Sign in to use this feature.

Years

Between: -

Subjects

remove_circle_outline
remove_circle_outline
remove_circle_outline
remove_circle_outline
remove_circle_outline
remove_circle_outline
remove_circle_outline
remove_circle_outline
remove_circle_outline

Journals

remove_circle_outline
remove_circle_outline
remove_circle_outline
remove_circle_outline
remove_circle_outline
remove_circle_outline
remove_circle_outline
remove_circle_outline
remove_circle_outline
remove_circle_outline
remove_circle_outline
remove_circle_outline

Article Types

Countries / Regions

remove_circle_outline
remove_circle_outline
remove_circle_outline
remove_circle_outline
remove_circle_outline

Search Results (1,397)

Search Parameters:
Keywords = apolipoprotein A5

Order results
Result details
Results per page
Select all
Export citation of selected articles as:
17 pages, 899 KB  
Article
Diagnostic and Severity Assessment of Coronary Artery Disease Using ApoB/ApoA-I Ratio: Insights from a Statin-Treated Eastern European Cohort
by Raul-Alexandru Jigoranu, Ovidiu Mitu, Alexandru Florinel Oancea, Radu-Stefan Miftode, Ana Maria Buburuz, Amin Bazyani, Radu-Sebastian Gavril, Theodor-Constantin Stamate, Cristina Andreea Adam, Ionela-Larisa Miftode, Antoniu Octavian Petris, Irina-Iuliana Costache Enache and Florin Mitu
Medicina 2026, 62(2), 297; https://doi.org/10.3390/medicina62020297 - 2 Feb 2026
Viewed by 52
Abstract
Background and Objectives: Atherosclerosis continues to be a major determinant of the global health burden, with ischemic heart disease representing one of the leading causes of morbidity and mortality worldwide. Although cardiovascular (CV) prevention strategies focus on pro-atherogenic lipoproteins, such as LDL-C, [...] Read more.
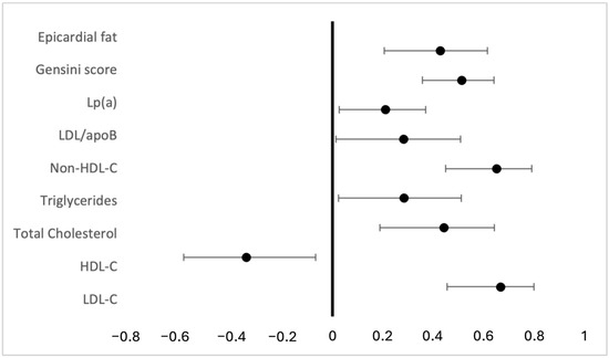
Background and Objectives: Atherosclerosis continues to be a major determinant of the global health burden, with ischemic heart disease representing one of the leading causes of morbidity and mortality worldwide. Although cardiovascular (CV) prevention strategies focus on pro-atherogenic lipoproteins, such as LDL-C, non-HDL-C, and apoB, the balance between atherogenic and anti-atherogenic lipoproteins may better reflect the overall atherogenic burden. Apolipoprotein B (apoB) reflects the total number of circulating atherogenic particles, whereas apolipoprotein A-I (apoA) is the main protein component of HDL, the major anti-atherogenic lipoprotein. Integrating these two parameters into the apoB/apoA ratio results in a composite biomarker that reflects this balance. In this study, we aimed to evaluate whether the apoB/apoA ratio can predict the presence and the severity of coronary artery disease (CAD) in a cohort from an Eastern European hospital, under moderate-intensity statin treatment. Additionally, we assessed whether lipoprotein(a) [Lp(a)] provides any additional diagnostic value. Materials and Methods: We consecutively enrolled 121 statin-treated patients, who presented for elective invasive coronary angiography. Patients with history of coronary revascularization or acute coronary syndrome were excluded. The study cohort was further divided into two groups, according to the severity of coronary stenosis: 69 patients with non-significant CAD (N-CAD) and 52 patients with hemodynamically significant CAD (S-CAD). Apolipoprotein B, apolipoprotein A-I, and lipoprotein(a) were measured using a standardized immunoturbidimetric assay, at the moment of enrollment. The severity of coronary stenosis was measured using Quantitative Coronary Analysis (QCA) software and the total coronary atherosclerotic burden of each patient was quantified using the Gensini score. Results: The apoB/apoA ratio was significantly higher in the S-CAD groups, compared with N-CAD patients (0.53 ± 0.16 vs. 0.73 ± 0.18). Furthermore, in the apoB/apoA-based analysis, the Gensini score increased progressively across the three tertiles (8.55 ± 19.60 vs. 14.57 ± 21.65 vs. 29.8 ± 27.78, p = 0.000) and so did the percentage of patients with three-vessel disease (5% vs. 19.5% vs. 32.5%, p = 0.000) and left main disease (5% vs. 7.3% vs. 20%, p = 0.031). The apoB/apoA ratio showed a significant correlation with the severity of CAD, as expressed by the Gensini score (r = 0.513, p < 0.001, 95% CI: 0.357–0.641). The association between apoB/apoA ratio and the presence and severity of CAD expanded beyond group comparison. In the logistic regression, this biomarker proved to be a valuable predictor for S-CAD (per SD increase: OR 2.509, 95% CI: 1.441–4.369, p = 0.001), three-vessel disease (per SD increase: OR 2.339, 95% CI: 1.427–3.892, p = 0.001), and left main disease (per SD increase: OR 2.771, 95% CI: 1.489–5.156, p = 0.001). The apoB/apoA ratio remained significant after adjusting for other CV risk factors and independent to LDL-C, as shown by the analysis that we performed among the lowest LDL-C tertile patients. Participants with S-CAD showed higher concentrations of Lp(a). However, adding this lipoprotein to the multivariate analysis, resulted only in a marginal improvement in the predictive power. Conclusions: The ApoB/apoA ratio emerged as an independent predictor for hemodynamically significant coronary stenosis and for CAD severity. Additionally, higher apoB/apoA values were associated with anatomical high-risk features, such as three-vessel disease or left main disease. In contrast, Lp(a) did not provide a substantial increase in the predictive power of multivariate models in this stable CAD cohort. Full article
Show Figures

