Sign in to use this feature.

Years

Between: -

Subjects

remove_circle_outline
remove_circle_outline
remove_circle_outline
remove_circle_outline
remove_circle_outline
remove_circle_outline
remove_circle_outline

Journals

Article Types

Countries / Regions

remove_circle_outline
remove_circle_outline
remove_circle_outline
remove_circle_outline

Search Results (326)

Search Parameters:
Keywords = atopic children

Order results
Result details
Results per page
Select all
Export citation of selected articles as:
23 pages, 3306 KB  
Article
The Impact of Antimicrobial Therapy on the Development of Microbiota in Infants
by Tatiana Priputnevich, Pavel Denisov, Ksenia Zhigalova, Vera Muravieva, Natalia Shabanova, Alexey Gordeev, Viktor Zubkov, Bayr Bembeeva, Elena Isaeva, Anastasia Nikolaeva and Gennady Sukhikh
Antibiotics 2025, 14(12), 1245; https://doi.org/10.3390/antibiotics14121245 - 9 Dec 2025
Viewed by 424
Abstract
Background. The establishment and diversity of the gut microbiota during early childhood are fundamental for immune regulation and metabolic processes, with factors such as prematurity, delivery method, antibiotic treatment, and breastfeeding significantly impacting microbiome development and potential health outcomes. Objectives/Methods. This comparative study [...] Read more.
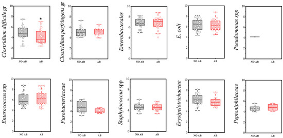
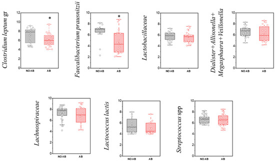
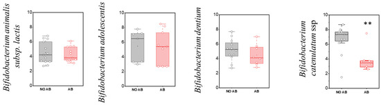
Background. The establishment and diversity of the gut microbiota during early childhood are fundamental for immune regulation and metabolic processes, with factors such as prematurity, delivery method, antibiotic treatment, and breastfeeding significantly impacting microbiome development and potential health outcomes. Objectives/Methods. This comparative study examined the gut microbiota composition in children aged 6–8 and 9–12 months, born via spontaneous labor at ≥38 weeks’ gestation, who either did not receive antibacterial therapy or required beta-lactam antibiotics. The composition of the colonic microbiota was analyzed in these fecal samples using a quantitative real-time PCR (qRT-PCR). Results. Significant differences in microbiota composition were observed between groups. Children treated with antibiotics exhibited a statistically significant reduction in alpha diversity indices (Shannon and Simpson), along with decreased colonization of key functionally important microorganisms, including obligate anaerobic bacteria such as Faecalibacterium prausnitzii, Clostridium leptum, Bacteroides spp., and metabolically active Bifidobacteria (B. bifidum, B. breve, B. longum). Conclusions. These microbiota alterations may adversely affect child health by diminishing microbial balance and functional potential, especially during this critical period of immune and metabolic development. The decline in anti-inflammatory, short-chain fatty acid-producing bacteria elevates the risk for allergic, atopic, dysbiotic, and metabolic conditions. Recognizing these impacts underscores the importance of strategies to supports microbiota restoration after antibiotic use, such as probiotics, prebiotics, and dietary interventions. Further research should focus on microbiota recovery dynamics to facilitate early intervention and optimize pediatric health outcomes. Overall, understanding antibiotic effects on gut microbiota can guide more judicious treatment approaches, reducing long-term health risks. Full article
Show Figures

Figure 1

19 pages, 698 KB  
Article
Evaluation of Childhood Atopic Dermatitis and Environmental Factors in Turkey with Decision Tree Model
by Nesrullah Ayşin, Mehmet Bulduk, Veysel Can, Eda Nur Muhafiz, Bahattin Bulduk and Emine Kurt Can
Int. J. Environ. Res. Public Health 2025, 22(12), 1812; https://doi.org/10.3390/ijerph22121812 - 2 Dec 2025
Viewed by 435
Abstract
Objective: This study aims to examine the relationship between atopic dermatitis (AD), one of the most common dermatological conditions in children, and environmental factors, including meteorological variables and air pollution. Methods: This retrospective cross-sectional study analyzed the medical records of 21,407 pediatric patients [...] Read more.
Objective: This study aims to examine the relationship between atopic dermatitis (AD), one of the most common dermatological conditions in children, and environmental factors, including meteorological variables and air pollution. Methods: This retrospective cross-sectional study analyzed the medical records of 21,407 pediatric patients aged 0 to 18 years who presented to the city hospital in Agri, Turkey, between 2020 and 2024. Admission dates were matched with meteorological data (wind speed, atmospheric pressure, humidity, temperature) and air pollution indicators (PM10, SO2, NO2, NOx, NO, O3). Statistical analyses included t-tests, correlation analyses, binary logistic regression, and a CHAID decision tree model. Results: AD accounted for 10.1% of all dermatology-related visits. AD admissions increased particularly during the first half of the year and were significantly associated with higher O3 levels, whereas increased PM10 levels were associated with a lower likelihood of AD admissions. Logistic regression showed that age, sex, semiannual period, atmospheric pressure, PM10, and O3 were significant predictors of AD. The decision tree model identified age, period, and O3 as the strongest discriminating variables for AD. Conclusion: AD was found to be more sensitive to environmental and seasonal variations compared with other dermatitis types. In particular, elevated ozone levels and temporal factors played a notable role in increasing AD presentations. These findings may inform environmental risk management and preventive strategies for children with AD. Full article
Show Figures

