Sign in to use this feature.

Years

Between: -

Subjects

remove_circle_outline
remove_circle_outline
remove_circle_outline
remove_circle_outline
remove_circle_outline
remove_circle_outline
remove_circle_outline
remove_circle_outline
remove_circle_outline

Journals

Article Types

Countries / Regions

Search Results (155)

Search Parameters:
Keywords = acoustic microfluidics

Order results
Result details
Results per page
Select all
Export citation of selected articles as:
24 pages, 3724 KB  
Article
Numerical Investigation of Non-Newtonian Fluid Rheology in a T-Shaped Microfluidics Channel Integrated with Complex Micropillar Structures Under Acoustic, Electric, and Magnetic Fields
by Muhammad Waqas, Arvydas Palevicius, Cengizhan Omer Senol and Giedrius Janusas
Micromachines 2025, 16(12), 1390; https://doi.org/10.3390/mi16121390 - 8 Dec 2025
Viewed by 326
Abstract
Microfluidics is considered a revolutionary interdisciplinary technology with substantial interest in various biomedical applications. Many non-Newtonian fluids often used in microfluidics systems are notably influenced by the external active fields, such as acoustic, electric, and magnetic fields, leading to changes in rheological behavior. [...] Read more.
Microfluidics is considered a revolutionary interdisciplinary technology with substantial interest in various biomedical applications. Many non-Newtonian fluids often used in microfluidics systems are notably influenced by the external active fields, such as acoustic, electric, and magnetic fields, leading to changes in rheological behavior. In this study, a numerical investigation is carried out to explore the rheological behavior of non-Newtonian fluids in a T-shaped microfluidics channel integrated with complex micropillar structures under the influence of acoustic, electric, and magnetic fields. For this purpose, COMSOL Multiphysics with laminar flow, pressure acoustic, electric current, and magnetic field physics is used to examine rheological characteristics of non-Newtonian fluids. Three polymer solutions, such as 2000 ppm xanthan gum (XG), 1000 ppm polyethylene oxide (PEO), and 1500 ppm polyacrylamide (PAM), are used as a non-Newtonian fluids with the Carreau–Yasuda fluid model to characterize the shear-thinning behavior. Moreover, numerical simulations are carried out with different input parameters, such as Reynolds numbers (0.1, 1, 10, and 50), acoustic pressure (5 Mpa, 6.5 Mpa, and 8 Mpa), electric voltage (200 V, 250 V, and 300 V), and magnetic flux (0.5 T, 0.7 T, and 0.9 T). The findings reveal that the incorporation of active fields and micropillar structures noticeably impacts fluid rheology. The acoustic field induces higher shear-thinning behavior, decreasing dynamic viscosity from 0.51 Pa·s to 0.34 Pa·s. Similarly, the electric field induces higher shear rates, reducing dynamic viscosities from 0.63 Pa·s to 0.42 Pa·s, while the magnetic field drops the dynamic viscosity from 0.44 Pa·s to 0.29 Pa·s. Additionally, as the Reynolds number increases, the shear rate also rises in the case of electric and magnetic fields, leading to more chaotic flow, while the acoustic field advances more smooth flow patterns and uniform fluid motion within the microchannel. Moreover, a proposed experimental framework is designed to study non-Newtonian fluid mixing in a T-shaped microfluidics channel under external active fields. Initially, the microchannel was fabricated using a high-resolution SLA printer with clear photopolymer resin material. Post-processing involved analyzing particle distribution, mixing quality, fluid rheology, and particle aggregation. Overall, the findings emphasize the significance of considering the fluid rheology in designing and optimizing microfluidics systems under active fields, especially when dealing with complex fluids with non-Newtonian characteristics. Full article
(This article belongs to the Special Issue Research Progress on Advanced Additive Manufacturing Technologies)
Show Figures

