Abstract
This study investigated the spatio-temporal distribution of dissolved organic matter (DOM) composition and its sources before and after degradation in the Shili River watershed in Jiujiang (China). Spatio-temporal variation of riverine DOM water samples before and after five days of degradation in a simulated channel was characterized by spectral feature analysis using three-dimensional excitation-emission matrix fluorescence spectroscopy coupled with parallel factor analysis. Across all water samples (#1,#2 and #3) before and after degradation, a total of four fluorescent components in DOM were identified: C1, C2, C3, and C4. The aromaticity index (SUVA254) was negatively correlated with the C2 and C3 components and biological index (BIX) and freshness index (β:α), but it had little correlation with the humification index (HIX). The greater the aromaticity of DOM in water, the lower the proportion of recently produced DOM and its biological activity. The C3 component had a strong positive correlation with BIX, β:α, and C2. The results suggested that C2 and C3 were derived from the same substances. According to the fluorescence parameters, DOM was dominated by autochthonous contributions. The fluorescence intensity of DOM increased gradually along the direction of water flow. The increase of water temperature in spring and autumn enhanced the endogenous level of DOM. The levels and fluctuations of BIX and β:α in different seasons and different sampling points were basically consistent. DOC concentration does not fully represent the localized nature of the DOM. The analysis of some fluorescence parameters and light absorption parameters showed that the DOM source was more internal than terrestrial. This study reveals the composition, source and temporal and spatial characteristics of DOM in the Shili River Basin, which has theoretical guiding significance for water environment management.
    1. Introduction
Dissolved organic matter (DOM) accounts for the largest proportion of organic carbon in the global water environment []. DOM comprises a mixture of natural organic compounds varying in structure and molecular size [], components that are usually protein-like and humic-like [] and widely occurring in all aquatic ecosystems []. Because carbon forms the skeleton of DOM and constitutes more than half of its mass, the concentration of dissolved organic carbon (DOC) is often used to infer the DOM content. Common techniques for investigating DOM include parallel factor analysis (PARAFAC), ultraviolet-visible (UV-Vis) spectroscopy, and synchronous fluorescence spectroscopy. For water environments, one suitable technique is to analyze the water quality and organic pollutant sources in the study area via the spectral features of DOM [].
Cities perform multiple functions, such as supplying water, diverting water, storing water, regulating the local climate, and beautifying the urban environment. But their discharge of municipal sewage into different water bodies can cause drastic changes to urban biodiversity and the water environment []. This impact also alters DOM’s composition and sources in urban water bodies, thereby influencing the biogeochemical cycling of carbon in river systems. Accordingly, the better governance and protection of urban river water environments has become the top priority of current ecological urban construction. To date, some research progress has been made regarding both the quantity and quality of riverine DOM under the influence of urbanization [,,,]. For example, Chen et al. studied the seasonal variation of DOM spectra in Taohua Creek and Puli River in the Three Gorges Reservoir Area of China, by using UV-Vis absorption spectroscopy coupled with three-dimensional excitation-emission matrices fluorescence spectroscopy (EEMs) []. They uncovered distinct autochthonous characteristics of DOM in these two rivers during spring and summer. Additionally, Bao et al. investigated the association between the seasonal variation of DOM and the release of autochthonous nutrients in an annual cycle of cyanobacteria in Chaohu Lake (Anhui Province, China), finding that nutrients were released by the degradation of DOM, which drove continuous cyanobacterial growth in lake water []. Further, using EEMs-PARAFAC to explore the transformation of DOM, Yang et al. found that a novel anaerobic filter could efficiently remove DOM in polluted water of urban rivers under normal temperature conditions with a hydraulic retention time of 24 h [].
According to China’s Yangtze River protection strategy, certain cities in the Yangtze River Economic Zone have carried out the pilot work to jointly protect their water supply and people’s health. A comprehensive pollution control model, centered on “integrating sewage treatment plants, drainage pipe networks, and urban rivers, lakes, and banks”, has been implemented. At its core are river and lake water quality improvements, with the total amount of pollutants entering the river and lake bodies strictly controlled. Jiujiang is among the first group of such pilot cities, in which the Shili River is a major supply of water running through the central urban area. Hence, the Shili River was chosen here as an exemplar and EEMs-PARAFAC applied to analyze the spectral features and chemical diversity of riverine DOM degradation in water. On this basis, spatio-temporal patterns of variation in DOM’s composition and sources before and after its degradation were elucidated. This is of great significance for improving the water environment quality of Jiujiang by controlling the source, and assessing the environmental capacity of Shili River basin, helping the Yangtze River protection “one city, one policy”, and providing theories and basis for the restoration and improvement of ecological environment.
2. Materials and Methods
2.1. Study Area
Shili River is an urban river running through Jiujiang (113°56′–116°54′ E, 28°41′–30°05′ N) in Jiangxi Province, China (Figure 1). This river lies in a region with a subtropical humid climate with a mean annual temperature of 16–17 °C. The river originates from the northern foot of Lushan Mountains and flows through densely populated areas of the city and into Bali Lake, encompassing a drainage area of ~19.5 km2. The river’s length is 12.9 km and the weighted mean slope of its river course is 29.34‰. Combined and separate pipe networks coexist in the watershed. A portion of sewage is transported to Hewen Lake Sewage Treatment Plant via the sewage interception trunk canal along the river; another portion is directly discharged into two rivers (i.e., Shili River and Lianxi River). The rainwater mainly flows into the nearest river.
 
      
    
    Figure 1.
      Distribution map of the Shili River Basin and sampling points.
  