Figure 1

11 pages, 214 KB  
Article
Retrospective Study of Severe Atopic Disease in Young Children (0–5 Years) Managed with Dupilumab Highlights Significant Comorbidities
by Evelyn F. Fagan, Elena B. Hawryluk and LaDonya Jackson-Cowan
Children 2025, 12(12), 1639; https://doi.org/10.3390/children12121639 - 2 Dec 2025
Viewed by 298
Abstract
Background: Atopic dermatitis (AD) is a common pediatric skin disease that is associated with other atopic comorbidities, all of which correlate with higher rates of neurocognitive alterations such as developmental delays and ADHD. Methods: We conducted a retrospective chart review from January 2022 [...] Read more.
Background: Atopic dermatitis (AD) is a common pediatric skin disease that is associated with other atopic comorbidities, all of which correlate with higher rates of neurocognitive alterations such as developmental delays and ADHD. Methods: We conducted a retrospective chart review from January 2022 through January 2024 and identified 79 children aged 0–5 years who were prescribed dupilumab in the Massachusetts General Brigham healthcare system. We defined the patient population (including demographics, atopic comorbidities, and neurocognitive burden), and assessed whether time to treatment access varied by patient or prescriber characteristics. Results: The mean age at dupilumab initiation was 3.4 years, and 62.0% of patients were male. The cohort was diverse (48.1% White, 25.3% Black, 16.5% Hispanic/Latino, 10.1% Asian/other), with 48.1% publicly insured. Atopic comorbidities were common: 64.6% had food allergies, 34.2% had asthma, and 10.1% had eosinophilic esophagitis (EOE); 73.4% had two or more atopic diagnoses. Neurodevelopmental disorders affected 43.0% of patients, with speech and language delay most frequent (25.3%) and higher rates among those with EOE (87.5% vs. 38.0%, p < 0.01). The mean time to dupilumab approval was 20.9 days, with dermatologists achieving faster approvals than other specialists (10.6 vs. 51.9 days, p < 0.001). Conclusions: Our findings reveal infrequently reported high rates of atopic and neurologic comorbidities in young children with AD and underscore the importance of coordinated inter-specialty collaboration to ensure timely access to dupilumab for these patients. Full article
(This article belongs to the Section Pediatric Dermatology)
10 pages, 821 KB  
Article
Can Early Nutrition Be Responsible for Future Gut Microbiota Changes and Different Health Outcomes?
by Raffaella de Franchis, Luigi Bozza, Paolo Cortese, Lorenzo D’Antonio, Antonio D’Avino, Nicoletta Gasparini, Giorgia Ippolito, Raffaella Spadaro, Mariangela Tedesco, Angelo Antignani, Francesca De Filippis, Vincenzo Valentino, Renata Auricchio, Salvatore Auricchio and Dario Bruzzese
Nutrients 2025, 17(23), 3721; https://doi.org/10.3390/nu17233721 - 27 Nov 2025
Viewed by 317
Abstract
Background/Objectives: Chronic inflammatory diseases (CIDs) often present a preclinical phase influenced by genetic and environmental factors, including nutrition. Early dietary habits may modulate long-term health trajectories by shaping the intestinal microbiota. Previous work showed that weaning with fresh foods from the Mediterranean [...] Read more.
Background/Objectives: Chronic inflammatory diseases (CIDs) often present a preclinical phase influenced by genetic and environmental factors, including nutrition. Early dietary habits may modulate long-term health trajectories by shaping the intestinal microbiota. Previous work showed that weaning with fresh foods from the Mediterranean diet (MD) improved dietary habits and microbiota composition at 3 years of age. This study aimed to assess whether such benefits persist at 9 years. Methods: This long-term follow-up included 191 children (96 MD, 95 controls) from the original randomized cohort (ClinicalTrials.gov NCT05297357). The primary endpoint was adherence to MD (KidMed score ≥ 8). Secondary endpoints included BMI, incidence of CID, maternal dietary adherence, and intestinal microbiota composition in a subset of 36 children. Results: At 9 years, no difference was found in overall MD adherence (27.4% controls vs. 27.1% MD; p > 0.99) or BMI (17.7 vs. 18.1 kg/m2; p = 0.384). However, children from the MD group reported higher daily vegetable intake (71.9% vs. 51.6%; p = 0.005). Microbiota analyses revealed persistent differences between groups, with higher alpha diversity in the MD group. Although not statistically significant, the MD group showed lower prevalence of atopic dermatitis, allergic rhinitis, autism spectrum disorder, and ADHD. Maternal adherence to MD did not differ between groups. Conclusions: Early introduction of Mediterranean-style foods during weaning exerts lasting effects on dietary patterns and gut microbiota, with a potential protective trend against CID. While overall MD adherence converged between groups by 9 years, these findings suggest that early-life nutritional interventions may induce durable microbiome-mediated benefits and contribute to preventive strategies for chronic disease, warranting confirmation in larger, extended cohorts. Moreover, this study highlights the value of the collaboration between the Italian primary care pediatric system and the integration of the pediatric residency program, demonstrating a feasible and cost-effective methodology to generate large-scale prospective data within routine clinical practice. Larger studies and a longer follow-up period are necessary to confirm these results. Full article
(This article belongs to the Section Pediatric Nutrition)
Show Figures

