Sign in to use this feature.

Years

Between: -

Subjects

remove_circle_outline
remove_circle_outline
remove_circle_outline
remove_circle_outline
remove_circle_outline
remove_circle_outline
remove_circle_outline
remove_circle_outline
remove_circle_outline

Journals

Article Types

Countries / Regions

Search Results (96)

Search Parameters:
Keywords = ammonia–ammonium carbonate

Order results
Result details
Results per page
Select all
Export citation of selected articles as:
21 pages, 1253 KB  
Review
Advancements in Microbial Nitrogen Pathways for Sustainable Wastewater Treatment
by Muhammad Shaaban, Kaiyan Zhou, Behnam Asgari Lajayer, Lei Wu, Aneela Younas and Yupeng Wu
Water 2025, 17(23), 3409; https://doi.org/10.3390/w17233409 - 29 Nov 2025
Viewed by 481
Abstract
Over the past few decades, the discovery of novel microbial processes, biochemical reactions, and previously uncharacterized microorganisms has significantly enhanced our understanding of nitrogen (N) cycling across terrestrial and aquatic ecosystems, including engineered environments such as wastewater treatment systems. These scientific advancements are [...] Read more.
Over the past few decades, the discovery of novel microbial processes, biochemical reactions, and previously uncharacterized microorganisms has significantly enhanced our understanding of nitrogen (N) cycling across terrestrial and aquatic ecosystems, including engineered environments such as wastewater treatment systems. These scientific advancements are catalyzing a paradigm shift toward treatment strategies that are not only energy-efficient and cost-effective, but also environmentally sustainable, with the added benefit of mitigating greenhouse gas emissions. The current review highlights recent breakthroughs in microbial N cycling, with particular emphasis on their practical applications in wastewater treatment. Emerging processes, such as nitrous oxide (N2O) mitigation, electro-anammox, ferric iron-dependent ammonium oxidation (Feammox), and complete ammonia oxidation (comammox), offer promising strategies for sustainable and low-energy N removal. Nevertheless, a significant challenge persists in translating these laboratory-scale innovations into full-scale, real-world applications, especially within decentralized treatment infrastructures. Bridging this gap is essential for realizing robust, low-carbon, and sustainable wastewater management systems in the decades to come. Full article
(This article belongs to the Special Issue Advances in Biological Technologies for Wastewater Treatment)
Show Figures

Figure 1

23 pages, 4656 KB  
Article
Mechanistic Insights into the Phenomenon of Ammonia-Only Removal in Sulfate-Rich Environments
by Fan Qiu, Li Cui, Fangyuan Ren and Siqi Gang
Water 2025, 17(22), 3284; https://doi.org/10.3390/w17223284 - 17 Nov 2025
Viewed by 629
Abstract
In sulfate-rich environments, the mechanisms of ammonia nitrogen removal and the role of potential electron acceptors remain unclear. To investigate this, an upflow spiral bed reactor (USBR) operated for 173 days using batch experiments and microbial analysis. The reactor maintained stable ammonia removal, [...] Read more.
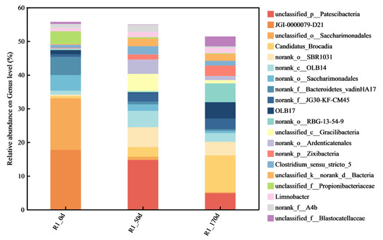
In sulfate-rich environments, the mechanisms of ammonia nitrogen removal and the role of potential electron acceptors remain unclear. To investigate this, an upflow spiral bed reactor (USBR) operated for 173 days using batch experiments and microbial analysis. The reactor maintained stable ammonia removal, while sulfate levels stayed nearly unchanged, indicating sulfate was not the primary electron acceptor. Batch results showed that trace dissolved oxygen (0.1~0.2 mg/L) and reactive oxygen species (ROS) caused partial nitrification. The resulting nitrite interacted with anaerobic ammonium oxidation (Anammox) to remove nitrogen. Bicarbonate (HCO3) served only as an inorganic carbon source; when its concentration exceeded 1000 mg/L, it inhibited ammonia removal and was consumed internally, confirming it was not an electron acceptor. Microbial analysis revealed Proteobacteria and Chloroflexi supported short-range nitrification, while Planctomycetota (Candidatus Brocadia) facilitated Anammox. Sulfate-reducing bacteria decreased significantly, consistent with the absence of sulfate reduction. Functional prediction indicated enrichment of nitrogen metabolism genes but limited sulfur metabolism. This study uncovers a new pathway for ammonia nitrogen removal in sulfate-rich environments. Unlike traditional sulfate-dependent ammonium oxidation (SRAO), the process observed occurred without sulfate reduction and was instead driven by a micro-oxygen/ROS-induced ammonia oxidation–Anammox coupling mechanism. These results broaden the current understanding of nitrogen transformation in sulfate-rich wastewater systems. Full article
(This article belongs to the Section Wastewater Treatment and Reuse)
Show Figures

