Sign in to use this feature.

Years

Between: -

Subjects

remove_circle_outline
remove_circle_outline
remove_circle_outline
remove_circle_outline
remove_circle_outline
remove_circle_outline

Journals

Article Types

Countries / Regions

Search Results (15)

Search Parameters:
Keywords = abnormal electricity consumption behavior

Order results
Result details
Results per page
Select all
Export citation of selected articles as:
20 pages, 2172 KB  
Article
Securing Smart Grids: A Triplet Loss Function Siamese Network-Based Approach for Detecting Electricity Theft in Power Utilities
by Touqeer Ahmed, Muhammad Salman Saeed, Muhammad I. Masud, Zeeshan Ahmad Arfeen, Mazhar Baloch, Mohammed Aman and Mohsin Shahzad
Energies 2025, 18(18), 4957; https://doi.org/10.3390/en18184957 - 18 Sep 2025
Viewed by 353
Abstract
Electricity theft in power grids results in significant economic losses for utility companies. While machine learning (ML) methods have shown promising results in detecting such frauds, they often suffer from low detection rates, leading to excessive physical inspections. In this study, we attempted [...] Read more.
Electricity theft in power grids results in significant economic losses for utility companies. While machine learning (ML) methods have shown promising results in detecting such frauds, they often suffer from low detection rates, leading to excessive physical inspections. In this study, we attempted to solve the above-mentioned problem using a novel approach. The proposed framework utilizes the intelligence of Siamese network architecture with the Triplet Loss function to detect electricity theft using a labeled dataset obtained from Multan Electric Power Company (MEPCO), Pakistan. The proposed method involves analyzing and comparing the consumption patterns of honest and fraudulent consumers, enabling the model to distinguish between the two categories with enhanced accuracy and detection rates. We incorporate advanced feature extraction techniques and data mining methods to transform raw consumption data into informative features, such as time-based consumption profiles and anomalous load behaviors, which are crucial for detecting abnormal patterns in electricity consumption. The refined dataset is then used to train the Siamese network, where the Triplet Loss function optimizes the model by maximizing the distance between dissimilar (fraudulent and honest) consumption patterns while minimizing the distance among similar ones. The results demonstrate that our proposed solution outperforms traditional methods by significantly improving accuracy (95.4%) and precision (92%). Eventually, the integration of feature extraction with Siamese networks and Triplet Loss offers a scalable and robust framework for enhancing the security and operational efficiency of power grids. Full article
Show Figures

Figure 1

17 pages, 5676 KB  
Article
Identification of Abnormal Electricity Consumption Behavior of Low-Voltage Users in New Power Systems Based on a Combined Method
by Jiaolong Gou, Xudong Niu, Xi Chen, Shuxin Dong and Jing Xin
Energies 2025, 18(10), 2528; https://doi.org/10.3390/en18102528 - 14 May 2025
Cited by 1 | Viewed by 731
Abstract
With the rapid growth in low-voltage electricity demand, abnormal electricity consumption behavior is becoming more and more frequent, which not only threatens the safe and stable operation of power systems, but also causes huge economic losses. In order to effectively meet this challenge, [...] Read more.
With the rapid growth in low-voltage electricity demand, abnormal electricity consumption behavior is becoming more and more frequent, which not only threatens the safe and stable operation of power systems, but also causes huge economic losses. In order to effectively meet this challenge, it is of great practical significance to carry out monitoring and analysis of abnormal power consumption of low-voltage users. In this paper, a new detection model of abnormal power consumption behavior of low-voltage power users in power system based on the hybrid model, namely the K-GBDT model, is proposed. The model combines the GBDT (Gradient Boosting Decision Tree) algorithm with the KNN (K-Nearest Neighbor) algorithm, effectively leveraging the strengths of both approaches. The K-GBDT model employs a two-stage classification strategy. In the first stage, the GBDT algorithm leverages its robust feature learning and nonlinear classification capabilities to perform coarse-grained classification, extracting global patterns and categorical information. In the second stage, based on the coarse classification results from GBDT, the data are partitioned into multiple subsets, and the KNN algorithm is applied to fine classification within each subset. This hybrid approach enables the K-GBDT model to effectively integrate GBDT’s global modeling strength with KNN’s local classification advantages. Comparative experiments and practical applications of the K-GBDT model against standalone GBDT and KNN algorithms were conducted. To further validate the proposed method, a comparative analysis was conducted against the Long Short-Term Memory Autoencoder (LSTM-AE) model. The experimental results demonstrate that the proposed K-GBDT model outperforms single-algorithm models in both classification accuracy and model generalization capability, enabling more accurate identification of abnormal electricity consumption behaviors among low-voltage users. This provides reliable technical support for intelligent management in power systems. Full article
Show Figures