Figure 1

18 pages, 3612 KB  
Article
Thermal Management of SSAW Acoustofluidic Devices: Experimental and Numerical Analysis
by Andrei Megalinskii, Natasha S. Barteneva and Alexander Tikhonov
Nanomaterials 2025, 15(23), 1832; https://doi.org/10.3390/nano15231832 - 4 Dec 2025
Viewed by 382
Abstract
Acoustofluidic devices use Surface Acoustic Waves (SAWs) to handle small fluid volumes and manipulate nanoparticles and biological cells with high precision. However, SAWs can cause significant heat generation and temperature rises in acoustofluidic systems, posing a critical challenge for biological and other applications. [...] Read more.
Acoustofluidic devices use Surface Acoustic Waves (SAWs) to handle small fluid volumes and manipulate nanoparticles and biological cells with high precision. However, SAWs can cause significant heat generation and temperature rises in acoustofluidic systems, posing a critical challenge for biological and other applications. In this work, we studied temperature distribution in a Standing Surface Acoustic Wave (SSAW)-based PDMS microfluidic device both experimentally and numerically. We investigated the relative contribution of Joule and acoustic dissipation heat sources. We investigated the acoustofluidic device in two heat dissipation configurations—with and without the heat sink—and demonstrated that, without the heat sink the temperatures inside the microchannel increased by 43 °C at 15 V. Adding the metallic heat sink significantly reduced the temperature rise to only 3 °C or less at lower voltages. This approach enabled the effective manipulation and alignment of nanoparticles at applied voltages up to 15 V while maintaining low temperatures, which is crucial for temperature-sensitive biological applications. Our findings provide new insights for understanding the heat generation mechanisms and temperature distribution in acoustofluidic devices and offer a straightforward strategy for the thermal management of devices. Full article
(This article belongs to the Section Theory and Simulation of Nanostructures)
Show Figures

Graphical abstract

24 pages, 7622 KB  
Article
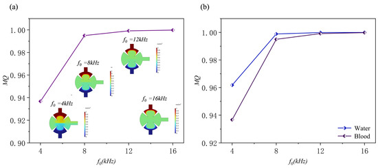
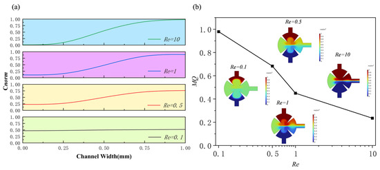
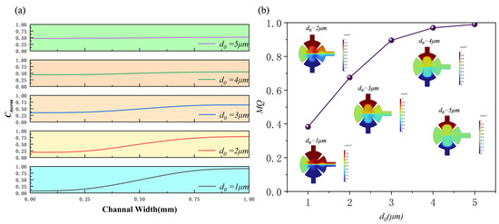
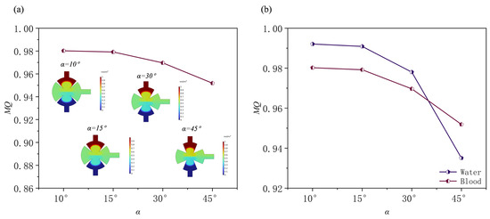
Research on the Design of Micromixer Based on Acoustic Streaming-Driven Sharp-Edge Structures
by Kaihao Bai, Heting Qiao, Jixiang Cai, Jinlong Hu and Zhiqi Wang
Sensors 2025, 25(22), 6886; https://doi.org/10.3390/s25226886 - 11 Nov 2025
Viewed by 460
Abstract
This paper presents a three-dimensional, acoustic streaming-driven circular micromixer with sharp-edge structures and the coupling mechanism between acoustic streaming and background flow in biological systems. A piezoelectric transducer induces vibrations in the sharp-edge structures, generating a localized, intense acoustic field that produces a [...] Read more.
This paper presents a three-dimensional, acoustic streaming-driven circular micromixer with sharp-edge structures and the coupling mechanism between acoustic streaming and background flow in biological systems. A piezoelectric transducer induces vibrations in the sharp-edge structures, generating a localized, intense acoustic field that produces a nonlinear acoustic streaming vortex at the tip. The disk-shaped mixing chamber design enhances acoustic field perturbation. This study incorporates the actual background flow field into the model to elucidate the strong interaction between acoustic streaming and steady-state flow. In the sharp-edge structural region, structural curvature induces local variations in acoustic amplitude, generating a non-zero mean Reynolds stress that significantly perturbs the background laminar flow, reduces flow stability, and substantially enhances mixing. The effects of displacement amplitude, Reynolds number, sharp-edge angle, and excitation frequency on the mixing efficiency are systematically investigated. Furthermore, the mixing performances of two different fluids, water and blood, are compared to elucidate the influence of fluid properties on mixing behavior. This mechanism provides theoretical support for microscale active mixing and offers novel insights for microfluidic device design. Full article
(This article belongs to the Section Biomedical Sensors)
Show Figures

