Sign in to use this feature.

Years

Between: -

Subjects

remove_circle_outline
remove_circle_outline
remove_circle_outline
remove_circle_outline
remove_circle_outline
remove_circle_outline
remove_circle_outline
remove_circle_outline
remove_circle_outline

Journals

remove_circle_outline
remove_circle_outline
remove_circle_outline
remove_circle_outline
remove_circle_outline
remove_circle_outline
remove_circle_outline
remove_circle_outline
remove_circle_outline
remove_circle_outline
remove_circle_outline
remove_circle_outline
remove_circle_outline
remove_circle_outline
remove_circle_outline
remove_circle_outline
remove_circle_outline
remove_circle_outline
remove_circle_outline
remove_circle_outline
remove_circle_outline
remove_circle_outline
remove_circle_outline
remove_circle_outline
remove_circle_outline
remove_circle_outline
remove_circle_outline
remove_circle_outline
remove_circle_outline
remove_circle_outline
remove_circle_outline
remove_circle_outline
remove_circle_outline
remove_circle_outline
remove_circle_outline
remove_circle_outline
remove_circle_outline
remove_circle_outline
remove_circle_outline
remove_circle_outline

Article Types

Countries / Regions

remove_circle_outline
remove_circle_outline
remove_circle_outline
remove_circle_outline
remove_circle_outline
remove_circle_outline
remove_circle_outline
remove_circle_outline
remove_circle_outline

Search Results (25,371)

Search Parameters:
Keywords = aerospace

Order results
Result details
Results per page
Select all
Export citation of selected articles as:
24 pages, 9623 KB  
Article
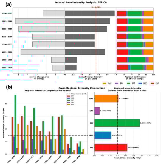
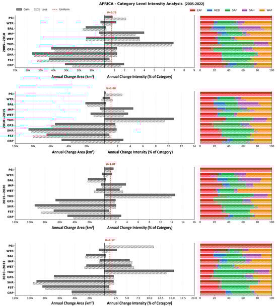
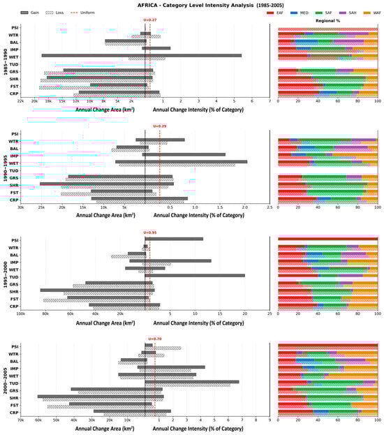
Significant Land Cover Transitions and Regional Acceleration at the Continental Scale of Africa over the Last Four Decades
by Hidayat Ullah, Wilson Kalisa, Shawkat Ali, Delong Kong and Jiahua Zhang
Sensors 2026, 26(8), 2318; https://doi.org/10.3390/s26082318 (registering DOI) - 9 Apr 2026
Abstract
Land cover (LC) change is reshaping terrestrial ecosystems and profoundly impacting sustainable development in Africa, yet the long-term, continental-scale spatiotemporal dynamics of these shifts remain obscured. To address the above issue, this study systematically explores the spatiotemporal dynamics of LC across Africa from [...] Read more.
Land cover (LC) change is reshaping terrestrial ecosystems and profoundly impacting sustainable development in Africa, yet the long-term, continental-scale spatiotemporal dynamics of these shifts remain obscured. To address the above issue, this study systematically explores the spatiotemporal dynamics of LC across Africa from 1985 to 2022 by leveraging the fine-resolution remote-sensing-derived GLC_FCS30D LC dataset within a stratified Intensity Analysis framework. To decompose landscape changes into interval, category, and transition levels across five climatic sub-regions of Africa, we systematically evaluate the temporal consistency of land systems. This hierarchical approach disentangles systematic transition pathways from random fluctuations, thereby revealing the distinct regional regimes governing continental transformation of LC. Our results ultimately show a strong LC change acceleration in Africa after 2010, mainly in Southern, Eastern, and Western Africa, which together made up 80 to 90% of the continent’s LC dynamics. During the whole study period, shrubland and grassland had the highest gross turnover due to their high bidirectional volatility. Intensity-wise, forest remained inactive even though it was a persistent net loser to crop in East Africa (2010–2020), to shrub in Southern Africa (1990–2022), and to wetland in West Africa during the post-2000 intervals. Wetland had a major change in dynamics from historical growth during 1985–1990 to systematic decline in 2015–2022. Cropland increased by systematically targeting shrubland and grassland, mainly in East Africa. Additionally, the Sahel contributed 40% of continental grassland to bare area transitions, despite some recovery of grassland in the region. These findings show that aggregate net-change metrics obscure the volatility in African LC; therefore, distinct regional regimes such as agricultural expansion and forest degradation necessitate spatially differentiated management strategies. Full article
(This article belongs to the Special Issue Remote Sensing Technology for Agricultural and Land Management)
Show Figures