Graphical abstract

25 pages, 3936 KB  
Article
Optimizing Nitrogen Management in Acidic Tea Orchard Soils: The Role of Biochar-Based Fertilizers in Reducing Losses and Enhancing Sequestration
by Yulong Sun, Yongli Zhang, Yage Fang, Xianjiang Xia, Tao Tao, Jun Liao, Yejun Wang and Youjian Su
Sustainability 2025, 17(21), 9751; https://doi.org/10.3390/su17219751 - 1 Nov 2025
Viewed by 420
Abstract
Biochar-based fertilizers have attracted increasing attention as sustainable soil amendments due to their potential to enhance nitrogen (N) retention and mitigate N losses. However, their effects on N dynamics in tea orchard soils remain inadequately understood. This study investigated the impact of biochar-based [...] Read more.
Biochar-based fertilizers have attracted increasing attention as sustainable soil amendments due to their potential to enhance nitrogen (N) retention and mitigate N losses. However, their effects on N dynamics in tea orchard soils remain inadequately understood. This study investigated the impact of biochar-based fertilizer (BF) on N migration and transformation into acidic tea orchard soils through controlled laboratory experiments comprising nine treatments, including sole urea (U) applications and various combinations of BF and U. The results showed that ammonia (NH3) volatilization peaked within seven days after application. Compared with urea-only treatments, the application of BF at 15 t·ha−1 combined with a low U application rate (0.72 t·ha−1) significantly reduced NH3 and total dissolved nitrogen losses by up to 22.33% and 33.56%, respectively, while higher BF rates increased these losses. BF applications markedly improved soil N sequestration, as evidenced by increases in total nitrogen, ammonium nitrogen (NH4+-N), nitrate nitrogen (NO3-N), and the NH4+-N/NO3-N ratio. Additionally, soil organic carbon, urease activity, and pH were significantly enhanced. Random forest analysis identified soil pH and organic carbon as the primary predictors of NH3 volatilization and soil N retention. Partial least squares path modeling revealed that the BF-to-urea ratio governed N dynamics by directly influencing N transformation and indirectly modifying soil physicochemical properties. BF applied at ≤15 t·ha−1 with low U inputs exhibited potential for improving N use efficiency and sustainability, pending further field validation. Full article
Show Figures

Figure 1

19 pages, 3909 KB  
Article
The Effects of Long-Term Manure and Grass Mulching on Microbial Communities, Enzyme Activities, and Soil Organic Nitrogen Fractions in Orchard Soils of the Loess Plateau, China
by Qi Wang, Luxiao Guo, Xue Gao, Songling Chen, Xinxin Song, Fei Gao, Wei Liu, Hua Guo, Guoping Wang and Xinping Fan
Agriculture 2025, 15(19), 2084; https://doi.org/10.3390/agriculture15192084 - 6 Oct 2025
Viewed by 739
Abstract
Organic manure and grass mulching are widely recognized as modifiers of soil microbial communities and nutrient dynamics; however, the combined effects of these practices on nitrogen fractionation and microbial functionality in orchard ecosystems remain poorly understood. This study conducted a comprehensive evaluation of [...] Read more.
Organic manure and grass mulching are widely recognized as modifiers of soil microbial communities and nutrient dynamics; however, the combined effects of these practices on nitrogen fractionation and microbial functionality in orchard ecosystems remain poorly understood. This study conducted a comprehensive evaluation of soil nitrogen fractions, enzymatic activity, microbial diversity and functional traits in walnut orchards under three management practices: organic manure (OM), grass mulching combined with manure (GM), and chemical fertilization (CF) in China’s Loess Plateau. The results revealed that OM and GM significantly enhanced soil nutrient pools, with GM elevating total nitrogen by 1.96-fold, soil organic carbon by 97.79%, ammonium nitrogen by 128%, and nitrate nitrogen by 54.56% relative to CF. Furthermore, the OM significantly increased the contents of total hydrolysable nitrogen, amino sugar nitrogen, amino acid nitrogen, ammonia nitrogen, hydrolysable unidentified nitrogen, non-acid-hydrolyzable nitrogen compared to the CF and GM treatments. Meanwhile, ASN and AN had significant effects on mineral and total nitrogen. The OM and GM had higher activities of leucine aminopeptidase enzymes (LAP), α-glucosidase enzyme, β-glucosidase enzyme (βG), and N-acetyl-β-D-glucosidase enzyme (NAG). Microbial community analysis revealed distinct responses to different treatments: OM and GM enhanced bacterial Shannon index, while suppressing fungal diversity, promoting the relative abundance of copiotrophic bacterial phyla such as Proteobacteria and Chloroflexi. Moreover, GM favored the enrichment of lignocellulose-degrading Ascomycota fungi. Functional annotation indicated that Chemoheterotrophy (43.54%) and Aerobic chemoheterotrophy (42.09%) were the dominant bacterial metabolic pathways. The OM significantly enhanced the abundance of fermentation-related genes. Additionally, fungal communities under the OM and GM showed an increased relative abundance of saprotrophic taxa, and a decrease in the relative abundances of potential animal and plant pathogenic taxa. The Random forest model further confirmed that βG, LAP, and NAG, as well as Basidiomycota, Mortierellomycota, and Ascomycota served as pivotal mediators of soil organic nitrogen fraction. Our findings demonstrated that combined organic amendments and grass mulching can enhance soil N retention capacity, microbial functional redundancy, and ecosystem stability in semi-arid orchards. These insights support the implementation of integrated organic management as a sustainable approach to enhance nutrient cycling and minimize environmental trade-offs in perennial fruit production systems. Full article
(This article belongs to the Section Agricultural Soils)
Show Figures