Figure 1

13 pages, 6430 KB  
Proceeding Paper
Detection of Non-Technical Losses in Special Customers with Telemetering, Based on Artificial Intelligence
by José Luis Llagua Arévalo and Patricio Antonio Pesántez Sarmiento
Eng. Proc. 2024, 77(1), 29; https://doi.org/10.3390/engproc2024077029 - 18 Nov 2024
Viewed by 913
Abstract
The Ecuadorian electricity sector, until April 2024, presented losses of 15.64% (6.6% technical and 9.04% non-technical), so it is important to detect the areas that potentially sub-register energy in order to reduce Non-Technical Losses (NTLs). The “Empresa Eléctrica de Ambato Sociedad Anónima” (EEASA), [...] Read more.
The Ecuadorian electricity sector, until April 2024, presented losses of 15.64% (6.6% technical and 9.04% non-technical), so it is important to detect the areas that potentially sub-register energy in order to reduce Non-Technical Losses (NTLs). The “Empresa Eléctrica de Ambato Sociedad Anónima” (EEASA), as a distribution company, has, to reduce NTLs, incorporated many smart meters in special clients, generating a large amount of data that are stored. This historical information is analyzed to detect anomalous consumption that is not easily recognized and is a significant part of the NTLs. The use of machine learning with appropriate clustering techniques and deep learning neural networks work together to detect abnormal curves that record lower readings than the real energy consumption. The developed methodology uses three k-means validation indices to classify daily energy curves based on the days of the week and holidays that present similar behaviors in terms of energy consumption. The developed algorithm groups similar consumption patterns as input data sets for learning, testing, and validating the densely connected classification neural network, allowing for the identification of daily curves described by customers. The results obtained from the system detected customers who sub-register energy. It is worth mentioning that this methodology is replicable for distribution companies that store historical consumption data with Advanced Measurement Infrastructure (AMI) systems. Full article
(This article belongs to the Proceedings of The XXXII Conference on Electrical and Electronic Engineering)
Show Figures

Figure 1

14 pages, 451 KB  
Article
An Unsupervised Abnormal Power Consumption Detection Method Combining Multi-Cluster Feature Selection and the Gaussian Mixture Model
by Danhua Liu, Dan Huang, Ximing Chen, Jian Dou, Li Tang and Zhiqiang Zhang
Electronics 2024, 13(17), 3446; https://doi.org/10.3390/electronics13173446 - 30 Aug 2024
Cited by 3 | Viewed by 1657
Abstract
Power theft and other abnormal power consumption behaviors seriously affect the safety, reliability, and stability of the power grid system. The traditional abnormal power consumption detection methods have complex models and low accuracy. In this paper, an unsupervised abnormal power consumption detection method [...] Read more.
Power theft and other abnormal power consumption behaviors seriously affect the safety, reliability, and stability of the power grid system. The traditional abnormal power consumption detection methods have complex models and low accuracy. In this paper, an unsupervised abnormal power consumption detection method based on multi-cluster feature selection and the Gaussian mixture model is proposed. First of all, twelve features are extracted from the load sequence to reflect the overall form, fluctuation, and change trend of the user’s electricity consumption. Then, multi-cluster feature selection algorithm is employed to select a subset of important features. Finally, based on the selected features, the Gaussian mixture model is formulated to cluster the normal power users and abnormal power users into different groups, so as to realize abnormal power consumption detection. The proposed method is evaluated through experiments based on a power load dataset from Anhui Province, China. The results show that the proposed method works well for abnormal power consumption detection, with significantly superior performance comapred to the traditional approaches in terms of the popular binary evaluation indicators like recall rate, precision rate, and F-score. Full article
Show Figures