Figure 1

27 pages, 13037 KB  
Article
Synergizing Retrieval and CoT Reasoning via Spatial Consensus for Worldwide Visual Geo-Localization
by Yong Tang, Jianhua Gong, Yi Li, Jieping Zhou and Jun Sun
ISPRS Int. J. Geo-Inf. 2026, 15(4), 163; https://doi.org/10.3390/ijgi15040163 (registering DOI) - 9 Apr 2026
Abstract
Worldwide visual geo-localization aims to predict the geographic coordinates of an image capture location from visual content alone, posing unique challenges due to the vast scale of the Earth’s surface and pervasive visual ambiguity across distant regions. Existing approaches face distinct limitations as [...] Read more.
Worldwide visual geo-localization aims to predict the geographic coordinates of an image capture location from visual content alone, posing unique challenges due to the vast scale of the Earth’s surface and pervasive visual ambiguity across distant regions. Existing approaches face distinct limitations as follows: retrieval-based methods demand massive geo-tagged databases and scale poorly; alignment-based models lack interpretability and are vulnerable to visually similar scenes; and large vision-language models (LVLMs) offer semantic reasoning but suffer from hallucination. A natural solution is retrieval-augmented generation (RAG), yet we observe that directly injecting retrieved candidates as context causes severe context poisoning. To address this, we propose HybridGeo, a dual-stream late-fusion framework that decouples retrieval from reasoning. A retrieval stream applies continuous alignment with spatial–semantic clustering to produce stable regional anchors; a reasoning stream performs context-free Chain-of-Thought inference to yield an independent coordinate estimate. The two streams are fused only at the decision stage via a spatial–consistency module that triggers weighted averaging under agreement or confidence-based arbitration under conflict. Experiments on Im2GPS3k show that HybridGeo achieves 73.89% Country@750km accuracy, outperforming the retrieval baseline by 7.27% and 8.23%, and surpassing both VLM-only and RAG baselines. These results demonstrate that late fusion effectively avoids context poisoning while enabling complementary benefits from both streams. Full article
24 pages, 2360 KB  
Review
Research Progress on the Influence of Surface Treatment Techniques on Fatigue Properties of Titanium Alloys
by Baicheng Liu, Hongliang Zhang, Xugang Wang, Yubao Li, Shenghan Li, Xue Cui, Yurii Luhovskyi and Zhisheng Nong
Materials 2026, 19(8), 1511; https://doi.org/10.3390/ma19081511 - 9 Apr 2026
Abstract
Titanium alloys exhibit exceptional strength-to-density ratios, high hardness, and outstanding resistance to elevated temperatures, making them indispensable structural materials in aerospace engineering, marine construction, and biomedical applications. In aerospace systems specifically, fatigue failure represents the predominant failure mode for titanium alloy components. This [...] Read more.
Titanium alloys exhibit exceptional strength-to-density ratios, high hardness, and outstanding resistance to elevated temperatures, making them indispensable structural materials in aerospace engineering, marine construction, and biomedical applications. In aerospace systems specifically, fatigue failure represents the predominant failure mode for titanium alloy components. This review systematically examines prevalent surface treatment techniques for titanium alloys—including shot peening, ultrasonic rolling treatment, hot isostatic pressing (HIP), physical vapor deposition (PVD), micro-arc oxidation (MAO), and thermal spray processes—and critically evaluates their respective effects on fatigue performance. The underlying mechanisms of each technique are concisely outlined, with emphasis on stress state evolution, near-surface microstructural refinement, and interfacial integrity. Building upon the characteristic surface-dominated fatigue fracture behavior of titanium alloys, this work focuses on how coating composition, architecture (e.g., graded, multilayer, or nanocomposite designs), and interfacial bonding strength govern fatigue resistance. A unified analysis is presented on the distinct yet complementary roles of substrate deformation strengthening (e.g., residual compression, grain refinement) and coating-mediated protection (e.g., barrier function, crack deflection, stress redistribution) during fatigue crack initiation and propagation. Key determinants of fatigue performance, including residual stress distribution, coating/substrate adhesion, thermal mismatch, and environmental degradation susceptibility, are rigorously assessed. Finally, emerging research frontiers are identified, including intelligent process–structure–property mapping, in situ monitoring of fatigue damage at coated interfaces, and design of multifunctional gradient coatings that synergistically enhance strength, wear resistance, and fatigue endurance of titanium alloy components. Full article
Show Figures