Figure 1

13 pages, 440 KB  
Review
Hypertriglyceridaemia-Associated Acute Pancreatitis: Risk Stratification, Drivers, and Prevention of Recurrence
by Federica Fogacci and Arrigo F. G. Cicero
Diseases 2026, 14(2), 47; https://doi.org/10.3390/diseases14020047 - 30 Jan 2026
Viewed by 182
Abstract
Hypertriglyceridaemia is the third most common aetiology of acute pancreatitis and a leading cause of recurrence in specialized lipid clinics. The risk of acute pancreatitis rises steeply once triglycerides exceed approximately 10 mmol/L (≈885 mg/dL). Still, clinically meaningful risk may occur at lower [...] Read more.
Hypertriglyceridaemia is the third most common aetiology of acute pancreatitis and a leading cause of recurrence in specialized lipid clinics. The risk of acute pancreatitis rises steeply once triglycerides exceed approximately 10 mmol/L (≈885 mg/dL). Still, clinically meaningful risk may occur at lower levels in the presence of chylomicronaemia, metabolic stress, or pregnancy. This mini-review synthesizes contemporary evidence on epidemiology, mechanistic links between triglyceride-rich lipoproteins and pancreatic injury, and the practical distinction between secondary (acquired) and genetic drivers of severe hypertriglyceridaemia. We summarize acute management strategies aimed at rapid triglyceride reduction (including insulin-based approaches and therapeutic plasma exchange in selected scenarios) and focus on long-term prevention of recurrence through lifestyle interventions, correction of secondary contributors, and triglyceride-lowering pharmacotherapy. Finally, we discuss emerging RNA-targeted therapies against apolipoprotein C-III and angiopoietin-like 3, which are reshaping prevention strategies for familial and persistent chylomicronaemia and may reduce pancreatitis burden in the highest-risk phenotypes. Full article
Show Figures

Graphical abstract

21 pages, 4266 KB  
Article
Traffic-Related Emissions Induce Angiotensin II-Dependent Oxidative Stress in the Hippocampus of ApoE-Null Male Mice
by Tyler D. Armstrong, Usa Suwannasual, Analana Stanley, Bailee Johnson, Victoria L. Youngblood, Isabella Santiago, Mickaela Cook, Sophia M. Giasolli and Amie K. Lund
Antioxidants 2026, 15(2), 161; https://doi.org/10.3390/antiox15020161 - 25 Jan 2026
Viewed by 310
Abstract
Traffic-related air pollution (TRAP) is known to contribute to oxidative stress in the central nervous system (CNS) and has been linked to increased risk of Alzheimer’s disease (AD). Alterations in the renin–angiotensin system (RAS), specifically increased angiotensin II (Ang II) signaling via the [...] Read more.
Traffic-related air pollution (TRAP) is known to contribute to oxidative stress in the central nervous system (CNS) and has been linked to increased risk of Alzheimer’s disease (AD). Alterations in the renin–angiotensin system (RAS), specifically increased angiotensin II (Ang II) signaling via the angiotensin II type 1 (AT1) receptor, are implicated in increased oxidative stress in the CNS via activation of NADPH oxidase (NOX). As exposure to TRAP may further elevate AD risk, we investigated whether exposure to inhaled mixed gasoline and diesel vehicle emissions (MVE) promotes RAS-dependent expression of factors that contribute to AD pathophysiology in an apolipoprotein E-deficient (ApoE−/−) mouse model. Male ApoE−/− mice (6–8 weeks old) on a high-fat diet were treated with either an ACE inhibitor (captopril, 4 mg/kg/day) or water and exposed to filtered air (FA) or MVE (200 µg PM/m3) for 30 days. MVE exposure elevated plasma Ang II, inflammation, and oxidative stress in the hippocampus, associated with increased levels of Aph-1 homolog B (APH1B), a gamma-secretase subunit, and beta-secretase 1 (BACE1), involved in Aβ production. Each of these endpoints was normalized with ACEi treatment. These findings indicate that TRAP exposure in ApoE−/− mice drives a RAS- and NOX-dependent oxidative and inflammatory response and shifts Aβ processing towards an amyloidogenic profile before overt Aβ deposition, suggesting a potential therapeutic approach for air pollution-induced AD risk. Full article
(This article belongs to the Special Issue Oxidative Stress Induced by Air Pollution, 3rd Edition)
Show Figures

