Sign in to use this feature.

Years

Between: -

Subjects

remove_circle_outline
remove_circle_outline
remove_circle_outline
remove_circle_outline
remove_circle_outline
remove_circle_outline
remove_circle_outline
remove_circle_outline
remove_circle_outline

Journals

remove_circle_outline
remove_circle_outline
remove_circle_outline
remove_circle_outline
remove_circle_outline
remove_circle_outline
remove_circle_outline
remove_circle_outline
remove_circle_outline
remove_circle_outline
remove_circle_outline

Article Types

Countries / Regions

remove_circle_outline
remove_circle_outline
remove_circle_outline
remove_circle_outline
remove_circle_outline
remove_circle_outline

Search Results (2,280)

Search Parameters:
Keywords = angle of incidence

Order results
Result details
Results per page
Select all
Export citation of selected articles as:
15 pages, 73866 KB  
Article
A Miniaturized Dual-Band Frequency Selective Surface with Enhanced Capacitance Loading for WLAN Applications
by Muhammad Idrees, Sai-Wai Wong, Abdul Majeed, Shu-Qing Zhang and Yejun He
Sensors 2025, 25(24), 7421; https://doi.org/10.3390/s25247421 - 5 Dec 2025
Abstract
This article presents a miniaturized dual-band frequency selective surface (FSS) based on capacitance-enhancing technique for RF shielding applications. The FSS incorporates two independent corner-modified square loop (CMSL) elements realized on a lossy dielectric, effectively suppressing the WiFi 2.45 GHz and WLAN 5.5 GHz [...] Read more.
This article presents a miniaturized dual-band frequency selective surface (FSS) based on capacitance-enhancing technique for RF shielding applications. The FSS incorporates two independent corner-modified square loop (CMSL) elements realized on a lossy dielectric, effectively suppressing the WiFi 2.45 GHz and WLAN 5.5 GHz bands simultaneously. The capacitance of FSS element is enhanced through corner truncation without using additional lumped elements. The symmetric geometry enables the FSS shield to manifest angularly stable and polarization-insensitive spectral responses under various oblique incident angles. Moreover, an equivalent circuit model (ECM) of the FSS structure is designed. A finite FSS prototype is fabricated and tested to verify the EM simulations. The measured results are in good agreement with the simulated responses. More importantly, the proposed design is scalable to other frequencies and is capable of selectively mitigating electromagnetic interference or confine the EM fields. Full article
(This article belongs to the Special Issue Antenna Technologies for Microwave and Millimeter-Wave Sensing)
14 pages, 2266 KB  
Article
Determination of Optimal Tilt and Orientation Angles for Fixed Photovoltaic Systems Using a Three-Dimensional Vector Analysis of Direct Normal Irradiance in Equatorial Regions
by Riccio Francisco Ruperto, Pilacuan-Bonete Luis and Plaza V. Ángel
Solar 2025, 5(4), 55; https://doi.org/10.3390/solar5040055 - 1 Dec 2025
Viewed by 86
Abstract
Efficient utilization of solar energy in equatorial regions depends on accurately determining the optimal tilt and azimuth angles of fixed photovoltaic (PV) systems. This study presents a three-dimensional vector-based methodology that employs Direct Normal Irradiance (DNI) to estimate the mean direction of incident [...] Read more.
Efficient utilization of solar energy in equatorial regions depends on accurately determining the optimal tilt and azimuth angles of fixed photovoltaic (PV) systems. This study presents a three-dimensional vector-based methodology that employs Direct Normal Irradiance (DNI) to estimate the mean direction of incident solar flux. Hourly DNI data from 2020–2024 for the city of Guayaquil, Ecuador, were transformed into spatial vectors and integrated to obtain a resultant vector representing the average orientation and elevation of direct solar radiation. The analysis yielded an optimal tilt angle of 5.73° and an azimuth of 59.15°, values consistent with Guayaquil’s equatorial latitude and previous studies conducted in tropical environments. The low tilt angle reflects the persistently high solar elevation typical of equatorial zones, while the slight northeastward orientation deviation corresponds to the asymmetric diurnal distribution of solar irradiance. The main contribution of this work lies in providing a geometrically rigorous and computationally efficient approach capable of synthesizing the directional behavior of solar flux without relying on complex transposition models. The proposed method enhances the optimization of PV system design, urban energy planning, and renewable microgrid modeling in data-scarce contexts, supporting the sustainable development of solar energy in equatorial regions. Full article
Show Figures