Figure 1

16 pages, 2582 KB  
Article
An Efficient Method for Detecting Abnormal Electricity Behavior
by Chao Tang, Yunchuan Qin, Yumeng Liu, Huilong Pi and Zhuo Tang
Energies 2024, 17(11), 2502; https://doi.org/10.3390/en17112502 - 23 May 2024
Cited by 7 | Viewed by 1490
Abstract
The non-technical losses caused by abnormal power consumption behavior of power users seriously affect the revenue of power companies and the quality of power supply. To assist electric power companies in improving the efficiency of power consumption audit and regulating the power consumption [...] Read more.
The non-technical losses caused by abnormal power consumption behavior of power users seriously affect the revenue of power companies and the quality of power supply. To assist electric power companies in improving the efficiency of power consumption audit and regulating the power consumption behavior of users, this paper proposes a power consumption anomaly detection method named High-LowDAAE (Autoencoder model for dual adversarial training of high low-level temporal features). High-LowDAAE adds an extra “discriminator” named AE3 to USAD (UnSupervised Anomaly Detection on Multivariate Time Series), which performs the same function as AE2 in USAD. AE3 performs the same function as AE2 in USAD, i.e., it is trained against AE1 to enhance its ability to reconstruct average data. However, AE3 differs from AE2 because the two “discriminators” correspond to the high-level and low-level time series features output from the shared encoder network. By utilizing different levels of temporal features to reconstruct the data and conducting adversarial training, AE1 can reconstruct the time-series data more efficiently, thus improving the accuracy of detecting abnormal electricity usage. In addition, to enhance the model’s feature extraction ability for time-series data, the self-encoder is constructed with a long short-term memory (LSTM) network, and the fully connected layer in the USAD model is no longer used. This modification improves the extraction of temporal features and provides richer hidden features for the adversarial training of the dual “discriminators”. Finally, the ablation and comparison experiments are conducted using accurate electricity consumption data from users, and the results show that the proposed method has higher accuracy. Full article
Show Figures

Figure 1

24 pages, 2436 KB  
Article
Analyzing Long-Term and High Instantaneous Power Consumption of Buildings from Smart Meter Big Data with Deep Learning and Knowledge Graph Techniques
by Ru-Guan Wang, Wen-Jen Ho, Kuei-Chun Chiang, Yung-Chieh Hung, Jen-Kuo Tai, Jia-Cheng Tan, Mei-Ling Chuang, Chi-Yun Ke, Yi-Fan Chien, An-Ping Jeng and Chien-Cheng Chou
Energies 2023, 16(19), 6893; https://doi.org/10.3390/en16196893 - 29 Sep 2023
Cited by 7 | Viewed by 2793
Abstract
In the context of the growing emphasis on energy conservation and carbon reduction, the widespread deployment of smart meters in residential and commercial buildings is instrumental in promoting electricity savings. In Taiwan, local governments are actively promoting the installation of smart meters, empowering [...] Read more.
In the context of the growing emphasis on energy conservation and carbon reduction, the widespread deployment of smart meters in residential and commercial buildings is instrumental in promoting electricity savings. In Taiwan, local governments are actively promoting the installation of smart meters, empowering residents to monitor their electricity consumption and detect abnormal usage patterns, thus mitigating the risk of electrical fires. This safety-oriented approach is a significant driver behind the adoption of smart meters. However, the analysis of the substantial data generated by these meters necessitates pre-processing to address anomalies. Presently, these data primarily serve billing calculations or the extraction of power-saving patterns through big data analytics. To address these challenges, this study proposes a comprehensive approach that integrates a relational database for storing electricity consumption data with knowledge graphs. This integrated method effectively addresses data scarcity at various time scales and identifies prolonged periods of excessive electricity consumption, enabling timely alerts to residents for specific appliance shutdowns. Deep learning techniques are employed to analyze historical consumption data and real-time smart meter readings, with the goal of identifying and mitigating hazardous usage behavior, consequently reducing the risk of electrical fires. The research includes numerical values and text-based predictions for a comprehensive evaluation, utilizing data from ten Taiwanese households in 2022. The anticipated outcome is an improvement in household electrical safety and enhanced energy efficiency. Full article
(This article belongs to the Special Issue Energy Big Data Analytics for Smart Grid Applications)
Show Figures

