Sign in to use this feature.

Years

Between: -

Subjects

remove_circle_outline
remove_circle_outline
remove_circle_outline
remove_circle_outline
remove_circle_outline
remove_circle_outline
remove_circle_outline
remove_circle_outline

Journals

Article Types

Countries / Regions

Search Results (23)

Search Parameters:
Keywords = autochthonous DOC

Order results
Result details
Results per page
Select all
Export citation of selected articles as:
25 pages, 3863 KB  
Article
Tidal Dynamics Shaped the Dissolved Organic Carbon Fate and Exchange Flux Across Estuary-Coastal Water Continuum in Zhanjiang Bay, China
by Xiao-Ling Chen, Peng Zhang, Ying-Xian He, Lin Zhou and Ji-Biao Zhang
J. Mar. Sci. Eng. 2026, 14(2), 123; https://doi.org/10.3390/jmse14020123 - 7 Jan 2026
Viewed by 640
Abstract
Dissolved organic matter (DOM) is central to biogeochemical cycles in estuarine-coastal zones, with its source-sink dynamics linking regional ecological functions to global carbon budgets. As a typical semi-enclosed bay in southern China, Zhanjiang Bay (ZJB) features intense tidal mixing and significant seasonal runoff [...] Read more.
Dissolved organic matter (DOM) is central to biogeochemical cycles in estuarine-coastal zones, with its source-sink dynamics linking regional ecological functions to global carbon budgets. As a typical semi-enclosed bay in southern China, Zhanjiang Bay (ZJB) features intense tidal mixing and significant seasonal runoff variations, making it a representative system for understanding DOM dynamics in complex land–sea interaction zones. The migration of dissolved organic carbon (DOC) is crucial for bay carbon budgets, yet its estimation is constrained by land–water interface dynamics and in situ observation limitations. To clarify the regulation of DOM’s fate and exchange flux in ZJB, this study integrated in situ observations, ultraviolet spectroscopy, and three-dimensional fluorescence techniques to analyze DOM tidal dynamics and net DOC exchange flux. Results indicated terrestrial runoff dominated rainy-season DOC sources, resulting in slightly higher concentrations (1.86 ± 0.46 mg·L−1) compared to the dry season (1.82 ± 0.20 mg·L−1). Terrestrial inputs endowed rainy-season DOM with high molecular weight and aromaticity, with microbial humic substances (C2) accounting for 36%. Tidal fluctuations affected DOC via water exchange: ebb tides diluted concentrations with low-DOC open-ocean seawater, while flood tides increased them through high-DOC bay water discharge. Dry-season DOM relied on in situ biotransformation, characterized by low molecular weight and aromaticity, with the protein-like fraction (C4) accounting for 24.3%. Fluorescence index (FI = 1.77–1.79) confirmed DOM as a mixture of allochthonous and autochthonous sources, with significant in situ contributions and weak humification. Net DOC exchange flux, regulated by terrestrial runoff, was 3.6–4.6 times higher in the rainy season, decreasing from the estuary to the coast. In conclusion, the joint regulation of terrestrial runoff-driven seasonal dynamics and tidal water exchange governs ZJB’s DOM dynamics, providing valuable insights for biogeochemical research in semi-enclosed bays. Full article
(This article belongs to the Special Issue Selected Feature Papers in Marine Environmental Science)
Show Figures

Figure 1

19 pages, 4940 KB  
Article
Unraveling Seasonal Dynamics of Dissolved Organic Matter in Agricultural Ditches Using UV-Vis Absorption and Excitation–Emission Matrix (EEM) Fluorescence Spectroscopy
by Keyan Li, Jinfeng Ge, Qiaozhuan Hu, Wenrui Yao, Xiaoli Fu, Chao Ma and Yulin Qi
Chemosensors 2025, 13(9), 346; https://doi.org/10.3390/chemosensors13090346 - 10 Sep 2025
Cited by 2 | Viewed by 1518
Abstract
Seasonal dynamics of dissolved organic matter (DOM) in agricultural ditches significantly impact carbon cycling and water quality in connected rivers. This study aimed to characterize seasonal variations in DOM composition and dynamics within hierarchical agricultural ditch systems in Tianjin, northern China. Surface water [...] Read more.
Seasonal dynamics of dissolved organic matter (DOM) in agricultural ditches significantly impact carbon cycling and water quality in connected rivers. This study aimed to characterize seasonal variations in DOM composition and dynamics within hierarchical agricultural ditch systems in Tianjin, northern China. Surface water samples were collected from river channels, main ditches, branch ditches, lateral ditches, and field ditches during wet (June 2021) and dry (December 2021) seasons. DOM characteristics were analyzed using dissolved organic carbon (DOC) quantification, ultraviolet-visible (UV-Vis) absorption spectroscopy, and three-dimensional excitation–emission matrix spectroscopy (3D-EEMs) coupled with parallel factor analysis (PARAFAC). The concentration of DOC in ditch surface water exhibited significant seasonal variations, with significantly higher levels observed during the wet season (Huangzhuang: 6.72 ± 0.7 mg/L; Weixing: 13.15 ± 3.1 mg/L) compared to the dry season (Huangzhuang: 5.93 ± 0.3 mg/L; Weixing: 9.35 ± 2.6 mg/L). Both UV-Vis spectral and EEM-PARAFAC analysis revealed that DOM in ditch systems was predominantly composed of fulvic-like and tryptophan-like components, representing the portion of organic matter in water bodies that is highly biologically active, highly mobile, relatively “fresh”, or “not fully humified”. PARAFAC identified microbial humic-like (C1: wet season 40.36%, dry season 34.42%) and protein-like (C3: wet season 40.3%, dry season 49.87%) components as dominant. DOM sources were influenced by dual inputs from terrestrial and autochthonous origins during the wet season, while primarily deriving from autochthonous sources in the dry season. This study elucidates the advances of spectroscopic techniques in deciphering the composition, sources, and influencing factors of DOM in aquatic systems. The findings support implementing riparian buffer strips and optimized fertilizer management to mitigate seasonal peaks of bioavailable DOM in agricultural ditch systems. Full article
(This article belongs to the Special Issue Spectroscopic Techniques for Chemical Analysis)
Show Figures