Figure 1

32 pages, 1744 KB  
Review
Advancements in Sonication-Based Extraction Techniques for Ovarian Follicular Fluid Analysis: Implications for Infertility Diagnostics and Assisted Reproductive Technologies
by Eugen Dan Chicea, Radu Chicea, Dumitru Alin Teacoe, Liana Maria Chicea, Ioana Andrada Radu, Dan Chicea, Marius Alexandru Moga and Victor Tudor
Int. J. Mol. Sci. 2025, 26(21), 10368; https://doi.org/10.3390/ijms262110368 - 24 Oct 2025
Viewed by 636
Abstract
Ovarian follicular fluid (FF) is a metabolically active and biomarker-rich medium that mirrors the oocyte microenvironment. Its analysis is increasingly recognized in infertility diagnostics and assisted reproductive technologies (ART) for assessing oocyte competence, understanding reproductive disorders, and guiding personalized treatment. However, FF’s high [...] Read more.
Ovarian follicular fluid (FF) is a metabolically active and biomarker-rich medium that mirrors the oocyte microenvironment. Its analysis is increasingly recognized in infertility diagnostics and assisted reproductive technologies (ART) for assessing oocyte competence, understanding reproductive disorders, and guiding personalized treatment. However, FF’s high viscosity, complex composition, and biochemical variability challenge reproducibility in sample preparation and molecular profiling. Sonication-based extraction has emerged as an effective approach to address these issues. By exploiting acoustic cavitation, sonication improves protein solubilization, metabolite release, and lipid recovery, while reducing solvent use and processing time. This review synthesizes recent advances in sonication-assisted FF analysis across proteomics, metabolomics, and lipidomics, emphasizing parameter optimization, integration with advanced mass spectrometry workflows, and emerging applications in microfluidics, automation, and point-of-care devices. Clinical implications are discussed in the context of enhanced biomarker discovery pipelines, real-time oocyte selection, and ART outcome prediction. Key challenges, such as preventing biomolecule degradation, standardizing protocols, and achieving inter-laboratory reproducibility, are addressed alongside regulatory considerations. Future directions highlight the potential of combining sonication with multi-omics strategies and AI-driven analytics, paving the way for high-throughput, standardized, and clinically actionable FF analysis to advance precision reproductive medicine. Full article
(This article belongs to the Special Issue Exploring New Field in Hydrocolloids Research and Applications)
Show Figures

Figure 1

12 pages, 2247 KB  
Review
A Review on the Structure-Response-Efficacy Optimization of Ultrasound-Responsive Micro/Nanobubbles for Cancer Therapy
by Yuting Yang, Yuan Cheng, Zhiguang Chen and Yanjun Liu
Pharmaceutics 2025, 17(11), 1378; https://doi.org/10.3390/pharmaceutics17111378 - 24 Oct 2025
Viewed by 688
Abstract
Ultrasound-responsive micro/nanobubbles (MNBs) are promising tools for targeted cancer therapy due to their controllable acoustic activation and real-time imaging. Despite extensive research, the quantitative relationship between bubble structure, acoustic response, and therapeutic efficacy remains poorly understood. This knowledge gap hinders parametric design and [...] Read more.
Ultrasound-responsive micro/nanobubbles (MNBs) are promising tools for targeted cancer therapy due to their controllable acoustic activation and real-time imaging. Despite extensive research, the quantitative relationship between bubble structure, acoustic response, and therapeutic efficacy remains poorly understood. This knowledge gap hinders parametric design and clinical standardization. This review summarizes recent advances from an engineering perspective, highlighting how structural parameters—such as size, shell, gas core, and ligand density—affect acoustic sensitivity and drug release. Furthermore, the roles of microfluidic electroporation and cell membrane coating are discussed in terms of controllable fabrication and preservation of biological functions, highlighting their significance for reproducible and predictable therapies. In conclusion, this review establishes a “Structure-Response-Efficacy (S-R-E)” framework to summarize the core relationships between structural design and acoustic modulation. We propose an engineering strategy based on a standardized parameter system to guide the predictable design and clinical translation of ultrasound-based theranostic platforms. Full article
Show Figures