Figure 1

17 pages, 1458 KB  
Systematic Review
Impact of Probiotics on Atopic Dermatitis in Pediatric Patients: A Systematic Review and Meta-Analysis
by Ritu Gaikwad, Soham Kondle, Sean Chang, Chris Barnes, Rohan Kubba, Christopher Lane, Snigdha Uppu and Eldo Frezza
Medicina 2025, 61(12), 2090; https://doi.org/10.3390/medicina61122090 - 24 Nov 2025
Viewed by 1382
Abstract
Background and Objectives: Atopic dermatitis (AD) is a chronic inflammatory skin disorder primarily affecting children, driven by genetic, immunologic, and environmental factors. Emerging evidence links gut microbiota alterations to immune modulation and AD severity. Probiotics, live microorganisms providing health benefits when consumed [...] Read more.
Background and Objectives: Atopic dermatitis (AD) is a chronic inflammatory skin disorder primarily affecting children, driven by genetic, immunologic, and environmental factors. Emerging evidence links gut microbiota alterations to immune modulation and AD severity. Probiotics, live microorganisms providing health benefits when consumed in adequate amounts, have been proposed as a potential adjunctive therapy. This review evaluates the efficacy of various probiotic treatments in reducing SCORAD indices and symptoms in children with AD, and its effects on immunologic markers such as IgE. Materials and Methods: Through a systematic literature review of multiple electronic databases through 9 October 2024, we identified randomized controlled trials (RCTs) in pediatric patients with an established diagnosis of atopic dermatitis. Our search strategy was as follows: “((atopy) OR (dermatitis) OR (hypersensitivity)) AND pediatric AND probiotic” yielding 25 total studies. Patients were treated with either a probiotic regimen or placebo and assessed for levels of IgE and SCORAD indices. Results: Of 25 studies extracted, 14 RCTs evaluated the effects of probiotics on atopic dermatitis using SCORAD scores. Eleven showed significant reductions in SCORAD indices. Pooled analysis using a random-effects model (Hedges’ g ≈ 0.65, p < 0.05) indicated a moderate to large improvement in AD severity with probiotic therapy. However, heterogeneity in probiotic strains, intervention duration, and limited sample sizes are limitations that warrant further investigation. Secondary analysis of IgE changes showed a non-significant effect (g ≈ 0.15, p = 0.13), possibly due to short study durations (mean 12 weeks). Conclusions: Probiotics demonstrate a moderate to large clinical impact in reducing SCORAD indices among children with atopic dermatitis. These findings highlight their potential as a future adjunctive, non-pharmaceutical therapy for the roughly 9.6 million pediatric patients affected in the United States. Further studies are needed to clarify strain-specific effects and patient factors influencing response. Full article
(This article belongs to the Special Issue Research on Allergy, Asthma, and Clinical Immunology)
Show Figures