Figure 1

29 pages, 7214 KB  
Article
Quantitative Analysis of Phase Response Enhancement in Distributed Acoustic Sensing Systems Using Helical Fiber Winding Technology
by Yuxing Duan, Shangming Du, Tianwei Chen, Can Guo, Song Wu and Lei Liang
Sensors 2025, 25(23), 7289; https://doi.org/10.3390/s25237289 - 29 Nov 2025
Viewed by 355
Abstract
In this paper, we investigate the physical mechanics of vibration wave detection in distributed acoustic sensing (DAS) systems with the aim of enhancing the interpretation of the quantitative wavefield. We investigate the nonlinear relationship of DAS gauge length and pulse width on the [...] Read more.
In this paper, we investigate the physical mechanics of vibration wave detection in distributed acoustic sensing (DAS) systems with the aim of enhancing the interpretation of the quantitative wavefield. We investigate the nonlinear relationship of DAS gauge length and pulse width on the seismic wave response, and the result is explained by the trigonometric relationship of backscattered Rayleigh wave phases. We further demonstrate the influence of spiral winding on DAS performance and also build phase response models for P-waves and S-waves in helically wound cables. These models suggest that the winding angle controls the measurement interval spacing and the angle of wave incidence. Additionally, integration of structural reinforcement improves the amplitude response characteristics and SNR. The experimentally inspired results show, using simulations and field tests, that the same vibration sources can give helically wound cables with larger winding angles the largest phase amplitudes, which would substantially exceed that of straight cables. SNR increased significantly (approximately 10% to 30%). The efficacy of the method was also checked using experiments for different vibration amplitudes and frequencies. Such results provide evidence for the design and installation of fiber-optic cables for use in practical engineering applications involving safety monitoring. Full article
(This article belongs to the Special Issue Emerging Trends in Optical Sensing)
Show Figures

Figure 1

28 pages, 8852 KB  
Article
Experimental Study on Seabed Stability Around an Offshore Pipeline Under Waves and Currents: Local Scour and Pore-Water Pressure
by Mengxiao Li, Dong-Sheng Jeng, Lin Cui, Zuodong Liang, Zheng Wang, Dajun Liu, Dayu Chang and Ke Sun
J. Mar. Sci. Eng. 2025, 13(12), 2278; https://doi.org/10.3390/jmse13122278 - 29 Nov 2025
Viewed by 224
Abstract
Offshore pipelines are commonly used for the transportation of oil and gas from offshore to near-shore facilities in the oil and gas industry. In ocean environments, the wave- and current- induced pore-water pressure within the seabed, and the associated seabed liquefaction and local [...] Read more.
Offshore pipelines are commonly used for the transportation of oil and gas from offshore to near-shore facilities in the oil and gas industry. In ocean environments, the wave- and current- induced pore-water pressure within the seabed, and the associated seabed liquefaction and local scour around pipelines, are widely recognised as among the key factors in the design of offshore pipelines. In this paper, a series of wave flume experiments were carried out on the three-dimensional (3D) scouring around a pipeline. In the experiment, in addition to the measurement of hydrodynamic characteristics and local scour, the pore-water pressure within a sandy seabed was measured. Both waves and currents were considered with different incident angles to the pipeline. This study focuses on the relationship between the variation in pore-water pressure and the development of the scouring process around the pipeline, as well as the evolution of the 3D scouring morphology near the pipeline. The experimental results show that the pore-water pressure exhibits significant changes (up to 12.5% of P0) in the beginning stage of the scouring process, especially in the area below the pipeline, where the influence of scouring on pore-water pressure is most obvious. Full article
(This article belongs to the Section Coastal Engineering)
Show Figures