2.2. Sample Collection and Determination
Taking into account the actual field conditions, three sampling points, #1, #2, and #3, were established, respectively, in the upstream, midstream, and downstream segments of the Shili River watershed (Figure 1). Representative sampling points in the upper, middle and lower reaches of the basin were selected, respectively. The upper reaches were less affected by human activities, the middle reaches were more affected by human factors, and the lower reaches merged into lakes and were closely related to the water quality of the lakes. At each sampling point, water samples were collected in December 2020 and in March, June, and September of 2021. The total number of samples was 18. The original water samples (excluding those collected in December) were allowed to stand in a simulated river channel environment for 5 days, in order to obtain degraded water samples. The only difference between the simulated channel and the test channel was that there was no velocity in the former. The range of PH before and after degradation was 6.54–8.23 and 6.56–8.18. The range of DO before and after degradation was 6.54–8.23 mg/L and 6.56–8.18 mg/L. The range of water temperature before and after degradation was 6.54–8.23 °C and 6.56–8.18 °C. When field sampling, in situ measurements of key water quality parameters—temperature, pH, dissolved oxygen (DO), and oxidation-reduction potential (ORP)—were carried out using a multiparameter water quality meter (HI98194; Hanna, Romania). In addition, DOC was measured using a total organic carbon analyzer (TOC-L CPN, Shimadzu, Kyoto, Japan).
2.3. Spectral Measurement and Parallel Factor Analysis
The EEMs spectra of DOM were measured using a fluorescence spectrophotometer (RF-6000; Shimadzu). Before each measurement, the samples containing at least 8 mg/L DOC were diluted with Milli-Q water to 8 mg/L DOC, in order to eliminate the internal filter effect. Mill-Q ultrapure water served as a blank sample. All measurements were done at a scanning speed of 2000 nm/min, with wavelength ranges of 200–400 nm for excitation (Ex) and 250–450 nm for emission (Em), and a wavelength interval of 5 and 2 nm, respectively. The maximum fluorescence intensity of DOM fluorescence component (FMAX), is expressed in R.U.
The fluorescence index (FI) [] is the ratio of fluorescence intensity at Ex = 370 nm to Em = 470–520 nm, which characterizes the degradation level and source of DOM in water; an FI > 1.9 indicates that DOM is mainly derived from autochthonous (biological) sources; conversely, an FI < 1.4 indicates it is chiefly derived from allochthonous (terrestrial) sources []. The humification index (HIX) [] describes the degree of humification. When Ex = 254 nm, the integral value of Em in the region between 435 nm and 480 nm is divided by Em integral values in the region between 300 nm and 345 nm; an HIX > 10 indicates considerable humification of DOM, which is dominated by terrigenous sources; an HIX < 4 indicates weak humic characteristics of DOM, indicating that this sample is derived mainly from autochthonous sources [,]. The biological index (BIX) [] quantifies the relative contribution of autochthonous sources to DOM and the latter’s bioavailability level. A ratio of fluorescence intensity at Em = 380 nm to Em = 430 nm for Ex = 310nm; BIX > 1 indicates a major contribution of recent autochthonous sources, and BIX = 0.6–0.7 indicates a minor contribution of autochthonous sources []. SUVA254 can reliably indicate the aromatization degree of DOM’s molecular structure and is an effective proxy for aromatic content []. SR provides information on DOM’s sources and molecular weights. It is the ratio of the spectral slope S275–295 to S350–400.The SR value is negatively correlated with the molecular weight of DOM; hence, the lower the SR value, the stronger the terrestrial characteristics of DOM. In terms of cut-offs, DOM is mainly derived from allochthonous sources at SR < 1, and from autochthonous sources at SR > 1 [,]. The freshness index (β:α) conveys the proportion of recently produced DOM [].
Three technical parallel and distilled water standard samples were obtained to meet the requirements of parallel factor analysis. PARAFAC is based on a mathematical model that applies the alternating least-squares method to the 3D data analysis. This technique reduces the dimensions of multiple EEMs. An EEM analysis was implemented here using the DOMFluor toolbox in Matlab 2018b (The MathWorks Inc., Natick, MA, USA) to determine the optimal number of fluorescent components in DOM, as well as the maximum fluorescence intensity (FMAX) of each component [,].
2.4. Data Analysis
Arc GIS v10.2 (ESRI Inc., Redlands, CA, USA) was used to draw the distribution map of the sampling points. Data processing and analysis were implemented using Origin 2022 (student version; OriginLab Corp., Northampton, MA, USA) and Excel 2016 (Microsoft Corp., Redmond, WA, USA).
3. Results
3.1. Spatiotemporal Variation of Water Environmental Parameters
During the sampling period, the autumn water temperature of all sampling sites before and after degradation was >25.00 °C. The water temperature before degradation was lower in summer than in autumn, while the water temperature after degradation was higher in summer than in autumn. Spring water temperatures varied between 17.78 and 20.95 °C, whereas winter water temperatures ranged lower, from 10.59 to 13.84 °C. The pH range was 6.54–8.23 before degradation and 6.56–8.18 after degradation; the pH values were weakly alkaline, with minor fluctuations in their spatial distribution. Before degradation, DO concentrations spanned 5.08 to 15.63 mg/L, whereas after degradation, the DO concentrations were 6.95–10.48 mg/L. Irrespective of degradation, the maximum values of DO concentrations, respectively, occurred in winter, indicating a high DO level in winter. Spatially, the DO concentrations tended to decline from the upstream to downstream segments. The monthly mean DO concentrations at the three sampling points all exceeded the class III surface water quality criterion (=5 mg/L), indicating good water quality. The ORP levels before degradation ranged from 23.6 to 98.9 mV, whereas after degradation, they were much higher, between 50.7 and 105.8 mV. The increase of dissolved oxygen after degradation was due to the fact that the experimental system was open and the oxygen in the air was exchanged and supplemented by the sample. The measurement error occurred when ORP changed greatly. Detailed water environment parameters data were provided in Table S1 of the Supplementary Materials.
3.2. Spatio-Temporal Variation in DOC Concentrations
Figure 2 shows the spatio-temporal variation of DOC concentrations in the Shili River before and after DOM degradation. Before degradation, the DOC value of #1 was the highest in summer (3.60mg/L) and the lowest in autumn (1.22mg/L). The DOC value of # 2 was similar in spring and summer, with the lowest value in autumn (1.43mg/L). The DOC value of #3 was the highest in winter (4.41mg/L) and the lowest in summer (1.39mg/L). There is no obvious law governing these spatial findings. After degradation, the DOC values of time #1 and #2 were the largest in summer, and the DOC values of #3 were the largest in winter (3.73mg/L). Spatially, the DOC values of three sampling points in summer were similar, and the DOC values of #3 were the largest in spring and autumn. Evidently, at point #1 (upstream), the DOC concentration in summer was lower after degradation (2.66 mg/L) than before degradation (3.59 mg/L), whereas during the other seasons, higher DOC concentrations were observed after degradation. At point #2 (midstream), no distinct variation of DOC concentrations in relation to degradation was observed during April; however, in spring, the DOC concentration was lower after degradation (2.01 mg/L) than before it (2.15mg/L), but vice versa in other months. At point #3 (downstream), the DOC concentrations in different seasons were all greater after versus before degradation, and the variation was most pronounced in autumn. Overall, there were higher DOC concentrations after degradation than before degradation in most seasons of river sampling. DOC concentrations increased with the direction of water flow in autumn and decreased in summer before and after degradation. DOC concentration increased after degradation, but the spatio-temporal difference was more significant before degradation. Detailed data are provided in Table S2 of the Supplementary Materials.
 