Figure 1

15 pages, 2689 KB  
Article
Update on the Research of an Emulgel for the Effective Treatment of Atopic Dermatitis: Clinical Investigation in Children
by Almudena Gómez-Farto, Ana Leticia Jiménez-Escobar, Noelia Pérez-González, Amy Lozano-White, Jésica Expósito-Herrera, Trinidad Montero-Vílchez, Beatriz Clares and Salvador Arias-Santiago
Gels 2025, 11(11), 880; https://doi.org/10.3390/gels11110880 - 2 Nov 2025
Viewed by 1242
Abstract
Atopic dermatitis (AD) is a chronic inflammatory skin condition that affects up to 25% of children and impairs both skin barrier function and quality of life. This study examined the effectiveness of an emulgel containing hyaluronic acid, glycerol, grape seed oil, Calendula officinalis [...] Read more.
Atopic dermatitis (AD) is a chronic inflammatory skin condition that affects up to 25% of children and impairs both skin barrier function and quality of life. This study examined the effectiveness of an emulgel containing hyaluronic acid, glycerol, grape seed oil, Calendula officinalis, aloe vera and sh-oligopeptide-1 (a synthetic Epidermal Growth Factor) for treating paediatric AD. In a randomised, self-controlled trial, 57 children (aged 2–14) applied the emulgel twice daily for 10 days to one forearm and left the other forearm as a control. Skin barrier parameters such as transepidermal water loss (TEWL), stratum corneum hydration (SCH), erythema and pH were measured. After applying the emulgel, lesional skin showed reduced erythema (p = 0.007), lower TEWL (p = 0.002) and higher SCH (p < 0.001). Non-lesional skin showed improved SCH (p < 0.001). SCORing Atopic Dermatitis (SCORAD) and Eczema Area and Severity Index (EASI) scores indicated milder disease post-treatment (mild cases: 64.9% to 80.7% SCORAD; 82.5% to 93.0%EASI). The Dermatology Life Quality Index improved by ~3.5 points, and patients reported high satisfaction with no adverse effects. This emulgel is an effective and well-tolerated adjunctive therapy for paediatric AD, enhancing barrier function and clinical outcomes. Full article
(This article belongs to the Special Issue Biobased Gels for Drugs and Cells)
Show Figures

Figure 1

11 pages, 656 KB  
Article
Transitioning from Cyclosporine to Tralokinumab in Moderate-to-Severe Atopic Dermatitis: A Prospective Real-World Comparison of Direct Switch vs. Short Overlap
by Clara Ureña-Paniego, Raquel Sanabria-de la Torre, Salvador Arias-Santiago and Trinidad Montero-Vílchez
J. Pers. Med. 2025, 15(11), 515; https://doi.org/10.3390/jpm15110515 - 31 Oct 2025
Viewed by 457
Abstract
Background: Cyclosporine (CSA) is a fast-acting systemic immunosuppressant frequently used in moderate-to-severe atopic dermatitis (AD), but its long-term use is limited by toxicity. AD affects as many as 20% of children and nearly 10% of adults worldwide and its chronic, recurrent course [...] Read more.
Background: Cyclosporine (CSA) is a fast-acting systemic immunosuppressant frequently used in moderate-to-severe atopic dermatitis (AD), but its long-term use is limited by toxicity. AD affects as many as 20% of children and nearly 10% of adults worldwide and its chronic, recurrent course often requires several systemic treatment lines, making optimization of sequential therapy a high clinical priority. Tralokinumab, an IL-13–targeting monoclonal antibody, represents a safer alternative with a slower onset of action. This study aimed to compare the effectiveness and safety of tralokinumab initiated as monotherapy versus in overlap with CSA during the transition from conventional to biologic therapy. Methods: We conducted a prospective observational study involving 27 adults with moderate-to-severe AD treated with tralokinumab for at least 16 weeks. Patients were categorized into two groups: tralokinumab monotherapy plus topical agents (TM; n = 23) and tralokinumab initiated with a cyclosporine overlap for up to 12 weeks (TO; n = 4). Disease severity was evaluated using the Eczema Area and Severity Index (EASI), Investigator Global Assessment (IGA), and numerical rating scale (NRS) for pruritus at baseline and weeks 16, 24, and 52. Results: Both TM and TO groups demonstrated significant clinical improvement across all outcomes, with no statistically significant differences between groups (p > 0.05 for EASI, IGA, and NRS). At week 52, TM patients showed mean reductions of 18.66 (EASI), 2.21 (IGA), and 4.49 (NRS), while TO patients showed reductions of 15, 2, and 3.50, respectively. Tralokinumab was discontinued in eight patients (29.6%), most commonly due to lack of efficacy. Discontinuation rates did not differ significantly between groups. However, the very small size of the TO group (n = 4) substantially limits statistical power and any contrasts should be interpreted as exploratory. Conclusions: In this prospective real-world cohort, we observed improvement after initiating tralokinumab, with and without a short cyclosporine bridge. In light of CSA’s risks, TM may be considered a reasonable first-line systemic option. Prospective randomized studies are needed to determine whether overlap confers additional benefit. Full article
(This article belongs to the Special Issue Dermatology: Molecular Mechanisms, Diagnosis and Therapeutic Targets)
Show Figures