Figure 1

15 pages, 4270 KB  
Article
Subsoiling-Induced Shifts in Nitrogen Dynamics and Microbial Community Structure in Semi-Arid Rainfed Maize Agroecosystems
by Jian Gu, Hao Sun, Xu Zhou, Yongqi Liu, Mingwei Zhou, Ningning Ma, Guanghua Yin and Shijun Sun
Microorganisms 2025, 13(8), 1897; https://doi.org/10.3390/microorganisms13081897 - 14 Aug 2025
Cited by 2 | Viewed by 599
Abstract
Global agricultural intensification has exacerbated soil compaction and nitrogen (N) inefficiency, thereby threatening sustainable crop production. Sub-soiling, a tillage technique that fractures subsurface layers while preserving surface structure, offers potential solutions by modifying soil physical properties and enhancing microbial-mediated N cycling. This study [...] Read more.
Global agricultural intensification has exacerbated soil compaction and nitrogen (N) inefficiency, thereby threatening sustainable crop production. Sub-soiling, a tillage technique that fractures subsurface layers while preserving surface structure, offers potential solutions by modifying soil physical properties and enhancing microbial-mediated N cycling. This study investigated the effects of subsoiling depth (0, 20, and 40 cm) on soil microbial communities and N transformations in a semi-arid maize system in China. The results demonstrated that subsoiling to a depth of 40 cm (D2) significantly enhanced the retention of nitrate-N and ammonium-N, which correlated with improved soil porosity and microbial activity. High-throughput 16S rDNA sequencing revealed subsoiling depth-driven reorganization of microbial communities, with D2 increasing the abundance of Proteobacteria (+11%) and ammonia-oxidizing archaea (Nitrososphaeraceae, +19.9%) while suppressing denitrifiers (nosZ gene: −41.4%). Co-occurrence networks indicated greater complexity in microbial interactions under subsoiling, driven by altered aeration and carbon redistribution. Functional gene analysis highlighted a shift from denitrification to nitrification-mineralization coupling, with D2 boosting maize yield by 9.8%. These findings elucidate how subsoiling depth modulates microbiome assembly to enhance N retention, providing a mechanistic basis for optimizing tillage practices in semi-arid agroecosystems. Full article
(This article belongs to the Special Issue Microbial Communities and Nitrogen Cycling)
Show Figures