Figure 1

13 pages, 2862 KB  
Article
Treatment of Primary Cervical Spine Infections: A Single-Center Analysis of the Management of 59 Patients over Three Decades
by Myung-Jin Sung and Sung-Kyu Kim
J. Clin. Med. 2025, 14(23), 8446; https://doi.org/10.3390/jcm14238446 - 28 Nov 2025
Viewed by 150
Abstract
Background: Primary cervical spine infection is a rare but rapidly progressive disease that can cause early neurological damage, leading to increased morbidity and mortality. Despite its rising incidence, optimal treatment remains controversial. This study compared clinical, hematological, microbiological, and radiological outcomes among such [...] Read more.
Background: Primary cervical spine infection is a rare but rapidly progressive disease that can cause early neurological damage, leading to increased morbidity and mortality. Despite its rising incidence, optimal treatment remains controversial. This study compared clinical, hematological, microbiological, and radiological outcomes among such patients treated with different methods. Methods: This retrospective comparative study is a secondary analysis of a previously reported cohort of 59 patients with primary cervical spine infection between 1992 and 2018 at a single institution. Patients were stratified into conservative (Group C, n = 14), surgery with instrumentation (Group S + I, n = 32), and surgery without instrumentation (Group S, n = 13) groups. Outcome measures included neurological status, antibiotic duration, hematological markers, radiological parameters (segmental angle, C2–C7 angle, segmental height, fusion rate), and complications. Results: The mean age and follow-up period were 61.4 years and 19.4 months, respectively. Group S + I demonstrated significantly better neurological outcomes at the last follow-up (p = 0.047) and shorter antibiotic treatment duration (p < 0.001). Radiological outcomes were superior in Group S + I, with greater improvements in segmental angle (p < 0.001), C2-C7 angle (p < 0.001), mean segmental height (p < 0.001), and fusion rate (84.4% vs. 14.3% and 46.2% in Group C and Group S, respectively; p < 0.001). Group S had significantly higher complication (46.2%, p = 0.011) and mortality (30.8%, p = 0.001). Hematological and microbiological results were not significantly different among groups. Conclusions: Surgical debridement with anterior instrumentation provided superior outcomes compared with conservative treatment or surgery without instrumentation. Early surgery with appropriate stabilization should be considered to optimize prognosis and minimize complications. Full article
(This article belongs to the Special Issue Clinical Advances in Orthopedic Infections)
Show Figures

Figure 1

28 pages, 2888 KB  
Article
Decoding Coherent Patterns from Arrayed Waveguides for Free-Space Optical Angle-of-Arrival Estimation
by Jinwen Zhang, Haitao Zhang and Zhuoyi Yang
Sensors 2025, 25(23), 7231; https://doi.org/10.3390/s25237231 - 27 Nov 2025
Viewed by 251
Abstract
This paper presents a novel free-space optical Angle-of-Arrival (AOA) estimation method based on arrayed waveguide coherent mode decoding, aiming to surpass the inherent limitations of traditional AOA detection technologies, which face significant challenges in achieving miniaturization, low complexity, and high reliability. The method [...] Read more.
This paper presents a novel free-space optical Angle-of-Arrival (AOA) estimation method based on arrayed waveguide coherent mode decoding, aiming to surpass the inherent limitations of traditional AOA detection technologies, which face significant challenges in achieving miniaturization, low complexity, and high reliability. The method utilizes the AOA-related phase differences generated by the propagation and interference of incident light in an arrayed input waveguide, forming multi-beam interference fringes at the output end of the slab waveguide. This pattern is then sampled by an arrayed output waveguide to produce an intensity sequence, which is then fed into a trained CNN–Attention Regressor for AOA estimation. This study innovatively applies the method to decoding the spatial angular information of optical signals. Simulation results demonstrate the exceptional performance of our approach, achieving a Mean Absolute Error (MAE) of 0.0142° and a Root Mean Square Error (RMSE) of 0.0193° over a 40° field of view. This precision is significantly superior to conventional peak–linear calibration methods and other common neural network architectures, and exhibits remarkable robustness against simulated phase noise and manufacturing tolerances. This research demonstrates the powerful synergy between integrated photonics and deep learning, paving the way for a new class of highly integrated, robust, and high-performance on-chip optical sensors. Full article
(This article belongs to the Special Issue Advances in Optical Sensing, Instrumentation and Systems: 2nd Edition)
Show Figures