Figure 1

12 pages, 806 KB  
Article
A Study on Parental Corticophobia in Pediatric Allergic Diseases
by Halil Alkaya, Uğur Altaş, Seda Çevik, Yakup Söğütlü and Mehmet Yaşar Özkars
Medicina 2025, 61(11), 1959; https://doi.org/10.3390/medicina61111959 - 31 Oct 2025
Viewed by 470
Abstract
Background and Objectives: Parental beliefs strongly influence treatment adherence in pediatric allergic diseases. Concerns about corticosteroid therapy—known as corticophobia—may disrupt disease control and compromise child well-being. This study aimed to evaluate parental knowledge, beliefs, and concerns regarding topical, inhaled, and intranasal corticosteroid [...] Read more.
Background and Objectives: Parental beliefs strongly influence treatment adherence in pediatric allergic diseases. Concerns about corticosteroid therapy—known as corticophobia—may disrupt disease control and compromise child well-being. This study aimed to evaluate parental knowledge, beliefs, and concerns regarding topical, inhaled, and intranasal corticosteroid use in children, and to identify sociodemographic factors associated with corticophobia. Materials and Methods: This prospective survey was conducted in a tertiary pediatric allergy and immunology clinic. A structured questionnaire was anonymously completed by 110 parents of children receiving corticosteroid therapy. The survey assessed demographics, family history of atopy, corticosteroid use, perceived disease severity, knowledge level, concerns, and sources of information. Descriptive statistics and chi-square tests were applied (p < 0.05 significant). Results: The most frequent concerns were growth retardation, hormonal imbalance, and long-term side effects. Corticophobia was significantly more prevalent among university-educated parents (p = 0.043) and those with a family history of atopy (p = 0.017). Despite generally high adherence to prescribed regimens, nearly 60% of parents sought additional information, highlighting the impact of knowledge gaps on health-related parenting practices. Conclusions: Corticophobia remains a common parental concern in pediatric allergy care, with implications for adherence, family decision-making, and child well-being. Addressing misinformation and providing family-centered, tailored educational strategies—particularly for highly educated parents and those with an atopic background—may reduce fears, strengthen trust, and promote sustainable healthy behaviors. Full article
(This article belongs to the Special Issue Research on Allergy, Asthma, and Clinical Immunology)
Show Figures

Figure 1

11 pages, 541 KB  
Review
Trends in the Prevalence of Atopic Eczema Among Children and Adolescents in Greece Since 1990: Data from a Systematic Review
by Christos Kogias and Elpis Hatziagorou
Allergies 2025, 5(4), 37; https://doi.org/10.3390/allergies5040037 - 30 Oct 2025
Viewed by 1026
Abstract
Atopic eczema is the most prevalent chronic dermatitis in childhood, characterised by relapsing pruritic lesions and significant heterogeneity in clinical expression and immunological profile. The disease impacts quality of life and healthcare systems, especially when persistent into adulthood. Epidemiological data from the International [...] Read more.
Atopic eczema is the most prevalent chronic dermatitis in childhood, characterised by relapsing pruritic lesions and significant heterogeneity in clinical expression and immunological profile. The disease impacts quality of life and healthcare systems, especially when persistent into adulthood. Epidemiological data from the International Study of Asthma and Allergies in Childhood (ISAAC) demonstrate significant geographic and temporal variability in the prevalence of atopic eczema, with an overall upward trend observed in paediatric populations across most regions. A systematic literature search was conducted in PubMed, ScienceDirect, and the Cochrane Library to identify relevant studies published between 1990 and 2025. Seven studies met the inclusion criteria—six cross-sectional and one prospective—conducted in the urban centres of Athens, Thessaloniki, and Patras. Sample sizes ranged from 517 to 3076 participants, encompassing children and adolescents aged 6 to 17. Prevalence rates ranged from 4.5% to 16.1% in children and 8.9% in adolescents, with notable geographic and temporal variability. Male sex, younger age, environmental exposures, and a family history of atopic diseases were identified as key risk factors. Comparative data from European studies reflect similar trends, with increasing atopic eczema prevalence and plateauing asthma rates suggesting distinct etiological pathways. The psychosocial and economic burden of atopic eczema remains substantial, highlighting the need for early recognition and effective management. Despite methodological variability and limitations in study design, findings indicate an underestimation of atopic eczema prevalence in Greece and underscore the importance of standardised epidemiologic surveillance. Full article
(This article belongs to the Section Pediatric Allergy)
Show Figures