Graphical abstract

21 pages, 4855 KB  
Article
Enhancing Microparticle Separation Efficiency in Acoustofluidic Chips via Machine Learning and Numerical Modeling
by Tamara Klymkovych, Nataliia Bokla, Wojciech Zabierowski and Dmytro Klymkovych
Sensors 2025, 25(20), 6427; https://doi.org/10.3390/s25206427 - 17 Oct 2025
Viewed by 735
Abstract
An integrated approach for enhancing microparticle separation efficiency in acoustofluidic lab-on-a-chip systems is presented, combining numerical modeling in COMSOL 6.2 Multiphysics® with reinforcement learning techniques implemented in Python 3.10.14. The proposed method addresses the limitations of traditional parameter tuning, which is time-consuming [...] Read more.
An integrated approach for enhancing microparticle separation efficiency in acoustofluidic lab-on-a-chip systems is presented, combining numerical modeling in COMSOL 6.2 Multiphysics® with reinforcement learning techniques implemented in Python 3.10.14. The proposed method addresses the limitations of traditional parameter tuning, which is time-consuming and computationally intensive. A simulation framework based on LiveLink™ for COMSOL–Python integration enables the automatic generation, execution, and evaluation of particle separation scenarios. Reinforcement learning algorithms, trained on both successful and failed experiments, are employed to optimize control parameters such as flow velocity and acoustic frequency. Experimental data from over 100 numerical simulations were used to train a neural network, which demonstrated the ability to accurately predict and improve sorting efficiency. The results confirm that incorporating failed outcomes into the reward structure significantly improves learning convergence and model accuracy. This work contributes to the development of intelligent microfluidic systems capable of autonomous adaptation and optimization for biomedical and analytical applications, such as label-free separation of microplastics from biological fluids, selective sorting of soot and ash particles for environmental monitoring, and high-precision manipulation of cells or extracellular vesicles for diagnostic assays. Full article
(This article belongs to the Section Physical Sensors)
Show Figures

Figure 1

19 pages, 19265 KB  
Article
A Novel Microfluidic Platform for Circulating Tumor Cell Identification in Non-Small-Cell Lung Cancer
by Tingting Tian, Shanni Ma, Yan Wang, He Yin, Tiantian Dang, Guangqi Li, Jiaming Li, Weijie Feng, Mei Tian, Jinbo Ma and Zhijun Zhao
Micromachines 2025, 16(10), 1136; https://doi.org/10.3390/mi16101136 - 1 Oct 2025
Viewed by 825
Abstract
Circulating tumor cells (CTCs) are crucial biomarkers for lung cancer metastasis and recurrence, garnering significant clinical attention. Despite this, efficient and cost-effective detection methods remain scarce. Consequently, there is an urgent demand for the development of highly sensitive CTC detection technologies to enhance [...] Read more.
Circulating tumor cells (CTCs) are crucial biomarkers for lung cancer metastasis and recurrence, garnering significant clinical attention. Despite this, efficient and cost-effective detection methods remain scarce. Consequently, there is an urgent demand for the development of highly sensitive CTC detection technologies to enhance lung cancer diagnosis and treatment. This study utilized microspheres and A549 cells to model CTCs, assessing the impact of acoustic field forces on cell viability and proliferation and confirming capture efficiency. Subsequently, CTCs from the peripheral blood of patients with lung cancer were captured and identified using fluorescence in situ hybridization, and the results were compared to the immunomagnetic bead method to evaluate the differences between the techniques. Finally, epidermal growth factor receptor (EGFR) mutation analysis was conducted on CTC-positive samples. The findings showed that acoustic microfluidic technology effectively captures microspheres, A549 cells, and CTCs without compromising cell viability or proliferation. Moreover, EGFR mutation analysis successfully identified mutation types in four samples, establishing a basis for personalized targeted therapy. In conclusion, acoustic microfluidic technology preserves cell viability while efficiently capturing CTCs. When integrated with EGFR mutation analysis, it provides robust support for the precise diagnosis and treatment of lung cancer as well as personalized drug therapy. Full article
(This article belongs to the Special Issue Application of Microfluidic Technology in Bioengineering)
Show Figures

