Next Article in Journal
Advances in Laser-Induced Acoustic Technology for Underwater Detection
Previous Article in Journal
Requirements for Flood-Driven Forecasting Systems for Small and Medium-Sized Catchments in Germany
 
 
Font Type:
Arial Georgia Verdana
Font Size:
Aa Aa Aa
Line Spacing:
Column Width:
Background:
Article

Mechanistic Insights into the Phenomenon of Ammonia-Only Removal in Sulfate-Rich Environments

School of Environmental & Chemical Engineering, Shenyang University of Technology, Shenyang 110870, China
*
Author to whom correspondence should be addressed.
Water 2025, 17(22), 3284; https://doi.org/10.3390/w17223284
Submission received: 14 October 2025 / Revised: 11 November 2025 / Accepted: 14 November 2025 / Published: 17 November 2025
(This article belongs to the Section Wastewater Treatment and Reuse)

Abstract

In sulfate-rich environments, the mechanisms of ammonia nitrogen removal and the role of potential electron acceptors remain unclear. To investigate this, an upflow spiral bed reactor (USBR) operated for 173 days using batch experiments and microbial analysis. The reactor maintained stable ammonia removal, while sulfate levels stayed nearly unchanged, indicating sulfate was not the primary electron acceptor. Batch results showed that trace dissolved oxygen (0.1~0.2 mg/L) and reactive oxygen species (ROS) caused partial nitrification. The resulting nitrite interacted with anaerobic ammonium oxidation (Anammox) to remove nitrogen. Bicarbonate (HCO3) served only as an inorganic carbon source; when its concentration exceeded 1000 mg/L, it inhibited ammonia removal and was consumed internally, confirming it was not an electron acceptor. Microbial analysis revealed Proteobacteria and Chloroflexi supported short-range nitrification, while Planctomycetota (Candidatus Brocadia) facilitated Anammox. Sulfate-reducing bacteria decreased significantly, consistent with the absence of sulfate reduction. Functional prediction indicated enrichment of nitrogen metabolism genes but limited sulfur metabolism. This study uncovers a new pathway for ammonia nitrogen removal in sulfate-rich environments. Unlike traditional sulfate-dependent ammonium oxidation (SRAO), the process observed occurred without sulfate reduction and was instead driven by a micro-oxygen/ROS-induced ammonia oxidation–Anammox coupling mechanism. These results broaden the current understanding of nitrogen transformation in sulfate-rich wastewater systems.

1. Introduction

Ammonia nitrogen (NH4+-N) wastewater containing sulfate (SO42−-S) is a common type of pollution in industrial production, usually originating from processes like monosodium glutamate (MSG) manufacturing, textile printing and dyeing, and lithium battery material production [1]. For example, the cross-linking tail liquid produced during MSG manufacture contains NH4+-N at levels of 5000~7000 mg/L and SO42−-S at 8000~9000 mg/L, indicating very high pollutant loads [2,3]. If released without proper treatment, such wastewater can cause serious environmental issues, including eutrophication and acidification of water bodies, disruption of aquatic ecosystems, and decline in regional water quality [4]. Today, treatment methods for sulfate-rich ammonia nitrogen wastewater are expanding, with nitrogen removal under micro-aerobic conditions offering notable advantages [5]. This method allows for effective denitrification while lowering energy use and resource consumption. Consequently, it plays an important role in improving treatment efficiency for sulfate-containing ammonia nitrogen wastewater, increasing pollutant removal effectiveness, and demonstrating its valuable research and practical significance.
Traditional denitrification depends on coupled nitrification–denitrification, which needs high dissolved oxygen (DO) levels and results in significant aeration energy use. Additionally, denitrification requires external organic carbon sources, raising costs and potentially causing secondary pollution. These issues limit progress toward energy saving, consumption reduction, and low-carbon emissions in wastewater treatment [6]. Conversely, anaerobic ammonium oxidation (Anammox) transforms NH4+-N and NO2-N directly into N2 under anoxic conditions, without needing external organic carbon, while keeping energy use low and sludge production minimal [7,8]. It has already been put into practice, showing strong potential for saving energy and cutting carbon emissions, and offering a promising route for controlling nitrogen pollution [9,10].
Recent studies have demonstrated that the biological transformation of NH4+-N is not limited to using NO2-N as an electron acceptor. Under certain environmental conditions, it can also combine with SO42−-S. This process is called sulfate anaerobic ammonium oxidation (SRAO), also known as sulfammox. SRAO has been observed in both natural marine sediments and engineered bioreactor systems [11,12,13]. This discovery provides a new theoretical basis for the simultaneous biological treatment of wastewater containing sulfur and nitrogen. Current research suggests that SRAO is driven not by a single functional group but by the synergistic interaction of multiple microorganisms, including Anammox bacteria, sulfate-reducing bacteria (SRB), and sulfur-oxidizing bacteria (SOB) [14]. This microbial cooperation offers a novel method for treating sulfate- and ammonia-rich wastewater. However, the interactions among these microbial communities and the effects of environmental factors on their synergy are still poorly understood. In-depth research on this process is vital for enhancing wastewater treatment efficiency and is a key focus in environmental engineering. In SRAO systems, multiple factors are interconnected, making operational stability challenging. For example, reported optimal influent nitrogen-to-sulfur (N/S) ratios vary significantly across studies.
Studies have shown that SRAO can occur when the N/S ratio is between 1.71 and 13.3 [15]. Other experiments indicated that the average ammonia nitrogen removal rate increased as the N/S ratio rose from 1.0 to 3.0 but decreased when it reached 4.0 [16]. These findings suggest that the optimal N/S ratio remains uncertain. Dissolved oxygen (DO) concentration in the reactor is also a key factor. Excessive DO may inhibit anaerobic activity, while insufficient DO limits aerobic reactions. Therefore, the ideal DO range has not yet been determined [17]. Carbon source availability also plays a significant role. Although SRAO can occur under inorganic conditions, the metabolism of other microorganisms in the system is influenced by carbon availability. High concentrations of inorganic carbon (such as HCO3 exceeding 1000 mg/L) can inhibit the SRAO process. Currently, there is no consensus on the optimal operating conditions for this process, and systematic studies are needed to optimize key parameters and clarify the control mechanisms [18,19,20].
Notably, in denitrification systems, besides SO42−-S, other potential electron acceptors may also be involved in transforming NH4+-N. For example, reactive oxygen species, such as hydrogen peroxide (H2O2), can act as intermediates that oxidize NH4+-N under microaerobic or stress-induced conditions, enabling oxygen-dependent ammonia oxidation even in nominally anaerobic reactors [21]. Meanwhile, bicarbonate (HCO3) is a common inorganic carbon source vital for the growth of Anammox bacteria. Besides acting as a carbon donor, several studies suggest that under certain redox conditions, HCO3 might also participate in electron transfer processes. This is because the reduction of CO2/HCO3 to organic intermediates is thermodynamically linked with the oxidation of reduced nitrogen compounds like NH4+-N, especially in systems without conventional electron acceptors [22]. In environments rich in sulfate or low in oxygen, this coupling could enable partial ammonia oxidation through indirect carbonate reduction, creating a minor yet energetically possible electron sink. Therefore, investigating whether HCO3 can serve as an electron acceptor beyond its role in carbon fixation is essential for understanding alternative nitrogen transformation pathways in microaerobic sulfate systems [23]. These findings suggest that in hypoxic, sulfate-rich environments, NH4+-N transformation may be jointly regulated by multiple competing metabolic pathways. However, the relative contributions and regulatory mechanisms of these pathways to NH4+-N removal remain unclear, highlighting the urgent need for further investigation.
Building on previous research and scientific questions, this study investigates ammonia nitrogen removal from sulfate-rich wastewater using an upflow spiral bed reactor (USBR) to systematically analyze removal patterns and mechanisms. The specific objectives are (1) to clarify the quantitative relationship and mechanism between influent SO42−-S concentration and NH4+-N removal efficiency; (2) to determine the DO levels within the reactor and evaluate the potential role of ROS as alternative electron acceptors in ammonia oxidation; (3) to explain the role and regulatory pathways of HCO3 in NH4+-N conversion; and (4) to analyze microbial community composition and activity under these conditions. This research combines long-term reactor performance monitoring, batch experiments, and microbial community structure–function analysis to deepen understanding of NH4+-N biotransformation in the presence of SO42−-S, offering both theoretical insights and practical guidance for treating sulfur and nitrogen-containing wastewater. To date, few studies have addressed ammonia removal in sulfate-rich environments where sulfate reduction does not occur. This study provides the first mechanistic evidence for a non-sulfate-dependent nitrogen removal pathway mediated by trace oxygen and reactive oxygen species (ROS), offering new insights into nitrogen cycling under microaerobic–sulfate conditions.