Graphical abstract

10 pages, 2733 KB  
Article
Phase Noise Suppression in Fiber Interferometers over the Hz–kHz Range Using Solid-Core and Hollow-Core Photonic Crystal Fibers
by Yibin Liang, Kejian Li and Kunhua Wen
Photonics 2026, 13(4), 361; https://doi.org/10.3390/photonics13040361 - 9 Apr 2026
Abstract
Fiber interferometers are widely used in precision measurement fields such as seismic observation, gravitational-wave detection, and aerospace guidance. However, phase noise in the Hz–kHz range has become an important factor limiting further improvement in measurement accuracy. In this work, a solid-core photonic crystal [...] Read more.
Fiber interferometers are widely used in precision measurement fields such as seismic observation, gravitational-wave detection, and aerospace guidance. However, phase noise in the Hz–kHz range has become an important factor limiting further improvement in measurement accuracy. In this work, a solid-core photonic crystal fiber (PCF) and a hollow-core photonic bandgap fiber (HC-PBGF) were introduced into the sensing arms of a fiber interferometer to reduce phase noise in this frequency range. Theoretical analysis showed that, compared with a conventional solid-core fiber, the PCF and the 19-cell HC-PBGF used in this study could reduce the phase noise by approximately 3 dB and 7 dB, respectively. The experimental results agreed well with the theoretical predictions, confirming that both fibers can effectively suppress high-frequency phase noise, with HC-PBGF showing superior noise reduction performance. This work provides a feasible approach for improving the performance of fiber interferometers in precision measurement. Full article
(This article belongs to the Section Lasers, Light Sources and Sensors)
Show Figures

Figure 1

25 pages, 5394 KB  
Article
Towards the Development of Multiscale Digital Twins for Fiber-Reinforced Composite Materials Using Machine Learning
by Brandon L. Hearley, Evan J. Pineda, Brett A. Bednarcyk, Joseph R. Baker and Laura G. Wilson
Appl. Sci. 2026, 16(8), 3666; https://doi.org/10.3390/app16083666 - 9 Apr 2026
Abstract
Material considerations are often neglected when developing digital twins, particularly at the relevant length scales that drive material and structural performance. For reinforced composite materials, the microscale has the largest impact on nonlinear material behavior and progressive damage, and thus accurately representing the [...] Read more.
Material considerations are often neglected when developing digital twins, particularly at the relevant length scales that drive material and structural performance. For reinforced composite materials, the microscale has the largest impact on nonlinear material behavior and progressive damage, and thus accurately representing the disordered microstructure of a composite due to processing and manufacturing is critical to developing the material digital twin in the multiscale hierarchy. Automating microstructure characterization is typically done by either training convolutional neural network models using a pretrained encoder or using prompt-based segmentation tools. In this work, a toolset for developing segmentation models is presented, combining these two methods to enable rapid annotation, training, and deployment of microscopy segmentation models for automated material digital twin development without user knowledge of machine learning. Additionally, a Bayesian optimization framework is developed for generating statistically equivalent representative volume elements (SRVE) to a segmented microstructure using a random microstructure generator that implements soft body dynamics. Progressive failure analysis of random, statistically equivalent, and ordered microstructures is compared to the segmented microstructure subject to transverse loading to demonstrate the importance of accurately representing the driving material length scale of a composite digital twin. Ordered microstructures over-predicted crack initiation and ultimate strength and strain. Random and optimized RVE microstructures better agreed with the segmented simulation results, with no significant difference observed between the two methodologies. The improvement in predicted macroscale behavior for models that capture disordered microstructures due to manufacturing processes demonstrates the importance of capturing microstructure features in composites modeling and indicates that SRVEs that capture microstructural features of the physical material can be used in material digital twin development. Further, the toolsets provided in this work allow for rapid development of composite material digital twins without user expertise in machine learning. This has enabled the development of an integrated workflow to automatically characterize and idealize composite microstructures and generate representative geometric models for efficient micromechanics analysis. Full article
(This article belongs to the Special Issue Applications of Data Science and Artificial Intelligence, 2nd Edition)
Show Figures