Figure 1

13 pages, 1936 KB  
Article
The Input of Terrestrial Dissolved Organic Carbon Enhanced Bacteria Growth Efficiency on Phytoplankton-DOC and Indigenous Lake DOC: A Microcosm Study
by Zong’an Jin, Huiping Zhang, Zhengwen Liu, Erik Jeppesen, Jian Gao and Yali Tang
Microorganisms 2025, 13(9), 2081; https://doi.org/10.3390/microorganisms13092081 - 6 Sep 2025
Viewed by 1543
Abstract
As a consequence of global climate change, lakes are increasingly receiving terrestrial dissolved organic carbon (DOC), which serves as a key substrate for microbial metabolism and fuels bacterial production (BP). However, bacteria in aquatic systems play a dual role in the carbon cycle [...] Read more.
As a consequence of global climate change, lakes are increasingly receiving terrestrial dissolved organic carbon (DOC), which serves as a key substrate for microbial metabolism and fuels bacterial production (BP). However, bacteria in aquatic systems play a dual role in the carbon cycle by not only incorporating DOC into their biomass but also respiring it as CO2 into the atmosphere (bacterial respiration, BR). As such, the estimation of bacterial growth efficiency (BGE), defined as BP/(BP + BR), is critical for understanding lake carbon dynamics and bacterial carbon processing. To investigate the effects of terrestrial organic carbon on bacterial carbon processing in lakes, we conducted a 13C-labeling experiment utilizing three microcosms, each filled with 0.22 μm filtered lake water inoculated with a microbial inoculum and set as follows: no extra DOC addition as a control, adding phytoplankton-derived DOC, and adding a mixture of phytoplankton-derived and terrestrial DOC. Our findings revealed that the addition of terrestrial DOC significantly enhanced both overall BGE (40.0%) and specific BGE based on phytoplankton-DOC (62.3%) and indigenous lake DOC (27.0%). Furthermore, terrestrial DOC inputs also altered bacterial carbon consumption pathways, as indicated by isotopic evidence. These results suggest that the input of terrestrial DOC may significantly affect lake DOC processing by changing the way bacteria process phytoplankton-DOC and indigenous lake DOC. This study highlights the profound influence of terrestrial DOC on lake carbon processing and suggests that terrestrial–aquatic cross-ecosystem interactions are critical for understanding lake carbon dynamics under changing climatic conditions. Full article
(This article belongs to the Section Environmental Microbiology)
Show Figures

