Sign in to use this feature.

Years

Between: -

Subjects

remove_circle_outline
remove_circle_outline
remove_circle_outline
remove_circle_outline
remove_circle_outline
remove_circle_outline
remove_circle_outline
remove_circle_outline
remove_circle_outline

Journals

remove_circle_outline
remove_circle_outline
remove_circle_outline
remove_circle_outline
remove_circle_outline
remove_circle_outline
remove_circle_outline
remove_circle_outline

Article Types

Countries / Regions

remove_circle_outline
remove_circle_outline
remove_circle_outline
remove_circle_outline
remove_circle_outline

Search Results (419)

Search Parameters:
Keywords = artistic design

Order results
Result details
Results per page
Select all
Export citation of selected articles as:
26 pages, 16853 KB  
Article
Semi-Fragile Watermarking Scheme for High-Resolution Color Images: Tamper Identification, Ownership Authentication, and Self-Recovery
by Manuel Cedillo-Hernandez, Antonio Cedillo-Hernandez, Francisco Javier Garcia-Ugalde and Juan Carlos Sanchez-Garcia
Algorithms 2026, 19(1), 28; https://doi.org/10.3390/a19010028 - 26 Dec 2025
Viewed by 152
Abstract
The advancements in communication and information technologies have substantially enabled the extensive distribution and modification of high-resolution color images. Although this accessibility provides many advantages, it also presents risks related to security. Specifically, when image modification is conducted with malicious intent, exceeding typical [...] Read more.
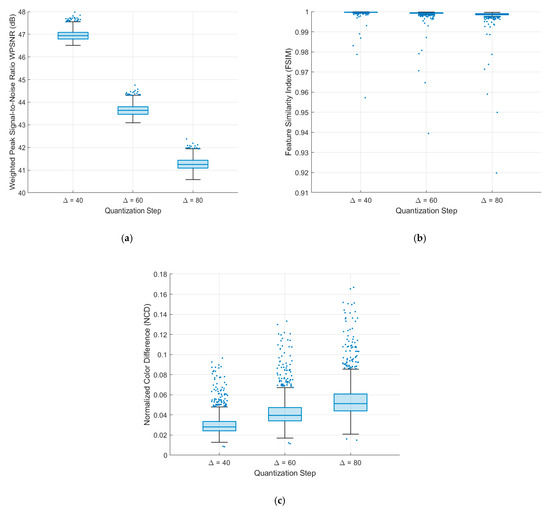
The advancements in communication and information technologies have substantially enabled the extensive distribution and modification of high-resolution color images. Although this accessibility provides many advantages, it also presents risks related to security. Specifically, when image modification is conducted with malicious intent, exceeding typical artistic or enhancement objectives, it can cause significant moral or economic harm to the image owner. To address this security requirement, this study presents an innovative semi-fragile watermarking algorithm designed specifically for high-resolution color images. The proposed method utilizes Discrete Cosine Transform domain watermarking implemented via Quantization Index Modulation with Dither Modulation. It incorporates several elements, such as convolutional encoding, a denoising convolutional neural network, and a very deep super-resolution neural network. This comprehensive strategy aims to provide ownership verification using a logo watermark, in conjunction with tamper detection and content self-recovery mechanisms. The self-recovery criterion is determined using a thumbnail image, created by downscaling to standard definition and applying JPEG2000 lossy compression. The resultant multifunctional design enhances the overall security of the information. Experimental validation confirms the enhanced imperceptibility, robustness, and capacity of the proposed method. Its efficacy was additionally corroborated through comparative analyses using contemporary state-of-the-art algorithms. Full article
Show Figures