2. Materials and Methods

2.1. Experimental Bioreactor

To investigate the phenomenon of selective ammonia nitrogen removal in a sulfate–ammonia nitrogen environment, two experimental approaches were used. The first was a stably operated upflow spiral bed reactor (USBR), which established an inorganic sulfate–ammonia nitrogen environment. Inoculated sludge was acclimated and cultivated, and the removal dynamics of sulfate and ammonia nitrogen were monitored. The second involved batch experiments in gas-washing bottles to examine why only ammonia nitrogen was removed in a sulfate–ammonia nitrogen environment and to explore potential electron acceptors for ammonia nitrogen under these conditions.
The USBR experimental device was made from plexiglass with a total volume of 5 L. Influent was supplied by a peristaltic pump (BT100-2J, Longerpump, Baoding, China). A thermostatic water bath was placed inside the insulation layer to keep the reactor temperature at 32 ± 1 °C. To prevent light from affecting microbial growth, the reactor was wrapped with black cloth (Figure 1). The reactor had internal circulation and was divided into a reaction zone and a circulation zone. Cotton cloth was installed in the reaction zone to stabilize environmental conditions for microbial growth and to increase the contact area between sludge and wastewater. An automatic spiral agitator was located in the circulation zone to mix sludge and wastewater evenly, ensuring thorough reactions. Gas produced during the process was released from the top of the reactor to aid solid–liquid–gas separation. To maintain an anaerobic environment, argon was introduced during the initial stage to displace oxygen.
To promote the development and sustainment of a microaerobic zone, the USBR system was purposefully designed to encourage spatial oxygen gradients and biofilm-related anoxic microenvironments. The upflow spiral shape combined with internal recirculation creates a gentle, upward flow that supports stratification between oxygen-rich bulk liquid and anoxic niches within biofilms. Cotton cloth packing in the reaction zone provides a large surface area for biofilm growth and creates local diffusion limitations, allowing for anoxic microzones in the biofilm core even when trace oxygen is present in the bulk liquid. An automatic spiral agitator in the circulation zone ensured gentle mixing instead of intensive aeration, and gas escape at the top prevented oxygen buildup in the headspace. During start-up, the reactor was purged with argon to remove ambient oxygen; afterward, no external aeration was used.

2.2. Batch Test Equipment

The batch test was performed in a 1000 mL gas-washing bottle sealed with a rubber stopper (Figure 2). The bottles were placed in a light-proof biochemical incubator maintained at 33 °C. Inoculum sludge was collected from the USBR during its later operational stage. Each bottle contained 300 mL of sludge, which was diluted with a matrix solution to reach a final volume of 1000 mL.

2.3. Inoculated Sludge and Test Water Quality

The inoculum sludge consisted of return activated sludge from the A2/O process at the Shenyang Southern Wastewater Treatment Plant and digested sludge from a brewery in Shenyang, mixed in a 1:1 ratio. Additionally, 0.50 L of laboratory-cultured Anammox sludge was added. The suspended solids (SS) concentration was 11.61 g/L, the volatile suspended solids (VSS) concentration was 5.98 g/L, and the VSS/SS ratio was 0.52. A total of 2.10 L of inoculum sludge was transferred into the USBR.
Artificial synthetic wastewater was used in the experiment, with NH4Cl and Na2SO4 serving as sources of NH4+-N and SO42−-S, respectively. The synthetic influent was intentionally inorganic and contained minimal easily degradable organic carbon to aid in mechanistic interpretation; as a result, labile electron donors for heterotrophic sulfate reduction were effectively missing. Other main components include KH2PO4, MgCl2·6H2O, CaCl2, and trace elements [24]. NaHCO3 (800~1000mg/L) was added as needed to adjust and maintain the pH between 7 and 8.

2.4. Experimental Procedures

The USBR operated for 173 days and was divided into three stages, with operating parameters adjusted to mimic the adaptive evolution of microbial communities under sulfate-rich conditions. The hydraulic retention time (HRT), influent composition, and operation period for each stage are detailed below.
Stage I (days 1–30): Low substrate loading. The influent NH4+-N concentration was 100 mg/L, and SO42−-S concentration was 266.67 mg/L, maintaining an NH4+-N/SO42−-S ratio of 2:1. The HRT was 24 h to preserve the activity of the inoculated Anammox sludge and promote biofilm attachment.
Stage II (days 31–93): The influent concentrations stayed the same (NH4+-N = 100 mg/L; SO42−-S = 266.67 mg/L), while the HRT was increased to 48 h to improve ammonia oxidation.
Stage III (days 94–173): The HRT was maintained at 48 h, while influent concentrations were gradually increased. The final influent NH4+-N and SO42−-S concentrations reached 200 mg/L and 533.33 mg/L, respectively, to assess system stability and the ammonia-only removal mechanism under higher substrate loads.
The influent and effluent were sampled daily to monitor nitrogen and sulfur species, ensuring the reproducibility and traceability of operational data.

2.5. Batch Experiments

The phenomenon of selective ammonia nitrogen removal in the presence of sulfate was examined, and potential electron acceptors responsible for this process were hypothesized and analyzed. Additionally, the influence of different inoculated sludges on this process was also investigated. Consequently, batch tests were conducted to further explore these issues. Two sets of batch tests were designed using sludge from the reactor after 173 days of stable operation. Each test was performed in duplicate. Besides the necessary daily water exchange, all tests were carried out in a light-proof environment.
(1)
Batch Test 1 examined oxygen as a potential electron acceptor. The influent contained only ammonia nitrogen, and no deoxygenation was applied. Ammonia nitrogen removal was monitored and analyzed.
(2)
Batch Test 2 investigated bicarbonate as a potential electron acceptor. The influent contained ammonia nitrogen and bicarbonate (supplied as NaHCO3). After adding the influent, the reactor was deoxygenated to keep dissolved oxygen below 0.1 mg/L. By gradually increasing bicarbonate concentrations and monitoring effluent NH4+-N and HCO3 in real time, we evaluated whether bicarbonate participated in ammonia oxidation and if its concentration impacted ammonia nitrogen removal.

2.6. Activity Measurement

Dissolved oxygen (DO) in the reactor was continuously monitored using a DO meter (JPB-607A, INESA, Shanghai, China). No external aeration or oxygen supply was added; the trace oxygen originated from surface diffusion and liquid mixing during sampling, simulating the oxygen-limited microzones often observed in full-scale sulfate-rich wastewater systems. The upflow spiral design of the USBR, along with moderate internal recirculation and cotton cloth packing, helped maintain this microaerobic environment by creating localized diffusion resistance and oxygen gradients. The DO probe was placed in the lower reaction zone, where biofilm and sludge contact are most intense, and the measured DO (≈0.1~0.2 mg/L) reflects these bulk conditions. Gentle spiral agitation provided limited mixing without causing oxygenation, while headspace venting prevented oxygen buildup. These design and operational features together enabled stable microaerobic conditions that promote ROS formation and partial nitrification while maintaining anoxic zones for anammox activity.
Catalase activity in the sludge was evaluated through both qualitative screening and quantitative analysis. Qualitative detection employed the H2O2 bubble method [21], while quantitative analysis was conducted using the spectrophotometric–potassium permanganate titration method [25].

2.7. Sample Collection and Analysis Methods

Reactor influent and effluent were collected daily, filtered through 0.45 μm membranes, and analyzed for NH4+-N, NO2-N, and NO3-N following standard methods [26]. pH was measured using a portable meter coupled with a control instrument. Mixed liquor suspended solids (MLSS) and mixed liquor volatile suspended solids (MLVSS) were analyzed gravimetrically. SO42−-S and S2− were measured daily using ion exchange chromatography (ICS-1100, DIONEX, Hillsboro, OR, USA) with an anion exchange column. Bicarbonate was determined by acid-base titration. All measurements were repeated three times, and the results are presented as averages. For the continuous-flow reactor, each sampling point represents the average of three parallel measurements to minimize analytical error. Batch experiments were performed independently three times under identical conditions to verify reproducibility.
Microbial community analysis of sludge from different reactor stages was carried out using 16S rRNA gene amplicon sequencing. Sequencing was done by Shanghai Meiji Biomedical Technology Co., Ltd. (Shanghai, China). Total genomic DNA was isolated using the E.Z.N.A.® Soil DNA Kit (Omega Bio-Tek, Norcross, GA, USA). The V3-V4 region of the 16S rRNA gene was amplified with primers 338F (5′-ACTCCTACGGGAGGCAGCAG-3′) and 806R (5′-GGACTACHVGGGTWTCTAAT-3′), and sequenced on an Illumina MiSeq PE300 platform.

