Angus, J.F. Deep floodwater protects high-nitrogen rice crops from low-temperature damage. Aust. J. Exp. Agric. 1994, 34, 927–932. [Google Scholar] [CrossRef]
- Humphreys, E.; Lewin, L.G.; Khan, S.; Beecher, H.G.; Lacy, J.M.; Thompson, J.A.; Batten, G.D.; Brown, A.; Russell, C.A.; Christen, E.W.; et al. Integration of approaches to increasing water use efficiency in rice-based systems in southeast Australia. Field Crops Res. 2006, 97, 19–33. [Google Scholar] [CrossRef]
- Masseroni, D.; Moller, P.; Tyrell, R.; Romani, M.; Lasagna, A.; Sali, G.; Facchi, A.; Gandolfi, C. Evaluating performances of the first automatic system for paddy irrigation in Europe. Agric. Water Manag. 2018, 201, 58–69. [Google Scholar] [CrossRef]
- Champness, M.; Ballester-Lurbe, C.; Filev-Maia, R.; Hornbuckle, J. Smart sensing and automated irrigation for sustainable rice systems: A state of the art review. Adv. Agron. 2023, 177, 259–285. [Google Scholar] [CrossRef]
- Zoffoli, G.; Gangi, F.; Ferretti, G.; Masseroni, D. The potential of a coordinated system of gates for flood irrigation management in paddy rice farm. Agric. Water Manag. 2023, 289, 108536. [Google Scholar] [CrossRef]
- Ouyang, W.; Yin, X.; Yang, J.; Struik, P.C. Roles of canopy architecture and nitrogen distribution in the better performance of an aerobic than a lowland rice cultivar under water deficit. Field Crops Res. 2021, 271, 108257. [Google Scholar] [CrossRef]
- Sun, T.; Fang, H.; Liu, W.; Ye, Y. Impact of water background on canopy reflectance anisotropy of a paddy rice field from multi-angle measurements. Agric. For. Meteorol. 2017, 233, 143–152. [Google Scholar] [CrossRef]
- Carracelas, G.; Ballester, C.; Marchesi, C.; Roel, A.; Hornbuckle, J. Assessing Drone-Based Remote Sensing Indices for Monitoring Rice Nitrogen Plant Status Under Different Irrigation Techniques. Agronomy 2024, 14, 2976. [Google Scholar] [CrossRef]
- Carracelas, G.; Hornbuckle, J.; Ballester, C. Impact of Standing Water Level and Observation Time on Remote-Sensed Canopy Indices for Rice Nitrogen Status Monitoring. Remote Sens. 2025, 17, 1045. [Google Scholar] [CrossRef]
- Wood, R.M. The Impact of Crop Management Practices on Rice Grain Quality in South Eastern Australia. Doctoral Thesis, Charles Sturt University, Bathurst, NSW, Australia, 2019; pp. 1–186. [Google Scholar]
- Wood, R.M.; Balindong, J.; Waters, D.L.E.; Mawson, A.J.; Blanchard, C.L.; Dunn, B.W.; Oli, P. Effect of agronomic management on rice grain quality Part I: A review of Australian practices. Cereal Chem. 2021, 98, 222–233. [Google Scholar] [CrossRef]
- Wood, R.M.; Dunn, B.W.; Balindong, J.; Waters, D.L.E.; Blanchard, C.L.; Mawson, A.J.; Oli, P. Effect of agronomic management on rice grain quality Part II: Nitrogen rate and timing. Cereal Chem. 2021, 98, 234–248. [Google Scholar] [CrossRef]
- Oli, P.; Talbot, M.; Snell, P. Understanding Pre- and Post-Milling Crack Formation in Rice Grain. Trans. ASABE 2021, 64, 1795–1804. [Google Scholar] [CrossRef]
- Tsukaguchi, T.; Taniguchi, Y.; Ito, R. The effects of nitrogen uptake before and after heading on grain protein content and the occurrence of basal- and back-white grains in rice (Oryza sativa L.). Plant Prod. Sci. 2016, 19, 508–517. [Google Scholar] [CrossRef]
- Tsukaguchi, T.; Miyamae, T.; Morikawa, A.; Yonezawa, R.; Sekine, D.; Fujihara, Y. Estimation of grain quality of rice (Oryza sativa L.) by UAV-acquired vegetation index and climate factors. Plant Prod. Sci. 2023, 26, 297–308. [Google Scholar] [CrossRef]
- Hou, Y.; Bao, H.; Rimi, T.I.; Zhang, S.; Han, B.; Wang, Y.; Yu, Z.; Chen, J.; Gao, H.; Zhao, Z.; et al. Rice Quality and Yield Prediction Based on Multi-Source Indicators at Different Periods. Plants 2025, 14, 424. [Google Scholar] [CrossRef] [PubMed]
- Hornbuckle, J.; Christen, E. Physical Properties of Soils in the Murrumbidgee and Coleambally Irrigation Areas. CSIRO Land and Water Technical Report 17/99. 1999. Available online: https://www.researchgate.net/publication/267717578_Physical_Properties_of_Soils_in_Murrumbidgee_and_Coleambally_Irrigation_Areas (accessed on 20 April 2025).