Figure 1

17 pages, 2675 KB  
Article
An Ab Initio Metadynamics Study Reveals Multiple Mechanisms of Reactivity by a Primal Carbon Cluster Toward Hydrogen and Ammonia in Space
by Dobromir A. Kalchevski, Stefan K. Kolev, Dimitar V. Trifonov, Ivan G. Grozev, Hristiyan A. Aleksandrov, Valentin N. Popov and Teodor I. Milenov
Nanomaterials 2025, 15(14), 1110; https://doi.org/10.3390/nano15141110 - 17 Jul 2025
Viewed by 783
Abstract
We present a theoretical model of the hydrogenation and amination of a primal carbon cluster of the tangled polycyclic type. Hydrogen atoms were introduced via H2, while the nitrogen source was NH3. The initial chemical processes were modeled using [...] Read more.
We present a theoretical model of the hydrogenation and amination of a primal carbon cluster of the tangled polycyclic type. Hydrogen atoms were introduced via H2, while the nitrogen source was NH3. The initial chemical processes were modeled using Born–Oppenheimer Molecular Dynamics. Metadynamics was employed to accelerate the saturation. The reactions were characterized in terms of barriers, topology, and intricate changes in the electronic structure. All transition states were identified. Multiple mechanisms for each type of reaction were discovered. Occasional unbiased changes in the carbon skeleton, induced by the guided processes, were observed. The initial addition reactions had no barriers due to the instability and high reactivity of the carbon structure. The final product of barrierless hydrogen saturation was C25H26. This molecule included multiple isolated double bonds, a medium-sized conjugated π system, and no triple bonds. Ammonia additions resulted in quaternary ammonium groups and primary amino groups. In the subsequent amination, a barrier appeared in fewer steps than in repetitive hydrogenation. The final product of barrierless saturation with NH3 was C25H2(NH3)2NH2. Further amination was characterized by a forward free-energy barrier of an order of magnitude larger than the reverse reaction, and the product was found to be unstable. Full article
(This article belongs to the Section Synthesis, Interfaces and Nanostructures)
Show Figures

Graphical abstract

14 pages, 1523 KB  
Article
Foliar Nitrogen Application Enhances Nitrogen Assimilation and Modulates Gene Expression in Spring Wheat Leaves
by Yanlin Yao, Wenyan Ma, Xin Jin, Guangrui Liu, Yun Li, Baolong Liu and Dong Cao
Agronomy 2025, 15(7), 1688; https://doi.org/10.3390/agronomy15071688 - 12 Jul 2025
Cited by 1 | Viewed by 1234
Abstract
Nitrogen (N) critically regulates wheat growth and grain quality, yet the molecular mechanisms underlying foliar nitrogen application remain unclear. This study evaluated the effects of foliar nitrogen application (12.25 kg ha−1) on the growth, grain yield, and quality of spring wheat, [...] Read more.
Nitrogen (N) critically regulates wheat growth and grain quality, yet the molecular mechanisms underlying foliar nitrogen application remain unclear. This study evaluated the effects of foliar nitrogen application (12.25 kg ha−1) on the growth, grain yield, and quality of spring wheat, as well as its molecular mechanisms. The results indicated that N was absorbed within 3 h post-application, with leaf nitrogen concentration peaking at 12 h. The N treatment increased whole-plant dry matter accumulation and grain protein content by 11.34% and 6.8%, respectively. Amino acid content peaked 24 h post-application, increasing by 25.3% compared to the control. RNA-sequencing analysis identified 4559 and 3455 differentially expressed genes at 3 h and 24 h after urea treatment, respectively, these DEGs being primarily involved in nitrogen metabolism, photosynthetic carbon fixation, amino acid biosynthesis, antioxidant systems, and nucleotide biosynthesis. Notably, the plastidic glutamine synthetase gene (GS2) is crucial in the initial phase of urea application (3 h post-treatment). The pronounced downregulation of GS2 initiates a reconfiguration of nitrogen assimilation pathways. This downregulation impedes glutamine synthesis, resulting in a transient accumulation of free ammonia. In response to ammonia toxicity, the leaves promptly activate the GDH (glutamate dehydrogenase) pathway to facilitate the temporary translocation of ammonium. This compensatory mechanism suggests that GS2 downregulation may be a key switch that redirects nitrogen metabolism from the GS/GOGAT cycle to the GDH bypass. Additionally, the upregulation of the purine and pyrimidine metabolic routes channels nitrogen resources towards nucleic acid synthesis, and thereby supporting growth. Amino acids are then transported to the seeds, culminating in enhanced seed protein content. This research elucidates the molecular mechanisms underlying the foliar response to urea application, offering significant insights for further investigation. Full article
(This article belongs to the Section Soil and Plant Nutrition)
Show Figures