Figure 1

17 pages, 1853 KB  
Article
A Power Load Forecasting Method Based on Intelligent Data Analysis
by He Liu, Xuanrui Xiong, Biao Yang, Zhanwei Cheng, Kai Shao and Amr Tolba
Electronics 2023, 12(16), 3441; https://doi.org/10.3390/electronics12163441 - 14 Aug 2023
Cited by 11 | Viewed by 2780
Abstract
Abnormal electricity consumption behavior not only affects the safety of power supply but also damages the infrastructure of the power system, posing a threat to the secure and stable operation of the grid. Predicting future electricity consumption plays a crucial role in resource [...] Read more.
Abnormal electricity consumption behavior not only affects the safety of power supply but also damages the infrastructure of the power system, posing a threat to the secure and stable operation of the grid. Predicting future electricity consumption plays a crucial role in resource management in the energy sector. Analyzing historical electricity consumption data is essential for improving the energy service capabilities of end-users. To forecast user energy consumption, this paper proposes a method that combines adaptive noise-assisted complete ensemble empirical mode decomposition (CEEMDAN) with long short-term memory (LSTM) networks. Firstly, considering the challenge of directly applying prediction models to non-stationary and nonlinear user electricity consumption data, the adaptive noise-assisted complete ensemble empirical mode decomposition algorithm is used to decompose the signal into trend components, periodic components, and random components. Then, based on the CEEMDAN decomposition, an LSTM prediction sub-model is constructed to forecast the overall electricity consumption by using an overlaying approach. Finally, through multiple comparative experiments, the effectiveness of the CEEMDAN-LSTM method is demonstrated, showing its ability to explore hidden temporal relationships and achieve smaller prediction errors. Full article
(This article belongs to the Special Issue Artificial Intelligence Empowered Internet of Things)
Show Figures