- Albrecht, W.A. The Foundation of Soil Fertility. In The Albrecht Papers, Volume 1: Foundation Concepts; Soil Science Society of America; Acres U.S.A.: Viroqua, WI, USA, 1975. [Google Scholar]
- Reams, C.A. Biological Ionization and Soil Fertility: The Reams Biological Theory of Ionization; Reams Biological Institute: Winter Haven, FL, USA, 1980. [Google Scholar]
- Brinkhoff, J.; Dunn, B.W.; Robson, A.J.; Dunn, T.S.; Dehaan, R.L. Modeling mid-season rice nitrogen uptake using multispectral satellite data. Remote Sens. 2019, 11, 1837. [Google Scholar] [CrossRef]
- Gitelson, A.A.; Gritz, Y.; Merzlyak, M.N. Relationships between leaf chlorophyll content and spectral reflectance and al-gorithms for non-destructive chlorophyll assessment in higher plant leaves. J. Plant Physiol. 2003, 160, 271–282. [Google Scholar] [CrossRef] [PubMed]
- Rouse, J.W.; Haas, R.H.; Schell, J.A.; Deering, D.W. Monitoring Vegetation Systems in the Great Plains with ERTS. In Proceedings of the Third Earth Resources Technology Satellite-1 Symposium, Washington, DC, USA, 10–14 December 1973; pp. 309–317. [Google Scholar]
- Dunn, T.; Dunn, B. Identifying Panicle Initiation in Rice; Primefact 1278, Fourth Edition. June 2018. Available online: https://www.dpi.nsw.gov.au/__data/assets/pdf_file/0003/449823/Identifying-panicle-initiation-in-rice.pdf (accessed on 6 December 2024).
- Dunn, B. Nitrogen Tissue Test for Rice Panicle Initiation. 2012. Available online: https://www.agrifutures.com.au/wp-content/uploads/publications/12-047.pdf (accessed on 25 January 2025).
- FOSS Analytics. Infratec 1241 Grain Analyzer. Hilleroed, Denmark. Available online: https://www.fossanalytics.com/en/search?query=Infratec%201241%20Grain%20Analyzer (accessed on 5 April 2025).
- PaddyVision. Rapid Analysis of Paddy Rice Quality. Available online: https://paddyvision.com/ (accessed on 1 March 2025).
- Talbot, M. Paddyvision®: Rapid Analysis of Paddy Rice Quality at the Point of Receival. IREC Farmers’ Newsletter No. 210—Spring 2023. Available online: https://irec.org.au/wp-content/uploads/IREC-quicktake-Spring-210-1.pdf (accessed on 1 March 2025).
- R Core Team. R: A Language and Environment for Statistical Computing; R Foundation for Statistical Computing: Vienna, Austria, 2022; Available online: http://www.R-project.org/ (accessed on 1 January 2025).
- Chambers, J.M. Linear Models. In Statistical Models; Chambers, J.M., Hastie, T.J., Eds.; Routledge: New York, NY, USA, 1992. [Google Scholar]
- Bates, D.M.; Watts, D.G. Nonlinear Regression Analysis and Its Applications; John Wiley & Sons, Inc.: Hoboken, NJ, USA, 1988. [Google Scholar] [CrossRef]
- Bates, D.M.; Chambers, J.M. Nonlinear Models. In Statistical Models; Chambers, J.M., Hastie, T.J., Eds.; Wadsworth & Brooks/Cole: Pacific Grove, CA, USA, 1992; ISBN 9780203738535. [Google Scholar]
- Hamner, B.; Frasco, M.; Ledell, E. Title Evaluation Metrics for Machine Learning. Available online: https://github.com/mfrasco/Metrics (accessed on 10 May 2025).