Graphical abstract

16 pages, 2500 KB  
Article
Cereal Vinegar Sediment Modulates the Gut Microbiota–Metabolite Axis Associated with Hyperlipidemia in Apoe−/− Mice
by Wenhui Duan, Qijie Guan, Yilin Ren, Jin-Song Shi, Zheng-Hong Xu, Yingyue Sheng, Yuzheng Xue, Chengcheng Zhang and Yan Geng
Foods 2026, 15(3), 427; https://doi.org/10.3390/foods15030427 - 24 Jan 2026
Viewed by 293
Abstract
Cereal vinegar sediment (CVS), a byproduct of traditional vinegar fermentation, has been regarded as a health-promoting product. However, its role in genetically induced hyperlipidemia remains unclear. This study systematically evaluated the effects of Dade-CVS (DD-CVS) and Hengshun-CVS (HS-CVS) on apolipoprotein-E-deficient (Apoe−/− [...] Read more.
Cereal vinegar sediment (CVS), a byproduct of traditional vinegar fermentation, has been regarded as a health-promoting product. However, its role in genetically induced hyperlipidemia remains unclear. This study systematically evaluated the effects of Dade-CVS (DD-CVS) and Hengshun-CVS (HS-CVS) on apolipoprotein-E-deficient (Apoe−/−) mice. Both CVS varieties significantly improve certain serological parameters of Apoe−/− mice, although the overall impact on serum indicators remains limited. Nevertheless, 16S rRNA sequencing revealed that CVS treatment reshaped gut microbial communities to a notable extent. Compared with the Apoe−/− mice, the DD-CVS treatment significantly increased the relative abundance of Dubosiella while reducing the genus Desulfovibrio, whereas the HS-CVS treatment inhibited the growth of Bifidobacterium and Akkermansia. The pathways predicted in the KO-DD group included vitamin, amino acid, and energy metabolism, while HS-CVS treatment was associated with bile acid biosynthesis and energy pathways. Metabolomic analysis showed that several key metabolites, including N1-acetylspermidine, succinic acid, and 25-hydroxycholesterol, were significantly altered following CVS supplementation. Correlation analysis revealed significant associations between serum indicators and these metabolites. Alistipes, Enterorhabdus, and Romboutsia were also correlated with serum indicators. Overall, these findings indicate that CVS primarily modulated the gut microbiota–metabolite axis and partial lipid modulation in hyperlipidemic mice. The study provides a reference for studies on the beneficial functions of CVS in hyperlipidemia. Full article
(This article belongs to the Section Food Nutrition)
Show Figures

Graphical abstract

21 pages, 11644 KB  
Article
Heme as a Pro-Inflammatory Stimulus in Abdominal Aortic Aneurysm
by Yuchao Ding, László Potor, Péter Sótonyi, Ágnes Szappanos, Gergő Péter Gyurok, Szilárd Póliska, Andreas Patsalos, Gábor Méhes, Lívia Beke, Katalin Éva Sikura, Erzsébet Zavaczki, Tamás Gáll, Dávid Pethő, Attila Fintha, Beáta Nagy, Béla Juhász, László Nagy, György Balla and József Balla
Antioxidants 2026, 15(2), 155; https://doi.org/10.3390/antiox15020155 - 23 Jan 2026
Viewed by 332
Abstract
Abdominal aortic aneurysm (AAA) is a lethal vascular disease characterized by intramural hemorrhage. This study delineates the signatures of heme and its metabolic imbalance related to progression and inflammation in AAA. Clinical analyses of patients undergoing open AAA surgery show that AAA patients [...] Read more.
Abdominal aortic aneurysm (AAA) is a lethal vascular disease characterized by intramural hemorrhage. This study delineates the signatures of heme and its metabolic imbalance related to progression and inflammation in AAA. Clinical analyses of patients undergoing open AAA surgery show that AAA patients exhibit vascular inflammation, with elevated serum CRP, IL-6, and heme levels correlating with the expression of heme-regulated gene Hmox1/HO-1 (heme oxygenase-1) in the affected aortic wall. Oxidation of hemoglobin to ferri state leading to accumulation of methemoglobin readily releasing heme occurs in human AAA and in angiotensin II (AngII)-induced AAA in apolipoprotein E-deficient mice. Transcriptomic analysis for AngII-induced AAA identifies upregulated genes predominantly enriched in inflammatory signaling, extracellular matrix degradation, oxidative stress pathways, and altered expression of genes related to heme metabolism including Hmox1. Immunohistochemistry for IL1β and TNFα confirms inflammatory activation within AAA tissues. The signatures of heme-responsive gene inductions, enhanced expression of HO-1 and H-ferritin, are detected. Mechanistic studies employing endothelial cells and smooth muscle cells reveal that heme exposure of resident cells markedly enhances the expression of IL1β and ICAM1, as well as the inflammasome component NLRP3, and such inflammatory response is controlled by HO-1. Intervention with Normosang (heme arginate), an HO-1 inducer, attenuates aneurysm progression, whereas HO-1 inhibition by Tin protoporphyrin IX abolishes this protection. Induction of HO-1 accompanied by elevated H-ferritin level also mitigated aortic wall inflammation as reflected by lowering IL1β and TNFα. These findings highlight the heme-HO-1-H-ferritin axis as an element of AAA pathogenesis and a potential therapeutic target. Full article
Show Figures