Figure 1

23 pages, 13007 KB  
Article
Sources and Characteristics of Dissolved Organic Matter (DOM) during the Winter Season in Hangzhou Bay: Insights from Chromophoric DOM and Fluorescent DOM
by Chenshuai Wei, Yanhong Xu, Dewang Li, Peisong Yu, Qian Li, Zhongqiang Ji, Bin Wang, Ying Luo, Ningxiao Yu, Lihong Chen and Haiyan Jin
Water 2025, 17(11), 1590; https://doi.org/10.3390/w17111590 - 24 May 2025
Cited by 1 | Viewed by 2014
Abstract
Elucidating the compositions, sources and mixing processes of dissolved organic matter (DOM) is crucial for a gaining deeper understanding of the coastal carbon cycle and global carbon budget. Hangzhou Bay (HZB), a vital estuary in China, receives freshwater inputs in the upper bay, [...] Read more.
Elucidating the compositions, sources and mixing processes of dissolved organic matter (DOM) is crucial for a gaining deeper understanding of the coastal carbon cycle and global carbon budget. Hangzhou Bay (HZB), a vital estuary in China, receives freshwater inputs in the upper bay, borders the Changjiang River Estuary (CRE) to the north and is adjacent to Zhoushan Islands Region (ZIR) to the east. In HZB, the DOM sources and their compositions in estuaries remain unclear due to the complexity of this dynamic environment. In this study, we aimed to explore the chemical composition and sources of the DOM in the HZB and its adjacent coastal waters based on chromophoric DOM, fluorescent DOM indices and other hydrochemical parameters in the winter. The results showed that the DOM compositions in HZB have significant differences in the upper bay, middle bay and lower bay. The highest concentration of DOC was found in the CRE, close to the northern lower HZB, with high humification index (HIX), low biological index (BIX) and high proportion of humic-like fluorescent component (C1), indicating terrestrial inputs. In contrast, the DOM in the upper bay had high BIX and low HIX, being dominated by protein-like fluorescent components (C2 and C3), indicating an autochthonous source. The DOM in the middle bay showed mixed composition characteristics indicated by the chromophoric DOM (CDOM) and fluorescent DOM (FDOM) indices. Moreover, the terrestrial DOM transported via CDW intrusion accounted for a large proportion of the DOM in Northern HZB. Our study shows that, even in coastal estuaries with very strong hydrodynamics, the DOM composition can still retain its unique source signal, which, in turn, affects its migration and transformation processes. The results of this study provide supplement insights into the global carbon cycle and carbon budget estimation. Full article
(This article belongs to the Section Water Quality and Contamination)
Show Figures

Figure 1

16 pages, 2889 KB  
Article
Characteristics of Soil Dissolved Organic Matter Structure in Albi-Boric Argosols Profiles Through Straw Incorporation: A Fluorescence Spectroscopy Study
by Baoguo Zhu, Enjun Kuang, Qingying Meng, Haoyuan Feng, Miao Wang, Xingjie Zhong, Zhichun Wang, Lei Qiu, Qingsheng Wang and Zijie Wang
Plants 2025, 14(11), 1581; https://doi.org/10.3390/plants14111581 - 22 May 2025
Cited by 1 | Viewed by 993
Abstract
Albi-boric argosols, mainly distributed in the Sanjiang Plain of Heilongjiang Province, China, accounting for over 80% of the total cultivated land area, is characterized by a nutrient-deficient layer beneath black soil. This study addresses the challenges of modern agriculture by investigating the impact [...] Read more.
Albi-boric argosols, mainly distributed in the Sanjiang Plain of Heilongjiang Province, China, accounting for over 80% of the total cultivated land area, is characterized by a nutrient-deficient layer beneath black soil. This study addresses the challenges of modern agriculture by investigating the impact of straw incorporation on soil dissolved organic carbon (DOC) and its structures in albi-boric argosols, profiles, using fluorescence excitation–emission spectroscopy and parallel factor analysis (PARAFAC). Three treatments were applied: undisturbed albi-boric argosols (C), mixed albic and illuvium layers (M), and mixed albic and illuvium layers with straw (MS). Results showed that the yield of M and MS increased by 9.9% and 13.0%, respectively. There was a significant increase in DOC content, particularly in the MS treatment. Fluorescence index (FI) values ranged from 1.65 to 1.86, biological index (BIX) values were less than 1, and humification index (HIX) values were below 0.75, indicating a mix of plant and microbial sources for DOC, autochthonous characteristics, and weaker humification degree. PARAFAC identified two/three individual fluorophore moieties that were attributed to fulvic acid substances, soluble microbial products, and tyrosine-like substances, with microbial products as the dominant component. This study demonstrates the effect of improving barrier soil and maintaining sustainable agriculture by enhancing soil quality. Full article
(This article belongs to the Section Plant–Soil Interactions)
Show Figures

Figure 1

9 pages, 2084 KB  
Article
Research Regarding the Autochthonous Dissolved Organic Carbon to Recalcitrant Dissolved Organic Carbon Transformation Mechanism in a Typical Surface Karst River
by Jiabin Li, Qiong Xiao, Qiufang He, Yurui Cheng, Fang Liu, Peiling Zhang, Yifei Liu, Daoxian Yuan and Shi Yu
Water 2024, 16(18), 2584; https://doi.org/10.3390/w16182584 - 12 Sep 2024
Viewed by 1694
Abstract
Autochthonic recalcitrant organic carbon is the most stable component in karst aquatic systems. Still, the processes of its generation and transformation remain unclear, which hinders the study of the mechanisms and quantitative calculations of carbon sinks in karst aquatic systems. This study collected [...] Read more.
Autochthonic recalcitrant organic carbon is the most stable component in karst aquatic systems. Still, the processes of its generation and transformation remain unclear, which hinders the study of the mechanisms and quantitative calculations of carbon sinks in karst aquatic systems. This study collected water samples from the Li River, a typical surface karst river in Southwest China. Through in situ microbial cultivation and the chromophoric dissolved organic matter (CDOM) spectrum, changes in organic carbon components and their contents during the transformation of autochthonic dissolved organic carbon (Auto-DOC) to autochthonic dissolved recalcitrant organic carbon (Auto-RDOC) were analyzed to investigate the inert transformation processes of endogenous organic carbon. This study found that microbial carbon pumps (MCPs) promote the tyrosine-like component condensed into microbial-derived fulvic and humic components via heterotrophic bacteria metabolism, forming Auto-RDOC. During the dry season, the high level of Auto-DOC provides abundant organic substrates for heterotrophic bacteria, resulting in significantly higher Auto-RDOC production compared to the rainy season. This study provides fundamental information on the formation mechanisms of Auto-DOC in karst aquatic systems, which contributes to the assessment of carbon sinks in karst aquatic systems. Full article
Show Figures