Figure 1

16 pages, 5289 KB  
Article
Non-Invasive Three-Dimensional Cell Manipulation Technology Based on Acoustic Microfluidic Chips
by Lin Lin, Yiming Zhen, Wang Li, Guoqiang Dong, Rongxing Zhu and Minhui Liang
Micromachines 2025, 16(9), 1068; https://doi.org/10.3390/mi16091068 - 22 Sep 2025
Viewed by 767
Abstract
This study presents a non-invasive three-dimensional cell manipulation technique based on acoustic microfluidic chips, which generates acoustic flow fields through the vibration of micropillars induced by bulk acoustic waves to achieve precise multi-dimensional rotational manipulation of cells. Moreover, the characteristics of the acoustic [...] Read more.
This study presents a non-invasive three-dimensional cell manipulation technique based on acoustic microfluidic chips, which generates acoustic flow fields through the vibration of micropillars induced by bulk acoustic waves to achieve precise multi-dimensional rotational manipulation of cells. Moreover, the characteristics of the acoustic flow field under linear, quasi-circular, elliptical, and higher-order vibration modes were intensively studied, and the rotational manipulation performance of polystyrene microbeads and cancer cells was optimized by adjusting the frequency and voltage. The results showed that the rotational speed and direction of the particles varied significantly in different vibration modes, with the particles and cells achieving the highest rotational speed in the elliptical vibration mode (frequency: 44.9 kHz, and voltage: 60 Vpp). In addition, the technique successfully achieved in-plane and out-of-plane rotation of cancer cells, and cell viability tests showed that 94% of the cells remained active after manipulation, demonstrating the low damage and biocompatibility of the method. This study provides a new, efficient, precise and gentle approach to three-dimensional manipulation of cells, which holds significant potential in biomedical research and clinical applications. Full article
(This article belongs to the Special Issue Emerging Devices and Technologies in BioMEMS for Biomarker Detection)
Show Figures

Figure 1

32 pages, 10888 KB  
Review
Central Nervous System-Derived Extracellular Vesicles as Biomarkers in Alzheimer’s Disease
by Yiru Yu, Zhen Wang, Zhen Chai, Shuyu Ma, Ang Li and Ye Li
Int. J. Mol. Sci. 2025, 26(17), 8272; https://doi.org/10.3390/ijms26178272 - 26 Aug 2025
Cited by 4 | Viewed by 3215
Abstract
Alzheimer’s disease (AD) has emerged as a global health threat that demands early detection to seize the optimal intervention opportunity. Central nervous system (CNS)-derived extracellular vesicles (EVs), lipid-bilayer nanoparticles released by CNS cells, carry key biomolecules involved in AD pathology, positioning them as [...] Read more.
Alzheimer’s disease (AD) has emerged as a global health threat that demands early detection to seize the optimal intervention opportunity. Central nervous system (CNS)-derived extracellular vesicles (EVs), lipid-bilayer nanoparticles released by CNS cells, carry key biomolecules involved in AD pathology, positioning them as a promising source of biomarkers for early detection. Current breakthroughs in EV-based isolation and detection technologies have opened up the possibility of early, accurate AD diagnosis. This review summarizes their multifaceted roles in AD pathogenesis, including amyloid-β (Aβ) aggregation, tau propagation, neuroinflammation, and synaptic dysfunction, and highlights neuron- and glia-derived EV biomarkers with translational potential. We further outline recent advances in EV isolation techniques—including density-, size-, charge/dielectric-, immunoaffinity-, and acoustics-based approaches—and emerging detection platforms such as fluorescence, surface plasmon resonance (SPR), surface-enhanced Raman spectroscopy (SERS), electrochemical, and nanomechanical sensors for sensitive, multiplex AD diagnostics. Finally, we discuss key challenges, including standardization, sensitivity, and high-throughput adaptation, and explore future directions such as automated microfluidics and single-vesicle analysis. CNS-derived EVs hold significant promise as minimally invasive, next-generation tools for early AD detection and precision medicine. Full article
(This article belongs to the Section Molecular Neurobiology)
Show Figures