Figure 1

21 pages, 6815 KB  
Article
Analyzing and Managing Various Energy-Related Environmental Factors for Providing Personalized IoT Services for Smart Buildings in Smart Environment
by Prabhakar Krishnan, A V Prabu, Sumathi Loganathan, Sidheswar Routray, Uttam Ghosh and Mohammed AL-Numay
Sustainability 2023, 15(8), 6548; https://doi.org/10.3390/su15086548 - 12 Apr 2023
Cited by 19 | Viewed by 4393
Abstract
More energy is consumed by domestic appliances all over the world. By reducing energy consumption, sustainability can be improved in domestic contexts. Several earlier approaches to this problem have provided a conceptual overview of green and smart buildings. This paper aims to provide [...] Read more.
More energy is consumed by domestic appliances all over the world. By reducing energy consumption, sustainability can be improved in domestic contexts. Several earlier approaches to this problem have provided a conceptual overview of green and smart buildings. This paper aims to provide a better solution for reducing energy consumption by identifying the fields of abnormal energy consumption. It creates a better environment-friendly smart building to adopt the various lifestyles of people. This paper’s main objective is to monitor and control the energy efficiency of smart buildings by integrating IoT sensors. This paper mainly analyzes various prime factors that can help to improve energy efficiency in smart buildings. Factors impacting energy consumption are analyzed, and outliers of energy consumption are predicted and optimized to save energy. Various parameters are derived from IoT devices to improve energy efficiency in lighting and HVAC controls, energy monitoring, building envelope and automation systems, and renewable energy. The parameters used in water, network convergence, and electrical and environmental monitoring are also used for improving energy efficiency. This paper uses various IoT devices for monitoring and generating data in and around a smart building and analyzes it by implementing an intelligent Information Communication Technology (ICT) model called the Dynamic Semantic Behavior Data Analysis (DSBDA) Model to analyze data concerning dynamic changes in the environment and user behavior to improve energy efficiency and provide better sustainable lifestyle-based smart buildings. From the analyzed output, the outliers of the power consumption and other abnormalities are identified and controlled manually or automatically to improve sustainability regarding energy use in smart buildings. Full article
Show Figures

Figure 1

20 pages, 4777 KB  
Article
The Empty-Nest Power User Management Based on Data Mining Technology
by Jing Li, Jiahui Yang, Hui Cai, Chi Jiang, Qun Jiang, Yue Xie, Zimeng Lu, Lingzhi Li and Guanqun Sun
Sensors 2023, 23(5), 2485; https://doi.org/10.3390/s23052485 - 23 Feb 2023
Cited by 2 | Viewed by 2007
Abstract
With the aging of the social population structure, the number of empty-nesters is also increasing. Therefore, it is necessary to manage empty-nesters with data mining technology. This paper proposed an empty-nest power user identification and power consumption management method based on data mining. [...] Read more.
With the aging of the social population structure, the number of empty-nesters is also increasing. Therefore, it is necessary to manage empty-nesters with data mining technology. This paper proposed an empty-nest power user identification and power consumption management method based on data mining. Firstly, an empty-nest user identification algorithm based on weighted random forest was proposed. Compared with similar algorithms, the results indicate that the performance of the algorithm is the best, and the identification accuracy of empty-nest users is 74.2%. Then a method for analyzing the electricity consumption behavior of empty-nest users based on fusion clustering index adaptive cosine K-means was proposed, which can adaptively select the optimal number of clusters. Compared with similar algorithms, the algorithm has the shortest running time, the smallest Sum of the Squared Error (SSE), and the largest mean distance between clusters (MDC), which are 3.4281 s, 31.6591 and 13.9513, respectively. Finally, an anomaly detection model with an Auto-regressive Integrated Moving Average (ARIMA) algorithm and an isolated forest algorithm was established. The case analysis shows that the recognition accuracy of abnormal electricity consumption for empty-nest users was 86%. The results indicate that the model can effectively detect the abnormal behavior of empty-nest power users and help the power department to better serve empty-nest users. Full article
(This article belongs to the Section Industrial Sensors)
Show Figures

Figure 1

14 pages, 3778 KB  
Article
High-Dimensional Energy Consumption Anomaly Detection: A Deep Learning-Based Method for Detecting Anomalies
by Haipeng Pan, Zhongqian Yin and Xianzhi Jiang
Energies 2022, 15(17), 6139; https://doi.org/10.3390/en15176139 - 24 Aug 2022
Cited by 30 | Viewed by 6856
Abstract
With the increase of energy demand, energy wasteful behavior is inevitable. To reduce energy waste, it is crucial to understand users’ electricity consumption habits and detect abnormal usage behavior in a timely manner. This study proposes a high-dimensional energy consumption anomaly detection method [...] Read more.
With the increase of energy demand, energy wasteful behavior is inevitable. To reduce energy waste, it is crucial to understand users’ electricity consumption habits and detect abnormal usage behavior in a timely manner. This study proposes a high-dimensional energy consumption anomaly detection method based on deep learning. The method uses high-dimensional energy consumption related data to predict users’ electricity consumption in real time and for anomaly detection. The test results of the method on a publicly available dataset show that it can effectively detect abnormal electricity usage behavior of users. The results show that the method is useful in establishing a real-time anomaly detection system in buildings, helping building managers to identify abnormal electricity usage by users. In addition, users can also use the system to understand their electricity usage and reduce energy waste. Full article
Show Figures