Figure 1

9 pages, 2358 KB  
Communication
Sensory Profile of Monferace Wine: An ‘Old-Style’ Vinification Approach for Grignolino, a Red Indigenous Italian Variety
by Maria Carla Cravero, Federica Bonello, Andriani Asproudi, Silvia Gianotti, Mario Ronco and Maurizio Petrozziello
Beverages 2023, 9(2), 46; https://doi.org/10.3390/beverages9020046 - 29 May 2023
Cited by 1 | Viewed by 2515
Abstract
Grignolino is an autochthonous Italian red variety cultivated in Piedmont (north-west Italy), used in high percentages (90–100%) to produce three main different DOC wines, generally consumed young. The Monferace project was born of an idea of 12 winegrowers wanting to create a new [...] Read more.
Grignolino is an autochthonous Italian red variety cultivated in Piedmont (north-west Italy), used in high percentages (90–100%) to produce three main different DOC wines, generally consumed young. The Monferace project was born of an idea of 12 winegrowers wanting to create a new “old style” Grignolino red wine and inspired by ancient winemaking techniques of this variety. Monferace wine is produced following a discipline which gives some guidelines but no indications on the vinification technique or on the variety of wood to be used. The percentage of Grignolino grapes should be 100% and the ageing of 40 months, 24 of which are spent in wooden barrels of differing volumes. The aim of this work is the definition of the sensory profile of Monferace wines during ageing. The sensory analysis on 10 Monferace wines (2019 vintage) was assessed after approximately 11 months of ageing in wood. A trained panel carried out the wine sensory descriptive analysis (sensory profile) with a methodology derived from ISO norms. The results showed that all the wines were characterized by 16 attributes: color (garnet red, orange highlights), odor (rose, violet, nutmeg, pepper, blackberries, cherries, jam/marmalade, dry herbaceous, boisé-oak wood) and taste (acidity, bitterness, astringency, structure (body) and taste–olfactory persistence). Some attributes were, quantitatively, not statistically different: acidity, bitterness, astringency. All the other attributes discriminated the wines with different intensities, and each wine had a specificity. These preliminary results demonstrated the cohesion of sensory attributes among the wines, with individual distinctions within each product, and indicated that Monferace is a very promising wine style for the Grignolino variety. Full article
(This article belongs to the Section Sensory Analysis of Beverages)
Show Figures

Figure 1

23 pages, 8477 KB  
Article
Geochemical Features of Ground Ice from the Faddeevsky Peninsula Eastern Coast (Kotelny Island, East Siberian Arctic) as a Key to Understand Paleoenvironmental Conditions of Its Formation
by Anfisa Pismeniuk, Petr Semenov, Alexandra Veremeeva, Wei He, Anna Kozachek, Sergei Malyshev, Elizaveta Shatrova, Anastasiia Lodochnikova and Irina Streletskaya
Land 2023, 12(2), 324; https://doi.org/10.3390/land12020324 - 24 Jan 2023
Cited by 5 | Viewed by 3565
Abstract
Understanding paleoenvironmental conditions of the permafrost formation allows us to estimate the permafrost carbon pool and its behavior upon thawing in a changing climate. In order to classify different types of ground ice and to reconstruct paleoenvironments, we examined geochemical data of ice [...] Read more.
Understanding paleoenvironmental conditions of the permafrost formation allows us to estimate the permafrost carbon pool and its behavior upon thawing in a changing climate. In order to classify different types of ground ice and to reconstruct paleoenvironments, we examined geochemical data of ice wedges (IWs), tabular ground ice (TGI), and lens ice from the eastern coast of the Faddeevsky Peninsula (East Siberian Arctic). We analyzed isotope and ion composition, molecular composition of the gas phase, bulk biogeochemical parameters and dissolved organic matter (DOM) composition in ground ice samples. IWs formed in the Late Pleistocene under the coldest winter conditions and in the Holocene in proximity to the sea. The Holocene IWs have the highest mean d-excess (11–13‰) and a heavier isotope composition by an average of 6‰ compared with the Late Pleistocene IWs. We observe predominance of sea-salt fractions in ion composition of the Holocene IWs, while the Late Pleistocene IW shows enrichment in non-sea-salt component of SO42− (nssSO42−), which is probably associated with mineral leaching of deposits. Higher dissolved organic carbon (DOC) content in the Late Pleistocene IW (to 17.7 mg/L) may indicate more favorable vegetation conditions or lower degree of organic matter mineralization compared to Holocene IWs and TGI. CH4 concentrations were relatively low with a maximum value of 2.27 μmol/L. DOM composition, supposed to record the paleoenvironment of the freezing process, was for the first time tried as a biomarker for paleoenvironmental reconstructions of ground ice formation. Parallel factor (PARAFAC) analysis of EEM (Excitation-Emission matrix) of fluorescent DOM decomposes four components: P1–P3, which are related to allochthonous humic-like constituents, and P4, which is relevant to autochthonous fraction associated with microbial activity. The distribution of fluorescent DOM tracked the variability in both paleoclimate conditions of the IW formation (discriminating the Holocene and the Late Pleistocene IWs) and types of ground ice (IW and TGI), which demonstrates the potential of the used approach. Full article
(This article belongs to the Special Issue Permafrost Landscape Response to Global Change)
Show Figures