Figure 1

22 pages, 306 KB  
Article
The Importance of the Teacher–Researcher–Artist in Curriculum Design, Development and Assessment in Vocational Education in England
by Margaret (Maggie) Gregson
Educ. Sci. 2026, 16(1), 24; https://doi.org/10.3390/educsci16010024 - 24 Dec 2025
Viewed by 117
Abstract
Set in the vocational education and training sector in England, this article draws attention to how top-down, centre–periphery approaches to curriculum design and development in vocational education fail for at least three reasons. First, they misconstrue the nature of knowledge. Second, they lead [...] Read more.
Set in the vocational education and training sector in England, this article draws attention to how top-down, centre–periphery approaches to curriculum design and development in vocational education fail for at least three reasons. First, they misconstrue the nature of knowledge. Second, they lead to perfunctory and fragmented approaches to curriculum design, coupled with mechanistic measures of quality and achievement, which often require little more than “one-off” and superficially assessed demonstrations of performance. Finally, they underplay the role and importance of the teacher as researcher and artist in putting the cultural resources of society to work in creative curriculum design and pedagogy. Teacher artistry is pivotal in animating and heightening the vitality of vocational curricula. It is through this artistry that teachers make theories, ideas and concepts in vocational subjects and disciplines accessible and meaningful to all learners in coherent ways in the contexts of their learning and their lives. The consequences of the epistemic faux pas underpinning centre-to-periphery models of curriculum design and development are highlighted in this article in vocational tutors’ accounts of experiences of problems and issues in curriculum design, development and assessment encountered in their practice. Participants in the research teach in a variety of vocational education settings, including Apprenticeships and Higher-Level Technical Education; English Language at General Certificate of Secondary Education (GCSE) level; Health and Social Care; Information and Communications Technology; Construction (Plumbing); Digital Production, Design and Development and High-Tech Precision Engineering. Data are analysed and reported through systematic, thematic analysis This article draws upon qualitative data derived from a study funded by the Education and Training Foundation (ETF) in England over a two-year period from 2021 to 2023. The research population consists of a group of eight practitioner–researchers working in three colleges of Further Education (FE) and one Industry Training Centre (ITC) in England. All of the teachers of vocational education reported here volunteered to participate in the study. Research methods include semi-structured interviews, analysis of critical incidents and case studies produced by practitioner–researchers from across the FE and Skills sector in England. Full article
18 pages, 15863 KB  
Article
ConWave-LoRA: Concept Fusion in Customized Diffusion Models with Contrastive Learning and Wavelet Filtering
by Xinying Liu, Xiaogang Huo and Zhihui Yang
Computers 2026, 15(1), 5; https://doi.org/10.3390/computers15010005 - 22 Dec 2025
Viewed by 177
Abstract
Customizing diffusion models via Low-Rank Adaptation (LoRA) has become a standard approach for customized concept injection. However, synthesizing multiple customized concepts within a single image remains challenging due to the parameter pollution problem, where naive fusion leads to gradient conflicts and severe quality [...] Read more.
Customizing diffusion models via Low-Rank Adaptation (LoRA) has become a standard approach for customized concept injection. However, synthesizing multiple customized concepts within a single image remains challenging due to the parameter pollution problem, where naive fusion leads to gradient conflicts and severe quality degradation. In this paper, we introduce ConWave-LoRA, a novel framework designed to achieve hierarchical disentanglement of object and style concepts in LoRAs. Supported by our empirical validation regarding frequency distribution in the latent space, we identify that object identities are predominantly encoded in high-frequency structural perturbations, while artistic styles manifest through low-frequency global layouts. Leveraging this insight, we propose a Discrete Wavelet Transform (DWT) based filtering strategy that projects these concepts into orthogonal optimization subspaces during contrastive learning, thereby isolating structural details from stylistic attributes. Extensive experiments, including expanded ablation studies on LoRA rank sensitivity and style consistency, demonstrate that ConWave-LoRA consistently outperforms strong baselines, producing high-fidelity images that successfully integrate multiple distinct concepts without interference. Full article
(This article belongs to the Special Issue Advanced Image Processing and Computer Vision (2nd Edition))
Show Figures