Figure 1

17 pages, 4328 KB  
Article
Influence of Cooling Rate During β Annealing on the Microstructure and Properties of Ti55531 Titanium Alloy
by Xiaoyuan Yuan, Shun Han, Yuxian Cao, Leilei Li, Xinyang Li, Ruming Geng, Simin Lei, Jianguo Wang, Chunxu Wang and Yong Li
Materials 2026, 19(8), 1486; https://doi.org/10.3390/ma19081486 - 9 Apr 2026
Abstract
As a high-performance lightweight structural material with superior strength, Ti55531 titanium alloy has been widely adopted in critical load-bearing components such as landing gears and airframe frames in the aerospace sector to achieve significant weight reduction. However, when the tensile strength of Ti55531 [...] Read more.
As a high-performance lightweight structural material with superior strength, Ti55531 titanium alloy has been widely adopted in critical load-bearing components such as landing gears and airframe frames in the aerospace sector to achieve significant weight reduction. However, when the tensile strength of Ti55531 exceeds 1250 MPa, the fracture toughness typically falls below 50 MPa·m1/2. In this study, we addressed this challenge by precisely controlling the cooling rate during β annealing heat treatment. Through careful regulation of the cooling rate from the high-temperature β phase region to the aging temperature region, the Widmanstätten structure was successfully introduced into the Ti55531 titanium alloy. The experimental results demonstrate that this microstructure achieves a high tensile strength of 1252 MPa at a cooling rate of 2.5 °C/min, while simultaneously improving the elongation and fracture toughness to 9% and 84 MPa·m1/2, respectively. Microstructural analysis reveals that the basket-weave structure plays a crucial role in maintaining high strength. Meanwhile, the Widmanstätten structure effectively increases the energy required for crack extension by resisting crack propagation and altering the crack propagation path, thus significantly enhancing fracture toughness. These findings offer a promising pathway for overcoming the traditional trade-off between strength and toughness in high-performance titanium alloys. Full article
(This article belongs to the Section Metals and Alloys)
Show Figures

Graphical abstract

23 pages, 20258 KB  
Article
Mining Scene Classification and Semantic Segmentation Using 3D Convolutional Neural Networks
by André Estevam Costa Oliveira, Matheus Corrêa Domingos, Valdivino Alexandre de Santiago Júnior and Maria Isabel Sobral Escada
Remote Sens. 2026, 18(8), 1112; https://doi.org/10.3390/rs18081112 - 8 Apr 2026
Abstract
High spatio-temporal resolution satellite imagery has become increasingly accessible thanks to advancements in the aerospace industry which, combined with a growing computational power, has enabled the spring of novel techniques regarding recognition in remote sensing (RS) images. However, there is still a lack [...] Read more.
High spatio-temporal resolution satellite imagery has become increasingly accessible thanks to advancements in the aerospace industry which, combined with a growing computational power, has enabled the spring of novel techniques regarding recognition in remote sensing (RS) images. However, there is still a lack of studies around 3D convolutions for spatio-temporal data applied to classification problems in RS. Hence, this study investigates the feasibility of 3D convolutional neural networks (3DCNNs) within a spatio-temporal perspective for scene classification and semantic segmentation in RS images, focusing on the identification of mining sites. We firstly developed a dataset covering several parts of Brazil based on MapBiomas products and Planet imagery, then we evaluated the effectiveness of 3DCNNs in capturing temporal information from a sequence of monthly captured images. Moreover, not only for scene classification but also for semantic segmentation, we compared 3D and 2D approaches. As for scene classification, a 3DCNN was better than the corresponding 2D model, while a 2D U-Net was better than a U-Net3D for semantic segmentation. The main explanation for this lies in the fact that a less costly annotation and training time strategy was adopted, but this may have harmed spatio-temporal approaches for semantic segmentation but not for scene classification. However, U-Net3D presented the highest Precision of all models, meaning that it is highly accurate when it predicts a positive. Moreover, 3DCNN (U-Net3D) presented significantly better performance with respect to semantic segmentation compared to other spatio-temporal approaches like ConvLSTM+U-Net and TempCNN. Sensitivity analysis revealed that the near-infrared (NIR) band played a decisive role in distinguishing mining areas, emphasizing its importance in highlighting subtle spectral variations associated with land-cover disturbances. Full article
(This article belongs to the Section Environmental Remote Sensing)
Show Figures