Graphical abstract

18 pages, 3124 KB  
Article
Diet–Microbiome Relationships in Prostate-Cancer Survivors with Prior Androgen Deprivation-Therapy Exposure and Previous Exercise Intervention Enrollment
by Jacob Raber, Abigail O’Niel, Kristin D. Kasschau, Alexandra Pederson, Naomi Robinson, Carolyn Guidarelli, Christopher Chalmers, Kerri Winters-Stone and Thomas J. Sharpton
Microorganisms 2026, 14(1), 251; https://doi.org/10.3390/microorganisms14010251 - 21 Jan 2026
Viewed by 307
Abstract
The gut microbiome is a modifiable factor in cancer survivorship. Diet represents the most practical intervention for modulating the gut microbiome. However, diet–microbiome relationships in prostate-cancer survivors remain poorly characterized. We conducted a comprehensive analysis of diet–microbiome associations in 79 prostate-cancer survivors (ages [...] Read more.
The gut microbiome is a modifiable factor in cancer survivorship. Diet represents the most practical intervention for modulating the gut microbiome. However, diet–microbiome relationships in prostate-cancer survivors remain poorly characterized. We conducted a comprehensive analysis of diet–microbiome associations in 79 prostate-cancer survivors (ages 62–81) enrolled in a randomized exercise intervention trial, 59.5% of whom still have active metastatic disease. Dietary intake was assessed using the Diet History Questionnaire (201 variables) and analyzed using three validated dietary pattern scores: Mediterranean Diet Adherence Score (MEDAS), Healthy Eating Index-2015 (HEI-2015), and the Mediterranean-Dash Intervention for Neurodegenerative Delay (MIND) diet score. Gut microbiome composition was characterized via 16S rRNA sequencing. Dimensionality reduction strategies, including theory-driven diet scores and data-driven machine learning (Random Forest, and Least Absolute Shrinkage and Selection Operator (LASSO)), were used. Statistical analyses included beta regression for alpha diversity, Permutational Multivariate Analysis of Variance (PERMANOVA) for beta diversity (both Bray–Curtis and Sørensen metrics), and Microbiome Multivariable Associations with Linear Models (MaAsLin2) with negative binomial regression for taxa-level associations. All models tested interactions with exercise intervention, APOLIPOPROTEIN E (APOE) genotype, and testosterone levels. There was an interaction between MEDAS and exercise type on gut alpha diversity (Shannon: p = 0.0022), with stronger diet–diversity associations in strength training and Tai Chi groups than flexibility controls. All three diet-quality scores predicted beta diversity (HEI p = 0.002; MIND p = 0.025; MEDAS p = 0.034) but not Bray–Curtis (abundance-weighted) distance, suggesting diet shapes community membership rather than relative abundances. Taxa-level analysis revealed 129 genera with diet associations or diet × host factor interactions. Among 297 dietary variables tested for cognitive outcomes, only caffeine significantly predicted Montreal Cognitive Assessment (MoCA) scores after False Discovery Rate (FDR) correction (p = 0.0009, q = 0.014) through direct pathways beneficial to cognitive performance without notable gut microbiome modulation. In cancer survivors, dietary recommendations should be tailored to exercise habits, genetic background, and hormonal status. Full article
(This article belongs to the Special Issue The Interactions Between Nutrients and Microbiota)
Show Figures

Figure 1

23 pages, 1130 KB  
Review
Apolipoprotein E4 in Alzheimer’s Disease: Role in Pathology, Lipid Metabolism, and Drug Treatment
by Nour F. Al-Ghraiybah, Amer E. Alkhalifa, Yutaka Itokazu, Taylor O. Farr, Naima C. Perez, Hande Ali and Amal Kaddoumi
Int. J. Mol. Sci. 2026, 27(2), 1004; https://doi.org/10.3390/ijms27021004 - 19 Jan 2026
Viewed by 306
Abstract
Alzheimer’s Disease (AD) is a neurodegenerative disorder characterized by cognitive decline and memory loss. Among the genetic risk factors linked to AD, the Apolipoprotein E4 (ApoE4) remains the strongest. It is well known that carrying the ApoE4 isoform is associated with advanced AD [...] Read more.
Alzheimer’s Disease (AD) is a neurodegenerative disorder characterized by cognitive decline and memory loss. Among the genetic risk factors linked to AD, the Apolipoprotein E4 (ApoE4) remains the strongest. It is well known that carrying the ApoE4 isoform is associated with advanced AD pathology, blood–brain barrier (BBB) disruption, and changes in lipid metabolism. In this review, we provide an overview of the role of centrally and peripherally produced ApoE in AD. After this introduction, we focus on new findings regarding ApoE4’s effects on AD pathology and BBB function. We then discuss ApoE’s role in lipid metabolism in AD, highlighting examples of lipid changes caused by carrying the ApoE4 isoform. Next, the review explores the implications of ApoE4 isoforms for current treatments—whether they involve anti-amyloid therapy or other pharmacological agents used for AD—emphasizing the importance of personalized medicine approaches for patients with this high-risk allele. This review aims to provide an updated overview of ApoE4’s effects on AD pathology and treatment. By integrating recent discoveries, it underscores the critical need to consider ApoE4 status in both research and clinical settings to enhance therapeutic strategies and outcomes for individuals with AD. Full article
Show Figures