      
    
    Figure 2.
      Spatial and temporal changes in DOC in Ten Mile River before and after degradation. Right panel: The box-plot consists of five numerical points: minimum observation (bottom edge), 25% quantile (Q1), median, 75% quantile (Q3), and maximum observation (top edge).
  
3.3. Uv-Vis Absorption Spectra of DOM
Variation in the aromaticity index (specific UV absorbance at 254 nm, SUVA254) and the absorption index (spectral slope ratio, SR) of DOM (before and after degradation) is presented in Figure 3 and Figure 4, respectively.
 
      
    
    Figure 3.
      Spatial-temporal variation of SR in the Shili River before and after degradation. Right panel: The box-plot consists of five numerical points, minimum observation (bottom edge), 25% quantile (Q1), median, 75% quantile (Q3), and maximum observation (top edge). In the box-plot significance analysis, a * means it is significant at the 0.05 alpha level.
  
 
      
    
    Figure 4.
      Temporal and spatial changes of SUVA254 of the Shili River before and after degradation. Right panel: The box-plot consists of five numerical points, minimum observation (bottom edge), 25% quantile (Q1), median, 75% quantile (Q3), and maximum observation (top edge).
  
The changes of SUVA254 values were consistent before and after degradation. Temporally, at point 1# (upstream), the SUVA254 values peaked in autumn. Spatially, the SUVA254 values across space were ranked as follows: up-stream > middle > downstream in autumn, yet in spring and summer the inverse trend was observed. At point #1 (upstream), the variation of the SUVA254 before and after degradation was most prominent, i.e., 4.63 L/(mg·m) versus 2.53 L/(mg·m), this indicating that the aromatic content was reduced by natural degradation. At point #2 (midstream), the SUVA254 values were all lower after degradation than before it, still showing prominent variation in autumn. At point #3 (downstream), the SUVA254 values in summer varied distinctly before and after degradation, indicating that natural degradation preferentially removed aromatic chromophores and aromatic compounds. Temporally, the SUVA254 values before degradation differed markedly between summer and autumn. Detailed data are provided in Table S2 of the Supplementary Materials.
Before degradation, SR values of 1# were spring > summer > autumn, while SR values of #2 and #3 were spring < summer < autumn. After degradation, the SR values of #2 and #3 in spring > summer > autumn. Spatially, the SR value in autumn decreased with the change of water flow direction. The SR concentration in summer increased with the direction of water flow before and after degradation. Mean values of SR in different months before and after degradation were always >1. This phenomenon was starkest in the midstream during September, before degradation, and in the upstream and downstream segments after degradation. After degradation, SR was the largest in spring. Levels in spring and summer were higher than those obtained before degradation. The spatial and temporal difference of SR before and after degradation was significant, but not SUVA254. Detailed data were provided in Table S2 of the Supplementary Materials.
3.4. 3-D Fluorescent Components of DOM
Figure 5 shows the 3D fluorescence spectra of four effective fluorescent components (C1 to C4) in DOM, as identified by PARAFAC, and the distribution of their maximum excitation/emission wavelengths in water samples before versus after degradation. The strong fluorescence peak of component C1 at Ex = 255 nm and Em = 420 nm appeared at a position similar to the terrestrial humic-like fluorescence peak A [], which mainly corresponds to short-wavelength fulvic-like substances. It is a comprehensive product of terrigenous input, microbial activity and photochemical oxidation process [,]. The maximum excitation and emission wavelengths of component C2 were Ex = 230 nm and Em = 342 nm, respectively, whose maximum peak lay close to that of the protein-like fluorescence peak T2 []. This fluorescent component was similar to the tryptophan-like spectral peak, representing short-wavelength tryptophan-like substances in water and fluorescent substances arising mainly from autochthonous inputs. Component C3 had its maximum excitation wavelength at Ex = 295 nm, with maximum emission wavelengths at Em = 338 and 342 nm, close to the position of the protein-like fluorescence peak T1 [], which mainly denotes tryptophan-like substances. Tryptophan-like components were mainly produced by biological activities in water, which sufficiently indicates the autogenesis process of water, and they have a high degree of freshness. At the same time, some studies had pointed out that tryptophan-like components were also contained in human sewage wastewater []. In the fluorescence spectra of component C4, the maximum excitation/emission wavelengths were Ex/Em = 225 nm/290 nm, which corresponded to the fluorescence peak B1, representing protein-like components (i.e., tyrosine-like substances in the low-excitation region []). These levels were mainly produced by biological activities, indicating the autogenesis of DOM []. The fluorescence intensities of the four components varied differently before and after degradation (Figure 6). Yet C1 showed little difference in its fluorescence intensity with respect to degradation, in contrast to that of C2–C4, all of which increased after DOM degradation occurred.
 
      
    
    Figure 5.
      Output and verification results of the PARAFAC model of the DOM component fluorescence spectrogram: (A) before degradation; (B) fluorescence loading; and (C) after degradation. (A,C): PARAFAC model output for fluorescent components: C1, short-wavelength fulvic-like substances (terrestrial humic-like fluorescence peak A); C2, short-wavelength tryptophan-like substances (protein-like fluorescence peak T2); C3, tryptophan-like substances (protein-like fluorescence peak T1); and C4, tyrosine-like substances (protein-like fluorescence peak B1). (B): Load verification results corresponding to the components; left peak: excitation wavelength load, right peak: emission wavelength load.
  