Figure 1

28 pages, 6176 KB  
Article
Modeling Spectral–Temporal Information for Estimating Cotton Verticillium Wilt Severity Using a Transformer-TCN Deep Learning Framework
by Yi Gao, Changping Huang, Xia Zhang and Ze Zhang
Remote Sens. 2026, 18(8), 1105; https://doi.org/10.3390/rs18081105 - 8 Apr 2026
Abstract
Hyperspectral remote sensing provides essential biochemical and structural information for crop disease monitoring, yet its application to cotton Verticillium wilt has largely focused on single-period evaluations or multi-temporal classifications. Such approaches overlook the progressive nature of this vascular disease, whose pigment, water, and [...] Read more.
Hyperspectral remote sensing provides essential biochemical and structural information for crop disease monitoring, yet its application to cotton Verticillium wilt has largely focused on single-period evaluations or multi-temporal classifications. Such approaches overlook the progressive nature of this vascular disease, whose pigment, water, and mesophyll responses evolve over time, making temporal hyperspectral information critical for reliable severity estimation but still insufficiently utilized. To overcome this limitation, we conducted daily time-series observations on cotton leaves and collected 2895 hyperspectral reflectance measurements and 770 high-resolution RGB images together with disease severity records, generating a temporally dense spectral-severity dataset spanning symptom-free to severe stages. Five categories of disease-related vegetation indices were derived and organized into 5-day spectral–temporal slices. Based on these features, we introduce a dual-branch Transformer-TCN model that integrates global temporal dependencies captured by self-attention with local temporal variations resolved by dilated causal convolutions for severity inversion. The model delivers the strongest performance with an R2 of 0.8813, exceeding multiple single and hybrid time-series alternatives by 0.0446–0.1407 in R2, equivalent to a relative improvement of 5.33–19.00%. Temporal spectral features also outperform their non-temporal counterparts, highlighting that disease progression dynamics captured by time-series spectra are critical for reliable severity retrieval. Feature contribution analysis indicates that the blue red index BRI provides the highest contribution, consistent with the single-index time-series modelling results. Photosynthesis- and water-related indices provide secondary but complementary support. Collectively, our results demonstrate that the dual-branch Transformer-TCN model can capture complex spectral–temporal relationships between cotton Verticillium wilt and disease severity, providing methodological support for crop disease monitoring and evaluation. Full article
Show Figures

Figure 1

16 pages, 411 KB  
Article
Task Assignment for Loitering Munitions Based on Predicted Capturability
by Gyuyeon Choi, Seongwook Heu and Hyeong-Geun Kim
Aerospace 2026, 13(4), 347; https://doi.org/10.3390/aerospace13040347 - 8 Apr 2026
Abstract
This paper proposes a novel task assignment strategy for multiple fixed-wing loitering munitions, focusing on the kinematic capturability of maneuvering ground targets. Compared to rotary-wing UAVs, fixed-wing munitions are subject to significant turning radius constraints and limited maneuverability. Consequently, conventional assignment metrics based [...] Read more.
This paper proposes a novel task assignment strategy for multiple fixed-wing loitering munitions, focusing on the kinematic capturability of maneuvering ground targets. Compared to rotary-wing UAVs, fixed-wing munitions are subject to significant turning radius constraints and limited maneuverability. Consequently, conventional assignment metrics based on relative distance or estimated time-to-go are insufficient to guarantee successful interception. To address this, we adopt a data-driven capturability prediction framework based on Gaussian Process Regression (GPR) and propose a novel task assignment strategy that leverages the predicted capture region as a decision-making criterion. Furthermore, a robustness-centric task assignment algorithm is proposed, which prioritizes interceptors based on the radius of the Maximum Inscribed Circle (MIC) within the predicted capture region. This metric quantifies the safety margin against target maneuvers and environmental uncertainties. Numerical simulations demonstrate that the proposed method significantly outperforms conventional distance-based and time-to-go-based approaches, achieving the highest interception success rate across all tested scenarios including maneuvering target conditions. The results validate that incorporating geometric capturability constraints is essential for the efficient operation of fixed-wing loitering munitions. Full article
(This article belongs to the Special Issue Flight Guidance and Control)
Show Figures