3. Results and Discussion

3.1. USBR Operation Status

The reactor operated continuously for 173 days and was divided into three phases. The specific operating conditions are summarized in Table 1, while variations in influent and effluent matrix concentrations are shown in Figure 3.
Initially, the influent NH4+-N concentration was set to 100 mg/L, and the corresponding SO42−-S concentration was supplied at an N/S (NH4+-N/SO42−-S) ratio of 2, following the stoichiometric reaction equation [11].
During Phase I (days 1~30), the influent NH4+-N concentration was 100 ± 6.12 mg/L, consistently higher than the effluent. On day 1, NH4+-N removal was 76.73 mg/L, then temporarily declined before recovering by day 9 to 80.83 mg/L. After that, removal stabilized, with 78.56 mg/L removed on day 30. Meanwhile, SO42−-S concentrations in the effluent showed no significant decrease and remained similar to the influent levels.
In Phase II (days 31–93), with operating parameters unchanged but HRT extended to 48 h, NH4+-N removal increased slightly compared to Phase I. The maximum NH4+-N removal was 99.54 mg/L, with a peak removal efficiency of 99.75%. Previous studies have shown that extending HRT within a certain range improves NH4+-N removal [27], which aligns with the present finding that increasing HRT from 24 h to 48 h enhanced overall removal efficiency. During this stage, influent SO42−-S concentrations remained unchanged, and effluent concentrations showed no significant differences from influent levels.
Previous studies have shown that higher substrate concentrations improve NH4+-N removal in sulfate-rich environments [28]. Therefore, during Phase III (days 94~173), while keeping an HRT of 48 h, influent NH4+-N and SO42−-S concentrations were increased to 200 ± 6.54 mg/L and 533.33 ± 5.21 mg/L, respectively. The average NH4+-N removal in this phase was 126.31 mg/L, representing a 33.55% decrease compared to the previous two phases. Effluent SO42−-S concentrations were slightly lower than the influent levels but did not show a significant reduction.
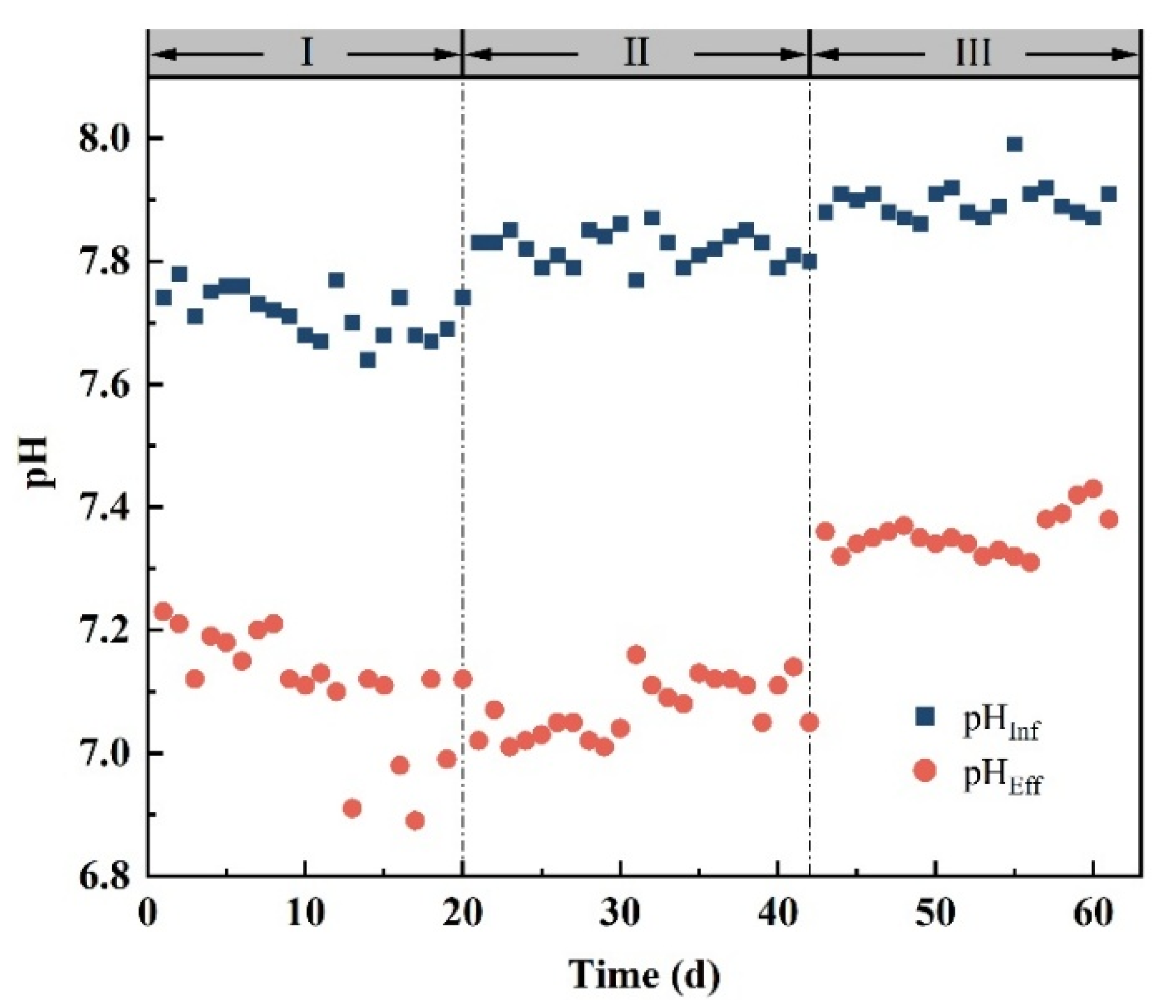
As shown in Figure 4, the influent pH was maintained at 7.86 ± 0.51. During the first 15 days of operation, the effluent pH was nearly the same as that of the influent. On one occasion, the effluent pH slightly exceeded the influent’s pH. This indicates that anaerobic ammonium oxidation (Anammox) was still occurring in the system [29]. As the influent substrate loading increased over time, the effluent pH decreased significantly, suggesting that the reactor was producing acids. One study [30] suggested that when NH4+-N was oxidized by SO42−-S to form NO3-N, alkalinity was consumed, leading to a pH drop; another study [31] attributed this pH decrease to autotrophic denitrification of elemental sulfur, which could also explain the increased SO42−-S concentration in the effluent. Therefore, it is proposed that throughout the operation, continuous NH4+-N oxidation generated H+, which lowered the effluent pH compared to the influent.
Many studies have reported that SO42−-S conversion ceased in the later stages of continuous-flow experiments, with effluent concentrations exceeding influent levels [32,33,34]. This phenomenon has been associated with either microbial inactivation or the adhesion of elemental sulfur to microbial surfaces, which hindered the reaction [35]. Other research found that SO42−-S removal lagged behind NH4+-N, although noticeable SO42−-S removal was sometimes observed during the middle phase of operation. In contrast, in this study, no significant SO42−-S removal took place at any point during the process, regardless of influent concentration. These findings suggest that sulfate ions did not function as electron acceptors in the denitrification process.

3.2. Batch Experiments

Based on the experimental results above, SO42−-S did not seem to react with NH4+-N as an electron acceptor. This led to considering whether other electron acceptors played a role in NH4+-N oxidation within the system. Notably, during the later stage of operation, many fine bubbles were seen on the reactor walls, indicating gas production inside the system. Gas samples collected in gas bags were analyzed, showing that the reactor mainly produced N2 (98.893%) and CO2 (1.107%), with no other gases detected.
Although trace gaseous intermediates such as nitric oxide (NO) and nitrous oxide (N2O) were not quantified in this study, their absence in the gas analysis was likely due to their extremely low concentrations under microaerobic conditions and the rapid conversion of intermediates to N2. Additionally, the observed accumulation of N2, along with negligible changes in sulfate and inorganic carbon, suggests that ammonia oxidation was mainly driven by reactions involving trace oxygen rather than denitrification. Future work will include isotopic and trace gas detection to further validate this mechanism.
Therefore, we considered the possibility of other electron acceptors reacting with NH4+-N in the system. Based on the influent composition and experimental conditions, potential electron acceptors included HCO3 and trace O2.