Figure 1

16 pages, 2779 KB  
Article
Low-Cost Open-Source Biosensing System Prototype Based on a Love Wave Surface Acoustic Wave Resonator
by Martin Millicovsky, Luis Schierloh, Pablo Kler, Gabriel Muñoz, Juan Cerrudo, Albano Peñalva, Juan Reta and Martin Zalazar
Hardware 2025, 3(3), 9; https://doi.org/10.3390/hardware3030009 - 7 Aug 2025
Viewed by 1202
Abstract
Love wave surface acoustic wave (LSAW) sensors are crystal resonators known for their high potential for biosensing applications due to their high sensitivity, real-time detection, and compatibility with microfluidic systems. Commercial LSAW devices are costly, and manufacturing them is even more expensive, making [...] Read more.
Love wave surface acoustic wave (LSAW) sensors are crystal resonators known for their high potential for biosensing applications due to their high sensitivity, real-time detection, and compatibility with microfluidic systems. Commercial LSAW devices are costly, and manufacturing them is even more expensive, making accessibility a significant challenge. Additionally, their use requires specialized systems, and with only a few manufacturers dominating the market, most available solutions are proprietary, limiting customization and adaptability for specific research needs. In this work, a low-cost open-source LSAW biosensing system prototype was developed based on a commercially acquired resonator. The development integrates microfluidics through a polydimethylsiloxane (PDMS) chip, low-cost electronics, and both 3D printed ultraviolet (UV) resin and polylactic acid (PLA) parts. The instrument used for measurements was a vector network analyzer (VNA) that features open-source software. The code was customized for this study to enable real-time, label-free biosensing. Experimental validation consisted of evaluating the sensitivity and repeatability of the system, from the setup to its use with different fluids. Results demonstrated that the development is able to advance to more complex applications. Full article
Show Figures

Graphical abstract

16 pages, 3174 KB  
Article
Efficient Particle Aggregation Through SSAW Phase Modulation
by Yiming Li, Zekai Li, Zuozhi Wei, Yiran Wang, Xudong Niu and Dongfang Liang
Micromachines 2025, 16(8), 910; https://doi.org/10.3390/mi16080910 - 5 Aug 2025
Cited by 1 | Viewed by 821
Abstract
In recent years, various devices utilizing surface acoustic waves (SAW) have emerged as powerful tools for manipulating particles and fluids in microchannels. Although they demonstrate a wide range of functionalities across diverse applications, existing devices still face limitations in flexibility, manipulation efficiency, and [...] Read more.
In recent years, various devices utilizing surface acoustic waves (SAW) have emerged as powerful tools for manipulating particles and fluids in microchannels. Although they demonstrate a wide range of functionalities across diverse applications, existing devices still face limitations in flexibility, manipulation efficiency, and spatial resolution. In this study, we developed a dual-sided standing surface acoustic wave (SSAW) device that simultaneously excites acoustic waves through two piezoelectric substrates positioned at the top and bottom of a microchannel. By fully exploiting the degrees of freedom offered by two pairs of interdigital transducers (IDTs) on each substrate, the system enables highly flexible control of microparticles. To explore its capability on particle aggregation, we developed a two-dimensional numerical model to investigate the influence of the SAW phase modulation on the established acoustic fields within the microchannel. Single-particle motion was first examined under the influence of the phase-modulated acoustic fields to form a reference for identifying effective phase modulation strategies. Key parameters, such as the phase changes and the duration of each phase modulation step, were determined to maximize the lateral motion while minimizing undesired vertical motion of the particle. Our dual-sided SSAW configuration, combined with novel dynamic phase modulation strategy, leads to rapid and precise aggregation of microparticles towards a single focal point. This study sheds new light on the design of acoustofluidic devices for efficient spatiotemporal particle concentration. Full article
(This article belongs to the Special Issue Surface and Bulk Acoustic Wave Devices, 2nd Edition)
Show Figures