Figure 1

25 pages, 5480 KB  
Article
Functional Trait Responses of Brasenia schreberi to Water and Soil Conditions Reveal Its Endangered Status
by Jingyu Yao, Zhenya Liu, Junbao Yu, Yun Zhang, Rui Xu, Jiahua Li, Yang Xu and Mei Sun
Plants 2025, 14(13), 2072; https://doi.org/10.3390/plants14132072 - 7 Jul 2025
Viewed by 843
Abstract
[Background] Brasenia schreberi is a perennial floating leaf aquatic plant with high ecological protection value and potential for economic development, and thus, its endangered mechanisms are of great concern. The rapid endangerment of this species in modern times may be primarily attributed to [...] Read more.
[Background] Brasenia schreberi is a perennial floating leaf aquatic plant with high ecological protection value and potential for economic development, and thus, its endangered mechanisms are of great concern. The rapid endangerment of this species in modern times may be primarily attributed to the deterioration of water and soil environmental conditions, as its growth relies on high-quality water and soil. [Objective] Exploring the responses of B. schreberi to water and soil conditions from the perspective of functional traits is of great significance for understanding its endangered mechanisms and implementing effective conservation strategies. [Methods] This study was conducted in the Tengchong Beihai Wetland, which has the largest natural habitat of B. schreberi in China. By measuring the key functional traits of B. schreberi and detecting the water and soil parameters at the collecting sites, the responses of these functional traits to the water and soil conditions have been investigated. [Results] (1) The growth status of B. schreberi affects the expression of its functional traits. Compared with sporadic distribution, B. schreberi in continuous patches have significantly higher stomatal conductance, intercellular CO2 concentration, transpiration rate, and vein density, while these plants have significantly smaller leaf area and perimeter. (2) Good water quality directly promotes photosynthetic, morphological, and structural traits. However, high soil carbon, nitrogen, and phosphorus contents can inhibit the photosynthetic rate. The net photosynthetic rate is significantly positively correlated with dissolved oxygen content, pH value, ammonia nitrogen, and nitrate nitrogen contents in the water, as well as the magnesium, zinc, and silicon contents in the soil. In contrast, the net photosynthetic rate is significantly negatively correlated with the total phosphorus content in water and the total carbon, total nitrogen, and total phosphorus content in the soil. (3) Leaf area and perimeter show positive correlations with various water parameters, including the depth, temperature, pH value, dissolved oxygen content, ammonium nitrogen, and nitrate nitrogen content, yet they are negatively correlated with total phosphorus content, chemical oxygen demand, biological oxygen demand, and permanganate index of water. [Conclusions] This study supports the idea that B. schreberi thrives in oligotrophic water environments, while the notion that fertile soil is required for its growth still needs to be investigated more thoroughly. Full article
(This article belongs to the Special Issue Aquatic Plants and Wetland)
Show Figures

Figure 1

13 pages, 606 KB  
Article
Inhibition of Urea Hydrolysis in Human Urine for Resource and Energy Recovery: Pharmaceuticals and Their Metabolites as Co-Existing Anticatalyzers
by Haoran Chi, Minshu Chen, Wei Yang, Ya Li, Shuhui Sun, Hualin Wang, Xuejing Yang, Michael R. Hoffmann and Lei Guo
Catalysts 2025, 15(7), 630; https://doi.org/10.3390/catal15070630 - 27 Jun 2025
Viewed by 2080
Abstract
Urine, which has a high concentration of urea, can be used as a sustainable resource for nutrient recovery and sustainable energy. However, urea undergoes hydrolysis, catalyzed by urease, generating ammonia and carbon dioxide. As ammonia is released during hydrolysis in stored urine, the [...] Read more.
Urine, which has a high concentration of urea, can be used as a sustainable resource for nutrient recovery and sustainable energy. However, urea undergoes hydrolysis, catalyzed by urease, generating ammonia and carbon dioxide. As ammonia is released during hydrolysis in stored urine, the pH rises progressively until the pKa of ammonium is reached (i.e., 9.3). At elevated pH levels, struvite and other related precipitates are formed. These reactions lower the efficiency of ammonia and urea nitrogen recovery and often cause scaling, pipe blockage, and odors. Herein, we explore an approach to stabilize urea, using pharmaceuticals and their metabolites that are commonly present in human urine. Based on a survey of the urease inhibitory effects of twenty-three pharmaceuticals and metabolites, we determined that the polyphenolic and disulfide-containing compounds had the highest urease inhibition efficiency. Specifically, outstanding inhibitors include catechol (CAT), hydroquinone (HYD), and disulfiram (DSF). Furthermore, when added to urine, these compounds resulted in the retardation of urease-catalyzed hydrolysis, leading to longer-term urine stabilization upon storage. Reaction mechanisms for urease inhibition by polyphenolics and disulfiram are proposed. Evidence is provided that pharmaceutical metabolites can stabilize urea and thus could lead to a sustainable method for nitrogen nutrient recovery from stored urine. Full article
Show Figures