Figure 1

20 pages, 16618 KB  
Article
Walking the Soundscape: Creative Learning Pathways to Environmental Education in Chilean Schools
by André Rabello-Mestre, Felipe Otondo and Gabriel Morales
Sustainability 2026, 18(1), 21; https://doi.org/10.3390/su18010021 - 19 Dec 2025
Viewed by 198
Abstract
This article explores the pedagogical potential of soundscapes as creative learning tools for advancing environmental education in Chilean primary schools. Drawing on the Soundlapse project, we designed and implemented a school workshop that combined activity sheets, an online bird-sound repository, structured soundwalks, and [...] Read more.
This article explores the pedagogical potential of soundscapes as creative learning tools for advancing environmental education in Chilean primary schools. Drawing on the Soundlapse project, we designed and implemented a school workshop that combined activity sheets, an online bird-sound repository, structured soundwalks, and immersive audio concerts with teachers and students in Valdivia. The study employed a qualitative, participatory design, analyzing teacher interviews through reflexive thematic analysis. Four themes emerged: (1) listening as pedagogical practice, (2) learning through place and the senses, (3) creativity and cross-disciplinarity, and (4) implementation challenges and opportunities. Teachers emphasized the transformative role of attentive listening, which reconfigured classroom dynamics through shared silence and cultivated students’ capacity for self-regulation. Soundwalks and sensory encounters with local wetlands positioned the environment as a ‘living laboratory,’ fostering ecological awareness, attachment to place, and intergenerational knowledge. Creative activities such as sound mapping legitimized symbolic and artistic modes of representation, while interdisciplinary collaborations between science and music expanded curricular possibilities. At the same time, institutional rigidity and lack of resources highlighted the importance of teacher agency, co-designed materials, and flexible frameworks to sustain these practices. We argue that soundscape-based education offers a timely opportunity to integrate sensory, creative, and ecological dimensions into school curricula, aligning with national and international calls for interdisciplinary sustainability education. By treating listening and creativity as core rather than peripheral, such approaches may open new pathways for cultivating ecological awareness, cultural belonging, and pedagogical innovation. Full article
Show Figures

Figure 1

26 pages, 3765 KB  
Review
A Review of Mycelium-Based Composites in Architectural and Design Applications
by Anna Lewandowska, Maciej Sydor and Agata Bonenberg
Sustainability 2025, 17(24), 11350; https://doi.org/10.3390/su172411350 - 18 Dec 2025
Viewed by 588
Abstract
Mycelium-based composites are a promising sustainable material with inherent fire resistance and acoustic absorption properties, the extent of which depends on the fungal species, the substrate, and the growth technology. These materials exhibit superior fire performance compared to synthetic polymers, characterized by low [...] Read more.
Mycelium-based composites are a promising sustainable material with inherent fire resistance and acoustic absorption properties, the extent of which depends on the fungal species, the substrate, and the growth technology. These materials exhibit superior fire performance compared to synthetic polymers, characterized by low heat release, minimal smoke production, and a high char yield that inhibits flame spread. Some composites have even demonstrated self-extinguishing capabilities. Despite these advantageous properties, their application in the construction industry remains limited. To assess mycelium’s current trajectory, this study analyzes 90 real-world architectural and design projects. Our findings indicate that Ganoderma lucidum and Pleurotus ostreatus are the most commonly used fungi, cultivated on substrates such as straw, wood, and sawdust. Architectural applications are dominated by building blocks, insulation, and facade panels, whereas design and art applications focus on packaging, furniture, and sculptures. A key distinction emerges: architectural projects prioritize function, while artistic projects emphasize esthetic experimentation. Although commercially successful in packaging, the use of mycelium in construction is currently limited to temporary structures. Enhancing its structural and load-bearing properties through further research is essential for its widespread use in architecture. However, mycelium is poised to become a key material that drives innovation in sustainable construction. Full article
(This article belongs to the Section Sustainable Products and Services)
Show Figures