 
      
    
    Figure 6.
      EEMs, maximum excitation/emission wavelength, and proportion of components before and after degradation in the Shili River (left: before degradation; right: after degradation).
  
Spatio-temporal variation in the four components of DOM before versus after degradation is depicted in Figure 6. The total fluorescence intensity of DOM in the upstream < middle < downstream of the four seasons before and after degradation was consistent with the autumn trend of DOC. DOM fluorescence intensity before degradation was lower than after degradation. In terms of time, the fluorescence intensity was higher in summer before degradation and higher in spring and summer after degradation. The contents of C2 and C3 were the highest in summer before degradation and spring after degradation. The proportion of the humic-like component C1 before degradation was highest during autumn (ranked highest at point #2 in space, 50%), followed by summer (highest at point #1, 48%); the smallest proportion was observed in winter (#2 > #1 > #3). Before degradation, the content of humic-like components was always greatest at point #2 in summer and winter, indicating that the exogenous level of DOM was higher in the middle reaches of summer and winter. After DOM degradation, the proportion of C1 was now highest in summer, followed by autumn; its lowest proportion occurred in spring. For C2, a short-wavelength tryptophan-like T2, its proportions in different seasons before degradation had this ranking: summer > spring > autumn > winter. Excluding autumn, the proportions of C2 in all other seasons were largest at point #2, yet in autumn, C2 had the highest-ranking proportion of #3 (31%). After degradation, it had little variation in space and time, being approximately 30%. The C3 was a tryptophan-like T1, whose lowest proportion showed in spring in different seasons. Compared with other months, the proportion of C3 during spring was larger at point #2 (35%), indicating that microorganisms were also active in the river’s midstream. Finally, C4 was tyrosine-like, also belonging to protein-like components, whose proportions before and after degradation overall were low.
3.5. Fluorescence Parameters of DOM
The temporal and spatial variations of FI, HIX, BIX and β:α in Shili River were shown in Figure 7. Generally, the overall variation in FI was small, and FI values were all relatively high (>1.80), suggesting that the humic component in DOM originated primarily from microbial degradation. Before degradation, the time FI values of the three sampling points were relatively high in autumn and winter, and lower in summer than in other months, because the humic-like components of DOM were greatly affected by the input of terrestrial organic matter, leading to the decrease of FI values. Spatially, FI values after degradation were all upstream < middle < downstream (except in autumn, after degradation). After degradation, the FI values of the three sampling points were the lowest in summer, and the spatial changes of FI values at the sampling sites were consistent with those before degradation. In spring, the FI value fluctuated the most before and after degradation. Spatial variation analysis revealed that p > 0.05 in the significance test. The FI values had minor or negligible differences across the three sampling points, and FI value after degradation was higher than that before degradation. Detailed data are provided in Table S2 of the Supplementary Materials.

 
      
    
    Figure 7.
      Temporal and spatial changes of FI, HIX, BIX, and β:α in the Shili River. Right panel: The box-plot consists of five numerical points, minimum observation (bottom edge), 25% quantile (Q1), median, 75% quantile (Q3), and maximum observation (top edge). In the box-plot significance analysis, a * means it is significant at the 0.05 alpha level.
  
Before degradation, the HIX values of 2# and 3# were in autumn > summer > spring > winter, while the HIX values of 1# were higher in summer than in autumn. Spatially, HIX values in the middle reaches of spring and summer were the smallest, and those in the upper reaches were the largest, while those in the middle reaches of autumn and winter were the largest. After degradation, HIX values of three sampling points in spring were significantly lower than those of the other two seasons. Spatially, upstream HIX values were relatively high in summer and autumn. The HIX values were relatively low (1.86~5.27). Levels varied substantially with time: The HIX value before degradation was higher than that after degradation. The HIX value in the upstream summer and autumn and the middle stream autumn before degradation was higher than 4, and the HIX value after degradation was lower than 4. Significance analysis showed that there was a significant spatio-temporal difference in HIX value before and after degradation, which was lower than that before degradation. Detailed data were provided in Table S2 of the Supplementary Materials.
Before degradation, the BIX values of the three sampling points had little difference in the four seasons, and the BIX values of #1 were spring < summer < autumn < winter. Spatially, the upstream #1 had the lowest BIX value. After degradation, BIX was highest in spring. In general, the BIX values were rather high (all > 0.8). The BIX values before and after degradation did display certain differences across sampling points, being higher after degradation than before it. Spring values were the most prominent. The significance analysis showed that the spatial and temporal difference of BIX value before and after degradation was significant, and the value after degradation was higher than that before degradation. Detailed data are provided in Table S2 of the Supplementary Materials.
Before degradation, the β-α value was higher in spring and summer. Spatially, the β:α values of upstream sampling points were the lowest, and the β:α values of spring sampling points were significantly different. The β:α values of upper, middle and lower reaches were similar in winter. After degradation, the β:α value of the three sampling points in spring was higher than that in summer and autumn, and the spatial β:α value of the three sampling points in summer and the change was consistent: middle > lower > upper reaches. In terms of time, β:α value increased significantly after degradation (the most significant was in spring), indicating that there was a high proportion of newly generated DOM. Significance analysis showed that β:α values were significantly different in time and space before and after degradation, and higher after degradation than before degradation. Detailed data are provided in Table S2 of the Supplementary Materials.
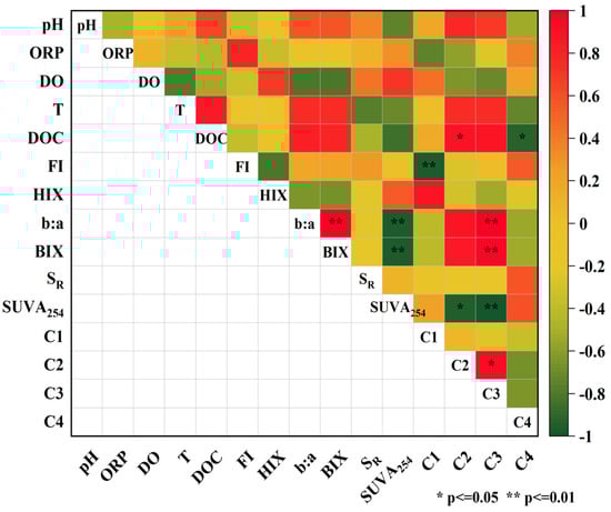
3.6. Relationship between Fluorescent Components and Spectral Features of DOM
To test for correlations between DOM fluorescent components (C1–C4), DOM fluorescence indices, and environmental factors of the Shili River water samples, Pearson’s r coefficient was used (Figure 8). SUVA254 was significantly negatively correlated with C2 and C3 (p-values ≤ 0.05 and 0.01, respectively), and likewise with BIX and β:α (p ≤ 0.01). These relationships indicated that the greater the aromaticity of DOM, the weaker are its autochthonous characteristics, and the lower the proportion and biological activity of recently produced DOM of total DOM. No strong correlation was detected between BIX and HIX. Further, C3 was significantly and positively correlated with BIX and β:α (p ≤ 0.01). Finally, the r-value for the correlation between C2 and C3 was 0.93, implying a strong positive significant relationship (p ≤ 0.05); this suggested these two components were derived from the same substances. DOC was significantly correlated with components C2 and C4.
 