3.2.1. Possibility Analysis of Oxygen as Electron Acceptor

Sabumon [21] first observed that heterotrophic facultative anaerobes produce hydrogen peroxide (H2O2) endogenously under oxidative stress during anaerobic metabolism. Although H2O2 is detoxified by catalase, it can serve as an internal O2 source for NH4+-N oxidation. Later studies [18] showed that even in anoxic environments, bacteria that utilize organic carbon or alternative electron acceptors generate reactive oxygen species (ROS) during respiration, which are detoxified by catalase or superoxide dismutase.
Therefore, the presence of catalase in the reactor was initially evaluated qualitatively. Once confirmed, a quantitative analysis was conducted. A sludge sample was placed on a microscope slide. When several drops of 3% H2O2 solution were added, bubbles formed immediately (Figure 5). In contrast, no bubbles appeared when the same treatment was applied to a blank control without bacterial cells. This qualitative test confirmed catalase activity in the reactor sludge.
Catalase activity in the reactor was measured (Figure 6) at 18.15 H2O2 mg/g·min. The hydrogen peroxide concentration in the reactor was 0.37 mg/L. Previous studies [36] have shown that hydrogen peroxide can be produced by oxidases of facultative microorganisms under trace oxygen conditions. Additionally, superoxide radicals and hydrogen peroxide are known as unavoidable by-products of microbial metabolism [37,38]. These reactive oxygen species can be generated through the iron-catalyzed Fenton reaction and by various enzymes, including peroxidase and NADPH oxidase. Superoxide dismutase converts superoxide anions into hydrogen peroxide [39], which is then broken down into water and oxygen by catalase. Furthermore, other enzymes that protect anaerobic bacteria from reactive oxygen species have been documented [40,41]. Therefore, it can be inferred that microorganisms in the reactor reduced hydrogen peroxide toxicity by producing catalase to decompose H2O2, aligning with the findings of Anjali et al. [42].
Although influent water was deoxygenated with high-purity argon for 40~50 min, routine operations such as water exchange and sampling inevitably kept the system in a microaerobic state. Dissolved oxygen at the bottom of the reactor was maintained at approximately 0.1 to 0.2 mg/L. These microaerobic conditions provided the necessary environment for NH4+-N conversion in the system.
Batch Test 1 was conducted over 10 days, during which influent DO ranged from 7.81 to 8.12 mg/L. As shown in Figure 7a, influent NH4+-N was 100 ± 1.36 mg/L, while effluent NH4+-N increased from 19.54 mg/L to 22.24 mg/L. The corresponding removal efficiency remained between 80.79% and 77.72%, showing a slight upward trend before leveling off. During this period, influent NO2-N and NO3-N remained below detection limits. Average effluent concentrations were 1.97 mg/L for NO2-N and 5.16 mg/L for NO3-N. These levels were much lower than the amount of NH4+-N removed, indicating that the conversion mainly did not occur through the traditional nitrification–denitrification pathway [36]. In other words, although some nitrite and nitrate accumulated in the system, their levels were too low to explain the large amount of NH4+-N removal observed. This suggests that nitrogen transformation in the system may have taken place via an oxygen-dependent pathway.
Based on Equations (1) and (2), the effluent concentrations of TN, NH4+-N, NO2-N, and NO3-N were calculated as follows:
N H 4 + + 3 2 O 2 N O 2 + H 2 O + 2 H +
N O 2 + 1 2 O 2 N O 3
The average total nitrogen (TN) concentration in the effluent was 37.53 mg/L. After accounting for NH4+-N, NO2-N and NO3-N, 9.17 mg/L of nitrogen remained uncharacterized. Based on experimental observations and previous reports [43], this residual nitrogen may originate from intermediate products of the anammox process (e.g., hydroxylamine, hydrazine) and dissolved organic nitrogen. Meanwhile, pH in the influent and effluent during the batch test was monitored (Figure 8). Effluent pH was consistently lower than influent pH, decreasing from 8.29~8.41 to 6.65~6.87. Since NH4+-N oxidation by oxygen releases H+, whereas anammox consumes only limited H+, it can be inferred that oxygen-driven NH4+-N oxidation was the dominant pathway, with anammox as a secondary process. This inference is consistent with the batch test results, where detectable NO2-N and NO3-N were present in the effluent. Although NO2-N concentrations stayed low during operation, the presence of uncharacterized nitrogen species in the effluent indicates that anammox was still active as a secondary pathway. It is likely that a small amount of NO2-N was temporarily produced through ROS or O2 mediated ammonia oxidation and was immediately consumed by anammox, resulting in low steady-state concentrations. Under these conditions, NO2-N production and consumption may occur rapidly in succession, forming a near-dynamic equilibrium. Therefore, anammox partly contributed to nitrogen removal by utilizing short-lived NO2-N intermediates generated through oxygen- or ROS-driven oxidation, while oxygen-dependent ammonia oxidation remained the dominant process.
It should be noted that the uncharacterized nitrogen fraction (9.17 mg/L) is a limitation of the current analysis. Although this portion is speculated to include intermediate nitrogen species (e.g., hydroxylamine, hydrazine) or dissolved organic nitrogen, this conclusion remains tentative due to the lack of direct identification. In future studies, detailed nitrogen speciation analysis will be performed using isotopic labeling or high-resolution mass spectrometry to determine whether these uncharacterized species are transient intermediates or potential end products of ammonia oxidation.
Although ROS were not directly measured in this study, their presence can be inferred from several pieces of evidence. The measurable catalase activity (18.15 mg H2O2/g·min) shows intracellular detoxification of hydrogen peroxide, a common ROS. Additionally, the trace DO level (0.1–0.2 mg/L) and microaerobic conditions are known to promote ROS formation by facultative microorganisms. Similar indirect methods for estimating ROS have been used in previous studies [21,42]. In future work, fluorescence probes (DCFH-DA) and electron paramagnetic resonance (EPR) techniques will be used to directly measure ROS concentrations in the reactor to confirm these inferences.

3.2.2. Possibility Analysis of Bicarbonate as Electron Acceptor

Adequate inorganic carbon is crucial for the growth of anaerobic ammonium-oxidizing bacteria (AnAOB). AnAOB typically use HCO3 or CO2 as their carbon sources [37], while gaining energy from nitrogen transformations [38]. In this study, NaHCO3 was added to the influent as an inorganic carbon source (IC). In conventional nitrite-dependent anammox systems, HCO3 serves three main roles [44]: (1) providing inorganic carbon, (2) buffering system pH, and (3) acting as a substrate when in excess to participate in the anammox reaction. Most studies have focused on HCO3 solely as an inorganic carbon source affecting AnAOB activity, while few have examined its potential as an electron acceptor reacting with ammonia. Ye [45] proposed that bicarbonate could serve as an electron acceptor for anammox but provided no mechanistic or microbial evidence. Subsequent research [46] investigated microbial communities involved in this process, but the system was dominated by nitrifying and denitrifying bacteria, indicating it was not strictly anaerobic.
Results from the previous section showed that SO42−-S did not act as an electron acceptor for NH4+-N, yet significant NH4+-N removal still occurred. This indicated that, besides oxygen, HCO3 could also serve as an electron acceptor in NH4+-N removal. Therefore, Batch Experiment 2 was designed to test this hypothesis, with operating parameters summarized in Table 2.
Batch test 2 lasted 67 days. It was divided into three stages, as shown in Figure 9. In Stage I (days 1~20), influent NH4+-N was 100 mg/L and HCO3 was 726 mg/L. Effluent NH4+-N was consistently lower than influent, with an average removal of 8.35 mg/L and a removal efficiency of 8.49%. In Stage II (days 21~42), influent NH4+-N remained at 100 mg/L, while HCO3 increased to 907 mg/L. The average NH4+-N removal efficiency increased to 13.83%, with an average removal of 87.11 mg/L, indicating an improvement over Stage I. In Stage III (days 43~67), influent NH4+-N stayed at 100 mg/L, while HCO3 increased to 1452 mg/L. Effluent NH4+-N averaged 94.98 mg/L, with minimal difference from influent, and a removal efficiency of only 5.90%.
Notably, NO2-N and NO3-N were not detected in the effluent during these tests. As shown in Figure 9, NH4+-N removal efficiency first increased and then decreased as HCO3 concentrations rose. When HCO3 exceeded 1000 mg/L, NH4+-N removal efficiency declined, while at concentrations below 1000 mg/L, increasing HCO3 slightly improved removal. This indicates that HCO3, as an inorganic carbon source, stimulated microbial activity and supported the growth of denitrifying bacteria, thereby enhancing NH4+-N removal. Previous studies reported that HCO3 concentrations in conventional anammox systems should stay below 1000 mg/L, since higher levels inhibit the process [47]. These findings are consistent with the results of the present batch tests.
The carbonate system in water primarily exists in four forms: CO2, H2CO3, HCO3 and CO32−. At pH 6~10, HCO3 mainly dominates the solution [48]. Since the influent was artificially prepared with ammonia nitrogen, sodium bicarbonate, small amounts of nutrients, and trace elements, inorganic carbon (IC) in the system was mainly present as HCO3. Changes in HCO3 concentration are shown in Figure 10. Effluent HCO3 concentrations were consistently lower than influent values, indicating that an HCO3 consuming reaction occurred in the system. Additionally, with increasing influent HCO3 concentration, the removal rate initially increased and then decreased. When HCO3 exceeded 1000 mg/L, its removal rate declined.
Influent and effluent pH were also monitored, with effluent values consistently lower than influent (Figure 11). Increasing influent HCO3 concentration slightly raised influent pH. Effluent pH changes were minimal in the first two stages but became slightly higher in Stage III. This was likely because HCO3 concentrations exceeded 1000 mg/L in Stage III, which hindered microbial growth and reduced the population capable of using HCO3 as an inorganic carbon source, thereby increasing effluent pH. Overall, effluent pH remained basically neutral.
Notably, Batch Test 2 was conducted under strictly anaerobic conditions. Compared to Batch Test 1, NH4+-N removal was significantly lower. Additionally, HCO3 removal efficiency was low under anaerobic conditions in Batch Test 2. Previous studies [49] reported NO3-N production in bicarbonate-type anammox reactors operated under uncontrolled anaerobic conditions. In contrast, NO3-N in this study stayed below detection limits, indicating that HCO3 acted solely as an inorganic carbon source for microorganisms rather than reacting with NH4+-N.
Although isotopic tracing or complete carbon mass balance analysis was not performed in this study, the role of bicarbonate was inferred from controlled batch experiments. Under strictly anaerobic conditions with excess HCO3, ammonia removal dropped sharply, while trace oxygen restored the removal efficiency, indicating that HCO3 functioned as an inorganic carbon source rather than an electron acceptor. This aligns with previous findings that autotrophic Anammox bacteria use bicarbonate for carbon fixation. Future studies will use 13C isotope tracing or carbon balance analysis to quantitatively confirm this mechanism.

3.3. Microbial Community Analysis

Microbial samples from the USBR were collected on days 0, 50, and 170, and community composition was analyzed using high-throughput 16S rRNA gene sequencing.