Figure 1

21 pages, 6067 KB  
Article
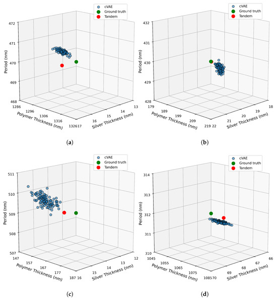
Data-Driven Inverse Design of Hybrid Waveguide Gratings Using Reflection Spectra via Tandem Networks and Conditional VAEs
by Shahrzad Dehghani, Christopher Knoth, Shaghayegh Eskandari, Maximilian Buchmüller, Tobias Meisen and Patrick Görrn
Optics 2025, 6(4), 61; https://doi.org/10.3390/opt6040061 - 26 Nov 2025
Viewed by 185
Abstract
This study presents a data-driven inverse design approach for one-dimensional hybrid waveguide gratings using full reflection spectra across the visible range and a complete span of incident angles. Traditionally, designing such structures to achieve specific optical responses relies on parameter sweeps and iterative [...] Read more.
This study presents a data-driven inverse design approach for one-dimensional hybrid waveguide gratings using full reflection spectra across the visible range and a complete span of incident angles. Traditionally, designing such structures to achieve specific optical responses relies on parameter sweeps and iterative simulations which are computationally expensive, time-consuming, and often inefficient. To overcome this, we generated a comprehensive dataset using rigorous coupled-wave analysis (RCWA) simulations and trained two machine learning models: a deterministic tandem network and a generative conditional Variational Autoencoder (cVAE). Both models were trained on noisy reflection spectra to mimic real-world measurements. They both predict structural parameters accurately on clean and noisy data. On clean data, the mean absolute error (MAE) for silver thickness and grating period is below 1 nm. For the dielectric layer, the error is about 13–15 nm. When noise is added, the Tandem network performs best with low to moderate noise. The cVAE, however, stays more stable under high noise conditions. At σ=0.3, the cVAE model reliably predicts the silver thickness and grating period, with MAEs below 6 nm. The main error comes from the dielectric thickness. Sensitivity analysis of reflection spectra confirms this trend. The reflection is least sensitive to the dielectric thickness, while silver thickness and grating period dominate. This analysis provides physical insight for waveguide design as well in which, accurate control of silver thickness and grating period is far more critical than small errors in dielectric thickness. In general, our approach enables rapid prediction of structural parameters of hybrid waveguide gratings from reflection spectra. This reduces design time and reliance on complex microscopic measurements, with potential applications in sensing, communication, and integrated photonics. Full article
Show Figures

Figure 1

14 pages, 4599 KB  
Article
Improvement of a Switchable Wide-Incident-Angle Perfect Absorber Incorporating Sb2S3
by Yaolan Tian, Guoxu Zhang, Yan Li, Mei Shen, Yufeng Xiong, Ting Li, Yunzheng Wang, Xian Zhao and Changbao Ma
Materials 2025, 18(23), 5305; https://doi.org/10.3390/ma18235305 - 25 Nov 2025
Viewed by 238
Abstract
Active metasurfaces, whose optical properties can be tuned by an external stimulus such as electric or laser pulses, have attracted great research interest recently. The phase change material (PCM), antimony sulfide (Sb2S3), has been reported to modulate resonance wavelengths [...] Read more.
Active metasurfaces, whose optical properties can be tuned by an external stimulus such as electric or laser pulses, have attracted great research interest recently. The phase change material (PCM), antimony sulfide (Sb2S3), has been reported to modulate resonance wavelengths from the visible to the infrared. Here, we present a purely numerical study of an active and nonvolatile narrow-band perfect absorber in the infrared region based on a nanostructured metal–insulator–metal (MIM) metasurface incorporating Sb2S3. The proposed absorber exhibits a high quality factor and achieves near-unity absorption at resonance wavelengths. In addition, the absorption spectrum can be dynamically modulated by the phase transition of Sb2S3, with a modulation range approaching 1 μm. Moreover, the designed absorber shows insensitivity to the angle of incidence. This study offers a feasible strategy for developing Sb2S3-integrated metasurface perfect absorbers with potential applications in selective thermal emitters and bolometers. Full article
Show Figures