Figure 1

18 pages, 3138 KB  
Article
Seasonal Variations of Dissolved Organic Matter in Urban Rivers of Northern China
by Yanan Wen, Min Xiao, Zhaochuan Chen, Wenxi Zhang and Fujun Yue
Land 2023, 12(2), 273; https://doi.org/10.3390/land12020273 - 18 Jan 2023
Cited by 20 | Viewed by 4686
Abstract
Dissolved organic matter (DOM) is ubiquitously present in aquatic environments, playing an important role in the global carbon cycle and water quality. It is necessary to reveal the potential sources and explore spatiotemporal variation of DOM in rivers, especially in urban zones impacted [...] Read more.
Dissolved organic matter (DOM) is ubiquitously present in aquatic environments, playing an important role in the global carbon cycle and water quality. It is necessary to reveal the potential sources and explore spatiotemporal variation of DOM in rivers, especially in urban zones impacted by human activities. It was designed to aim to explore spatiotemporal variations of DOM in urban rivers and ascertain the influencing factors. In this study, dissolved organic carbon (DOC) concentrations, UV-Vis absorption spectroscopy, and 3D fluorescence spectroscopy combined with parallel factor analysis were utilized to characterize DOM composition in urban rivers (the Jiyun, Chaobai, and Yongding rivers) in Tianjin city, northern China. The results showed that DOC (1.28 to 25.85 mg·L−1), generally, was at its highest level in spring, followed by summer, and lowest in autumn and winter, and that the absorption parameters E250:365 (condensation degree/molecular weight, 7.88), SUVA254 (aromaticity, 3.88 L mg C−1 m−1), a355 (content of chromophores, 4.34 m−1), a260 (hydrophobicity, 22.02 m−1), and SR (molecular weight, 1.08) of CDOM (chromophoric DOM) suggested that DOM is mainly composed of low-molecular-weight fulvic acid and protein-like moieties, and had the capability of participating in pollutant migrations and transformations. The results demonstrated significant seasonal differences. Generally, high DOC content was detected in rivers in urban suburbs, due to anthropogenic inputs. Three fluorescence components were identified, and the fluorescence intensity of the protein class reached the highest value, 294.47 QSU, in summer. Different types of land use have different effects on the compositions of riverine DOM; more protein-like DOM was found in sections of urban rivers. The correlation between DOC concentration and the CDOM absorption coefficient was found to be unstable due to deleterious input from industrial and agricultural wastewater and from domestic sewage from human activities. HIX and BIX elucidated that the source of CDOM in three river watersheds was influenced by both terrestrial and autochthonous sources, and the latter prevailed over the former. Geospatial data analysis indicated that CDOM in autumn was sourced from plant detritus degradation from forest land or from the urban green belt; construction land had a great influence on DOC and CDOM in riparian buffer areas. It was revealed that DOM in the watershed is highly impacted by nature and human activities through land use, soil erosion, and surface runoff/underground percolation transport; domestic sewage discharge constituted the primary source and was the greatest determiner among the impacts. Full article
Show Figures