Graphical abstract

21 pages, 5812 KB  
Article
Ferulic Acid Attenuates Heat Stress-Induced Hepatic and Intestinal Oxidative Stress and Cholesterol Metabolism Dysregulation in Juvenile Blunt Snout Bream (Megalobrama amblycephala)
by Yan Lin, Xiangjun Leng, Linjie Qian, Linghong Miao, Xiaoqin Li, Wenqiang Jiang, Siyue Lu and Zhengyan Gu
Int. J. Mol. Sci. 2026, 27(2), 925; https://doi.org/10.3390/ijms27020925 - 16 Jan 2026
Viewed by 252
Abstract
Ferulic acid (FA) is a green feed additive. To investigate the molecular mechanisms by which FA attenuates heat stress-induced hepatic and intestinal oxidative stress, as well as cholesterol metabolism disorders in Megalobrama amblycephala (9.75 ± 0.04 g), individuals were fed diets supplemented with [...] Read more.
Ferulic acid (FA) is a green feed additive. To investigate the molecular mechanisms by which FA attenuates heat stress-induced hepatic and intestinal oxidative stress, as well as cholesterol metabolism disorders in Megalobrama amblycephala (9.75 ± 0.04 g), individuals were fed diets supplemented with 0, 100, or 200 mg/kg FA for eight weeks, followed by exposure to heat stress at 34 °C for 48 h. The results indicated that FA supplementation reduced malondialdehyde levels and downregulation genes involved in inflammatory responses (e.g., interleukin-6), apoptosis (e.g., caspase 8), and endoplasmic reticulum stress (e.g., immunoglobulin binding protein) (p < 0.05), which collectively alleviated heat stress-induced hepatic and intestinal oxidative stress. FA supplementation increased the expression of ATP-binding cassette transporter A1, apolipoprotein A1, and liver X receptor α (p < 0.05), and restored liver and plasma TC levels to pre-stress levels (p < 0.05). Additionally, FA ameliorated the heat stress-induced dysbiosis of the intestinal microbiota and modulated the composition and abundance of metabolites in intestinal contents and plasma, some of which are associated with cholesterol metabolism. In conclusion, dietary FA can alleviate heat stress-induced hepatic and intestinal oxidative stress, maintain the stability of the intestinal microbiota and regulate metabolic profiles, and improve the cholesterol metabolism disorders caused by heat stress. Full article
Show Figures

Graphical abstract

11 pages, 1305 KB  
Protocol
Protocol for Engineered Compositional Asymmetry Within Nanodiscs
by Christopher F. Carnahan, Wei He, Yaqing Wang, Matthew A. Coleman and Atul N. Parikh
Membranes 2026, 16(1), 44; https://doi.org/10.3390/membranes16010044 - 16 Jan 2026
Viewed by 388
Abstract
Membrane proteins remain the most challenging targets for structural characterization, yet their elucidation provides valuable insights into protein function, disease mechanisms, and drug specificity. Structural biology platforms have advanced rapidly in recent years, notably through the development and implementation of nanodiscs—discoidal lipid–protein complexes [...] Read more.
Membrane proteins remain the most challenging targets for structural characterization, yet their elucidation provides valuable insights into protein function, disease mechanisms, and drug specificity. Structural biology platforms have advanced rapidly in recent years, notably through the development and implementation of nanodiscs—discoidal lipid–protein complexes that encapsulate and solubilize membrane proteins within a controlled, native-like environment. While nanodiscs have become powerful tools for studying membrane proteins, faithfully reconstituting the compositional asymmetry intrinsic to nearly all biological membranes has not yet been achieved. Proper membrane leaflet lipid distribution is critical for accurate protein folding, stability, and insertion. Here, we share a protocol for reconstituting tailored compositional asymmetry within nanodiscs through membrane extraction from giant unilamellar vesicles (GUVs) treated with a leaflet-specific methyl-β-cyclodextrin (mβCD) lipid exchange. Nanodisc asymmetry is verified through a geometric approach: biotin-DPPE-preloaded mβCD engages in lipid exchange with the outer leaflet of POPC GUVs solubilized by the lipid-free membrane scaffold protein (MSP) Δ49ApoA-I to form nanodisc structures. Once isolated, nanodiscs are introduced to the biotin-binding bacterial protein streptavidin. High-speed atomic force microscopy imaging depicts nanodisc–dimer complexes, indicating that biotin-DPPE was successfully reconstituted into a single leaflet of the nanodiscs. This finding outlines the first step toward engineering tailored nanodisc asymmetry and mimicking the native environment of integral proteins—a potentially powerful tool for accurately reconstituting and structurally analyzing integral membrane proteins whose functions are modulated by lipid asymmetry. Full article
Show Figures