3.3.1. Microbial Diversity Analysis

Table 3 summarizes the α-diversity indices of three samples collected at different stages of reactor operation, including sequencing coverage, diversity (Shannon, Simpson), and richness (Chao, ACE). The Shannon index increased from 4.831 at startup to 5.191 on day 50, then remained relatively stable at 5.156 on day 170. The Simpson index decreased from 0.036 to approximately 0.020, indicating a slight increase in microbial diversity during reactor operation. In contrast, richness indices (Chao, ACE) declined from 1121.45 to 978.06, suggesting stable diversity but reduced species richness. Coverage values stayed close to 1.0, confirming sufficient sequencing depth to detect dominant microbial groups. Overall, long-term reactor operation resulted in a stable microbial community with slightly increased diversity but decreased richness, likely reflecting selective enrichment of functional microorganisms (e.g., anammox bacteria) under the operating conditions.
As shown in Figure 12, the curves for the three phases displayed similar shapes. In the initial phase, the microbial community was dominated by a few species, followed by a sharp decline in abundance, creating a typical low-evenness pattern. The R1_170d curve was relatively flatter, indicating that after 170 days of operation, although a few species still dominated, the abundance of other taxa increased. This suggests a shift toward greater stability, while the community remained in a phase of selective enrichment.

3.3.2. Evolution of Microbial Communities

Across all samples, the dominant phyla were mainly Chloroflexi, Patescibacteria, Proteobacteria, Bacteroidota, and Synergistota (Figure 13). At the initial stage (R1_0d), the community was dominated by Patescibacteria (21.21%), Synergistota (20.61%), and Proteobacteria (11.69%), followed by Chloroflexi (10.90%), Bacteroidota (10.60%), and Desulfobacterota (6.42%). The presence of Synergistota and Desulfobacterota indicated that the inoculum sludge contained anaerobic fermentative bacteria and sulfate-reducing bacteria (SRB). However, the lack of significant sulfate reduction in the early stage suggested inhibition of SRB activity. This early inhibition is likely mainly due to the inorganic nature of the influent (minimal readily degradable organic carbon), which restricts the availability of electron donors needed for sulfate reduction. Additionally, the reactor operated under constant microaerobic conditions (DO ≈ 0.1~0.2 mg/L) and experienced a continuous pH decrease; both factors are known to inhibit obligate anaerobic SRB and would have reduced their metabolic activity from the beginning. The relatively high abundance of Proteobacteria (11.69%) may reflect the metabolic flexibility of facultative anaerobes, which could oxidize some ammonia via short-term nitrification under microaerobic conditions [50]. The continuous decline in pH likely further suppressed strictly anaerobic SRB, limiting sulfate reduction [51]. Chloroflexi (10.90%) might contribute to carbon fixation or acid production under oligotrophic conditions, although their specific roles need further investigation across stages.
By day 50 (R1_50d), the community changed, with Patescibacteria (26.25%) and Chloroflexi (23.29%) becoming the main phyla. Proteobacteria (11.46%) and Bacteroidota (5.14%) decreased, while Planctomycetota grew to 3.52%. Notably, Chloroflexi almost doubled, from 10.90% to 23.29%. Synergistota nearly vanished (0.08%), and Desulfobacterota dropped sharply (0.25%), indicating SRB were gradually phased out due to electron acceptor limitation or poor adaptation to reactor conditions.
By day 170 (R1_170d), Chloroflexi (22.54%) and Proteobacteria (15.76%) dominated, while Planctomycetota increased significantly to 11.27%. Acidobacteria (11.61%) and Bacteroidota (8.97%) also rose. Desulfobacterota, linked with sulfate reduction, decreased to 1.27% in R1_170d (compared to 6.42% in R1_0d), and Synergistota was almost absent (0.02%). This matches experimental results showing sulfate was not reduced, indicating SRB did not adapt to sulfate as an electron acceptor. Taken together, several mutually reinforcing factors explain the ongoing loss of SRB functionality despite their initial presence: (1) Electron-donor limitation: our synthetic influent was mainly inorganic with very low labile organic carbon, depriving SRB of the reduced substrates needed for SO42−-S reduction; (2) Microaerobic inhibition: even low DO levels (0.1~0.2 mg/L) can significantly inhibit obligate SRB, promoting facultative taxa; (3) Operational selection pressures: stagewise increases in HRT and pH changes likely shifted competitive advantage toward organisms that can survive under low-carbon, low-oxygen conditions (e.g., Chloroflexi, facultative Proteobacteria, and anammox-related taxa); and (4) Alternative electron sinks: trace oxygen, ROS-derived oxidants, or internally produced nitrite may have served as more accessible electron acceptors, diverting electron flow away from sulfate reduction. These explanations align with the observed community succession and stable SO42−-S concentrations. Further studies under strictly anoxic and carbon-supplemented conditions are necessary to determine which inhibitory factors are most influential.
The consistently high abundance of Proteobacteria (15.76%) may indicate increased activity of ammonia-oxidizing bacteria (AOB) or nitrite-oxidizing bacteria (NOB) within this group. Trace oxygen levels (DO ≈ 0.1~0.2 mg/L) and catalase activity suggest that facultative anaerobes could produce oxygen through reactive oxygen species (ROS) detoxification, supporting short-term ammonia nitrification. The nitrite produced may then be used by anammox bacteria or chemically denitrified to N2, aligning with the observed gas composition (98.89% N2). The enrichment of Planctomycetota (11.27%) indicates that anammox bacteria remained active at R1_170d, but their metabolism was likely limited by changes in electron acceptors, leading to decreased NH4+-N removal efficiency compared to R1_50d.
Microbial community succession in the reactor showed that excess NH4+-N removal mainly depended on non-sulfate pathways. The combined effect of Proteobacteria and Chloroflexi was key: Proteobacteria oxidized NH4+-N through short-term nitrification under low-oxygen conditions, while Chloroflexi helped maintain system stability by fixing carbon or performing acidogenic metabolism. The presence of Planctomycetota indicated that anammox also played a supporting role. The succession of the community, along with the experimental conditions, jointly influenced the pathways for NH4+-N and sulfate transformation. At R1_170d, the significant drop in sulfate-reducing bacteria and the increase in ammonia-oxidizing taxa suggested that NH4+-N removal primarily occurred via oxidation pathways involving oxygen or bicarbonate, while sulfate reduction was absent due to the loss of functional activity or environmental inhibition. This matches the batch test results: under strictly anaerobic conditions (Batch Test 2), NH4+-N removal decreased significantly, while higher removal under microaerobic conditions in the main test confirmed the importance of trace oxygen.
As reactor operation progressed, the abundance of key functional bacteria increased (Figure 14). Candidatus_Brocadia, a well-known AnAOB, was significantly enriched in R1_170d. This enrichment aligned with the high NH4+-N removal observed in the late reactor stage. Although no external nitrite was supplied, the presence of Candidatus_Brocadia indicates endogenous NO2-N production, likely through microaerobic ammonia oxidation, supporting the anammox pathway. Limnobacter (Proteobacteria), commonly found in microaerobic environments, exhibits versatile redox capabilities. Its high abundance in both R1_50d and R1_170d suggests a role in ammonia oxidation. The enrichment of Limnobacter correlated with trace dissolved oxygen (0.1~0.2 mg/L) and catalase activity detected in the reactor, supporting its involvement in ammonia oxidation under microaerobic conditions. Denitratisoma, a denitrifying genus, may also contribute to nitrogen transformation in the system. Although present at low levels in R1_170d, it could aid nitrogen removal through denitrification, especially given trace NO2-N or NO3-N production.
Ignavibacterium, commonly found in anaerobic environments, may participate in the nitrogen cycle. Its abundance increased during the middle and late stages, suggesting a role in maintaining an anaerobic metabolic environment [52]. Trichococcus, a facultative anaerobe, ferments carbohydrates to produce acids. It may contribute to organic matter metabolism, providing carbon sources for other microbes or helping stabilize system pH [53]. Syntrophobacter typically engages in syntrophic metabolism and promotes sulfate reduction in association with SRB. However, its extremely low abundance further indicates that the sulfate reduction pathway was not activated.
Typical SRB genera, including Desulfovibrio, Desulfobacter, and Desulfobulbus, were rarely detected. By R1_170d, ammonia-oxidizing genera became more prevalent, while SRB remained consistently absent. This suggests that denitrification occurred independently of sulfate reduction, instead depending on coupled microaerobic ammonia oxidation and anammox. This finding matches experimental observations of no sulfate reduction. The absence of SRB shows they cannot thrive in a microaerobic, electron donor-limited environment, further confirming that sulfate did not serve as an electron acceptor in denitrification.
This finding aligns with experimental observations of no sulfate reduction. The absence of SRB shows they cannot survive in a microaerobic, electron donor-limited environment, further confirming that sulfate was not used as an electron acceptor in denitrification.
Quantitative analysis of microbial abundance and reactor performance further supported this conclusion. As the relative abundance of Planctomycetota increased from 3.52% at R1_50d to 11.27% at R1_170d, the NH4+-N removal efficiency rose from 68.4% to 93.1%, indicating that the enrichment of anammox-related taxa was closely linked to improved ammonia conversion. Meanwhile, the decrease in Desulfobacterota from 6.42% to 1.27% coincided with the stable SO42−-S concentration, confirming that sulfate reduction was not involved. These quantitative relationships demonstrate that the development of the microbial community was consistently aligned with the reactor’s kinetic performance.