Figure 1

16 pages, 4189 KB  
Article
Spatiotemporal Variation of Riverine Dissolved Organic Matter Degradation Based on EEMs-PARAFAC: A Case Study of Shili River in Jiujiang, Jiangxi Province, China, as a Typical Demonstration City of the Yangtze River protection Strategy
by Xiaxia Li, Keting Yuan, Beibei Chai, Jianghai Chen, Ruihong Chen, Xiang Chen, Aiqing Kang, Ming Li and Xiaohui Lei
Water 2023, 15(1), 33; https://doi.org/10.3390/w15010033 - 22 Dec 2022
Cited by 4 | Viewed by 2776
Abstract
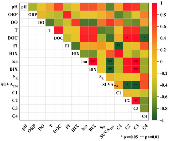
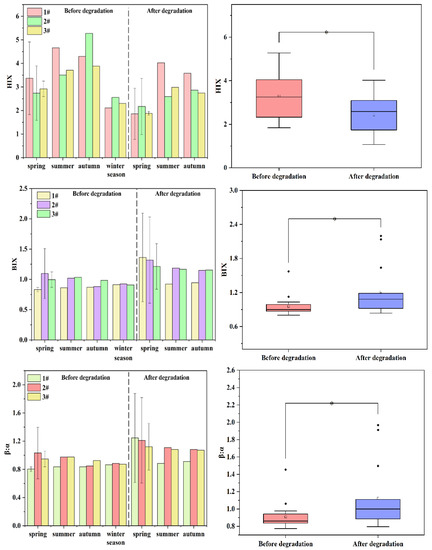
This study investigated the spatio-temporal distribution of dissolved organic matter (DOM) composition and its sources before and after degradation in the Shili River watershed in Jiujiang (China). Spatio-temporal variation of riverine DOM water samples before and after five days of degradation in a [...] Read more.
This study investigated the spatio-temporal distribution of dissolved organic matter (DOM) composition and its sources before and after degradation in the Shili River watershed in Jiujiang (China). Spatio-temporal variation of riverine DOM water samples before and after five days of degradation in a simulated channel was characterized by spectral feature analysis using three-dimensional excitation-emission matrix fluorescence spectroscopy coupled with parallel factor analysis. Across all water samples (#1,#2 and #3) before and after degradation, a total of four fluorescent components in DOM were identified: C1, C2, C3, and C4. The aromaticity index (SUVA254) was negatively correlated with the C2 and C3 components and biological index (BIX) and freshness index (β:α), but it had little correlation with the humification index (HIX). The greater the aromaticity of DOM in water, the lower the proportion of recently produced DOM and its biological activity. The C3 component had a strong positive correlation with BIX, β:α, and C2. The results suggested that C2 and C3 were derived from the same substances. According to the fluorescence parameters, DOM was dominated by autochthonous contributions. The fluorescence intensity of DOM increased gradually along the direction of water flow. The increase of water temperature in spring and autumn enhanced the endogenous level of DOM. The levels and fluctuations of BIX and β:α in different seasons and different sampling points were basically consistent. DOC concentration does not fully represent the localized nature of the DOM. The analysis of some fluorescence parameters and light absorption parameters showed that the DOM source was more internal than terrestrial. This study reveals the composition, source and temporal and spatial characteristics of DOM in the Shili River Basin, which has theoretical guiding significance for water environment management. Full article
(This article belongs to the Section Wastewater Treatment and Reuse)
Show Figures

Figure 1

21 pages, 1707 KB  
Review
Lateral Export and Sources of Subsurface Dissolved Carbon and Alkalinity in Mangroves: Revising the Blue Carbon Budget
by Daniel M. Alongi
J. Mar. Sci. Eng. 2022, 10(12), 1916; https://doi.org/10.3390/jmse10121916 - 6 Dec 2022
Cited by 32 | Viewed by 5894
Abstract
Mangroves are carbon-rich ecosystems that store large quantities of carbon, mostly in soils. Early carbon (C) budgets indicated that >50% of mangrove C fixation was unaccounted for. This ‘missing C’ has now been discovered to be a large release (423 Tg C a [...] Read more.
Mangroves are carbon-rich ecosystems that store large quantities of carbon, mostly in soils. Early carbon (C) budgets indicated that >50% of mangrove C fixation was unaccounted for. This ‘missing C’ has now been discovered to be a large release (423 Tg C a−1) of porewater dissolved DIC (dissolved inorganic carbon), dissolved organic carbon (DOC), and total alkalinity (17 TMOL a−1) via lateral export derived from bacterial decomposition of soil organic matter. This large export originates from DIC produced over at least a 1.0–1.5 m soil profile (280–420 Tg C a−1) via decomposition of autochthonous and allochthonous inputs and/or likely mineralization in deep (≥1 m) ancient soils. DOC and DIC export from mangroves equate to 41% and ≈100% of export from the world’s tropical rivers, respectively. A newly revised blue carbon budget for the world’s mangroves indicates a mean ecosystem gross primary production (GPPE) to ecosystem respiration (RE) ratio of 1.35 and a net ecosystem production (NEP) of 794 g C m−2 a−1 (= global NEP of 117 Tg C a−1), reflecting net autotrophy. CORG burial is 5% and 9% of GPPE and NEPE, respectively. Mean RE/GPPE is 0.74 and carbon use efficiency averages 0.57, higher than for tropical humid forests (0.35). Full article
(This article belongs to the Special Issue Chemical Oceanography Reviews)
Show Figures