Figure 1

36 pages, 8767 KB  
Article
AI-Powered Multimodal System for Haiku Appreciation Based on Intelligent Data Analysis: Validation and Cross-Cultural Extension Potential
by Renjie Fan and Yuanyuan Wang
Electronics 2025, 14(24), 4921; https://doi.org/10.3390/electronics14244921 - 15 Dec 2025
Viewed by 285
Abstract
This study proposes an artificial intelligence (AI)-powered multimodal system designed to enhance the appreciation of traditional poetry, using Japanese haiku as the primary application domain. At the core of the system is an intelligent data analysis pipeline that extracts key emotional features from [...] Read more.
This study proposes an artificial intelligence (AI)-powered multimodal system designed to enhance the appreciation of traditional poetry, using Japanese haiku as the primary application domain. At the core of the system is an intelligent data analysis pipeline that extracts key emotional features from poetic texts. A fine-tuned Japanese BERT model is employed to compute three affective indices—valence, energy, and dynamism—which form a quantitative emotional representation of each haiku. These features guide a generative AI workflow: ChatGPT constructs structured image prompts based on the extracted affective cues and contextual information, and these prompts are used by DALL·E to synthesize stylistically consistent watercolor illustrations. Simultaneously, background music is automatically selected from an open-source collection by matching each poem’s affective vector with that of instrumental tracks, producing a coherent multimodal (text, image, sound) experience. A series of validation experiments demonstrated the reliability and stability of the extracted emotional features, as well as their effectiveness in supporting consistent cross-modal alignment. These results indicate that poetic emotion can be represented within a low-dimensional affective space and used as a bridge across linguistic and artistic modalities. The proposed framework illustrates a novel integration of affective computing and natural language processing (NLP) within cultural computing. Because the underlying emotional representation is linguistically agnostic, the system holds strong potential for cross-cultural extensions, including applications to Chinese classical poetry and other forms of traditional literature. Full article
Show Figures

Figure 1

20 pages, 3839 KB  
Article
Wiigwaas Enaabajichigaadeg Ji’Agindaasowinikeng: We Are Using Birch Bark to Do Math
by Anika Guthrie and Ruth Beatty
Educ. Sci. 2025, 15(12), 1670; https://doi.org/10.3390/educsci15121670 - 11 Dec 2025
Viewed by 241
Abstract
In this project, Anishinaabe artists and knowledge carriers worked with non-Indigenous classroom teachers to explore the cultural significance and mathematics of making wiigwaas makakoon (birch bark baskets). The artists spent two weeks in two grade 6 classrooms teaching students the process of basket [...] Read more.
In this project, Anishinaabe artists and knowledge carriers worked with non-Indigenous classroom teachers to explore the cultural significance and mathematics of making wiigwaas makakoon (birch bark baskets). The artists spent two weeks in two grade 6 classrooms teaching students the process of basket making. They combined Indigenous pedagogy and intentionally designed inquiry tasks in order to generate mathematically related concepts. To make cultural–mathematical connections, we looked to Battiste’s characteristics of Indigenous pedagogy and explored how the learning that took place was holistic, part of a lifelong process, experiential, rooted in language and culture, spiritual, communal, and an integration of Indigenous and Eurocentric knowledges. Mathematically, students explored measurement with non-standard units, bisected angles without the use of a protractor, and explored the best way to optimize the capacity of their baskets. This work is an example of integrating Indigenous knowledge and heritage into elementary mathematics instruction. Full article
Show Figures