3.3.3. Analysis of Microbial Metabolic Pathway Characteristics

Functional prediction by FAPROTAX is shown in Figure 15. Sulfur metabolism-related functions (sulfate respiration and sulfur compound respiration) remained at extremely low levels throughout the operation (R1_0d~R1_170d) without any upward trend. This was due to SRB suppression and gradual elimination under microaerobic conditions and limited organic electron donors. This finding aligned with the absence of sulfate reduction in the reactor, ruling out sulfate reduction as a primary denitrification pathway. In contrast, nitrogen metabolism functions were gradually enriched. Anammox-related functions increased significantly by R1_170d, confirming the emergence of anammox bacteria as a key functional group. Nitrate reduction and nitrite respiration remained highly active, consistent with the detection of trace NO2-N and NO3-N and the inferred microbial ammonium oxidation. By R1_170d, the community dominated by Chloroflexi, Proteobacteria, and Planctomycetota had completed succession, accompanied by coordinated enrichment of nitrogen metabolism functions. This supported the development of a coupled pathway of “trace oxygen/ROS-driven partial nitrification–anammox.”
In summary, FAPROTAX prediction showed that the system experienced a directional succession at the functional level, marked by a reduction in sulfur metabolism and a rise in nitrogen metabolism and aerobic heterotrophic functions. This functional change was aligned with microbial community succession, ultimately creating a system independent of sulfate reduction and dominated by oxygen/ROS-driven nitrogen transformation. These findings clarify the underlying mechanism of ammonia nitrogen removal in sulfate-rich environments from an ecological functional perspective.

4. Conclusions

This work demonstrated, for the first time, that stable ammonia removal can proceed in sulfate-rich systems without involving sulfate reduction. The results highlight a novel ROS-driven ammonia oxidation–Anammox coupling pathway that fundamentally differs from conventional SRAO processes. This study involved long-term operation of an upflow spiral bed reactor (USBR), along with batch experiments and microbial community functional analyses, to clarify the mechanism of ammonia-only nitrogen removal in the presence of sulfate. The main conclusions are as follows:
(1)
The reactor consistently achieved high NH4+-N removal, while SO42−-S concentrations showed no significant decrease and SRB declined rapidly, indicating that SO42−-S did not serve as an electron acceptor for NH4+-N conversion.
(2)
Batch experiments showed distinct roles for oxygen and bicarbonate. Using oxygen as a potential electron acceptor, NH4+-N removal was notable, with low levels of NO2-N and NO3-N, indicating that trace DO and ROS-derived oxygen were key factors. Conversely, under strictly anaerobic conditions with ample HCO3, NH4+-N removal dropped sharply, and no NO2-N or NO3-N were detected, suggesting that HCO3 mainly functions as an inorganic carbon source rather than an electron acceptor.
(3)
Microbial community succession confirmed the non-sulfate-dependent pathway. Over time, Proteobacteria, Chloroflexi, and Planctomycetota became dominant. Facultative anaerobes likely mediated short-term nitrification under microaerobic conditions, while anammox bacteria served as a secondary nitrite-consuming pathway. Functional predictions further indicated an enrichment of nitrogen metabolism, whereas sulfur metabolism remained consistently low.
Overall, this study demonstrated that in sulfate-rich environments, NH4+-N removal was not dependent on sulfate reduction but was driven by coupled ammonia oxidation and anammox processes mediated by trace oxygen/ROS. These findings provide new insights into unconventional ammonia oxidation pathways and offer theoretical and microbiological support for efficient nitrogen removal from sulfate-containing wastewater. These findings redefine the role of sulfate environments in nitrogen transformation and provide a new theoretical basis for developing low-carbon biological nitrogen removal technologies.
Although isotopic tracing and complete carbon mass balance were not conducted in this study, the role of bicarbonate was inferred from controlled batch experiments. It will be quantitatively validated in future work using 13C isotope labelling or carbon balance analyses. In addition, this study used synthetic wastewater to ensure stable, controlled conditions for mechanistic interpretation. Future studies will extend this work to actual sulfate-containing industrial wastewaters, such as those from monosodium glutamate and dyeing industries, to further verify the proposed ROS–anammox coupling mechanism and assess its engineering applicability.

Author Contributions

F.Q.: Measurement of experimental data, data analysis and manuscript writing. L.C.: Overall direction of the experiment, project management and access to funding. F.R.: Measurement and organization of experimental data. S.G.: Launch of the experiment and pre-launch information access. All authors have read and agreed to the published version of the manuscript.

Funding

This work was supported by the Applied Basic Research Plan of Liaoning Province (No. 2023JH2/101300059).

Data Availability Statement

The original contributions presented in this study are included in the article. Further inquiries can be directed to the corresponding author.

Acknowledgments

We thank the Applied Basic Research Plan of Liaoning Province (No. 2023JH2/101300059) for financial support, and our supervisors and colleagues for their assistance. The authors also thank the reviewers for their valuable insights and suggestions.

Conflicts of Interest

The authors have no relevant financial or non-financial interests to disclose and declare that they have no known competing financial interests or personal relationships that could appear to influence the work reported in this paper.