Figure 1

30 pages, 4520 KB  
Article
The Seasonal Dynamics of Organic and Inorganic Carbon along the Tropical Usumacinta River Basin (Mexico)
by Ismael Soria-Reinoso, Javier Alcocer, Salvador Sánchez-Carrillo, Felipe García-Oliva, Daniel Cuevas-Lara, Daniela Cortés-Guzmán and Luis A. Oseguera
Water 2022, 14(17), 2703; https://doi.org/10.3390/w14172703 - 30 Aug 2022
Cited by 18 | Viewed by 6297
Abstract
Rivers are important sites for carbon (C) transport and critical components of the global C cycle that is currently not well constrained. However, little is known about C species’ longitudinal and temporal changes in large tropical rivers. The Usumacinta River is Mexico’s main [...] Read more.
Rivers are important sites for carbon (C) transport and critical components of the global C cycle that is currently not well constrained. However, little is known about C species’ longitudinal and temporal changes in large tropical rivers. The Usumacinta River is Mexico’s main lotic system and the tenth largest in North America. Being a tropical river, it has a strong climatic seasonality. This study aims to evaluate how organic (DOC and POC) and inorganic (DIC and PIC) carbon change spatially and seasonally along the Usumacinta River (medium and lower basin) in rainy (RS-2017) and dry (DS-2018) seasons and to estimate C fluxes into the southern Gulf of Mexico. Concentrations of DOC, POC, DIC, and PIC ranged from 0.88 to 7.11 mg L−1, 0.21 to 3.78 mg L−1, 15.59 to 48.27 mg L−1, and 0.05 to 1.51 mg L−1, respectively. DOC was the dominant organic species (DOC/POC > 1). It was ~doubled in RS and showed a longitudinal increase, probably through exchange with wetlands and floodplains. Particulate carbon showed a positive relationship with the total suspended solids, suggesting that in RS, it derived from surface erosion and runoff in the watershed. DIC is reported for the first time as the highest concentration measured in tropical rivers in America. It was higher in the dry season without a longitudinal trend. The C mass inflow–outflow balance in the RS suggested net retention (DOC and POC sink) in floodplains. In contrast, in the DS, the balance suggested that floodplains supply (C source) autochthonous DOC and POC. The lower Usumacinta River basin is a sink for DIC in both seasons. Finally, the estimated annual C export for the Usumacinta-Grijalva River was 2.88 (2.65 to 3.14) Tg yr−1, of which DIC was the largest transported fraction (85%), followed by DOC (10%), POC (4%), and PIC (<1%). This investigation is the first to present the C loads in a Mexican river. Full article
(This article belongs to the Special Issue Recent Progress in CO2 Emission from the World’s Rivers)
Show Figures

Figure 1

13 pages, 743 KB  
Article
Copper Distribution and Binding Affinity of Size-Fractioned Humic Substances Taken from Paddy Soil and Correlation with Optical Characteristics
by Wei-Hsiang Huang, Tzu-Che Lin, Chao-Min Huang, Ting-Chien Chen and Yi-Lung Yeh
Agronomy 2022, 12(7), 1689; https://doi.org/10.3390/agronomy12071689 - 16 Jul 2022
Cited by 8 | Viewed by 2448
Abstract
Soil organic matter (SOM) is heterogeneous and a complex mixture, whose concentration, chemical composition, and structure are strongly associated with the binding behavior of heavy metals (HMs) in soil. The HM-SOM binding affinity affects the HM biotoxicity and bioavailability in the environment. This [...] Read more.
Soil organic matter (SOM) is heterogeneous and a complex mixture, whose concentration, chemical composition, and structure are strongly associated with the binding behavior of heavy metals (HMs) in soil. The HM-SOM binding affinity affects the HM biotoxicity and bioavailability in the environment. This study investigated Cu’s distribution and binding affinity on five size-fractioned alkaline-extracted soil organic matters (AEOMs) taken from paddy fields. The fractioned AEOMs were M-A (100 kDa −0.45 μm), M-B (3–100 kDa), M-C (1–3 kDa), M-D (0.3–1.0 kDa), and M-E (<0.3 kDa). The average organic carbon (OC) mass percentages were 10.0, 40.3, 6.3, 5.0, and 38.4%, and Cu mass percentages were 9.8, 66.7, 4.7, 4.7, and 14.1% for fractioned M-A, M-B, M-C, M-D, and M-E solutions, respectively. The Cu and AEOM binding affinity, [Cu]/[DOC] ratios, ranged from 3.1 to 127.6 μmol/g-C with 41-fold variation. The ratio order was 63.5 ± 32.3 (M-B) > 32.8 ± 12.8 (M-A) > 28.0 ± 10.5 (M-D) > 24.25 ± 10.7 (M-C) > 12.5 ± 6.0 (M-E) μmol g-C−1. Cu preferred binding with size-fractioned AEOMs ranging from 3 to 100 kDa. The specific ultraviolet absorbance at 254 nm (SUVA254), the fluorescence index (FI), and the biological index (BIX) were significantly correlated with the [Cu]/[DOC] ratios. In each site, the combined bulk and the five size-fractioned AEOMs, the selected optical indicators had a significant correlation with the corresponding [Cu]/[DOC] ratios. Cu-AEOM binding affinity was enhanced by AEOM rich in aromaticity. However, high microbial and autochthonous AEOM origins decreased the binding affinity. Full article
Show Figures