Figure 1

27 pages, 3540 KB  
Article
Multi-Objective Optimization of IME-Based Acoustic Tweezers for Mitigating Node Displacements
by Hanjui Chang, Yue Sun, Fei Long and Jiaquan Li
Polymers 2025, 17(15), 2018; https://doi.org/10.3390/polym17152018 - 24 Jul 2025
Viewed by 619
Abstract
Acoustic tweezers, as advanced micro/nano manipulation tools, play a pivotal role in biomedical engineering, microfluidics, and precision manufacturing. However, piezoelectric-based acoustic tweezers face performance limitations due to multi-physical coupling effects during microfabrication. This study proposes a novel approach using injection molding with embedded [...] Read more.
Acoustic tweezers, as advanced micro/nano manipulation tools, play a pivotal role in biomedical engineering, microfluidics, and precision manufacturing. However, piezoelectric-based acoustic tweezers face performance limitations due to multi-physical coupling effects during microfabrication. This study proposes a novel approach using injection molding with embedded electronics (IMEs) technology to fabricate piezoelectric micro-ultrasonic transducers with micron-scale precision, addressing the critical issue of acoustic node displacement caused by thermal–mechanical coupling in injection molding—a problem that impairs wave transmission efficiency and operational stability. To optimize the IME process parameters, a hybrid multi-objective optimization framework integrating NSGA-II and MOPSO is developed, aiming to simultaneously minimize acoustic node displacement, volumetric shrinkage, and residual stress distribution. Key process variables—packing pressure (80–120 MPa), melt temperature (230–280 °C), and packing time (15–30 s)—are analyzed via finite element modeling (FEM) and validated through in situ tie bar elongation measurements. The results show a 27.3% reduction in node displacement amplitude and a 19.6% improvement in wave transmission uniformity compared to conventional methods. This methodology enhances acoustic tweezers’ operational stability and provides a generalizable framework for multi-physics optimization in MEMS manufacturing, laying a foundation for next-generation applications in single-cell manipulation, lab-on-a-chip systems, and nanomaterial assembly. Full article
(This article belongs to the Collection Feature Papers in Polymer Processing and Engineering)
Show Figures

Figure 1

27 pages, 4412 KB  
Review
Coupling Agents in Acoustofluidics: Mechanisms, Materials, and Applications
by Shenhao Deng, Yiting Yang, Menghui Huang, Cheyu Wang, Enze Guo, Jingui Qian and Joshua E.-Y. Lee
Micromachines 2025, 16(7), 823; https://doi.org/10.3390/mi16070823 - 19 Jul 2025
Cited by 1 | Viewed by 3454
Abstract
Acoustic coupling agents serve as critical interfacial materials connecting piezoelectric transducers with microfluidic chips in acoustofluidic systems. Their performance directly impacts acoustic wave transmission efficiency, device reusability, and reliability in biomedical applications. Considering the rapidly growing body of research in the field of [...] Read more.
Acoustic coupling agents serve as critical interfacial materials connecting piezoelectric transducers with microfluidic chips in acoustofluidic systems. Their performance directly impacts acoustic wave transmission efficiency, device reusability, and reliability in biomedical applications. Considering the rapidly growing body of research in the field of acoustic microfluidics, this review aims to serve as an all-in-one reference on the role of acoustic coupling agents and relevant considerations pertinent to acoustofluidic devices for anyone working in or seeking to enter the field of disposable acoustofluidic devices. To this end, this review seeks to summarize and categorize key aspects of acoustic couplants in the implementation of acoustofluidic devices by examining their underlying physical mechanisms, material classifications, and core applications of coupling agents in acoustofluidics. Gel-based coupling agents are particularly favored for their long-term stability, high coupling efficiency, and ease of preparation, making them integral to acoustic flow control applications. In practice, coupling agents facilitate microparticle trapping, droplet manipulation, and biosample sorting through acoustic impedance matching and wave mode conversion (e.g., Rayleigh-to-Lamb waves). Their thickness and acoustic properties (sound velocity, attenuation coefficient) further modulate sound field distribution to optimize acoustic radiation forces and thermal effects. However, challenges remain regarding stability (evaporation, thermal degradation) and chip compatibility. Further aspects of research into gel-based agents requiring attention include multilayer coupled designs, dynamic thickness control, and enhancing biocompatibility to advance acoustofluidic technologies in point-of-care diagnostics and high-throughput analysis. Full article
(This article belongs to the Special Issue Recent Development of Micro/Nanofluidic Devices, 2nd Edition)
Show Figures