- Brinkhoff, J.; Dunn, B.W.; Robson, A.J. Rice nitrogen status detection using commercial-scale imagery. Int. J. Appl. Earth Obs. Geoinf. 2021, 105, 102627. [Google Scholar] [CrossRef]
- Yang, C.; Yang, L.; Yang, Y.; Ouyang, Z. Rice root growth and nutrient uptake as influenced by organic manure in continuously and alternately flooded paddy soils. Agric. Water Manag. 2004, 70, 67–81. [Google Scholar] [CrossRef]
- Carrijo, D.R.; Akbar, N.; Reis, A.F.B.; Li, C.; Gaudin, A.C.M.; Parikh, S.J.; Linquist, B.A. Impacts of variable soil drying in alternate wetting and drying rice systems on yields, grain arsenic concentration and soil moisture dynamics. Field Crops Res. 2018, 222, 101–110. [Google Scholar] [CrossRef]
- Panigrahi, N.; Das, B.S. Canopy Spectral Reflectance as a Predictor of Soil Water Potential in Rice. Water Resour. Res. 2018, 54, 2544–2560. [Google Scholar] [CrossRef]
- Visitacion, G.J.; Saludes, R.B.; Luyun, R.A.; Mochica Pinca, Y.M.; Ferdie Eusebio Mv Jose, S.; Sur, C.; Journal, P. Statistical Analysis of Crop Water Stress in Rainfed Rice (Oryza sativa L.) Using Spectral and Non-spectral Indices. Philipp. J. Sci. 2022, 151, 587–603. [Google Scholar] [CrossRef]
- Dunn, B.W.; Dunn, T.S.; Orchard, B.A. Nitrogen rate and timing effects on growth and yield of drill-sown rice. Crop Pasture Sci. 2016, 67, 1149–1157. [Google Scholar] [CrossRef]
- Rehman, T.H.; Borja Reis, A.F.; Akbar, N.; Linquist, B.A. Use of normalized difference vegetation index to assess N status and predict grain yield in rice. Agron. J. 2019, 111, 2889–2898. [Google Scholar] [CrossRef]
- Rehman, T.H.; Lundy, M.E.; Linquist, B.A. Comparative Sensitivity of Vegetation Indices Measured via Proximal and Aerial Sensors for Assessing N Status and Predicting Grain Yield in Rice Cropping Systems. Remote Sens. 2022, 14, 2770. [Google Scholar] [CrossRef]
- Dunn, B.; Dunn, T. Agronomy and Remote Sensing to Maximise Rice Water Productivity; Agrifutures: Wagga Wagga, NSW, Australia, 2024; pp. 24–234. Available online: https://agrifutures.com.au/wp-content/uploads/2024/12/24-234-agronomy-and-remote-sensing.pdf (accessed on 10 May 2025).
- Inoue, Y.; Sakaiya, E.; Zhu, Y.; Takahashi, W. Diagnostic mapping of canopy nitrogen content in rice based on hyperspectral measurements. Remote Sens. Environ. 2012, 126, 210–221. [Google Scholar] [CrossRef]
- Huang, S.; Miao, Y.; Zhao, G.; Yuan, F.; Ma, X.; Tan, C.; Yu, W.; Gnyp, M.L.; Lenz-Wiedemann, V.I.S.; Rascher, U.; et al. Satellite Remote Sensing-Based In-Season Diagnosis of Rice Nitrogen Status in Northeast China. Remote Sens. 2015, 7, 10646–10667. [Google Scholar] [CrossRef]
- Zha, H.; Miao, Y.; Wang, T.; Li, Y.; Zhang, J.; Sun, W.; Feng, Z.; Kusnierek, K. Improving unmanned aerial vehicle remote sensing-based rice nitrogen nutrition index prediction with machine learning. Remote Sens. 2020, 12, 215. [Google Scholar] [CrossRef]
- Wakamatsu, K.; Sasaki, O.; Uezono, I.; Tanaka, A. Effect of the amount of nitrogen application on occurrence of whiteback kernels during ripening of rice [Oryza sativa] under high-temperature conditions. Jpn. J. Crop Sci. 2008, 77, 424–433. [Google Scholar] [CrossRef]
- Takata, S.; Sakata, M.; Kameshima, M.; Yamamoto, Y.; Miyazaki, A. Varietal difference in the relation between the occurrence of white immature kernels caused by a high temperature during the ripening period and the amount of basal nitrogen application in rice. Jpn. J. Crop Sci. 2010, 79, 150–157. [Google Scholar] [CrossRef]