References

  1. Gong, Y.; Wang, X.; Bao, X.; Lam, K.L. Life Cycle Assessment of Ammonium Sulfate Recovery from Urban Wastewater. Blue-Green Syst. 2024, 6, 90–99. [Google Scholar] [CrossRef]
  2. Dong, L.; Li, Y.; Wang, P.; Feng, Z. Cleaner Production of Monosodium Glutamate in China. J. Clean. Prod. 2018, 190, 452–461. [Google Scholar] [CrossRef]
  3. Yang, D.; Jia, X.; Dang, M.; Han, F.; Shi, F.; Tanikawa, H.; Klemeš, J.J. Life Cycle Assessment of Cleaner Production Measures in Monosodium Glutamate Production: A Case Study in China. J. Clean. Prod. 2020, 270, 122126. [Google Scholar] [CrossRef]
  4. Chen, H.; Wang, H.; Yu, G.; Xiong, Y.; Wu, H.; Yang, M.; Chen, R.; Yang, E.; Jiang, C.; Li, Y.-Y. Key Factors Governing the Performance and Microbial Community of One-Stage Partial Nitritation and Anammox System with Bio-Carriers and Airlift Circulation. Bioresour. Technol. 2021, 324, 124668. [Google Scholar] [CrossRef]
  5. James, S.N.; Vijayanandan, A. Recent Advances in Simultaneous Nitrification and Denitrification for Nitrogen and Micropollutant Removal: A Review. Biodegradation 2023, 34, 103–123. [Google Scholar] [CrossRef]
  6. Kosgey, K.; Zungu, P.V.; Bux, F.; Kumari, S. Biological Nitrogen Removal from Low Carbon Wastewater. Front. Microbiol. 2022, 13, 968812. [Google Scholar] [CrossRef]
  7. Li, G.; Yu, Y.; Li, X.; Jia, H.; Ma, X.; Opoku, P.A. Research Progress of Anaerobic Ammonium Oxidation (Anammox) Process Based on Integrated Fixed-film Activated Sludge (IFAS). Environ. Microbiol. Rep. 2024, 16, e13235. [Google Scholar] [CrossRef]
  8. Hu, Z.; Liu, T.; Wang, Z.; Meng, J.; Zheng, M. Toward Energy Neutrality: Novel Wastewater Treatment Incorporating Acidophilic Ammonia Oxidation. Environ. Sci. Technol. 2023, 57, 4522–4532. [Google Scholar] [CrossRef]
  9. Arora, A.S.; Nawaz, A.; Qyyum, M.A.; Ismail, S.; Aslam, M.; Tawfik, A.; Yun, C.M.; Lee, M. Energy Saving Anammox Technology-Based Nitrogen Removal and Bioenergy Recovery from Wastewater: Inhibition Mechanisms, State-of-the-Art Control Strategies, and Prospects. Renew. Sustain. Energy Rev. 2021, 135, 110126. [Google Scholar] [CrossRef]
  10. Zhang, L.; Jiang, L.; Zhang, J.; Li, J.; Peng, Y. Enhancing Nitrogen Removal through Directly Integrating Anammox into Mainstream Wastewater Treatment: Advantageous, Issues and Future Study. Bioresour. Technol. 2022, 362, 127827. [Google Scholar] [CrossRef]
  11. Fdz-Polanco, F.; Fdz-Polanco, M.; Fernandez, N.; Urueña, M.A.; Garcia, P.A.; Villaverde, S. New Process for Simultaneous Removal of Nitrogen and Sulphur under Anaerobic Conditions. Water Res. 2001, 35, 1111–1114. [Google Scholar] [CrossRef] [PubMed]
  12. Strous, M.; Kuenen, J.G.; Jetten, M.S. Key Physiology of Anaerobic Ammonium Oxidation. Appl. Environ. Microbiol. 1999, 65, 3248–3250. [Google Scholar] [CrossRef] [PubMed]
  13. Marietou, A.; Kjeldsen, K.U.; Glombitza, C.; Jørgensen, B.B. Response to Substrate Limitation by a Marine Sulfate-Reducing Bacterium. ISME J. 2022, 16, 200–210. [Google Scholar] [CrossRef] [PubMed]
  14. Rikmann, E.; Mandel, A.; Tomingas, M.; Tenno, T.; Loorits, L.; Vabamäe, P.; Mandel, A.; Raudkivi, M.; Daija, L.; Kroon, K.; et al. Sulfate-Reducing Anammox for Sulfate and Nitrogen Containing Wastewaters. Desalin. Water Treat. 2016, 57, 3132–3141. [Google Scholar] [CrossRef]
  15. Liu, L.-Y.; Xie, G.-J.; Xing, D.-F.; Liu, B.-F.; Ding, J.; Cao, G.-L.; Ren, N.-Q. Sulfate Dependent Ammonium Oxidation: A Microbial Process Linked Nitrogen with Sulfur Cycle and Potential Application. Environ. Res. 2021, 192, 110282. [Google Scholar] [CrossRef]
  16. Zhao, Y.; Dong, Y.; Kong, L.; Shoukat, A. Efficient Nitrogen Removal and Elemental Sulfur Recovery through Sulfide-Driven Partial Denitrification Coupled with Anammox: Strategies Based on N/S Ratio and HRT. J. Environ. Manage. 2025, 376, 124464. [Google Scholar] [CrossRef]
  17. Wang, X.; Zhang, Y.; Zhang, T.; Zhou, J. Effect of Dissolved Oxygen on Elemental Sulfur Generation in Sulfide and Nitrate Removal Process: Characterization, Pathway, and Microbial Community Analysis. Appl. Microbiol. Biotechnol. 2016, 100, 2895–2905. [Google Scholar] [CrossRef]
  18. Rikmann, E.; Zekker, I.; Tomingas, M.; Tenno, T.; Menert, A.; Loorits, L.; Tenno, T. Sulfate-Reducing Anaerobic Ammonium Oxidation as a Potential Treatment Method for High Nitrogen-Content Wastewater. Biodegradation 2012, 23, 509–524. [Google Scholar] [CrossRef]
  19. Li, J.; Sui, Q.; Zuo, F.; Yang, Y.; Chen, M.; Wei, Y. Insight into Nitrogen Removal through Sulfate Reducing Anaerobic Ammonia Oxidation Coupled with Sulfur Cycle: A Comparative Study on Inorganic Organic Conditions. J. Environ. Manag. 2025, 373, 123566. [Google Scholar] [CrossRef]
  20. Wu, T.; Ding, J.; Zhong, L.; Sun, H.-J.; Pang, J.-W.; Zhao, L.; Bai, S.-W.; Ren, N.-Q.; Yang, S.-S. Sulfate-Reducing Ammonium Oxidation: A Promising Novel Process for Nitrogen and Sulfur Removal. Sci. Total Environ. 2023, 893, 164997. [Google Scholar] [CrossRef]
  21. Sabumon, P.C. Effect of Potential Electron Acceptors on Anoxic Ammonia Oxidation in the Presence of Organic Carbon. J. Hazard. Mater. 2009, 172, 280–288. [Google Scholar] [CrossRef]
  22. Helton, A.M.; Ardón, M.; Bernhardt, E.S. Thermodynamic Constraints on the Utility of Ecological Stoichiometry for Explaining Global Biogeochemical Patterns. Ecol. Lett. 2015, 18, 1049–1056. [Google Scholar] [CrossRef] [PubMed]
  23. Bi, Z.; Wanyan, D.; Li, X.; Huang, Y. Biological Conversion Pathways of Sulfate Reduction Ammonium Oxidation in Anammox Consortia. Front. Environ. Sci. Eng. 2020, 14, 38. [Google Scholar] [CrossRef]
  24. van de Graaf, A.A.; de Bruijn, P.; Robertson, L.A.; Jetten, M.S.M.; Kuenen, J.G. Autotrophic Growth of Anaerobic Ammonium-Oxidizing Micro-Organisms in a Fluidized Bed Reactor. Microbiology 1996, 142, 2187–2196. [Google Scholar] [CrossRef]
  25. Rahman, H. Analytical Applications of Permanganate as an Oxidant in the Determination of Pharmaceuticals Using Chemiluminescence and Spectrophotometry: A Review. Curr. Anal. Chem. 2020, 16, 670–686. [Google Scholar] [CrossRef]
  26. Guo, J.; Jing, H.; Hu, B.; Ju, Z.; Hui, W. General Administration of Environmental Protection of the People’s Republic of China. In Water and Wastewater Monitoring and Analysis Method, 4th ed.; China Environmental Science Press: Beijing, China, 2002. [Google Scholar]
  27. Wu, Y.; Liang, Q.; Wang, H.; Zhang, L.; Zeng, W.; Cao, Y.-A.; Liao, J.; Liang, Z.; Liang, Q. Hydraulic Retention Time Optimization Achieved Unexpectedly High Nitrogen Removal Rate in Pilot-Scale Anaerobic/Aerobic/Anoxic System for Low-Strength Municipal Wastewater Treatment. Bioresour. Technol. 2024, 393, 130128. [Google Scholar] [CrossRef]
  28. Gao, L.; Zhang, T.; Zhao, Y.; Chen, X.; Ni, S.-Q. Uncovering the Co-Metabolic Flux of Ammonia Thiosulfate/Sulfate in Sulfate-Reducing Ammonia Oxidation. Chem. Eng. J. 2025, 505, 159225. [Google Scholar] [CrossRef]
  29. Tomaszewski, M.; Cema, G. Influence of Temperature and pH on the Anammox Process: A Review and Meta-Analysis. Chemosphere 2017, 182, 203–214. [Google Scholar] [CrossRef]
  30. Stumpe, J.M.; Vlek, P.L.G. Acidification Induced by Different Nitrogen Sources in Columns of Selected Tropical Soils. Soil Sci. Soc. Am. J. 1991, 55, 145–151. [Google Scholar] [CrossRef]
  31. Chung, J.; Amin, K.; Kim, S.; Yoon, S.; Kwon, K.; Bae, W. Autotrophic Denitrification of Nitrate and Nitrite Using Thiosulfate as an Electron Donor. Water Res. 2014, 58, 169–178. [Google Scholar] [CrossRef]
  32. Zhang, L.; Huang, Y.; Yuan, Y.; Li, X.; Liu, F. Study on the Biotransformation of Sulfate Ammonia in Anaerobic Conditions. Chin. J. Environ. Sci. 2013, 34, 4356–4361. [Google Scholar] [CrossRef]
  33. Liu, F.; Huang, Y.; Yuan, Y.; Li, X.; Zhang, C.; Zhang, L. Study of anaerobic sulfate-reducing ammonium oxidation reaction. Chin. J. Environ. Eng. 2015, 9, 699–704. [Google Scholar]
  34. Prachakittikul, P.; Wantawin, C.; Noophan, P.; Boonapatcharoen, N. ANAMMOX-like Performances for Nitrogen Removal from Ammonium-Sulfate-Rich Wastewater in an Anaerobic Sequencing Batch Reactor. J. Environ. Sci. Health A 2016, 51, 220–228. [Google Scholar] [CrossRef] [PubMed]
  35. Jia, T.; Zhang, L.; Zhao, Q.; Peng, Y. The Effect of Biomass Accumulation on the Sulfur Oxidation Pathway and the Synergy of Microorganisms in Desulfurization Reactors under Different pH Conditions. J. Hazard. Mater. 2022, 432, 128638. [Google Scholar] [CrossRef] [PubMed]
  36. Bian, Y.; Fu, K.; Xu, R.; Guan, T.; Huo, A.; Zhang, R.; Li, X.; Qiu, F.; Zhang, Y. Achieving Partial Nitrification and Denitrification Coupled with Simultaneous Partial Nitrification, Anammox, and Denitrification (PND-SNAD) by the Inhibition of Sulfide to Accomplish Stabilized Nitrogen Removal. Environ. Res. 2025, 278, 121630. [Google Scholar] [CrossRef]
  37. Lawson, C.E.; Nuijten, G.H.L.; de Graaf, R.M.; Jacobson, T.B.; Pabst, M.; Stevenson, D.M.; Jetten, M.S.M.; Noguera, D.R.; McMahon, K.D.; Amador-Noguez, D.; et al. Autotrophic and Mixotrophic Metabolism of an Anammox Bacterium Revealed by in Vivo 13C and 2H Metabolic Network Mapping. ISME J. 2021, 15, 673–687. [Google Scholar] [CrossRef]