Figure 1

18 pages, 2686 KB  
Article
SAR-Constrained Wireless Power Transfer Modeling for an Implantable Optical Neurostimulator Sensors
by So-Hyun Cho, Tahsin Nairuz and Jong-Ha Lee
Sensors 2025, 25(23), 7168; https://doi.org/10.3390/s25237168 - 24 Nov 2025
Viewed by 282
Abstract
This study investigates the optimal operating conditions for an implantable photonic stimulation device, focusing on energy delivery efficiency and electromagnetic safety in biological tissue. COMSOL Multiphysics simulations were conducted to evaluate key light source parameters, including wavelength, output power, and incident angle. A [...] Read more.
This study investigates the optimal operating conditions for an implantable photonic stimulation device, focusing on energy delivery efficiency and electromagnetic safety in biological tissue. COMSOL Multiphysics simulations were conducted to evaluate key light source parameters, including wavelength, output power, and incident angle. A transmitting RF coil was designed at a 1.35 MHz resonance frequency for wireless power transfer (WPT), and its resonant characteristics were analyzed using inductance and capacitance values. Specific Absorption Rate (SAR) simulations were performed with a 10 g hemispherical averaging region following international safety standards. Results showed that light absorption was maximized in the cerebellum and cerebrospinal fluid at a wavelength of 660 nm, with a 20° incident angle enabling the deepest tissue penetration. In vascular reflectance analysis, 660 nm wavelength produced the largest reflectance variation (∆R) across cardiac cycles and the lowest overall reflectance, indicating its suitability for optical biosignal detection and neural stimulation. SAR analysis demonstrated an average value of 0.0074 W/kg and a peak value of 0.82 W/kg, both substantially below the 2 W/kg safety threshold. These findings confirm that the proposed device design meets optical performance and biocompatibility requirements, highlighting its potential as a next-generation platform for precision phototherapy and future neurotherapeutic applications. Full article
(This article belongs to the Section Physical Sensors)
Show Figures

Figure 1

37 pages, 10980 KB  
Article
Study on the Shielding Effectiveness of Airborne Navigation Equipment Enclosures Under High-Intensity Radiated Fields (HIRFs)
by Xin Li, Hangyu Chen, Chao Zhou, Yifang Tan, Junxiong Wang, Yizhi Shen, Yibing Wang and Juncheng Huang
Processes 2025, 13(12), 3782; https://doi.org/10.3390/pr13123782 - 23 Nov 2025
Viewed by 242
Abstract
High-Intensity Radiated Fields (HIRFs) can cause severe interference to airborne GNSS equipment. This paper builds a CST model based on the real structure and evaluates shielding effectiveness (SE) with respect to frequency, material, polarization, angle of incidence, and aperture; anechoic-chamber tests combined with [...] Read more.
High-Intensity Radiated Fields (HIRFs) can cause severe interference to airborne GNSS equipment. This paper builds a CST model based on the real structure and evaluates shielding effectiveness (SE) with respect to frequency, material, polarization, angle of incidence, and aperture; anechoic-chamber tests combined with the DO-160G compliance method (Section 20, Class G) are then conducted, and this integrated scheme: (1) validates the simulation’s effectiveness and confirms the HIRF coupling risk; (2) reveals the GNSS failure mechanism—C/N0 decrease → DOP increase → loss of lock. Subsequently, an equation-based mechanism framework (cavity modes, slot/aperture coupling, waveguide-below-cutoff, thickness attenuation) is proposed, together with an effective-dimension correction, by which a single-point calibration can predict the remaining resonances. Accordingly, mechanism-aligned design strategies are provided (aperture control and honeycomb windows, geometric detuning and local absorbers, high-permeability inserts, multi-polarization and multi-directional protection), achieving predictable, verifiable, and quantifiable improvements in SE. Full article
Show Figures

Figure 1

13 pages, 2405 KB  
Article
Biochemical Sensing Application of Surface Plasmon Resonance Sensor Based on Flexible PDMS Substrate
by Danfeng Lu, Mingyue Li, Chenxi Yang, Luyang Chen, Minghui Wang and Congjun Cao
Sensors 2025, 25(22), 7087; https://doi.org/10.3390/s25227087 - 20 Nov 2025
Viewed by 323
Abstract
This study presents the design and implementation of a surface plasmon resonance (SPR) sensor in the Kretschmann configuration, employing a gold film deposited on a flexible polydimethylsiloxane (PDMS) substrate as the SPR chip. The refractive-index sensitivity of the SPR sensor was evaluated with [...] Read more.
This study presents the design and implementation of a surface plasmon resonance (SPR) sensor in the Kretschmann configuration, employing a gold film deposited on a flexible polydimethylsiloxane (PDMS) substrate as the SPR chip. The refractive-index sensitivity of the SPR sensor was evaluated with sodium chloride solutions of varying concentrations. Optimizing for both sensitivity and detection accuracy, the incident angle was fixed at 13°. The sensor exhibited a sensitivity of 3385.5 nm/RIU. Remarkably, the sensitivity variation was merely 1% after subjecting the sensor chip to 50 bending cycles in both forward and reverse directions. The sensor’s efficacy was further validated through the detection of alcohol content in three different Chinese Baijiu samples, yielding a maximum relative error of 4.04% and a minimum error of 0.17%. Additionally, the sensor was utilized to study the adsorption behavior of glutathione (GSH) on the gold film under varying pH conditions. The findings revealed optimal immediate adsorption at pH = 12, attributed to the complete deprotonation of mercapto groups, facilitating the formation of Au-S bonds with gold atoms. The best film-forming effect was observed at pH = 7, where the interplay of attractive and repulsive forces among different molecular groups led to the gradual extension of the molecular chain, resulting in a thicker molecular film. Full article
(This article belongs to the Section Nanosensors)
Show Figures