Figure 1

45 pages, 59804 KB  
Article
Multi-Threshold Art Symmetry Image Segmentation and Numerical Optimization Based on the Modified Golden Jackal Optimization
by Xiaoyan Zhang, Zuowen Bao, Xinying Li and Jianfeng Wang
Symmetry 2025, 17(12), 2130; https://doi.org/10.3390/sym17122130 - 11 Dec 2025
Viewed by 292
Abstract
To address the issues of uneven population initialization, insufficient individual information interaction, and passive boundary handling in the standard Golden Jackal Optimization (GJO) algorithm, while improving the accuracy and efficiency of multilevel thresholding in artistic image segmentation, this paper proposes an improved Golden [...] Read more.
To address the issues of uneven population initialization, insufficient individual information interaction, and passive boundary handling in the standard Golden Jackal Optimization (GJO) algorithm, while improving the accuracy and efficiency of multilevel thresholding in artistic image segmentation, this paper proposes an improved Golden Jackal Optimization algorithm (MGJO) and applies it to this task. MGJO introduces a high-quality point set for population initialization, ensuring a more uniform distribution of initial individuals in the search space and better adaptation to the complex grayscale characteristics of artistic images. A dual crossover strategy, integrating horizontal and vertical information exchange, is designed to enhance individual information sharing and fine-grained dimensional search, catering to the segmentation needs of artistic image textures and color layers. Furthermore, a global-optimum-based boundary handling mechanism is constructed to prevent information loss when boundaries are exceeded, thereby preserving the boundary details of artistic images. The performance of MGJO was evaluated on the CEC2017 (dim = 30, 100) and CEC2022 (dim = 10, 20) benchmark suites against seven algorithms, including GWO and IWOA. Population diversity analysis, exploration–exploitation balance assessment, Wilcoxon rank-sum tests, and Friedman mean-rank tests all demonstrate that MGJO significantly outperforms the comparison algorithms in optimization accuracy, stability, and statistical reliability. In multilevel thresholding for artistic image segmentation, using Otsu’s between-class variance as the objective function, MGJO achieves higher fitness values (approaching Otsu’s optimal values) across various artistic images with complex textures and colors, as well as benchmark images such as Baboon, Camera, and Lena, in 4-, 6-, 8-, and 10-level thresholding tasks. The resulting segmented images exhibit superior peak signal-to-noise ratio (PSNR), structural similarity (SSIM), and feature similarity (FSIM) compared to other algorithms, more precisely preserving brushstroke details and color layers. Friedman average rankings consistently place MGJO in the lead. These experimental results indicate that MGJO effectively overcomes the performance limitations of the standard GJO, demonstrating excellent performance in both numerical optimization and multilevel thresholding artistic image segmentation. It provides an efficient solution for high-dimensional complex optimization problems and practical demands in artistic image processing. Full article
(This article belongs to the Section Engineering and Materials)
Show Figures

Figure 1

13 pages, 2447 KB  
Article
Color-Based Laser Engraving of Heritage Textile Motifs on Wood
by Antonela Lungu, Sergiu Valeriu Georgescu and Camelia Cosereanu
Appl. Sci. 2025, 15(24), 12900; https://doi.org/10.3390/app152412900 - 7 Dec 2025
Viewed by 259
Abstract
This study explores the enhancement of Beech wood (Fagus sylvatica L.) surfaces through the laser engraving of motifs inspired by Romanian textile heritage, combining cultural preservation with modern surface design techniques. A digitization and computer-aided design (CAD)-based workflow was employed to accurately [...] Read more.
This study explores the enhancement of Beech wood (Fagus sylvatica L.) surfaces through the laser engraving of motifs inspired by Romanian textile heritage, combining cultural preservation with modern surface design techniques. A digitization and computer-aided design (CAD)-based workflow was employed to accurately transfer traditional motifs onto wood substrates. Engraving was performed using a nitrogen laser at ten different power settings ranging from 10 W to 150 W, followed by color analysis of the engraved areas. The resulting surfaces were evaluated using the International Commission on Illumination (CIELab) system to identify optimal engraving conditions. Based on colorimetric analysis, three laser power settings were selected for final motif reproduction: 30 W, 45 W, and 105 W. The process enabled the accurate rendering of a traditional three-color motif, achieving both visual fidelity and aesthetic appeal. Results demonstrate that color-based laser engraving allows precise, durable, and culturally significant ornamentation of wooden surfaces. The conclusions highlight the potential of this technique to add artistic and commercial value to wood products while preserving and promoting cultural identity. Full article
Show Figures