      
    
    Figure 8.
      Correlation between the DOM and environmental parameters.
  
4. Discussion
4.1. Temporal Variation of DOM Sources
DOM is a kind of organic matter, widely existing in surface water, which constitutes most of the DOC in water. Therefore, DOC can be used to characterize the content of DOM in surface water []. The DOC concentration in the river was <1mg/Land>10 mg/L, and the average was about 5.4 mg/L []. DOC concentration in this watershed was below average (<5.4 mg/L). DOC analysis results showed that the DOM content in the Shili River Basin was higher after degradation than before degradation. Considering the analysis of the variation in DOC fluorescent components, that pattern may offer an explanation: the particulate organic carbon in water was transformed into DOC and the resulting rise in DOC concentrations surpassed the amount of DOC that was reduced by degradation. Consequently, DOC concentrations tended to increase after degradation. In general, DOM light-absorption parameters in the Shili River Basin showed that SUVA254 value after degradation < before degradation, SR value (>1) after degradation < before degradation; fluorescence parameters showed that the HIX value (1.86–5.27) before degradation > after degradation, BIX value (>0.8), β:α value > before degradation, which was partially consistent with the results of Chen Xudong et al. []. The above parameters indicate that the autogenesis characteristics of Shili River Basin were weaker before degradation than after degradation.
Bio-geochemical processes such as microbial degradation, photodegradation, and adsorption and desorption of particulate matter are typical processes that affect the composition and biogeochemical activity of DOM in river systems []. Generally speaking, the content and quality of DOC are largely controlled by the microbial and photodegradation of DOM []. DOM has different characteristics at different degradation stages. A longer degradation cycle can decompose the hard-to-degrade substances in DOM, while a shorter degradation cycle can change the relative abundance of different substances in DOM. But the chemical composition in DOM will not be affected by the short-term degradation process []. In summer, SUVA254 values changed significantly before and after degradation, indicating that natural degradation preferentially removed aromatic chromophore and aromatic compounds.
Studies have shown that terrestrial sources of DOM contain more aromatic structures than do autochthonous sources []. The data showed that the concentration of DOC and DOM was the highest in the upper reaches of the Shili River Basin in summer, the middle reaches in spring and autumn, and the lower reaches in summer and autumn. The parameters SR, SUVA254, FI, BIX, β:α showed that the endogenous input was the most obvious, the relative molecular weight of DOM was the largest, and the degree of humification was the weakest in the upper reaches in summer. In terms of the time after degradation, the concentration of DOC and DOM was the highest in the upper and middle reaches of the Shili River Basin in summer and in the lower reaches of the Shili River Basin in autumn. This may have something to do with the high temperature in summer. The endogenous change in the Shili River basin before degradation was less than that after degradation. Studies have shown that high temperature in summer promotes biological metabolism in water, high aquatic bioactivity in summer contributes significantly to endogenous DOM, and high nutrient levels caused by urbanization can promote the production of endogenous organic matter []. Studies have shown that the humification degree of DOM is higher in water bodies with mainly terrigenous input []. This is consistent with the results of this study. It is also consistent with the results obtained by Zhang Ziwei et al. [], who studied the Gangnan Reservoir and showed that the degree of humification of sediment DOM UV-visible spectrum in autumn and winter was lower than that in spring and summer.
4.2. Spatial Distribution of DOM Spectral Features
The values of DOM fluorescence parameters FI, BIX and β:α in the Shili River were the lowest in the upstream, indicating that the upstream was the most significant in space, and the proportion of recent autogenesis was the smallest. The values of FI, SUVA254, and β:α in the downstream areas before and after degradation were the highest, the endogenous levels in the upstream and downstream were the most significant, the degree of humification and aromatization was the largest, and the proportion of recent autogenesis was the largest. Chen Zhaoyu et al. [] studied the DOM of the Three Gorges water body and showed that SUVA254 decreased along the direction of flow, which was consistent with the results of this study. SR showed that the spatial SR value increased along the direction of water flow in summer, that is, the endogenous characteristics increased along the direction of water flow, and the relative molecular weight of DOM decreased along the direction of water flow. Upstream areas are less affected by urbanization, and this study is consistent with the results of Chen Zhaoyu et al. []. After degradation, the light absorption parameters (SR) and partial fluorescence parameters (FI, BIX, β:α) were higher than those before degradation, indicating that the DOM endogenous level of Shili water was higher than that before degradation, while the