Figure 1

20 pages, 2087 KB  
Article
Analysis of Chemical Composition and Sources of PM10 in the Southern Gateway of Beijing
by Yu Qu, Juan Yang, Xingang Liu, Yong Chen, Haiyan Ran, Junling An and Fanyeqi Yang
Atmosphere 2025, 16(6), 656; https://doi.org/10.3390/atmos16060656 - 29 May 2025
Cited by 1 | Viewed by 1605
Abstract
PM10 samples were collected at an urban site of Zhuozhou, the southern gateway of Beijing, from 28 December 2021 to 29 January 2022, in order to explore the chemical composition, sources and physical and chemical formation processes of prominent components. The results [...] Read more.
PM10 samples were collected at an urban site of Zhuozhou, the southern gateway of Beijing, from 28 December 2021 to 29 January 2022, in order to explore the chemical composition, sources and physical and chemical formation processes of prominent components. The results showed that five trace elements (Mn, Cu, As, Zn and Pb) had high enrichment in PM10 and were closely related with anthropogenic combustion and vehicle emissions; organic and element carbon had a high correlation due to the same primary sources and similar evolution; nitrate dominated SNA (sulfate, nitrate, ammonium) and nitrate/sulfate ratios reached 2.35 on the polluted days owing to the significant contribution of motor vehicle emissions. Positive matrix factorization analysis indicated that secondary source, traffic, biomass burning, industry, coal combustion and crustal dust were the main sources of PM10, contributing 32.5%, 20.9%, 15.0%, 13.9%, 9.4% and 8.3%, respectively; backward trajectories and potential source contribution function analysis showed that short-distance airflow was the dominant cluster and accounted for nearly 50% of total trajectories. The Weather Research and Forecasting model with Chemistry, with integrated process rate analysis, showed that dominant gas-phase reactions (heterogeneous reaction) during daytime (nighttime) in presence of ammonia led to a significant enhancement of nitrate in Zhuozhou, contributing 12.6 μg/m3 in episode 1 and 22.9 μg/m3 in episode 2. Full article
(This article belongs to the Section Aerosols)
Show Figures

Figure 1

20 pages, 5767 KB  
Article
Mainstream Wastewater Treatment Process Based on Multi-Nitrogen Removal Under New Anaerobic–Swing–Anoxic–Oxic Model
by Jiashun Cao, Jinyu Wang and Runze Xu
Water 2025, 17(10), 1548; https://doi.org/10.3390/w17101548 - 21 May 2025
Cited by 2 | Viewed by 2072
Abstract
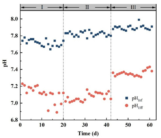
The Anaerobic–Swing Aerobic–Anoxic–Oxic (ASAO) process was developed to tackle problems such as temperature sensitivity during the Anaerobic–Oxic–Anoxic (AOA) process. By introducing a swing zone (S zone) with adjustable dissolved oxygen (DO), during the 112-day experimentation period, the ASAO system achieved removal rates of [...] Read more.
The Anaerobic–Swing Aerobic–Anoxic–Oxic (ASAO) process was developed to tackle problems such as temperature sensitivity during the Anaerobic–Oxic–Anoxic (AOA) process. By introducing a swing zone (S zone) with adjustable dissolved oxygen (DO), during the 112-day experimentation period, the ASAO system achieved removal rates of 88.18% for total inorganic nitrogen (TIN), 78.23% for total phosphorus (TP), and 99.78% for ammonia nitrogen. Intermittent aeration effectively suppressed nitrite-oxidizing bacteria (NOB), and the chemical oxygen demand (COD) removal rate exceeded 90%, with 60% being transformed into internal carbon sources like polyhydroxyalkanoates (PHAs) and glycogen (Gly). The key functional microorganisms encompassed Dechloromonas (denitrifying phosphorus-accumulating bacteria), Candidatus Competibacter, and Thauera, which facilitated simultaneous nitrification–denitrification (SND) and anaerobic ammonium oxidation (ANAMMOX). The enrichment of Candidatus Brocadia further enhanced the ANAMMOX activity. The flexibility of DO control in the swing zone optimized microbial activity and mitigated temperature dependence, thereby verifying the efficacy of the ASAO process in enhancing the removal rates of nutrients and COD in low-C/N wastewater. The intermittent aeration strategy and the continuous low-dissolved-oxygen (DO) operating conditions inhibited the activity of nitrite-oxidizing bacteria (NOB) and accomplished the elimination of NOB. Full article
(This article belongs to the Section Water Quality and Contamination)
Show Figures