Figure 1

20 pages, 2845 KB  
Article
From Gaze to Music: AI-Powered Personalized Audiovisual Experiences for Children’s Aesthetic Education
by Jiahui Liu, Jing Liu and Hong Yan
Behav. Sci. 2025, 15(12), 1684; https://doi.org/10.3390/bs15121684 - 4 Dec 2025
Viewed by 378
Abstract
The cultivation of aesthetic appreciation through engagement with exemplary artworks constitutes a fundamental pillar in fostering children’s cognitive and emotional development, while simultaneously facilitating multidimensional learning experiences across diverse perceptual domains. However, children in early stages of cognitive development frequently encounter substantial challenges [...] Read more.
The cultivation of aesthetic appreciation through engagement with exemplary artworks constitutes a fundamental pillar in fostering children’s cognitive and emotional development, while simultaneously facilitating multidimensional learning experiences across diverse perceptual domains. However, children in early stages of cognitive development frequently encounter substantial challenges when attempting to comprehend and internalize complex visual narratives and abstract artistic concepts inherent in sophisticated artworks. This study presents an innovative methodological framework designed to enhance children’s artwork comprehension capabilities by systematically leveraging the theoretical foundations of audio-visual cross-modal integration. Through investigation of cross-modal correspondences between visual and auditory perceptual systems, we developed a sophisticated methodology that extracts and interprets musical elements based on gaze behavior patterns derived from prior pilot studies when observing artworks. Utilizing state-of-the-art deep learning techniques, specifically Recurrent Neural Networks (RNNs), these extracted visual–musical correspondences are subsequently transformed into cohesive, aesthetically pleasing musical compositions that maintain semantic and emotional congruence with the observed visual content. The efficacy and practical applicability of our proposed method were validated through empirical evaluation involving 96 children (analyzed through objective behavioral assessments using eye-tracking technology), complemented by qualitative evaluations from 16 parents and 5 experienced preschool educators. Our findings show statistically significant improvements in children’s sustained engagement and attentional focus under AI-generated, artwork-matched audiovisual support, potentially scaffolding deeper processing and informing future developments in aesthetic education. The results demonstrate statistically significant improvements in children’s sustained engagement (fixation duration: 58.82 ± 7.38 s vs. 41.29 ± 6.92 s, p < 0.001, Cohen’s d ≈ 1.29), attentional focus (AOI gaze frequency increased 73%, p < 0.001), and subjective evaluations from parents (mean ratings 4.56–4.81/5) when visual experiences are augmented by AI-generated, personalized audio-visual experiences. Full article
(This article belongs to the Section Cognition)
Show Figures

Figure 1

20 pages, 2878 KB  
Article
Advancing Sustainable Design Education: University-Led Initiatives in Engaging Primary School Students and Empowering Communities
by Maria Sinou, Evgenia Tousi, Zoe Kanetaki, Nikos Kourniatis, Despina Kalessopoulou, Katerina Timotheou and Loukia Martha
Educ. Sci. 2025, 15(12), 1609; https://doi.org/10.3390/educsci15121609 - 28 Nov 2025
Viewed by 376
Abstract
This paper emphasizes the importance of introducing sustainable design principles to primary school children and explores educational methods that foster awareness of the built environment. Through a literature review and three case studies, the research compares different pedagogical approaches used to engage children [...] Read more.
This paper emphasizes the importance of introducing sustainable design principles to primary school children and explores educational methods that foster awareness of the built environment. Through a literature review and three case studies, the research compares different pedagogical approaches used to engage children in sustainability-focused design activities. The case studies examine methods such as STEAM-based analytical problem-solving, storytelling for conceptual understanding, and artistic installations for experiential learning. Findings highlight that tailored pedagogical strategies enhance children’s engagement, while involving university students as facilitators creates reciprocal learning benefits. The study also underscores the role of community engagement by linking local sustainability challenges to classroom learning, thereby encouraging students to apply concepts to real-world issues. Additionally, it suggests that incorporating digital and hybrid models can increase the scalability and accessibility of such programs. Overall, this research identifies best practices, strengths, and weaknesses of various approaches and proposes guiding principles for effective sustainable design education. The outcomes demonstrate the potential of university-led initiatives and collaborative frameworks to build impactful, adaptable educational models. By integrating sustainability into early education, schools and policymakers can foster environmentally conscious citizens equipped to address future challenges. Full article
Show Figures