Figure 1

16 pages, 1338 KB  
Article
Oxylipin Biomarkers of Auto-Oxidation Are Associated with Antioxidant Micronutrients and Multiple Sclerosis Disability
by Taylor R. Wicks, Anna Wolska, Diala Ghazal, Irina Shalaurova, Bianca Weinstock-Guttman, Richard W. Browne, Alan T. Remaley, Robert Zivadinov and Murali Ramanathan
Antioxidants 2026, 15(1), 102; https://doi.org/10.3390/antiox15010102 - 13 Jan 2026
Viewed by 311
Abstract
Purpose: To investigate associations between lipid oxidation biomarkers (oxylipins), antioxidant micronutrients, lipoprotein particles, and apolipoproteins in multiple sclerosis (MS). Methods: Blood and neurological assessments were collected from 30 healthy controls, 68 relapsing remitting MS subjects, and 37 progressive MS subjects. Hydroxy (H) and [...] Read more.
Purpose: To investigate associations between lipid oxidation biomarkers (oxylipins), antioxidant micronutrients, lipoprotein particles, and apolipoproteins in multiple sclerosis (MS). Methods: Blood and neurological assessments were collected from 30 healthy controls, 68 relapsing remitting MS subjects, and 37 progressive MS subjects. Hydroxy (H) and hydroperoxy lipid peroxidation products of the polyunsaturated fatty acids (PUFAs) arachidonic (20:4, ω-6), linoleic (octadecadienoic acid or ODE, 18:2, ω-6), eicosapentaenoic (20:5, ω-3), and α-linolenic (18:3, ω-3) acids were measured using liquid chromatography–mass spectrometry. Antioxidant micronutrients, including β-cryptoxanthin and lutein/zeaxanthin, were quantified by high-performance liquid chromatography. Lipoprotein and metabolite profiles were obtained using nuclear magnetic resonance spectroscopy. Regression models were adjusted for age, sex, body mass index, and disease status. Results: The 9-hydroxy octadecadienoic acid to 13-hydroxy octadecadienoic acid ratio (9-HODE/13-HODE ratio), which reflects autoxidative versus enzymatic oxidation, was associated with MS status (p = 0.002) and disability on the Expanded Disability Status Scale (p = 0.004). Lutein/zeaxanthin (p = 0.023) and β-cryptoxanthin (p = 0.028) were negatively associated with the 9-HODE/13-HODE ratio. Apolipoprotein-CII, a marker of liver-X-receptor (LXR) signaling, was associated with 9-HODE/13-HODE ratio and other oxylipins. Octadecadienoic fatty acid-derived oxylipins were negatively associated with LC3A, a mitophagy marker, and positively correlated with 7-ketocholesterol, a cholesterol autoxidation product. Conclusions: Autoxidation of PUFAs is associated with greater disability in MS. Higher β-cryptoxanthin and lutein/zeaxanthin were associated with reduced auto-oxidation. Lipid peroxidation shows associations with LXR signaling, mitophagy, inflammation, and cholesterol autoxidation. Full article
(This article belongs to the Section Health Outcomes of Antioxidants and Oxidative Stress)
Show Figures

Figure 1

16 pages, 927 KB  
Article
Population Admixture and APOB Variant Landscape in Ecuadorian Mestizo Patients with Cardiac Diseases: Potential Implications for Familial Hypercholesterolemia Genetics
by Santiago Cadena-Ullauri, Patricia Guevara-Ramírez, Viviana A. Ruiz-Pozo, Rafael Tamayo-Trujillo, Elius Paz-Cruz, Manuel Becerra-Fernández, Nieves Doménech, José Luis Laso-Bayas, Rita Ibarra-Castillo, Alejandro Cabrera-Andrade and Ana Karina Zambrano
J. Cardiovasc. Dev. Dis. 2026, 13(1), 36; https://doi.org/10.3390/jcdd13010036 - 8 Jan 2026
Viewed by 298
Abstract
Apolipoprotein B (APOB) is a key structural component of atherogenic lipoproteins and one of the principal genes implicated in familial hypercholesterolemia (FH). However, APOB genetic variation remains poorly characterized in Latin American and admixed populations. In this study, we performed a [...] Read more.
Apolipoprotein B (APOB) is a key structural component of atherogenic lipoproteins and one of the principal genes implicated in familial hypercholesterolemia (FH). However, APOB genetic variation remains poorly characterized in Latin American and admixed populations. In this study, we performed a descriptive analysis of APOB variants in 60 Ecuadorian mestizo patients with inherited cardiac conditions using next-generation sequencing (NGS) and genetic ancestry inference. A total of 227 APOB variants were identified, the majority of which were classified as benign (n = 220) or likely benign (n = 3) according to ACMG criteria, while three variants were classified as variants of uncertain significance (VUS). The most frequently observed variants included rs1042034, rs679899, rs676210, and rs1367117. Comparative allele-frequency analyses using ALFA and PAGE Latin American reference datasets demonstrated that the APOB variant frequencies observed in the cohort were comparable to those reported in other Latin American populations, reflecting the admixed genetic background of Ecuadorian mestizos, predominantly of Native American and European ancestry. No pathogenic APOB variants were detected. Although lipid measurements were not available and genotype–phenotype associations could not be assessed, this study provides the first comprehensive overview of APOB variation in Ecuadorian mestizo individuals. These findings expand population-specific genomic data for an underrepresented group and underscore the importance of regional reference datasets for accurate variant interpretation in admixed populations. Full article
(This article belongs to the Special Issue Cardiovascular Disease in Patients with Familial Hypercholesterolemia)
Show Figures