Figure 1

11 pages, 614 KB  
Article
Phenotypes of Food Allergies in Patients with Atopic Dermatitis Aged Under 24 Months: A Multicenter Study
by Mujde Tuba Cogurlu, Metin Aydogan, Ozlem Cavkaytar, Pinar Uysal, Hazal Cansu Culpan, Nalan Yakici, Zeynep Hizli Demirkale, Erdem Topal, Hasan Yuksel, Sezin Aydemir, Nursen Cigerci Gunaydin, Cigdem Aydogmus, Sukru Cekic, Emre Akkelle, Tuba Tuncel, Isil Eser Simsek, Mustafa Arga, Zeynep Ülker Altinel, Fatih Kaplan, Ayca Kiykim, Ayse Suleyman, Nermin Guler, Esra Yucel, Haluk Cokugras, Nihat Sapan, Hikmet Tekin Nacaroglu, Adem Yasar, Yakup Yesil, Gonca Hancioglu, Recep Sancak, Mehmet Sarper Erdogan, Oner Ozdemir, Cevdet Ozdemir and Fazil Orhanadd Show full author list remove Hide full author list
Diagnostics 2025, 15(20), 2656; https://doi.org/10.3390/diagnostics15202656 - 21 Oct 2025
Viewed by 692
Abstract
Background: Atopic dermatitis (AD) and food allergy (FA) are common allergic diseases in early childhood. AD may be concomitant with FA, particularly in young children. Although studies report the prevalence of FA in children with AD, there is insufficient data regarding different phenotypes [...] Read more.
Background: Atopic dermatitis (AD) and food allergy (FA) are common allergic diseases in early childhood. AD may be concomitant with FA, particularly in young children. Although studies report the prevalence of FA in children with AD, there is insufficient data regarding different phenotypes of FA. Objective: The aim of our research was to determine the prevalence and clinical predictors of different phenotypes of concomitant FA in children with AD. Methods: This cross-sectional multicenter study included patients younger than 24 months old diagnosed with AD, recruited from 14 pediatric allergy centers. Patients were categorized into two groups using skin testing, allergen-specific IgE, and ultimately food challenge testing (FCT): those with FA and those without. Individuals with FA were classified into three distinct phenotypes: IgE-mediated, non-IgE-mediated, and concurrent IgE- and non-IgE-mediated. Results: The data of 530 children [59% male, median-age 7 months (IQR: 5–11)] were analyzed. IgE-mediated FA was found in 28.1% of participants, whereas 22.4% (n = 119/530) exhibited non-IgE-mediated FA. Concurrent IgE- and non-IgE-mediated FA was reported in 12.1% (n = 64/530) of patients. Cow’s milk (69.6%) and egg-white (68.9%) were identified as the most prevalent allergens. Cow’s milk was primarily responsible for non-IgE-mediated and egg-white for IgE-mediated FA. The most significant predictors of FA were severe AD and the presence of blood in stool with odds ratios of 8.25 (95% Cl: 3.04–22.39) and 10.04 (95% CI: 2.03–49.59), respectively (p < 0.01) (p < 0.005). Conclusions: The study’s findings indicate that children with early-onset and mild-to-moderate AD deserve to be comprehensively assessed for FA symptoms. The most significant indicators of concomitant FA in AD patients were the presence of blood in stool and severe AD. It is important to consider that those who exhibit IgE-mediated FA may also have concurrent non-IgE-mediated FA. We underline that it is important to consider that children with AD who exhibit IgE-mediated FA may also have concurrent non-IgE-mediated FA. Addressing these symptoms may assist healthcare practitioners in clinical practice to improve the quality of care for AD patients having FA. Full article
(This article belongs to the Special Issue Novel Advances in Allergy Diagnosis)
Show Figures

Figure 1

12 pages, 463 KB  
Review
Ultra-Processed Foods and Respiratory and Allergic Diseases in Childhood: Epidemiological Evidence and Mechanistic Insights
by Michele Miraglia del Giudice, Giulio Dinardo, Carolina Grella, Alessandra Perrotta, Cristiana Indolfi and Angela Klain
Nutrients 2025, 17(20), 3269; https://doi.org/10.3390/nu17203269 - 17 Oct 2025
Viewed by 1459
Abstract
Ultra-processed foods (UPFs) are increasingly consumed worldwide, particularly during childhood, raising growing concerns for health. Although UPFs have been associated with obesity and cardiometabolic disorders, emerging evidence suggests a potential role also in respiratory and allergic diseases. This review critically examines the epidemiological [...] Read more.
Ultra-processed foods (UPFs) are increasingly consumed worldwide, particularly during childhood, raising growing concerns for health. Although UPFs have been associated with obesity and cardiometabolic disorders, emerging evidence suggests a potential role also in respiratory and allergic diseases. This review critically examines the epidemiological evidence and biological mechanisms linking UPF consumption to respiratory and allergic outcomes in children. To this end, a structured literature search was conducted in the PubMed database, including articles published between 2006 and 2025, selected based on their relevance to the association between UPF consumption and asthma, wheezing, or food allergies in the pediatric population. Four cohort studies on asthma and wheezing, conducted mainly in Brazil and Spain, and two cross-sectional studies—including one global multicenter study—were identified. In addition, four pediatric studies on food allergies from Europe and South America were found, consisting of two cohort studies and two cross-sectional studies. The proposed mechanisms include disruption of the gut barrier, microbiota dysbiosis, chronic inflammation through the AGE–RAGE axis, skewing of immune responses toward a Th2 profile, and indirect effects through obesity and micronutrient deficiencies. Similar pathways may promote allergic sensitization and the development of food allergies. Although current evidence supports the potential role of UPFs in pediatric respiratory and allergic diseases, further longitudinal and interventional studies are needed. Meanwhile, promoting fresh and minimally processed dietary patterns may help protect children’s respiratory and immune health. Full article
(This article belongs to the Special Issue Diet and Nutrition for Pediatric Asthma)
Show Figures