Figure 1

29 pages, 5362 KB  
Article
Multi-Objective Design Optimization of a MW Machine Using Hybrid Evolutionary Algorithm and Artificial Neural Networks
by Srikanth Pillai, Islam Zaher, Mohamed Abdalmagid and Ali Emadi
Machines 2026, 14(4), 408; https://doi.org/10.3390/machines14040408 - 8 Apr 2026
Abstract
In the aviation sector, there is a growing demand for high-specific-power electrical machines to realize More Electric Aircraft (MEA). The goals for these machines were set by the National Aeronautics and Space Administration (NASA) as 1 MW power, >13 kW kg−1 [...] Read more.
In the aviation sector, there is a growing demand for high-specific-power electrical machines to realize More Electric Aircraft (MEA). The goals for these machines were set by the National Aeronautics and Space Administration (NASA) as 1 MW power, >13 kW kg−1 of power density, and efficiency >96%. To address these requirements, this paper proposes an electromagnetic design of a high-speed, power-dense, 1 MW radial-flux Permanent Magnet Synchronous Machine (PMSM) for aerospace propulsion applications that achieves NASA targets. Achieving high-specific-power objectives necessitates geometry optimization that simultaneously minimizes motor mass while maximizing output power. This paper presents a faster optimization algorithm that hybridizes Genetic Algorithm and Artificial Neural Network (ANN)-based surrogate modeling to optimize the motor for multi-objective goals. The proposed framework employs a multi-objective approach targeting maximum torque output and efficiency within a minimum motor mass. This approach, using an ANN-based surrogate, significantly reduces optimization time by saving 95% of the time compared to FEM simulations. The optimized 1 MW motor attains 98% efficiency and an active power density of 24.87 kW kg−1. The various stages of the optimization are presented in detail and a comparison of the time saving using the proposed algorithm is outlined. To demonstrate the feasibility of design, a detailed electromagnetic analysis, stator thermal analysis with a jet impingement design, and magnet demagnetization risk analysis were also presented. Full article
Show Figures

Figure 1

30 pages, 10253 KB  
Review
Melt Pool Imaging in Metal Additive Manufacturing Processing
by Andrei C. Popescu, Sabin Mihai, Petru Vlad Toma, Alexandru-Ionuț Bunea, Andrei-Cosmin Rusu, Sînziana Andreea Anghel and Ion Nicolae Mihailescu
Metals 2026, 16(4), 409; https://doi.org/10.3390/met16040409 - 8 Apr 2026
Abstract
Additive manufacturing has recently become a key enabling technology in industrial fields, ranging from customized products for everyday usage to aerospace applications and small-batch industrial tooling. The future prospects extend up to the biofabrication of human organs. Ensuring the quality and repeatability of [...] Read more.
Additive manufacturing has recently become a key enabling technology in industrial fields, ranging from customized products for everyday usage to aerospace applications and small-batch industrial tooling. The future prospects extend up to the biofabrication of human organs. Ensuring the quality and repeatability of this process requires a systematic and comprehensive investigation of the underlying physical phenomena. In particular, melt-pool evolution is a critical feature, since irregularities in its spatial profile can influence microstructural evolution and weaken the integrity of the manufactured part. Microscale defects arising from balling and keyhole phenomena, often associated with recoil pressure, can severely degrade the quality of the resulting scanned track. This paper reviews the current state of optical approaches for melt-pool characterization and feature monitoring relevant to industrial laser additive manufacturing for process control and quality improvement, with a special focus on pyrometry and high-speed imaging. A single high-speed camera was generally used in experiments for melt-pool feature extraction, but two cameras were used to bypass emissivity values, which are otherwise difficult to obtain. Mathematical models were introduced to provide complementary information about melt-pool features, while artificial intelligence algorithms were used in other cases to process optical information. New melt-pool imaging databases and classifiers are expected in the near future to enable fast selection of appropriate process parameter windows, eliminating costly trial-and-error experiments. Full article
Show Figures