Figure 1

17 pages, 3800 KB  
Article
Effects of High Salinity on Nitrogen Removal Efficiency and Microbial Community Structure in a Three-Stage AO System
by Shengyu Shi, Pengfei Cui, Shasha Wang, Jun Long and Xiaojun Yang
Water 2025, 17(8), 1112; https://doi.org/10.3390/w17081112 - 8 Apr 2025
Cited by 1 | Viewed by 1983
Abstract
This study investigated the nitrogen removal performance of a three-stage AO reactor for refractory TN and the changes in microbial community structure within the activated sludge system under varying sodium chloride concentration conditions. Under an influent sodium chloride concentration of 0 g/L with [...] Read more.
This study investigated the nitrogen removal performance of a three-stage AO reactor for refractory TN and the changes in microbial community structure within the activated sludge system under varying sodium chloride concentration conditions. Under an influent sodium chloride concentration of 0 g/L with sufficient carbon source, the removal rates of Total Nitrogen (TN), Chemical Oxygen Demand (CODcr), and Ammonium (NH4+-N) remained stable at 98%, 99.7%, and 99.9%, respectively. When the sodium chloride concentration increased to 20 g/L, the activity of AOB was significantly inhibited, with removal efficiency rates dropping to 83%, 89%, and 70%, respectively, and the NAR increasing to 91.97%. Analytical results demonstrated that both ammonia-oxidizing bacteria (AOB) and nitrite-oxidizing bacteria (NOB) exhibited inhibited metabolic activities, with NOB experiencing earlier functional impairment. Under NaCl concentrations ≤ 10 g/L, conventional nitrogen removal via nitrification–denitrification (ND) remained dominant. When NaCl concentrations exceeded 10 g/L, due to the accumulation of NO2-N, the phyla Planctomycetota and Proteobacteria maintained dominance in the microbial community, while partial nitrification (PN) and denitrification pathways gradually replaced ND. Extracellular polymeric substance (EPS) secretion emerged as the primary microbial defense mechanism against salinity stress. Experimental findings informed proposed strategies including phased acclimatization for salt-tolerance enhancement, EPS production regulation, and targeted enrichment of functional consortia, which collectively improved the denitrification efficiency by 18.7–22.3% under salinity levels ≤ 20 g/L. This study provides theoretical foundations and technical references for process optimization in hypersaline industrial wastewater treatment systems. Full article
(This article belongs to the Section Wastewater Treatment and Reuse)
Show Figures

Figure 1

16 pages, 5089 KB  
Article
Green Process for the Preparation of MnCO3 and Recovery of By-Product Mg-Containing (NH4)2SO4 Solution
by Xuran Ding, Xunlong Cheng, Zhanfang Cao, Hong Zhong, Hongyan Cai, Gangxiang Xiao, Xin Ma and Shuai Wang
Minerals 2025, 15(3), 304; https://doi.org/10.3390/min15030304 - 15 Mar 2025
Cited by 2 | Viewed by 2219
Abstract
The conventional manganese carbonate preparation process faces challenges such as low resource utilization efficiency and difficulties in treating by-product Mg-containing ammonium sulfate solution. In this study, a two-stage leaching process was developed to efficiently extract Mn and Mg from the ore. NH4 [...] Read more.
The conventional manganese carbonate preparation process faces challenges such as low resource utilization efficiency and difficulties in treating by-product Mg-containing ammonium sulfate solution. In this study, a two-stage leaching process was developed to efficiently extract Mn and Mg from the ore. NH4HCO3 was used as a precipitant to convert Mn2+ in the leachate to MnCO3, achieving a Mn precipitation efficiency of 99.89%, and the resulting product contained 44.45% Mn, meeting the first-class product indicators of HG/T 4203-2011 (Chinese standard on manganese carbonate for industrial use). To further enhance resource utilization, a combined stripping–adsorption process was designed to treat the Mg-containing ammonium sulfate solution generated during the carbonization process. Subsequently, the economically valuable gypsum and magnesium oxide products were prepared. Additionally, 88.20% of the NH3 in the solution was stripped and recycled to prepare NH4HCO3 and then used during carbonization. Finally, a purified solution free of ammonia nitrogen was obtained using 001×7 resin to dynamically adsorb the filtrates obtained during the stripping process, and the maximum adsorption capacity of resin for ammonia nitrogen was 51.14 mg/g. This process provides a novel approach to achieving clean production in the manganese carbonate production industry. Full article
(This article belongs to the Section Mineral Processing and Extractive Metallurgy)
Show Figures