Figure 1

28 pages, 731 KB  
Article
Research on an Automatic Classification Method for Art Film Scenes Based on Image and Audio Deep Features
by Zhaojun An and Heinz D. Fill
Appl. Sci. 2025, 15(23), 12603; https://doi.org/10.3390/app152312603 - 28 Nov 2025
Viewed by 429
Abstract
This paper addresses the challenging task of automatic scene classification in art films, a genre characterized by symbolic visuals, asynchronous audio, and non-linear storytelling. We propose Styloformer, a multimodal transformer architecture designed to integrate visual, auditory, textual, and curatorial signals into a unified [...] Read more.
This paper addresses the challenging task of automatic scene classification in art films, a genre characterized by symbolic visuals, asynchronous audio, and non-linear storytelling. We propose Styloformer, a multimodal transformer architecture designed to integrate visual, auditory, textual, and curatorial signals into a unified representation space. The model combines cross-modal attention, stylistic clustering, influence prediction, and canonicality estimation to handle the semantic and historical complexity of art cinema. Additionally, we introduce a novel module called Historiographic Navigation, which embeds ontological priors and temporal logic to support interpretive reasoning. Evaluated on multiple benchmarks, Styloformer achieves state-of-the-art performance, including 91.85% accuracy and 94.31% AUC on the MovieNet dataset—outperforming baselines such as CLIP and ViT. Ablation studies further demonstrate the importance of each architectural component. Unlike general-purpose video models, our system is tailored to the aesthetic and narrative structure of art films, making it suitable for applications in digital curation and computational film analysis. Styloformer represents a scalable and interpretable approach to understanding artistic media, bridging machine learning with art historical reasoning. Full article
Show Figures

Figure 1

20 pages, 13169 KB  
Article
Research on the Characteristics and Colours of Chinese Islamic Architecture: A Case Study of Fenghuang Temple in Hangzhou
by Rong Wang, Cheng Lin and Tao Lv
Religions 2025, 16(12), 1484; https://doi.org/10.3390/rel16121484 - 24 Nov 2025
Viewed by 491
Abstract
This study takes the Phoenix Mosque (fenghuangsi 凤凰寺) in Hangzhou as a representative case to explore the localization patterns and profound cultural connotations of colour application in Chinese Islamic architecture. The findings reveal that the architectural colour scheme of the Phoenix Mosque not [...] Read more.
This study takes the Phoenix Mosque (fenghuangsi 凤凰寺) in Hangzhou as a representative case to explore the localization patterns and profound cultural connotations of colour application in Chinese Islamic architecture. The findings reveal that the architectural colour scheme of the Phoenix Mosque not only skillfully integrates traditional Islamic symbolism with Chinese cultural aesthetics but also emphasises simplicity and purity in its overall design, vividly reflecting the unique Jiangnan (Lower Yangtze) regional aesthetic distinct from other styles of Chinese Islamic architecture. This distinctive chromatic system carries significant implications for cultural heritage preservation, artistic aesthetics, and tourism development. However, it also faces multiple challenges, including insufficient preservation techniques, risks of cultural misinterpretation, and a shortage of specialised professionals. In response, this study systematically proposes a set of comprehensive strategies that combine scientific conservation and technological innovation, deepen cultural education and communication, and strengthen talent cultivation and academic research. The aim is to provide robust theoretical foundations and practical pathways for the preservation, inheritance, and innovative development of colour traditions in Chinese Islamic architecture. Full article
Show Figures