Figure 1

16 pages, 3389 KB  
Article
Elevated Serum Levels of miRNA-155 in Children with Atopic Dermatitis: A Potential Biomarker of Disease
by Natalia Gołuchowska, Aldona Ząber, Sylwia Walczewska, Agata Będzichowska, Klaudia Brodaczewska, Aleksandra Majewska, Bolesław Kalicki and Agata Tomaszewska
Int. J. Mol. Sci. 2025, 26(19), 9689; https://doi.org/10.3390/ijms26199689 - 4 Oct 2025
Viewed by 737
Abstract
Atopic dermatitis (AD) is the most common inflammatory skin disease in the pediatric population. In recent years, the role of microRNAs in inflammatory and immunological mechanisms as specific biomarkers of AD has received growing attention. The aim of the present study was a [...] Read more.
Atopic dermatitis (AD) is the most common inflammatory skin disease in the pediatric population. In recent years, the role of microRNAs in inflammatory and immunological mechanisms as specific biomarkers of AD has received growing attention. The aim of the present study was a quantitative assessment of serum expression levels of miR-100, miR-224 and miR-155 in children with AD compared with healthy peers, and an analysis of their potential associations with clinical disease phenotype, severity of skin lesions (SCORAD), cytokine profile, immunological parameters and the presence of concomitant allergic diseases. The study included 12 children with AD and 9 healthy children. Selected miRNAs were isolated from serum, followed by reverse transcription using universal primers and quantification by qRT-PCR. Children with AD exhibited significantly higher expression levels of miR-155 compared with controls (p = 0.003). No statistically significant differences were observed for miR-100 and miR-224. miR-100 expression was significantly higher in children with a positive history of inhalant allergy compared with those without such a diagnosis (p = 0.014). A positive correlation was observed between miR-100 levels and the percentage of eosinophils (r = 0.599; p = 0.052) as well as absolute eosinophil count (r = 0.600; p = 0.051). MiR-155 is significantly upregulated in children with AD suggesting it as a candidate biomarker worthy of further investigation in larger cohorts. Although miR-100 did not differentiate the groups, its correlation with eosinophilia and inhalant allergy suggests a role in disease phenotyping. Full article
(This article belongs to the Special Issue Molecular Research on Skin Inflammation)
Show Figures