Figure 1

10 pages, 772 KB  
Article
Lipoprotein Lipase Genetic Variants rs258 and rs326 Differentially Affect Lipid Profiles and Leptin Levels in Prepubertal Spanish Caucasian Children
by Olga Pomares, Iris Pérez-Nadador, Francisco J. Mejorado-Molano, Alejandro Parra-Rodríguez, Leandro Soriano-Guillén and Carmen Garcés
J. Clin. Med. 2026, 15(2), 493; https://doi.org/10.3390/jcm15020493 - 8 Jan 2026
Viewed by 167
Abstract
Background/Objectives: Variants in the lipoprotein lipase (LPL) gene have been associated with lipid level variability and obesity; however, their role in energy homeostasis remains unclear. The aim of this study was to investigate the association of LPL single-nucleotide variants (SNVs) with [...] Read more.
Background/Objectives: Variants in the lipoprotein lipase (LPL) gene have been associated with lipid level variability and obesity; however, their role in energy homeostasis remains unclear. The aim of this study was to investigate the association of LPL single-nucleotide variants (SNVs) with lipid parameters and leptin concentrations in a cohort of prepubertal children. The sample population comprised 635 boys and 631 girls, with available information on lipid profiles and leptin levels. Methods: Five LPL SNVs (rs258, rs316, rs326, rs320, and rs328) were genotyped by Real-Time PCR using predesigned TaqMan™ Genotyping Assays. Results: An association of the LPL SNV rs258 was found with non-esterified fatty acid (NEFA) levels in males and with leptin concentrations in both sexes. On the other hand, an association of the LPL SNV rs326 was observed with low-density lipoprotein cholesterol (LDL-C) and apolipoprotein B (Apo-B) levels, displaying opposite trends in males and females. No significant associations with any of the parameters under study were observed for the remaining LPL SNVs. Conclusions: These results suggest that functional differences among LPL SNVs may either be related to an enhancement of catalytic activity or modulation of lipoprotein binding affinity, influencing the efficiency of remnant lipoprotein clearance. Full article
(This article belongs to the Section Clinical Pediatrics)
Show Figures

Figure 1

19 pages, 1332 KB  
Article
Association of Hyperbilirubinemia with Lipid Profile and Lipid-Related Diseases: A Large Community-Based Cohort Study
by Borong Yu, Yuhe Liu, Wenqian Wu, Yong Zhou, Dan Han and Yuanwen Chen
J. Clin. Med. 2026, 15(2), 455; https://doi.org/10.3390/jcm15020455 - 7 Jan 2026
Viewed by 364
Abstract
Objectives: Emerging evidence suggests that bilirubin, beyond being a metabolic byproduct, may exert protective effects against metabolic and cardiovascular diseases due to its antioxidant properties. However, its relationship with hyperlipidemia remains unclear. This study investigated the relationship between hyperbilirubinemia and hyperlipidemia in a [...] Read more.
Objectives: Emerging evidence suggests that bilirubin, beyond being a metabolic byproduct, may exert protective effects against metabolic and cardiovascular diseases due to its antioxidant properties. However, its relationship with hyperlipidemia remains unclear. This study investigated the relationship between hyperbilirubinemia and hyperlipidemia in a large, community-based cohort. Methods: Data from 8464 participants in the Jidong Community Cohort were analyzed using a cross-sectional design. Hyperbilirubinemia was defined as serum total bilirubin (STB) ≥ 17.1 μmol/L, whereas hyperlipidemia was determined based on a prior diagnosis or elevated lipid profile. Results: Of all participants, 31.6% had hyperbilirubinemia and 51.8% had hyperlipidemia. Multivariable logistic regression revealed a significant inverse association between hyperbilirubinemia and hyperlipidemia [odds ratio (OR) = 0.764, 95% confidence interval (CI) = 0.686–0.851]. This association was significant in participants aged <65 years (OR = 0.762, p < 0.0001) but not in those aged ≥65 years. Stratified analysis by smoking status further revealed a 29% reduced risk of hyperlipidemia among never-smokers (OR = 0.708, p < 0.001), but not among current (OR = 0.831, p = 0.087) or former smokers (OR = 0.685, p = 0.175). Hyperbilirubinemia was also negatively associated with TC (p < 0.0001), TGs (p < 0.0001), LDL-C (p = 0.0061), very LDL-C (VLDL-C; p = 0.0043), and apolipoprotein B (ApoB; p < 0.0001) levels, as well as the ApoB/apolipoprotein A1 (ApoA1) ratio (p = 0.0003). Restricted cubic spline analysis revealed an inverse relationship of high STB levels with the TC, TG, LDL-C, VLDL-C, and ApoB levels, as well as the ApoB/ApoA1 ratio. Moreover, elevated STB levels were inversely linked to obesity (OR = 0.747, p < 0.0001), arterial stenosis (OR = 0.806, p = 0.0462), and metabolic syndrome (OR = 0.784, p = 0.0008). Conclusions: hyperbilirubinemia may be an independent factor protective against hyperlipidemia and related lipid abnormalities; these results provide insights for the prevention and management of lipid-related diseases. Full article
(This article belongs to the Section Cardiovascular Medicine)
Show Figures