Figure 1

23 pages, 4380 KB  
Article
How Does Culture Become an Asset? Property Rights Design and Internalised Governance on China’s Urban Peripheries
by Linhao Chen, GPTS Hemakumara and Zhigao Liu
Sustainability 2025, 17(22), 10403; https://doi.org/10.3390/su172210403 - 20 Nov 2025
Viewed by 563
Abstract
Research on culture-led urban change in China has shifted from inner-city clusters to peripheral zones where formal planning meets managed informality, yet two gaps remain. First, artistic production continues to be interpreted through a leasing lens that positions artists as temporary occupiers. Second, [...] Read more.
Research on culture-led urban change in China has shifted from inner-city clusters to peripheral zones where formal planning meets managed informality, yet two gaps remain. First, artistic production continues to be interpreted through a leasing lens that positions artists as temporary occupiers. Second, land is analysed largely at the macro scale of municipal supply and branding, while internal property rules and meso-level governance are overlooked. This paper mobilises the concept of assetisation to show how precarious cultural spaces become rule-bound assets through property-rights design. Fieldwork in Chengdu’s Blue Roof Art District draws on qualitative methods, including semi-structured interviews, policy and registration documents, and on-site observation. We examine which resources are assetised, how this occurs, and with what effects on publicness and spatial form. Our findings show that planning endorsement, the transfer of collective construction land for cultural use, and title registration with mortgageability codify eligibility, use and transfer. Studios are converted into owner-occupied assets tied to land value. Governance shifts from direct administrative control to asset management by owners and the site operator. While production stabilises and overt conflict declines, public interfaces narrow and enclave risks intensify when city priorities change. Empirically, the paper demonstrates how property-rights design operates as a meso-level governance tool that sets explicit trade-offs between stability and openness. Theoretically, it links producers to land value, bridging macro land regimes with micro political practice in urban peripheries and informing urban policy-making that prioritises sustainability. Full article
(This article belongs to the Section Sustainable Urban and Rural Development)
Show Figures

Figure 1

27 pages, 3054 KB  
Article
Between Memory and Everyday Life: Urban Design and the Role of Citizens in the Management of the Memorial Park “October in Kragujevac”
by Aleksandra Djukic, Emilija Jović, Jovana Stefanović, Lazar Mandić and Veroljub Trifunović
Land 2025, 14(11), 2273; https://doi.org/10.3390/land14112273 - 17 Nov 2025
Cited by 1 | Viewed by 991
Abstract
The Memorial Park, “October in Kragujevac,” in addition to its memorial and symbolic value, is one of the largest memorial and landscape-designed city parks in Southeastern Europe. Methods of management, maintenance, landscaping, artistic design, construction, and space use by residents have changed over [...] Read more.
The Memorial Park, “October in Kragujevac,” in addition to its memorial and symbolic value, is one of the largest memorial and landscape-designed city parks in Southeastern Europe. Methods of management, maintenance, landscaping, artistic design, construction, and space use by residents have changed over time. This research employs both quantitative and qualitative methods. Critical analysis of primary sources, mainly urban planning documents, is used to understand changes in management models and maintenance patterns. A survey was also conducted via a mobile application (Viber group: “City and Me KG”) among residents to assess their willingness to participate in managing and maintaining the space, as well as attitudes toward program content planned for specific areas. The first part outlines the urban development timeline of the Memorial Park and presents various models of management, maintenance, and use that arose due to historical events, government, and social systems. The park’s evolution relative to the city’s growth is depicted, showing its transition from peripheral space to the central urban park. The second part explores citizens’ interest in urban management and participatory design, along with attitudes toward possible changes to existing features and adding new elements for daily use, without compromising heritage, symbolism, or respect for victims. The survey also examines recognition of the park’s ecological microclimate and ecosystem functions within the city. The results suggest the potential for a new management strategy and creation of open urban spaces—landscape-designed memorial parks that meet community needs within cultural and ecological systems. Full article
(This article belongs to the Special Issue Evaluating and Managing Historic Landscapes)
Show Figures

Figure 1

Back to TopTop