Figure 1

10 pages, 520 KB  
Article
Infrared Dielectric Function of Dragonfly Dielectric Ink 1092 Polymer from 300 cm−1 to 6000 cm−1
by Dustin Louisos, Joseph Engeland, Nuren Z. Shuchi, Samuel I. Gatley, John F. Federici, Benjamin Thomas, Ian Gatley, Glenn D. Boreman and Tino Hofmann
Optics 2025, 6(4), 59; https://doi.org/10.3390/opt6040059 - 19 Nov 2025
Viewed by 220
Abstract
This work focuses on the characterization of the complex dielectric function of a polymer material, which is UV-cured dielectric ink 1092, used in the DragonFly IV 3D inkjet printer. Infrared spectroscopic ellipsometry was performed over the spectral range of 300–4000 cm−1 at [...] Read more.
This work focuses on the characterization of the complex dielectric function of a polymer material, which is UV-cured dielectric ink 1092, used in the DragonFly IV 3D inkjet printer. Infrared spectroscopic ellipsometry was performed over the spectral range of 300–4000 cm−1 at multiple angles of incidence to extract both real and imaginary components of the dielectric response. In addition, polarized transmission measurements were taken over the spectral range from 300–6000 cm−1 to aid in characterization. We report an isotropic dielectric function model that is composed of oscillators with both Gaussian and Lorentzian broadening. This model reveals strong absorption bands at 925–1500 cm−1, 1600–1775cm1, and 2840–3000 cm−1 while otherwise appearing largely transparent. This parameterized dielectric function is critical in first-principles modeling of infrared optical components and metamaterials fabricated using this polymer. Full article
Show Figures

Figure 1

40 pages, 12756 KB  
Article
4D Pointwise Terrestrial Laser Scanning Calibration: Radiometric Calibration of Point Clouds
by Mansoor Sabzali and Lloyd Pilgrim
Sensors 2025, 25(22), 7035; https://doi.org/10.3390/s25227035 - 18 Nov 2025
Viewed by 379
Abstract
Terrestrial Laser Scanners (TLS), as monostatic LiDAR systems, emit and receive laser pulses through a single aperture, which ensures the simultaneous measurement of signal geometry and intensity. The relative intensity of a signal, defined as the ratio of received to transmitted power, directly [...] Read more.
Terrestrial Laser Scanners (TLS), as monostatic LiDAR systems, emit and receive laser pulses through a single aperture, which ensures the simultaneous measurement of signal geometry and intensity. The relative intensity of a signal, defined as the ratio of received to transmitted power, directly describes the strength and quality of the reflected signal and the corresponding radiometric uncertainty of individual points. The LiDAR range equation provides the physical connection for characterizing signal strength as a function of reflectivity and other spatial parameters. In this research, theoretical developments of the texture-dependent LiDAR range equation, in conjunction with a neural network method, are presented. The two-step approach aims to improve the accuracy of signal intensities by enhancing signal reflectivity estimation and the precision of signal intensities by reducing their sensitivity to variations in spatial characteristics—range and incidence angle. This establishes the intensity as the standard fourth dimension of the 3D point cloud based on the inherent target quality. For validation, four terrestrial laser scanners—Leica ScanStation P50, Leica ScanStation C10, Leica RTC360, and Trimble X9—are evaluated. Results demonstrate significant improvements of at least 40% in accuracy and 97% in precision for the color intensities of individual points across the devices. This research enables a 4D TLS point cloud calibration framework for further investigations on other internal and external geometries of targets (target materials, roughness, albedo, and edgy and tilted surfaces), which allows the standardization of radiometric values. Full article
(This article belongs to the Section Radar Sensors)
Show Figures