Figure 1

49 pages, 675 KB  
Review
Automated Assembly of Large-Scale Aerospace Components: A Structured Narrative Survey of Emerging Technologies
by Kuai Zhou, Wenmin Chu, Peng Zhao, Xiaoxu Ji and Lulu Huang
Sensors 2026, 26(8), 2294; https://doi.org/10.3390/s26082294 - 8 Apr 2026
Abstract
Large-scale aerospace components (e.g., wings, fuselage sections, wing boxes, and rocket segments) feature large dimensions, low stiffness, complex interfaces, and strict assembly tolerances. Traditional rigid tooling and manual alignment struggle to meet the demands of high precision, efficiency, and flexibility in modern aerospace [...] Read more.
Large-scale aerospace components (e.g., wings, fuselage sections, wing boxes, and rocket segments) feature large dimensions, low stiffness, complex interfaces, and strict assembly tolerances. Traditional rigid tooling and manual alignment struggle to meet the demands of high precision, efficiency, and flexibility in modern aerospace manufacturing. This paper presents a structured literature review on the automated assembly of large-scale aerospace components, summarizing advances in three core domains: pose adjustment and positioning mechanisms, digital measurement technologies, and trajectory planning and control. Particular emphasis is placed on two cross-cutting themes: measurement uncertainty analysis and flexible assembly, which are critical for high-quality docking. The review classifies pose adjustment mechanisms into four categories (NC positioners, parallel kinematic machines, industrial robots, and novel mechanisms) and digital measurement into five branches (vision metrology, large-scale metrology, measurement field construction, uncertainty analysis, and auxiliary techniques). It also outlines five trajectory planning and control routes, covering traditional methods, multi-sensor fusion, digital twins, flexible assembly, and emerging intelligent approaches. The analysis reveals that current research suffers from fragmentation among mechanism design, metrology, and control, with insufficient integration of uncertainty propagation and flexible deformation modeling. Future systems will rely on heterogeneous equipment collaboration, uncertainty-aware closed-loop control, high-fidelity flexible modeling, and digital twin-driven decision-making. This review provides a unified framework and a technical reference for developing reliable, flexible, and scalable automated assembly systems for next-generation aerospace structures. Full article
(This article belongs to the Section Sensors and Robotics)
Show Figures

Figure 1

21 pages, 4667 KB  
Article
Vibration Suppression and Dynamic Optimization of Multi-Layer Motors for Direct-Drive VICTS Antennas
by Xinlu Yu, Aojun Li, Pingfa Feng and Jianghong Yu
Aerospace 2026, 13(4), 346; https://doi.org/10.3390/aerospace13040346 - 8 Apr 2026
Abstract
Weight reduction and dynamic performance optimization are critical for airborne direct-drive VICTS satellite communication antennas, which require lightweight, high-speed, and high-precision rotation. Traditional vibration suppression methods, such as uniform support layout and added damping, rely heavily on empirical trial and error, lack targeted [...] Read more.
Weight reduction and dynamic performance optimization are critical for airborne direct-drive VICTS satellite communication antennas, which require lightweight, high-speed, and high-precision rotation. Traditional vibration suppression methods, such as uniform support layout and added damping, rely heavily on empirical trial and error, lack targeted modal control, and cannot balance lightweight design with dynamic stiffness. To address these issues, this paper proposes a wave-theory-based dynamic modeling and rapid optimization method for multi-layer rotating components in direct-drive VICTS antennas. The kinematic model of the rotating ring and ball revolution excitation are derived using the annular wave equation and bearing kinematics. A Modal Blocking Mechanism is established: placing support balls at positions satisfying the half-wavelength constraint suppresses target mode shapes via wave interference, achieving vibration attenuation at the source. A homogenization equivalent method based on RVE is developed for irregular cross-section rings, yielding analytical expressions for in-plane equivalent elastic modulus and out-of-plane equivalent shear modulus. These parameters are integrated into the wave equation to analytically solve vibration modes, avoiding iterative finite element computations. A rapid multi-objective optimization framework is then constructed, minimizing the structural weight and maximizing the modal separation interval under dynamic stiffness and excitation frequency constraints. Numerical simulations, FE analysis, and prototype tests validate the method: the maximum analytical error is only 3.1%. Compared with uniform support designs, the optimized structure achieves a 40% weight reduction, a 40% increase in minimum modal separation, and a 65% reduction in the RMS tracking error. This work provides an efficient, deterministic dynamic design method for large-diameter ring structures, transforming vibration control from empirical adjustment into a precise, physics-informed optimization. Full article
(This article belongs to the Section Astronautics & Space Science)
Show Figures