Graphical abstract

14 pages, 3350 KB  
Article
Optimizing Physical Factors for the Ammonium Removal from Wastewater Using Bio-Electrochemical Systems
by Aparna Sharma, Anup Gurung, Syed Ejaz Hussain Mehdi, Suleman Shahzad, Fida Hussain, Woochang Kang, Sandesh Pandey, Aqib Hassan Ali Khan and Sang-Eun Oh
Sustainability 2025, 17(6), 2543; https://doi.org/10.3390/su17062543 - 13 Mar 2025
Cited by 1 | Viewed by 1437
Abstract
Waste streams, leachates, and wastewater often contain high-strength ammonia, which can be challenging to manage. Microbial fuel cells (MFCs) offer a promising solution for treating such a nuisance of high-strength ammonia. However, optimizing MFC operating conditions, at lower technology readiness levels, is crucial [...] Read more.
Waste streams, leachates, and wastewater often contain high-strength ammonia, which can be challenging to manage. Microbial fuel cells (MFCs) offer a promising solution for treating such a nuisance of high-strength ammonia. However, optimizing MFC operating conditions, at lower technology readiness levels, is crucial to achieve a sustainable and economically viable application. This study investigates the factors affecting ammonia nitrogen removal in MFCs. MFCs with a cation exchange membrane (CEM) exhibit a higher diffusion rate of ammonium ions from the anode to the cathode compared to those with a proton exchange membrane (PEM). In close circuit mode (CCM), MFCs with a Pt-coated cathode electrode achieved an ammonium removal efficiency of 96% in the cathode chamber. Moreover, a plain carbon cathode electrode yielded an 87.1% removal efficiency. These results indicate that the combination of a catalyst (Pt) and oxygen in the cathode chamber can effectively remove or recover ammonia nitrogen from wastewater. Simultaneously, the removal of ammonia nitrogen in a microbial electrolysis cell (MEC) was studied. At an applied potential of 1.0 V, an ammonium removal efficiency of 87.5% was achieved. It was concluded that ammonium losses in MFCs can occur through electron migration, volatilization, and biological processes such as nitrification and denitrification. Full article
Show Figures

Figure 1

16 pages, 3072 KB  
Article
Research on Hydrogen Production from Ammonia Decomposition by Pulsed Plasma Catalysis
by Yuze He, Neng Zhu and Yunkai Cai
Molecules 2025, 30(5), 1054; https://doi.org/10.3390/molecules30051054 - 25 Feb 2025
Viewed by 2175
Abstract
Driven by dual-carbon targets, marine engines are accelerating their transition towards low-carbon and zero-carbon. Ammonium–hydrogen fusion fuel is considered to be one of the most promising fuels for ship decarbonization. Using non-thermal plasma (NTP) catalytic ammonia on-line hydrogen production technology to achieve hydrogen [...] Read more.
Driven by dual-carbon targets, marine engines are accelerating their transition towards low-carbon and zero-carbon. Ammonium–hydrogen fusion fuel is considered to be one of the most promising fuels for ship decarbonization. Using non-thermal plasma (NTP) catalytic ammonia on-line hydrogen production technology to achieve hydrogen supply is one of the most important means to guarantee the safety and effectiveness of hydrogen energy in the storage and transportation process. However, the efficiency of ammonia catalytic hydrogen production can be influenced to some extent by the presence of several factors, and the reaction mechanism is complex under the conditions of ship engine temperature emissions. This makes it difficult to realize the precise control of plasma catalytic hydrogen production from ammonia technology under temperature emission conditions, thus restricting an improvement in the ammonia conversion rate. In this study, a kinetic model of hydrogen production from ammonia catalyzed by NTP was established. The influencing factors (reaction temperature, pressure, N2/NH3 ratio in the feed gas) and mechanism path of hydrogen production from ammonia decomposition were explored. The results show that the increase in reaction temperature will lead to an increase in the ammonia conversion rate, while the ammonia conversion rate will decrease with the increase in reaction pressure and N2/NH3 ratio. When the reaction temperature is 300 K, the pressure is 1 bar, the feed gas is 98%N2/2%NH3, and the ammonia conversion rate is 16.7%. The reason why the addition of N2 is conducive to the hydrogen production from NH3 decomposition is that the reaction N2(A3) + NH3 => N2 + NH2 + H, triggered by the electron excited-state N2(A3), is the main reaction for NH3 decomposition. Full article
Show Figures

Graphical abstract

Back to TopTop