HIX value after degradation was lower than that before degradation; that is, the DOM humification degree of Shili water was lower than that before degradation. It is consistent with the results of Yamashita et al. ‘s []. research on the stronger aromatic property of DOM in land-borne water. Significance analysis shows that the above parameters of DOM differ significantly in time and space. In general, the variation trends of BIX and β:α were consistent in different months at all sampling sites. In general, the variation trends of BIX and β:α were consistent in different months at all sampling sites. One study showed that the protein-like components of DOM (tryptophan and tyrosine) are often associated with sewage input and biological activity []. The discharge of urban industrial waste water and domestic sewage also promoted the increase of the proportion of tyrosine-like and tryptophan-like components [,]. The proportion of DOM protein-like components in the middle reaches of the Shili River Basin is relatively high in summer, which may be due to the strong urbanization degree in the middle reaches and large domestic sewage discharge. There was no significant correlation between DOC and components C1 and C3. Meanwhile, the results of the above analysis showed that the change of DOC concentration was not completely consistent with the change of DOM fluorescence intensity in Shili River water, which also indicated that DOC concentration could not fully represent the geochemical characteristics of DOM [,].
5. Conclusions
- (1)
- Based on 3D-EMS-PARAFAC technology, four kinds of DOM fluorescence component classification, humic-like components C1 and protein-like components C2, C3 and C4, were identified in the Shilihe River Basin, corresponding, respectively, to four kinds of fluorescence peaks. The fluorescence intensity of DOM in water gradually increased along the flow direction, and the lower reaches were significantly higher than the upper and middle reaches. The areas with a high urbanization degree in the middle reaches have higher protein-like components and are highly affected by human activity. The change of DOC concentration was not completely consistent with the change of DOM fluorescence intensity in the Shilihe River water, which also indicated that DOC concentration could not fully represent the geochemical characteristics of DOM.
- (2)
- In summary, the analysis of some fluorescence parameters and light absorption parameters revealed that the humics in DOM are attributable to both terrestrial and autochthonous inputs, with the latter being dominant. The characteristics of autogenesis in the Shilihe River Basin were weaker before degradation than after degradation in time and space. Some fluorescence parameters (FI, BIX, β:α) and light absorption parameters (SR, SUVA254) showed that high temperature in spring and summer made the endogenous input more obvious, the relative molecular weight of DOM was larger, and the degree of humification was weaker. Spatially, the SR value increases along the direction of water flow, that is, endogenous levels increase along the direction of water flow, and DOM molecular weight decreases along the direction of water flow. This study showed that natural degradation preferentially removed aromatic chromophore and aromatic compounds.
- (3)
- The urban water environment has recently been paid a great degree of attention. It is imperative to strengthen urban water pollution prevention and control. We should strengthen the prevention and management of urban water pollution, strictly implement the national laws and regulations on water pollution prevention and control, make rational use of new water pollution prevention and control technologies, and reduce the discharge of waste water.
Supplementary Materials
The following supporting information can be downloaded at: https://www.mdpi.com/article/10.3390/w15010033/s1.
Author Contributions
Conceptualization, X.L. (Xiaxia Li) and B.C.; methodology, X.L. (Xiaxia Li) and B.C.; validation, X.L. (Xiaxia Li), X.C., K.Y. and J.C.; data curation, X.L. (Xiaxia Li), B.C., A.K., M.L., R.C. and X.L. (Xiaohui Lei); writing—original draft preparation, X.L. (Xiaxia Li); writing—review and editing, B.C. All authors have read and agreed to the published version of the manuscript.
Funding
This work was financially supported by the National Natural Science Foundation of China (NSFC, No. 51809283), the Science Fund for Distinguished Young Scholars of Hebei Province (Grant No. E2022402064) and the Foundation of China Three Gorges Corporation (No. 202003136).
Institutional Review Board Statement
Not applicable.
Informed Consent Statement
Not applicable.
Data Availability Statement
The datasets used and/or analyzed during the current study are available from the corresponding author on reasonable request.
Acknowledgments
The authors would like to express their gratitude to Hebei University of Engineering, and EditSprings (https://www.editsprings.cn) for the expert linguistic services provided.
Conflicts of Interest
The authors declare no conflict of interest.
References
- Zhou, Y.Q.; Zhou, L.; Zhang, Y.L.; Souza, J.G.; Podgorski, D.C.; Spencer, R.G.M.; Jeppesen, E.; Davidson, T.A. Autochthonous dissolved organic matter potentially fuels methane ebullition from experimental lakes. Water Res. 2019, 166, 115048. [Google Scholar] [CrossRef] [PubMed]