Figure 1

8 pages, 215 KB  
Article
Is There a Relationship Between Serum BDNF Levels, Disease Severity, and Psychiatric Symptoms in Adolescents with Atopic Dermatitis?
by Shahzada Orujova, Demet Kartal, Esra Demirci, Didem Barlak Keti, Berhan Akdağ, Eda Öksüm Solak, Salih Levent Cinar and Murat Borlu
Children 2025, 12(10), 1304; https://doi.org/10.3390/children12101304 - 26 Sep 2025
Viewed by 576
Abstract
Background/Objectives: This study aimed to investigate the relationship between serum brain-derived neurotrophic factor (BDNF) levels, disease severity, and various psychiatric symptoms in adolescents with atopic dermatitis (AD), compared to a healthy control group. Methods: This study included 50 patients aged 10–18 years with [...] Read more.
Background/Objectives: This study aimed to investigate the relationship between serum brain-derived neurotrophic factor (BDNF) levels, disease severity, and various psychiatric symptoms in adolescents with atopic dermatitis (AD), compared to a healthy control group. Methods: This study included 50 patients aged 10–18 years with AD, along with a control group matched for age and gender. Measurements included complete blood count, basal cortisol, serum immunoglobulin E (IgE), CRP, erythrocyte sedimentation rate, and serum BDNF levels. Disease severity was evaluated using the Eczema Area and Severity Index. Participants also completed several instruments: the Beck Depression Inventory-II, the Body Appreciation Scale, the Children’s Dermatology Life Quality Index, the Pittsburgh Sleep Quality Index, and the Social Anxiety Scale for Children—Revised. Results: The AD group experienced a more impaired dermatological quality of life, lower body appreciation, more severe depressive symptoms, and poorer sleep quality compared to the control group. However, there was no significant difference between the groups in serum BDNF, basal cortisol, and CRP levels. Furthermore, serum BDNF levels showed no significant correlation with disease severity or psychosocial parameters in patients with AD. Conclusions: The current findings do not suggest a link between serum BDNF levels and disease severity or psychiatric symptoms in adolescents with AD. Further research is necessary in this field. Full article
(This article belongs to the Section Pediatric Dermatology)
10 pages, 470 KB  
Article
Nutritional Status Is Not a Predictor of Anaphylaxis Severity in a Pediatric Cohort: A Retrospective Analysis
by Izabela Kucharek, Krzysztof Przystał-Dyszyński, Aleksandra Godyńska, Maria Gregorczyk and Adam J. Sybilski
Nutrients 2025, 17(18), 3023; https://doi.org/10.3390/nu17183023 - 22 Sep 2025
Viewed by 651
Abstract
Background: Childhood obesity is a pro-inflammatory state associated with poorer outcomes in chronic allergic diseases, such as asthma, and in adults, it is a recognized risk factor for more severe anaphylaxis. However, whether this association extends to the pediatric population remains unclear. [...] Read more.
Background: Childhood obesity is a pro-inflammatory state associated with poorer outcomes in chronic allergic diseases, such as asthma, and in adults, it is a recognized risk factor for more severe anaphylaxis. However, whether this association extends to the pediatric population remains unclear. Objectives: The aim of this study was to assess the association between nutritional status, as measured by Body Mass Index (BMI), and anaphylaxis severity and presentation in a cohort of hospitalized children. Methods: We retrospectively assessed the association between BMI categories (underweight, normal weight, overweight, and obese) and the severity (WAO grading) and clinical presentation of anaphylaxis in 199 hospitalized children (0–18 years). Results: No statistically significant association was found between BMI categories and anaphylaxis severity (χ2 = 7.06, p = 0.861). Severe reactions (WAO grades 4–5) were rare across BMI categories, occurring in 0% of underweight, 3.8% of normal-weight, 9.1% of overweight, and 7.7% of obese children. In regression analyses adjusting for age, sex, asthma, and atopic dermatitis, BMI was not an independent predictor of anaphylaxis severity, whether considered as a categorical or continuous variable (all odds ratios non-significant, 95% CIs crossing 1). Similarly, organ system involvement did not differ between BMI groups (all p > 0.05). Conclusions: In this pediatric cohort, contrary to findings in adults, we did not find nutritional status to be a predictor of anaphylaxis severity or presentation. This suggests obesity’s role as a risk factor may be age-dependent and that adult data should be extrapolated to children with caution. Full article
Show Figures

Figure 1

15 pages, 284 KB  
Article
Early-Life Environmental Determinants of Allergic Conditions in Children with Atopic Heredity: A Single Center Cross-Sectional Study from Bulgaria
by Antoniya Hachmeriyan, Albena Toneva, Miglena Marinova-Achkar and Rouzha Pancheva
Med. Sci. 2025, 13(3), 198; https://doi.org/10.3390/medsci13030198 - 18 Sep 2025
Cited by 1 | Viewed by 1014
Abstract
Background: Allergic diseases in early childhood are influenced by genetic predisposition and modifiable early-life exposures, including epigenetic mechanisms. Understanding the interplay between environmental factors and allergy development in children with atopic heredity is critical for prevention strategies. Objective: To investigate the associations between [...] Read more.
Background: Allergic diseases in early childhood are influenced by genetic predisposition and modifiable early-life exposures, including epigenetic mechanisms. Understanding the interplay between environmental factors and allergy development in children with atopic heredity is critical for prevention strategies. Objective: To investigate the associations between selected early-life environmental exposures and the development of allergic conditions in children with a positive family history of atopy. Methods: A cross-sectional study was conducted among 120 children aged 2 years (±5 months) with atopic heredity, recruited at the Medical University of Varna, Bulgaria (2017–2020). Data on sociodemographic background, prenatal exposures, birth mode, feeding practices, pet contact, daycare attendance, and infectious burden were collected via structured questionnaires and medical records. Allergic outcomes (food allergy and atopic dermatitis) were physician-confirmed. Statistical analyses included t-tests and chi-square tests. Results: Food allergy was diagnosed in 23.3% and atopic dermatitis in 21.7% of participants. Formula feeding was significantly more common in children with food allergy (66.7% vs. 38.1%; p = 0.020). A lower maternal pregnancy experience score was significantly associated with both food allergy (p = 0.021) and overall allergic outcomes (p = 0.004). Indoor smoking was more common in households of non-allergic children (p = 0.034). Children with food allergy had significantly more rhinopharyngitis episodes (p = 0.014) and longer infection duration. Higher gastroenteritis frequency and hospitalization rates were also noted in food-allergic children. Conclusions: In children with atopic heredity, early formula feeding, prenatal maternal stress, and infection burden were associated with increased risk of allergic conditions. This study underscores the importance of early-life psychosocial and environmental influences, possibly mediated by epigenetic mechanisms, in the development of childhood allergies. These findings highlight novel targets for early prevention and warrant further longitudinal research. Full article
(This article belongs to the Section Immunology and Infectious Diseases)
Back to TopTop