  38. González-Cabaleiro, R.; Curtis, T.P.; Ofiţeru, I.D. Bioenergetics Analysis of Ammonia-Oxidizing Bacteria and the Estimation of Their Maximum Growth Yield. Water Res. 2019, 154, 238–245. [Google Scholar] [CrossRef]
  39. Lombard, M.; Fontecave, M.; Touati, D.; Nivière, V. Reaction of the Desulfoferrodoxin from Desulfoarculus baarsii with Superoxide Anion: Evidence for a superoxide reductase activity. Biol. Chem. 2000, 275, 115–121. [Google Scholar] [CrossRef]
  40. Brioukhanov, A.; Netrusov, A.; Sordel, M.; Thauer, R.K.; Shima, S. Protection of Methanosarcina barkeri against Oxidative Stress: Identification and Characterization of an Iron Superoxide Dismutase. Arch. Microbiol. 2000, 174, 213–216. [Google Scholar] [CrossRef]
  41. Dos Santos, W.G.; Pacheco, I.; Liu, M.-Y.; Teixeira, M.; Xavier, A.V.; LeGall, J. Purification and Characterization of an Iron Superoxide Dismutase and a Catalase from the Sulfate-Reducing Bacterium Desulfovibrio gigas. J. Bacteriol. 2000, 182, 796–804. [Google Scholar] [CrossRef]
  42. Anjali, G.; Sabumon, P. Development of Simultaneous Partial Nitrification, Anammox and Denitrification (SNAD) in a Non-Aerated SBR. Int. Biodeterior. Biodegrad. 2017, 119, 43–55. [Google Scholar] [CrossRef]
  43. Ma, X.; Zhou, J.-M.; Sun, Y.-J.; Liu, X.-T.; Zhang, X.-R.; Wang, Y.; Chen, Y.; Jin, R.-C.; Zhang, Q.-Q. Revealing the Combined Effect of Hydroxylamine and Hydrazine on Nitrogen Removal Performance of Completely Autotrophic Nitrogen Removal over Nitrite (CANON) Process. Bioresour. Technol. 2025, 418, 131964. [Google Scholar] [CrossRef]
  44. Fernández, I.; Dosta, J.; Fajardo, C.; Campos, J.; Mosquera-Corral, A.; Méndez, R. Short- and Long-Term Effects of Ammonium and Nitrite on the Anammox Process. J. Environ. Manag. 2012, 95, S170–S174. [Google Scholar] [CrossRef]
  45. Ye, W.; Yan, J.; Yan, J.; Lin, J.-G.; Ji, Q.; Li, Z.; Ganjidoust, H.; Huang, L.; Li, M.; Zhang, H. Potential Electron Acceptors for Ammonium Oxidation in Wastewater Treatment System under Anoxic Condition: A Review. Environ. Res. 2024, 252, 118984. [Google Scholar] [CrossRef] [PubMed]
  46. Zhang, D.; Cui, L.; Wang, H.; Liang, J. Study of Sulfate-Reducing Ammonium Oxidation Process and Its Microbial Community Composition. Water Sci. Technol. 2019, 79, 137–144. [Google Scholar] [CrossRef] [PubMed]
  47. Prodan, A.; Tremaroli, V.; Brolin, H.; Zwinderman, A.H.; Nieuwdorp, M.; Levin, E. Comparing Bioinformatic Pipelines for Microbial 16S rRNA Amplicon Sequencing. PLoS ONE 2020, 15, e0227434. [Google Scholar] [CrossRef] [PubMed]
  48. Weber, W.J., Jr.; Stumm, W. Mechanism of Hydrogen Ion Buffering in Natural Waters. J. AWWA 1963, 55, 1553–1578. [Google Scholar] [CrossRef]
  49. Zhu, J. Validation on Nitrogen Removal Performance of Sulfate-Reducing Ammonia Oxidation. Master’s Thesis, China University of Mining and Technology , Xuzhou, China, 2022. [Google Scholar]
  50. Esposti, M.D.; Romero, E.M. The Functional Microbiome of Arthropods. PLoS ONE 2017, 12, e0176573. [Google Scholar] [CrossRef]
  51. Jong, T.; Parry, D. Parry Microbial Sulfate Reduction under Sequentially Acidic Conditions in an Upflow Anaerobic Packed Bed Bioreactor. Water Res. 2006, 40, 2561–2571. [Google Scholar] [CrossRef]
  52. Lu, Z.; Zhao, J.; Wu, Z.; Guo, T.; Wang, M.; Li, X.; Wan, D.; Du, Z.; He, Q. Nitrogen Removal Performance Functional Microbial Communities Evolution in a Continuous Up-Flow Fixed Bed Anammox System. J. Environ. Chem. Eng. 2024, 12, 113913. [Google Scholar] [CrossRef]
  53. Zheng, H.; Cao, X.; Liao, Y.; Feng, L.; Ji, F. Process Optimisation of a Packed Anaerobic Baffled Reactor-Deodorization Pool-Tidal Flow Constructed Wetland System for Synergistic Removal of Pollutants Odours from Rural Septic Tank Wastewater. J. Environ. Chem. Eng. 2025, 13, 118544. [Google Scholar] [CrossRef]
Figure 1. Diagram of the USBR (Upflow Spiral Bed Reactor) device.
Figure 1. Diagram of the USBR (Upflow Spiral Bed Reactor) device.
Water 17 03284 g001
Figure 2. Batch test device schematic diagram.
Figure 2. Batch test device schematic diagram.
Water 17 03284 g002
Figure 3. Changes in ammonia, nitrogen and sulfate in the inlet and outlet water of the reactor at different stages. (a) Changes in nitrogen concentration; (b) Changes in sulfate concentration.
Figure 3. Changes in ammonia, nitrogen and sulfate in the inlet and outlet water of the reactor at different stages. (a) Changes in nitrogen concentration; (b) Changes in sulfate concentration.
Water 17 03284 g003
Figure 4. pH changes in inlet and outlet water at different stages of the reactor.
Figure 4. pH changes in inlet and outlet water at different stages of the reactor.
Water 17 03284 g004
Figure 5. After the sludge in the reactor was added with 3% H2O2 solution, bubbles were generated.
Figure 5. After the sludge in the reactor was added with 3% H2O2 solution, bubbles were generated.
Water 17 03284 g005
Figure 6. Catalase activity and content in the reactor.
Figure 6. Catalase activity and content in the reactor.
Water 17 03284 g006
Figure 7. Nitrogen conversion and removal performance in batch trials using reactor sludge with oxygen as a potential electron acceptor. (a) Changes in nitrogen concentration; (b) Changes in total nitrogen concentration.
Figure 7. Nitrogen conversion and removal performance in batch trials using reactor sludge with oxygen as a potential electron acceptor. (a) Changes in nitrogen concentration; (b) Changes in total nitrogen concentration.
Water 17 03284 g007
Figure 8. pH changes in a batch experiment using reactor sludge and oxygen as a potential electron acceptor.
Figure 8. pH changes in a batch experiment using reactor sludge and oxygen as a potential electron acceptor.
Water 17 03284 g008
Figure 9. Changes in ammonia nitrogen inlet and outlet water matrix concentrations at different HCO3 concentrations in batch experiment 2.
Figure 9. Changes in ammonia nitrogen inlet and outlet water matrix concentrations at different HCO3 concentrations in batch experiment 2.
Water 17 03284 g009
Figure 10. Changes in HCO3 concentration in inlet and outlet water in batch test 2.
Figure 10. Changes in HCO3 concentration in inlet and outlet water in batch test 2.
Water 17 03284 g010
Figure 11. Changes in pH of inlet and outlet water in batch test 2.
Figure 11. Changes in pH of inlet and outlet water in batch test 2.
Water 17 03284 g011
Figure 12. Rank-Abundance curves of sludge at different stages of the reactor.
Figure 12. Rank-Abundance curves of sludge at different stages of the reactor.
Water 17 03284 g012
Figure 13. Phylum-level chord diagram of sludge samples from different reactor stages.
Figure 13. Phylum-level chord diagram of sludge samples from different reactor stages.
Water 17 03284 g013
Figure 14. Relative abundance of microorganisms at the genus level in sludge samples from different reactor stages.
Figure 14. Relative abundance of microorganisms at the genus level in sludge samples from different reactor stages.
Water 17 03284 g014
Figure 15. Heatmap of FAPROTAX functional prediction.
Figure 15. Heatmap of FAPROTAX functional prediction.
Water 17 03284 g015
Table 1. Process operating conditions.
Table 1. Process operating conditions.
Operating Days (d)NH4+-N (mg/L)SO42−-S (mg/L)HRT (h)HCO3 (mg/L)
1~30100266.6724726.1
31~93100266.6748726.1
94~173200533.3348726.1
Table 2. Batch experiment 2 running parameters.
Table 2. Batch experiment 2 running parameters.
Operating Days (d)NH4+-N (mg/L)HCO3 (mg/L)DO (mg/L)HRT (h)
1~20100726<0.124
21~42100907<0.124
43~671001452<0.124
Table 3. Alpha diversity analysis index of microbial communities at different phases.
Table 3. Alpha diversity analysis index of microbial communities at different phases.
SamplesRichness IndicesDiversity IndicesCoverage
ShannonSimpsonAceChao
R1_0d4.8310.0361121.4471121.4470.999
R1_50d5.1910.019100510051
R1_170d5.1560.020978.06978.060.999
Disclaimer/Publisher’s Note: The statements, opinions and data contained in all publications are solely those of the individual author(s) and contributor(s) and not of MDPI and/or the editor(s). MDPI and/or the editor(s) disclaim responsibility for any injury to people or property resulting from any ideas, methods, instructions or products referred to in the content.

Share and Cite

MDPI and ACS Style

Qiu, F.; Cui, L.; Ren, F.; Gang, S. Mechanistic Insights into the Phenomenon of Ammonia-Only Removal in Sulfate-Rich Environments. Water 2025, 17, 3284. https://doi.org/10.3390/w17223284

AMA Style

Qiu F, Cui L, Ren F, Gang S. Mechanistic Insights into the Phenomenon of Ammonia-Only Removal in Sulfate-Rich Environments. Water. 2025; 17(22):3284. https://doi.org/10.3390/w17223284

Chicago/Turabian Style

Qiu, Fan, Li Cui, Fangyuan Ren, and Siqi Gang. 2025. "Mechanistic Insights into the Phenomenon of Ammonia-Only Removal in Sulfate-Rich Environments" Water 17, no. 22: 3284. https://doi.org/10.3390/w17223284

APA Style

Qiu, F., Cui, L., Ren, F., & Gang, S. (2025). Mechanistic Insights into the Phenomenon of Ammonia-Only Removal in Sulfate-Rich Environments. Water, 17(22), 3284. https://doi.org/10.3390/w17223284

Note that from the first issue of 2016, this journal uses article numbers instead of page numbers. See further details here.

Article Metrics

Back to TopTop