- Zhang, H.F.; Zheng, Y.C.; Wang, X.C.; Wang, Y.K.; Dzakpasu, M. Characterization and biogeochemical implications of dissolved organic matter in aquatic environments. J. Environ. Manag. 2021, 294, 113041. [Google Scholar] [CrossRef] [PubMed]
- Driscoll, C.T.; Lehtinen, M.D.; Sullivan, T.J. Modeling the acidbase chemistry of organic solutes in Adirondack, New York, lakes. Water Resour. Res. 1994, 30, 297–306. [Google Scholar] [CrossRef]
- Gu, N.T.; Song, Q.B.; Yang, X.L.; Yu, X.B.; Li, X.M.; Li, G. Fluorescence characteristics and biodegradability of dissolved organic matter (DOM) leached from non-point sources in southeastern China. Environ. Pollut. 2020, 258, 113807. [Google Scholar] [CrossRef] [PubMed]
- Li, Y.P.; Shi, Y.; Zhang, L.Q.; Zhou, L.; Shi, K.; Liu, M.L.; Zhou, Y.Q.; Zhang, Y.L. Spectral characteristics and environmental significance of chromophoric dissolved organic matter in Lake Qiandao, a large drinking water reservoir. Acta Sci. Circumstantiae 2019, 39, 3856–3865. [Google Scholar]
- Chen, Z.Y.; Li, S.Y. Absorption and Fluorescence Spectra of Dissolved Organic Matter in Rivers of the Three Gorges Reservoir Area Under the Background of Urbanization. Environ. Sci. 2019, 40, 5309–5317. [Google Scholar]
- Yu, H.B.; Gao, H.J.; Song, Y.H.; Li, K.N.; Peng, J.F.; Yao, L.L. Study on composition structure of DOM and its correlation with water quality in an urbanized river. Acta Sci. Circumstantiae 2016, 36, 435–441. [Google Scholar]
- Cao, C.L.; Liang, M.Q.; He, G.Y.; Zong, Y.A.; Tang, J.F. Fluorescent Dissolved Organic Matter and Its Correlation with Water Quality in a Urban River: A Case Study of the Lujiang River in Beilun, Ningbo. Environ. Sci. 2018, 39, 1560–1567. [Google Scholar]
- Liang, M.Q.; Shao, M.L.; Cao, C.L.; Zong, Y.A.; Tang, J.F. Characteristics of Dissolved Organic Matter (DOM) and Relationship with Dissolved Heavy Metals in a Peri-urban and an Urban River. Environ. Sci. 2018, 39, 2095–2103. [Google Scholar]
- Hosen, J.D.; McDonough, O.T.; Febria, C.M.; Palmer, M.A. Dissolved organic matter quality and bioavailability changes across an urbanization gradient in headwater streams. Environ. Sci. Technol. 2014, 48, 7817–7824. [Google Scholar] [CrossRef]
- Bao, Y.; Huang, T.; Ning, C.W.; Sun, T.T.; Tao, P.L.; Wang, J.; Sun, Q.Y. Changes of DOM and its correlation with internal nutrient release during cyanobacterial growth and decline in Lake Chaohu, China. Environ. Sci. 2023, 124, 769–781. [Google Scholar] [CrossRef] [PubMed]
- Yang, L.; Li, X.T.; Ren, Y.X.; Liu, Z.Y.; Guo, D.; Liang, Q.K.; Shao, Y.H.; Guo, L.K. Analysis of Anaerobic Biofilter on the Transformation Characteristics of DOM in Urban Polluted Rivers Based on EEM-PARAFAC. Res. Environ. Sci. 2022, 35, 1615–1624. [Google Scholar]
- Lv, W.W.; Yao, X.; Zhang, B.H. Fluorescence Characteristics and Environmental Significance of Organic Matter in the Northern Part of Lake Taihu in Spring and Winter. Environ. Sci. 2018, 39, 3601–3613. [Google Scholar]
- Fan, S.Y.; Qin, J.H.; Liu, Y.Y.; Sun, H. Seasonal Variations of DOM Spectral Characteristics in the Surface Water of the Upstream Minjiang River. Environ. Sci. 2018, 39, 4530–4538. [Google Scholar]
- Cheng, Y.Y.; Wang, S.L.; Hu, S.B.; Zhou, C.Y.; Shi, Z.; Li, Q.; Huang, X.P. The Fluorescence Characteristics of Dissolved Organic Matter (DOM) in the Seagrass Ecosystem from Hainan by Fluorescence Excitation-Emission Matrix Spectroscopy. Spectrosc. Spectr. Anal. 2015, 35, 141–145. [Google Scholar]
- Wang, X.J.; Huang, T.L.; Li, N.; Zhou, S.L.; Li, Y.; Zhang, H.H.; Ren, M.T. Spectral characteristics of dissolved organic matter in the surface sediments from a canyon-shaped, stratified, water-source reservoir. J. Lake Sci. 2018, 30, 1625–1635. [Google Scholar]
- Huguet, A.; Vacher, L.; Relexans, S.; Saubusse, S.; Froidefond, J.M.; Parlanti, E. Properties of fluorescent dissolved organic matter in the Gironde Estuary. Org. Geochem. 2009, 40, 706–719. [Google Scholar] [CrossRef]
- Williams, C.J.; Yamashita, Y.; Wilson, H.F.; Jaffé, F.; Xenopoulos, M.A. Unraveling the role of land use and microbial activity in shaping dissolved organic matter characteristics in stream ecosystems. Limnol. Oceanogr. 2010, 55, 1159–1171. [Google Scholar] [CrossRef]
- Li, S.D.; Jiang, Q.L.; Li, Y.; Wu, Y.L.; Jiang, J.W.; Huang, T.; Yang, H.; Huang, C.C. Spectroscopic Characteristics and Sources of Dissolved Organic Matter from Soils around Dianchi Lake, Kunming. Spectrosc. Spectr. Anal. 2017, 37, 1448–1454. [Google Scholar]
- Li, L.L.; Jiang, T.; Yan, J.L.; Guo, N.; Wei, S.Q.; Wang, D.Y.; Gao, J.; Zhao, Z. Ultraviolet-Visible (UV-Vis) Spectral Characteristics of Dissolved Organic Matter (DOM) in Soils and Sediments of Typical Water-Level Fluctuation Zones of Three Gorges Reservoir Areas. Environ. Sci. 2014, 35, 933–941. [Google Scholar]
- Liu, Y.; He, Q.F.; Liu, N.K.; Liu, J.C.; Wang, Z.X.; Duan, S.H. Distinguishing the compositionsand sources of the chromophoric dissolved organic matter in a typical karst river during the dry season: A case study in BitanRiver, Jinfo Mountain. Environ. Sci. 2018, 39, 2651–2660. [Google Scholar]
- Stedmon, C.; Bro, R. Characterizing dissolved organic matter fluorescence with parallel factor analysis:a tutorial. Limnol. Oceanogr. Methods 2008, 6, 572–579. [Google Scholar] [CrossRef]
- Kowalczuk, P.; Cooper, W.J.; Durako, M.J.; Amanda, E.K.; Michael, G.; Heather, Y. Characterization of dissolved organic matter fluorescence in the South Atlantic Bight with use of PARAFAC model: Relationships between fluorescence and its components, absorption coefficients and organic carbon concentrations. Mar. Chem. 2010, 118, 22–36. [Google Scholar] [CrossRef]