Figure 1

21 pages, 6086 KB  
Article
Dissolved Organic Carbon Source Attribution in the Changjiang Outflow Region of the East China Sea
by Xiaoyu Zhang, Yong Du, Zhihua Mao, Lei Bi, Jianyu Chen, Haiyan Jin and Shuchang Ma
Sensors 2021, 21(24), 8450; https://doi.org/10.3390/s21248450 - 17 Dec 2021
Cited by 4 | Viewed by 3871
Abstract
The variable optical properties of chromophoric dissolved organic matter (CDOM) under the complicated dynamic marine environment make it difficult to establish a robust inversion algorithm for quantifying the dissolved organic carbon (DOC). To better understand the main factors affecting the relationship between the [...] Read more.
The variable optical properties of chromophoric dissolved organic matter (CDOM) under the complicated dynamic marine environment make it difficult to establish a robust inversion algorithm for quantifying the dissolved organic carbon (DOC). To better understand the main factors affecting the relationship between the DOC and the CDOM when the Changjiang diluted water (CDW) interacts with the marine currents on the wide continental shelf, we measured the DOC concentration, the absorption, and the fluorescence spectra of the CDOM along the main axis and the northern boundary of the CDW. The sources of DOC and their impacts on the relationship between the optical properties of the DOC and CDOM are discussed. We reached the following conclusions: There are strong positive correlations between the absorptive and fluorescent properties of the DOC and the CDOM as a whole. The dilution of the terrestrial DOC carried by the CDW through mixing with saline sea water is the dominant mechanism controlling the characteristics of the optical properties of the CDOM. CDOM optical properties can be adopted to establish inversion models in retrieving DOC in Changjiang River Estuary. It is concluded that the introduction of extra DOC from different sources is the main factor causing the regional optical complexity leading to the bias of DOC estimation rather than removal mechanism. As whole, the input of polluted water from Huangpujiang River with abnormally high a(355) and Fs(355) will induce the overestimation of DOC. In the main axis of CDW, the impact from autochthonous DOC input to the correlation between DOC and CDOM can be neglected in comparison with conservative dilution procedure. The relationship between the DOC and the CDOM on the northern boundary of the CDW is more complicated, which can be attributed to the continuous input of terrestrial material from the Old Huanghe Delta by the Subei Coastal Current, the input of materials from the Yellow sea by the Yellow Sea Warm Western Coastal Current, and the input of materials from the Changjiang Basin by the CDW. The results of this study suggest that long-term observations of the regional variations in the DOM inputs from multiple sources in the interior of the CDW are essential, which is conducive to assess the degree of impact to the DOC estimation through the CDOM in the East China Sea. Full article
(This article belongs to the Special Issue Sensors and Data Analysis Applied in Environmental Monitoring)
Show Figures

Figure 1

20 pages, 3141 KB  
Article
Factors Governing Biodegradability of Dissolved Natural Organic Matter in Lake Water
by Camille Crapart, Tom Andersen, Dag Olav Hessen, Nicolas Valiente and Rolf David Vogt
Water 2021, 13(16), 2210; https://doi.org/10.3390/w13162210 - 13 Aug 2021
Cited by 9 | Viewed by 5104
Abstract
Dissolved Natural Organic Matter (DNOM) is a heterogeneous mixture of partly degraded, oxidised and resynthesised organic compounds of terrestrial or aquatic origin. In the boreal biome, it plays a central role in element cycling and practically all biogeochemical processes governing the physico-chemistry of [...] Read more.
Dissolved Natural Organic Matter (DNOM) is a heterogeneous mixture of partly degraded, oxidised and resynthesised organic compounds of terrestrial or aquatic origin. In the boreal biome, it plays a central role in element cycling and practically all biogeochemical processes governing the physico-chemistry of surface waters. Because it plays a central role in multiple aquatic processes, especially microbial respiration, an improved understanding of the biodegradability of the DNOM in surface water is needed. Here the current study, we used a relatively cheap and non-laborious analytical method to determine the biodegradability of DNOM, based on the rate and the time lapse at which it is decomposed. This was achieved by monitoring the rate of oxygen consumption during incubation with addition of nutrients. A synoptic method study, using a set of lake water samples from southeast Norway, showed that the maximum respiration rate (RR) and the normalised RR (respiration rate per unit of carbon) of the DNOM in the lakes varied significantly. This RR is conceived as a proxy for the biodegradability of the DNOM. The sUVa of the DNOM and the C:N ratio were the main predictors of the RR. This implies that the biodegradability of DNOM in these predominantly oligotrophic and dystrophic lake waters was mainly governed by their molecular size and aromaticity, in addition to its C:N ratio in the same manner as found for soil organic matter. The normalised RR (independently of the overall concentration of DOC) was predicted by the molecular weight and by the origin of the organic matter. The duration of the first phase of rapid biodegradation of the DNOM (BdgT) was found to be higher in lakes with a mixture of autochthonous and allochthonous DNOM, in addition to the amount of biodegradable DNOM. Full article
(This article belongs to the Special Issue Freshwater Ecosystems under Anthropogenic Stress)
Show Figures

Figure 1

Back to TopTop