- Tanaka, K.; Miyazaki, M.; Uchikawa, O.; Araki, M. Effects of the nitrogen nutrient condition and nitrogen application on kernel quality of rice. Jpn. J. Crop Sci. 2010, 79, 450–459. [Google Scholar] [CrossRef]
- Zhao, C.; Liu, G.; Chen, Y.; Jiang, Y.; Dai, Q.; Huo, Z.; Shi, Y.; Zhao, L.; Liao, P.; Wang, W.; et al. Excessive Nitrogen Application Leads to Lower Rice Yield and Grain Quality by Inhibiting the Grain Filling of Inferior Grains. Agriculture 2022, 12, 962. [Google Scholar] [CrossRef]
- Tsukaguchi, T.; Kobayashi, H.; Fujihara, Y.; Chono, S. Estimation of spikelet number per area by UAV-acquired vegetation index in rice (Oryza sativa L.). Plant Prod. Sci. 2022, 25, 20–29. [Google Scholar] [CrossRef]
- Lang, Y.-Z.; Yang, X.-D.; Wang, M.-E.; Zhu, Q.-S. Effects of lodging at different filling stages on rice yield and grain quality. Rice Sci. 2012, 19, 315–319. [Google Scholar] [CrossRef]
- Thompson, J.F.; Mutters, R.G. Effect of Weather and Rice Moisture at Harvest on Milling Quality of California Medium-Grain Rice. Trans. ASABE 2006, 49, 435–440. [Google Scholar] [CrossRef]
- Takita, T. Evaluation method for varietal differences of crack formation in rice grains. Tohoku Agric. Res. 1999, 52, 15–16. [Google Scholar]











| Weather Parameters | Rice Growing Season | |
|---|---|---|
| 2022–2023 | 2023–2024 | |
| Total Evapotranspiration (mm) | 1098.9 | 1263.2 |
| Daily Evapotranspiration (mm d−1) | 5.4 | 6.2 |
| Total Rain (mm) | 373.0 | 332.4 |
| Maximum Temperature (°C) | 27.7 | 30.0 |
| Days with Max. temp. above 35 °C | 29.0 | 42.0 |
| Minimum Temperature (°C) | 12.8 | 14.3 |
| Days with Min. temp. below 15 °C | 121.0 | 94.0 |
| Days with Min. temp. below 15 °C (from PI to Flowering) | 24.0 | 11.0 |
| Maximum Relative Humidity (%) | 88.2 | 83.4 |
| Minimum Relative Humidity (%) | 35.2 | 28.7 |
| Wind-speed at 10 m (m/s) | 4.1 | 4.0 |
| Solar Radiation (MJ m−2 d−1) | 21.8 | 22.4 |
| Soil Parameters | Value | Soil Parameters | Value |
|---|---|---|---|
| pH (water) | 7.6 | Zn-Zinc (mg/kg) | 0.9 |
| pH (CaCl2) | 7.0 | Mn-Manganese (mg/kg) | 20.5 |
| Estimated Organic Matter (% OM) | 1.5 | Fe-Iron (mg/kg) | 78.8 |
| Phosphorus (mg/kg P) (Colwell) | 41.4 | Cu-Copper (mg/kg) | 3.2 |
| Nitrate Nitrogen (mg/kg N) | 4.7 | B-Boron (mg/kg) | 1.1 |
| Ammonium Nitrogen (mg/kg N) | 3.4 | Si-Silicon (mg/kg Si) | 44.0 |
| Sulfur (mg/kg S) | 27.6 | Total Carbon (%) | 0.9 |
| Electrical Conductivity (dS/m) | 0.1 | Total Nitrogen (%) | 0.1 |
| Ca—Exchangeable Calcium (mg/kg) | 2.6 | Carbon/Nitrogen Ratio | 8.8 |
| Mg—Exchangeable Magnesium (mg/kg) | 1.2 | Texture (ISSS classification) | Clay |
| K-Exchangeable Potassium (mg/kg) | 309.7 | Sand > 20 µm | 38.3% |
| Na-Exchangeable Sodium (mg/kg) | 102.1 | Silt (2−20 µm) | 8.9% |
| Al-Exchangeable Aluminum (mg/kg) | 1.9 | Clay (< 2 µm) | 52.8% |
| ECEC—Effective Cation Exchange Capacity (cmol+/kg) | 25.3 | Gravel > 2 mm | 0.2% |
| Basic Color | Brownish |
| Vegetation Index | Formulation | References |
|---|---|---|
| Squared of simplified canopy chlorophyll content index | SCCCI2 = | [24] |
| Squared of normalized difference red edge | NDRE2 = | [35] |
| Chlorophyll green | Clg | [36] |
| Normalized difference vegetation index | NDVI = | [37] |
| Treatments | Biomass (DM kg ha−1) | Nitrogen Percent (N%) | N Uptake (Kg N ha−1) |