Figure 1

13 pages, 528 KB  
Article
Very-Low-Density Lipoproteins Quantity but Not Composition Is Altered in Normotriglyceridemic Subjects with Elevated Lipoprotein (a) Level
by Ewa Wieczorek-Breitzke, Martyna Feliksiak, Agnieszka Kuchta, Maciej Jankowski and Agnieszka Ćwiklińska
Int. J. Mol. Sci. 2026, 27(2), 556; https://doi.org/10.3390/ijms27020556 - 6 Jan 2026
Viewed by 242
Abstract
Cardiovascular disease (CVD) is influenced by disturbances in lipoprotein composition and metabolism, including triglyceride-rich lipoproteins (TRLs) and elevated lipoprotein (a) (Lp(a)). While interactions between Lp(a) and very-low-density lipoproteins (VLDL) have been studied in hypertriglyceridemic and CVD populations, data in normotriglyceridemic individuals without CV [...] Read more.
Cardiovascular disease (CVD) is influenced by disturbances in lipoprotein composition and metabolism, including triglyceride-rich lipoproteins (TRLs) and elevated lipoprotein (a) (Lp(a)). While interactions between Lp(a) and very-low-density lipoproteins (VLDL) have been studied in hypertriglyceridemic and CVD populations, data in normotriglyceridemic individuals without CV events are limited. Seventy normotriglyceridemic adults with triglycerides < 150 mg/dL and no CV events were enrolled and divided into two groups based on Lp(a) concentration: <30 mg/dL and ≥30 mg/dL. VLDL was isolated by ultracentrifugation, and concentrations of Lp(a), lipids (triglycerides, cholesterol), and apolipoproteins (apo B, apo C-II, apo C-III, apo E) were measured in serum and VLDL. Serum lipid and apolipoprotein concentrations did not differ between the groups. Individuals with Lp(a) ≥ 30 mg/dL had significantly higher VLDL concentrations of triglycerides (+71%), cholesterol (+54%), apo B (+28%), apo C-II (+36%), and apo C-III (+33%). Ratios of lipids and apolipoproteins to apo B indicated unchanged VLDL particle composition, suggesting that differences reflected increased particle number rather than altered composition. In normotriglyceridemic subjects with Lp(a) ≥ 30 mg/dL, VLDL particles are more abundant but compositionally unchanged. Redistribution of lipids and apolipoproteins toward VLDL may contribute to VLDL residual cardiovascular risk, underscoring the need for further studies on VLDL-Lp(a) interactions. Full article
(This article belongs to the Special Issue Lipid Metabolism in Human Health and Diseases)
Show Figures

Figure 1

15 pages, 822 KB  
Article
Distribution of ApoE Gene Polymorphism and Its Association with the Lipid Profile Among Type 2 Diabetes Mellitus Black South Africans
by Siphesihle Mkhwanazi, Tumelo Jessica Mapheto, Honey Bridget Mkhondo, Olebogeng Harold Majane, Sechene Stanley Gololo and Mashudu Nemukula
Diabetology 2026, 7(1), 8; https://doi.org/10.3390/diabetology7010008 - 4 Jan 2026
Viewed by 430
Abstract
Background: ApoE is a major regulator of lipid metabolism and glycaemic control. The aim of the current study is to investigate the ApoE gene polymorphisms among Black South Africans with and without type 2 diabetes mellitus (T2DM) and associate them with their [...] Read more.
Background: ApoE is a major regulator of lipid metabolism and glycaemic control. The aim of the current study is to investigate the ApoE gene polymorphisms among Black South Africans with and without type 2 diabetes mellitus (T2DM) and associate them with their lipid profile. Methods: A cross-sectional case–control study was conducted among 107 participants, divided into two groups: patients with T2DM (n = 65) and non-diabetic controls (n = 42). Blood samples were collected for analysis of glycated haemoglobin, lipid profile, nitric oxide, high-sensitivity C-reactive protein and DNA genotyping using the MALDI-TOF. Continuous variables were analysed using Student’s t-test or one-way analysis of variance (ANOVA). Genotype and allele frequencies were compared using Fisher’s exact tests. Results: The ApoE3 allele was the most prevalent among both groups, observed in 55.47% in T2DM patients and 52.38% in the non-diabetic group, followed by E4 and E2. HWE analysis revealed a deviation from equilibrium [χ2 (3) = 9.137, p = 0.0275]. TG levels differed significantly across ApoE alleles (F = 3.68, p = 0.03), with higher TG concentrations observed among E3 allele carriers and E4 allele carriers. Poor glycaemic control (HbA1c ≥ 7.0%) predominated across all ApoE alleles. Among E3 allele carriers, 75.0% of participants exhibited poor glycaemic control, whereas only 25.0% achieved good glycaemic control (p = 0.002). Conclusions: ApoE polymorphisms are associated with allele-specific heterogeneity in lipid metabolism and glycaemic control among individuals with T2DM, underscoring the complex, context-dependent role of genetic variation in metabolic dysregulation within African populations. Full article
Show Figures

Figure 1

Back to TopTop