Figure 1

17 pages, 8739 KB  
Article
Study on the Effect of Laser Shock Angle on Surface Integrity and Wear Performance of H13 Steel
by Ke Tang, Jiang Zhu, Zejie Li, Shiqi Chen, Yuqiang Zhang, Yunfeng Yan, Qing Hao, Bicheng Guo, Fasheng Zhong, Weiwen Chen, Shizhang Liu and Jiashun Gao
Lubricants 2025, 13(11), 502; https://doi.org/10.3390/lubricants13110502 - 17 Nov 2025
Viewed by 372
Abstract
The internal surfaces of hot-working dies are prone to wear and fatigue fracture during service, often necessitating surface modification and strengthening. Among available techniques, laser shock peening (LSP) is an effective surface strengthening method. However, when treating internal surfaces, achieving perpendicular laser incidence [...] Read more.
The internal surfaces of hot-working dies are prone to wear and fatigue fracture during service, often necessitating surface modification and strengthening. Among available techniques, laser shock peening (LSP) is an effective surface strengthening method. However, when treating internal surfaces, achieving perpendicular laser incidence is difficult, and irradiation must often be applied at an angle. To clarify the relationship between the laser incidence angle and the strengthening effect, this study applied laser shock peening to H13 steel at various incidence angles(0°, 15°, 30°, 45°) with a spot diameter of 3 mm, using laser energies of 8 J, 8.2 J, 9.2 J, and 11.3 J, respectively, and maintaining a fixed power density of 1.41 GW/cm2. By maintaining a consistent power density through laser energy compensation, the influence of the incidence angle on surface integrity and wear resistance of the hole structure was systematically investigated. The results show that as the impact angle increases from 0° to 45°, the depth of the affected material layer gradually decreases. Surface microhardness and residual compressive stress peak at a 30° impact angle, reaching values of 633.5 HV1 and 517.4 Mpa, respectively. Wear tests indicated that the friction coefficient was lowest at 30° (0.542), with the dominant wear mechanism shifting from abrasive to adhesive wear. Under controlled power density conditions, oblique laser impact improves surface properties at the expense of a reduced thickness of the affected layer. Full article
Show Figures

Figure 1

11 pages, 3368 KB  
Article
Charge-Domain Type 2.2 µm BSI Global Shutter Pixel with Dual-Depth DTI Produced by Thick-Film Epitaxial Process
by Toshifumi Yokoyama, Masafumi Tsutsui, Yoshiaki Nishi, Yoshihiro Noguchi, Masahiko Takeuchi, Masahiro Oda and Fenigstein Amos
Sensors 2025, 25(22), 6997; https://doi.org/10.3390/s25226997 - 16 Nov 2025
Viewed by 431
Abstract
We developed a 2.2 µm backside-illuminated (BSI) global shutter (GS) pixel featuring true charge-domain-correlated double sampling (CDS). To enhance the inverse parasitic light sensitivity (1/PLS), we implemented a thick-film epitaxial process incorporating a dual-depth deep trench isolation (DTI) structure. The thickness of the [...] Read more.
We developed a 2.2 µm backside-illuminated (BSI) global shutter (GS) pixel featuring true charge-domain-correlated double sampling (CDS). To enhance the inverse parasitic light sensitivity (1/PLS), we implemented a thick-film epitaxial process incorporating a dual-depth deep trench isolation (DTI) structure. The thickness of the epitaxial substrate was 8.5 µm. This structure was designed using optical simulation. By using a thick epitaxial substrate, it is possible to reduce the amount of light that reaches the memory node. The dual-depth DTI design, with a shallower trench on the readout side, enables efficient signal transfer from the photodiode (PD) to the memory node. To achieve this structure, we developed a process for thick epitaxial substrate, and the dual-depth DTI can be fabricated with a single mask. This pixel represents the smallest charge-domain GS pixel developed to date. Despite its compact size, it achieves a high quantum efficiency (QE) of 83% (monochrome sample: wavelength = 560 nm) and a 1/PLS exceeding 10,000 (white halogen lamp with IR-cut filter). The pixel retains 80% of its peak QE at ±15° incident angles and maintains stable 1/PLS performance even under low F-number (F#) conditions. Full article
Show Figures

Figure 1

Back to TopTop