|---|---|---|---|
| Irrigation | |||
| Aerobic | 3686 | 3.03 | 112 |
| Traditional | 5358 | 2.79 | 144 |
| Irrigation effect | ns | ns | ns |
| Season | |||
| 2022–2023 | 3311 b | 3.01 | 100 b |
| 2023–2024 | 5733 a | 2.81 | 155 a |
| Season effect | . | ns | * |
| Irrigation × Season effect | *** | ** | ** |
| Mean | 4522 | 2.91 | 128 |
| Treatments | Ambient Parameters | Leaf Temperature Differential (°C) | Fv/Fm | Fraction of Energy Light Captured by PhotosystemII | SPAD | |||
|---|---|---|---|---|---|---|---|---|
| Temperature | Humidity | Phi2 | PhiN0 | PhiNPQ | ||||
| Irrigation | ||||||||
| Aerobic | 31.4 | 40.2 b | −4.98 | 0.68 | 0.32 | 0.3 | 0.38 | 51.3 |
| Traditional | 31.6 | 42.8 a | −5.30 | 0.67 | 0.32 | 0.29 | 0.4 | 52.4 |
| Irrigation effect | ns | ** | ns | ns | ns | ns | ns | ns |
| Rice Season | ||||||||
| 2022–2023 | 32.2 a | 38.0 b | −5.29 | 0.71 a | 0.41 a | 0.3 | 0.29 b | 52.7 |
| 2023–2024 | 30.7 b | 45.0 a | −4.98 | 0.64 b | 0.22 b | 0.29 | 0.49 a | 51 |
| Season effect | *** | *** | ns | *** | *** | ns | *** | ns |
| Irrigation × Season effect | ns | ns | ns | ns | ns | ns | ns | ns |
| Mean | 31.5 | 41.5 | −5.14 | 0.67 | 0.32 | 0.30 | 0.39 | 51.9 |
| Treatments | Rice Grain Yield (14%) Mg ha−1 | Grain Milling Quality | ||
|---|---|---|---|---|
| Total Cracked % | Immature % | Quality Score | ||
| Irrigation | ||||
| Aerobic | 15.03 a | 12.9 | 2.76 | 8.43 |
| Traditional | 13.60 b | 22.8 | 3.43 | 7.37 |
| Irrigation effect | ** | ns | ns | ns |
| Season | ||||
| S1 2022–2023 | 14.35 | 10.6 b | 0.34 b | 8.90 |
| S2 2023–2024 | 14.29 | 25.1 a | 5.85 a | 6.91 |
| Season effect | ns | * | *** | ns |
| Irrigation × Season effect | ns | * | ns | ** |
| Mean | 14.32 | 17.85 | 3.09 | 7.90 |
Disclaimer/Publisher’s Note: The statements, opinions and data contained in all publications are solely those of the individual author(s) and contributor(s) and not of MDPI and/or the editor(s). MDPI and/or the editor(s) disclaim responsibility for any injury to people or property resulting from any ideas, methods, instructions or products referred to in the content. |
© 2025 by the authors. Licensee MDPI, Basel, Switzerland. This article is an open access article distributed under the terms and conditions of the Creative Commons Attribution (CC BY) license (https://creativecommons.org/licenses/by/4.0/).
Share and Cite
Carracelas, G.; Hornbuckle, J.; Ballester, C. Monitoring Nitrogen Uptake and Grain Quality in Ponded and Aerobic Rice with the Squared Simplified Canopy Chlorophyll Content Index. Remote Sens. 2025, 17, 2598. https://doi.org/10.3390/rs17152598
Carracelas G, Hornbuckle J, Ballester C. Monitoring Nitrogen Uptake and Grain Quality in Ponded and Aerobic Rice with the Squared Simplified Canopy Chlorophyll Content Index. Remote Sensing. 2025; 17(15):2598. https://doi.org/10.3390/rs17152598
Chicago/Turabian StyleCarracelas, Gonzalo, John Hornbuckle, and Carlos Ballester. 2025. "Monitoring Nitrogen Uptake and Grain Quality in Ponded and Aerobic Rice with the Squared Simplified Canopy Chlorophyll Content Index" Remote Sensing 17, no. 15: 2598. https://doi.org/10.3390/rs17152598
APA StyleCarracelas, G., Hornbuckle, J., & Ballester, C. (2025). Monitoring Nitrogen Uptake and Grain Quality in Ponded and Aerobic Rice with the Squared Simplified Canopy Chlorophyll Content Index. Remote Sensing, 17(15), 2598. https://doi.org/10.3390/rs17152598