Figure 1

40 pages, 3743 KB  
Review
Droplet Generation and Manipulation in Microfluidics: A Comprehensive Overview of Passive and Active Strategies
by Andrea Fergola, Alberto Ballesio, Francesca Frascella, Lucia Napione, Matteo Cocuzza and Simone Luigi Marasso
Biosensors 2025, 15(6), 345; https://doi.org/10.3390/bios15060345 - 29 May 2025
Cited by 9 | Viewed by 7488
Abstract
Droplet-based microfluidics (DBM) has emerged as a powerful tool for a wide range of biochemical applications, from single-cell analysis and drug screening to diagnostics and tissue engineering. This review provides a comprehensive overview of the latest advancements in droplet generation and trapping techniques, [...] Read more.
Droplet-based microfluidics (DBM) has emerged as a powerful tool for a wide range of biochemical applications, from single-cell analysis and drug screening to diagnostics and tissue engineering. This review provides a comprehensive overview of the latest advancements in droplet generation and trapping techniques, highlighting both passive and active approaches. Passive methods—such as co-flow, cross-flow, and flow-focusing geometries—rely on hydrodynamic instabilities and capillary effects, offering simplicity and integration with compact devices, though often at the cost of tunability. In contrast, active methods exploit external fields—electric, magnetic, thermal, or mechanical—to enable on-demand droplet control, allowing for higher precision and throughput. Furthermore, we explore innovative trapping mechanisms such as hydrodynamic resistance networks, microfabricated U-shaped wells, and anchor-based systems that enable precise spatial immobilization of droplets. In the final section, we also examine active droplet sorting strategies, including electric, magnetic, acoustic, and thermal methods, as essential tools for downstream analysis and high-throughput workflows. These manipulation strategies facilitate in situ chemical and biological analyses, enhance experimental reproducibility, and are increasingly adaptable to industrial-scale applications. Emphasis is placed on the design flexibility, scalability, and biological compatibility of each method, offering critical insights for selecting appropriate techniques based on experimental needs and operational constraints. Full article
(This article belongs to the Special Issue Micro/Nanofluidic System-Based Biosensors)
Show Figures

Figure 1

16 pages, 13475 KB  
Article
Low Thermal Stress and Instant Efficient Atomization of Narrow Viscous Microfluid Film Using a Paper Strip Located at the Edge of a Surface Acoustic Wave Atomizer
by Yulin Lei, Yusong Li, Jia Ning, Yu Gu, Chenhui Gai, Qinghe Ma, Yizhan Ding, Benzheng Wang and Hong Hu
Micromachines 2025, 16(6), 628; https://doi.org/10.3390/mi16060628 - 27 May 2025
Cited by 1 | Viewed by 845
Abstract
A traditional SAW (surface acoustic wave) atomizer directly supplies liquid to the surface of the atomized chip through a paper strip located in the path of the acoustic beam, resulting in irregular distribution of the liquid film, which generates an aerosol with an [...] Read more.
A traditional SAW (surface acoustic wave) atomizer directly supplies liquid to the surface of the atomized chip through a paper strip located in the path of the acoustic beam, resulting in irregular distribution of the liquid film, which generates an aerosol with an uneven particle size distribution and poor directional controllability, and a high heating phenomenon that can easily break the chip in the atomization process. This paper presents a novel atomization method: a paper strip located at the edge of the atomizer (PSLEA), which forms a micron-sized narrow liquid film at the junction of the atomization chip edge and the paper strip under the effect of acoustic wetting. By using this method, physical separation of the atomized aerosol and jetting droplets can be achieved at the initial stage of atomizer startup, and an ideal aerosol plume with no jetting of large droplets, a uniform particle size distribution, a vertical and stable atomization direction, and good convergence of the aerosol beam can be quickly formed. Furthermore, the effects of the input power, and different paper strips and liquid supply methods on the atomization performance, as well as the heating generation capacity of the liquid in the atomization zone during the atomization process were explored through a large number of experiments, which highlighted the advantages of PSLEA atomization. The experiments demonstrated that the maximum atomization rate under the PSLEA atomization mode reached 2.6 mL/min initially, and the maximum thermal stress was 45% lower compared with that in the traditional mode. Additionally, a portable handheld atomizer with stable atomization performance and a median aerosol particle size of 3.95 μm was designed based on the proposed PSLEA atomization method, showing the great potential of SAW atomizers in treating respiratory diseases. Full article
(This article belongs to the Special Issue Novel Surface and Bulk Acoustic Wave Devices)
Show Figures

Figure 1

Back to TopTop