Figure 1

21 pages, 1059 KB  
Article
A System-Level Framework Linking Actuator Control Accuracy to Energy Efficiency and Range Performance in PMSM-Driven Flight Control Systems
by Tieniu Chen, Xiaozhou He, Yunjiang Lou, Houde Liu and Kunfeng Zhang
Electronics 2026, 15(8), 1555; https://doi.org/10.3390/electronics15081555 - 8 Apr 2026
Abstract
Permanent magnet synchronous motor (PMSM)-based servo actuators are fundamental to high-performance electromechanical systems. However, in energy-sensitive aerospace applications, the impact of tracking error on system-level efficiency remains insufficiently quantified. This paper establishes an energy-oriented analytical framework linking PMSM tracking accuracy to vehicle-level energy [...] Read more.
Permanent magnet synchronous motor (PMSM)-based servo actuators are fundamental to high-performance electromechanical systems. However, in energy-sensitive aerospace applications, the impact of tracking error on system-level efficiency remains insufficiently quantified. This paper establishes an energy-oriented analytical framework linking PMSM tracking accuracy to vehicle-level energy consumption and flight range. By employing a specific mechanical energy formulation, we demonstrate that tracking deviations modify aerodynamic drag and introduce additional dissipative work. Specifically, the accumulated dissipation is shown to admit a lower bound proportional to the integral of the squared tracking error, from which a range degradation bound is derived. These results reveal that “tracking-error energy” imposes a fundamental limit on achievable flight distance. A Lyapunov-based analysis further proves that minimizing this error energy reduces total aerodynamic dissipation without requiring modifications to propulsion scheduling or guidance laws. Numerical simulations comparing a conventional sliding mode controller with an advanced fuzzy-adaptive nonsingular terminal sliding mode controller confirm that enhanced servo precision directly improves velocity retention and range performance. This framework offers practical insights for designing energy-aware PMSM control strategies in energy-constrained aerospace platforms. Full article
Show Figures

Figure 1

22 pages, 2845 KB  
Review
Development of Pulsed Eddy Current Nondestructive Testing: A Review
by Qian Huang, Ruilin Wang, Jingxi Hu, Hao Jiao, Chi Zhang, Zhitao Hou, Chenxi Duan, Xueyuan Long and Liangchen Lv
Sensors 2026, 26(8), 2289; https://doi.org/10.3390/s26082289 - 8 Apr 2026
Abstract
As a branch of nondestructive testing (NDT), Pulsed Eddy Current Testing (PECT) is characterized by its wide frequency spectrum and high penetration depth. After years of development, it has been widely applied to defect detection and material characterization of key components in industries [...] Read more.
As a branch of nondestructive testing (NDT), Pulsed Eddy Current Testing (PECT) is characterized by its wide frequency spectrum and high penetration depth. After years of development, it has been widely applied to defect detection and material characterization of key components in industries such as petrochemicals, new energy, and aerospace. With the large-scale application of new energy sources like liquefied natural gas (LNG), methanol, and liquid hydrogen, the demand for NDT of non-ferromagnetic materials (e.g., austenitic stainless steel) has surged. However, challenges such as electromagnetic leakage caused by low magnetic permeability and the lift-off effect induced by protective layers impose stricter requirements on inspection technologies, driving the evolution of PECT towards adaptability in complex scenarios. This paper systematically reviews the latest advances in PECT technology, covering detection sensors, modeling methods, detection signal processing, and engineering applications. With a particular emphasis on research outcomes from the past decade, this paper also proposes potential directions for future development, aiming to provide a reference for innovative research and the industrial promotion of PECT technology. Full article
(This article belongs to the Section Fault Diagnosis & Sensors)
Show Figures

Graphical abstract

Back to TopTop