- Xi, Y.; Wang, T.; Ni, J.R.; Han, P.; Yi, M.L.; Jiang, Y.; Ma, R.Q.; Cui, F. Characterization of dissolved organic matter fractions in the Ning-Meng Section of the Yellow River and relationship with metal ions. Environ. Sci. 2018, 39, 4114–4121. [Google Scholar]
- Fellman, J.B.; D’Amore, D.V.; Hood, E.; Boone, R.D. Fluorescence characteristics and biodegradability of dissolved organic matter in forest and wetland soils from coastal temperate watersheds in southeast Alaska. Biogeochemistry 2008, 88, 169–184. [Google Scholar] [CrossRef]
- Ning, C.W.; Bao, Y.; Huang, T.; Wang, J. Sources and Spatial Variation of Dissolved Organic Matter in Summer Water of Inflow Rivers Along Chaohu Lake Watershed. Environ. Sci. 2021, 42, 3743–3752. [Google Scholar]
- Li, M.Y.; Song, Y.Y.; Zhang, X.L.; Huang, H.O. Removal Behavior of Protein-like Dissolved Organic Matter During Different Water Treatment Processes in Full-Scale Drinking Water Treatment Plants. Environ. Sci. 2021, 42, 3348–3357. [Google Scholar]
- Song, N.; Bai, L.; Xu, H.; Jiang, H.L. The composition difference of macrophyte litter-derived dissolved organic matter by photodegradation and biodegradation: Role of reactive oxygen species on refractory component. Chemosphere 2020, 242, 125155. [Google Scholar] [CrossRef]
- Stedmon, C.A.; Markager, S. Tracing the production and degradation of autochthonous fractions of dissolved organic matter by fluorescence analysis. Limnol. Oceanogr. 2005, 50, 1415–1426. [Google Scholar] [CrossRef]
- Ma, Q.Q.; Li, G.; Wei, Y. Spectral characteristics and spatiotemporal variation of DOM in Peri-urban Critical Zone. Environ. Chem. 2020, 2, 455–466. [Google Scholar]
- Raymond, P.A.; Saiers, J.E. Event controlled DOC export from forested watersheds. Biogeochemistry 2010, 100, 197–209. [Google Scholar] [CrossRef]
- Chen, X.D.; Gao, L.M. Spectral Characteristics Change in Dissolved Organic Matter in Urban River Under the Influences of Different Intensities of Non-point Source Pollution. Environ. Sci. 2022, 43, 3149–3159. [Google Scholar]
- Yang, L.Y.; Hong, H.S. Dynamic Changes of Dissolved Organic Matter in River-Estuarine System and Its Influencing Factors; Xiamen University: Xiamen, China, 2012. [Google Scholar]
- Catalán, N.; Ortega, S.H.; Gröntoft, H. Effects of beaver impoundments on dissolved organic matter quality and biodegradability in boreal riverine systems. Hydrobiologia 2017, 793, 135–148. [Google Scholar] [CrossRef]
- Del Castillo, C.E.; Coble, P.G.; Morell, J.M.; López, J.M.; Corredor, J.E. Analysis of the optical properties of the Orinoco River plume by absorption and fluorescence spectroscopy. Mar. Chem. 1999, 66, 35–51. [Google Scholar] [CrossRef]
- Chen, Z.Y.; Li, S.Y. Seasonal Variation of DOM Spectral Characteristics of Rivers with Different Urbanization Levels in the Three Gorges Reservoir Area. Environ. Sci. 2021, 42, 195–203. [Google Scholar]
- Zhang, Z.W.; Zhou, S.L.; Zhang, T.N.; Chen, Z.Y.; Dong, W.J.; Yao, B.; Cui, J.S.; Luo, X. Spatiotemporal evolution and environmental significance of dissolved organic matter (DOM) in sediments of Gangnan reservoir. Acta Sci. Circumstantiae 2021, 41, 3598–3611. [Google Scholar]
- Yamashita, Y.H.; Jaffé, R.; Maie, N.; Tanoue, E. Assessing the Dynamics of Dissolved Organic Matter (DOM) in Coastal Environments by Excitation Emission Matrix Fluorescence and Parallel Factor Analysis (EEM-PARAFAC). Limnol. Oceanogr. 2008, 53, 1900–1908. [Google Scholar] [CrossRef]
- Meng, F.G.; Huang, G.C.; Yang, X.; Li, Z.Q.; Li, J.; Cao, J.; Wang, Z.G.; Sun, L. Identifying the sources and fate of anthropogenically impacted dissolved organic matter (DOM) in urbanized rivers. Water Res. 2013, 47, 5027–5039. [Google Scholar] [CrossRef]
- Du, Y.X.; Lu, Y.H.; Roebuck, A.J.; Liu, D.; Chen, F.Z.; Zeng, Q.F.; Xiao, K.; He, J.; Liu, Z.W.; Zhang, Y.L.; et al. Direct versus indirect effects of human activities on dissolved organic matter in highly impacted lakes. Sci. Total Environ. 2021, 752, 141839. [Google Scholar] [CrossRef]
- Zhao, C.; Zhou, Y.; Pang, Y.; Zhang, Y.; Huang, W.; Wang, Y.; He, D. The optical and molecular signatures of DOM under the eutrophication status in a shallow, semi-enclosed coastal bay in southeast China. Sci. China Earth Sci. 2021, 64, 1090–1104. [Google Scholar] [CrossRef]
- Liang, J.; Jiang, T.; Wei, S.Q.; Lu, S.; Yan, J.L.; Wang, Q.L.; Gao, J. Absorption and Fluorescence Characteristics of Dissolved Organic Matter (DOM) in Rainwater and Sources Analysis in Summer and Winter Season. Environ. Sci. 2015, 36, 888–897. [Google Scholar]
- He, X.S.; Xi, B.D.; Zhang, P.; Gao, R.T.; Li, D.; Zhang, H. The seasonal distribution characteristics and its reasons of dissolved organic matter in groundwater. China Environ. Sci. 2015, 35, 862–870. [Google Scholar]
| Disclaimer/Publisher’s Note: The statements, opinions and data contained in all publications are solely those of the individual author(s) and contributor(s) and not of MDPI and/or the editor(s). MDPI and/or the editor(s) disclaim responsibility for any injury to people or property resulting from any ideas, methods, instructions or products referred to in the content. | 
© 2022 by the authors. Licensee MDPI, Basel, Switzerland. This article is an open access article distributed under the terms and conditions of the Creative Commons Attribution (CC BY) license (https://creativecommons.org/licenses/by/4.0/).