Figure 1

24 pages, 10907 KB  
Article
Feature Extraction of Anomaly Electricity Usage Behavior in Residence Using Autoencoder
by Chia-Wei Tsai, Kuei-Chun Chiang, Hsin-Yuan Hsieh, Chun-Wei Yang, Jason Lin and Yao-Chung Chang
Electronics 2022, 11(9), 1450; https://doi.org/10.3390/electronics11091450 - 30 Apr 2022
Cited by 15 | Viewed by 3671
Abstract
Due to the climate crisis, energy-saving issues and carbon reduction have become the top priority for all countries. Owing to the increasing popularity of advanced metering infrastructure and smart meters, the cost of acquiring data on residential electricity consumption has substantially dropped. This [...] Read more.
Due to the climate crisis, energy-saving issues and carbon reduction have become the top priority for all countries. Owing to the increasing popularity of advanced metering infrastructure and smart meters, the cost of acquiring data on residential electricity consumption has substantially dropped. This change promotes the analysis of residential electricity consumption, which features both small and complicated consumption behaviors, using machine learning to become an important research topic among various energy saving and carbon reduction measures. The main subtopic of this subject is the identification of abnormal electricity consumption behaviors. At present, anomaly detection is typically realized using models based on low-level features directly collected by sensors and electricity meters. However, due to the significant number of dimensions and a large amount of redundant information in these low-level features, the training efficiency of the model is often low. To overcome this, this study adopts an autoencoder, which is a deep learning technology, to extract the high-level electricity consumption information of residential users to improve the anomaly detection performance of the model. Subsequently, this study trains one-class SVM models for anomaly detection by using the high-level features of five actual residential users to verify the benefits of high-level features. Full article
(This article belongs to the Special Issue Advances of Future IoE Wireless Network Technology)
Show Figures

Figure 1

16 pages, 1541 KB  
Article
Detection of Potentially Compromised Computer Nodes and Clusters Connected on a Smart Grid, Using Power Consumption Data
by Mohammed Almshari, Georgios Tsaramirsis, Adil Omar Khadidos, Seyed Mohammed Buhari, Fazal Qudus Khan and Alaa Omar Khadidos
Sensors 2020, 20(18), 5075; https://doi.org/10.3390/s20185075 - 7 Sep 2020
Cited by 12 | Viewed by 2747
Abstract
Monitoring what application or type of applications running on a computer or a cluster without violating the privacy of the users can be challenging, especially when we may not have operator access to these devices, or specialized software. Smart grids and Internet of [...] Read more.
Monitoring what application or type of applications running on a computer or a cluster without violating the privacy of the users can be challenging, especially when we may not have operator access to these devices, or specialized software. Smart grids and Internet of things (IoT) devices can provide power consumption data of connected individual devices or groups. This research will attempt to provide insides on what applications are running based on the power consumption of the machines and clusters. It is therefore assumed that there is a correlation between electric power and what software application is running. Additionally, it is believed that it is possible to create power consumption profiles for various software applications and even normal and abnormal behavior (e.g., a virus). In order to achieve this, an experiment was organized for the purpose of collecting 48 h of continuous real power consumption data from two PCs that were part of a university computer lab. That included collecting data with a one-second sample period, during class as well as idle time from each machine and their cluster. During the second half of the recording period, one of the machines was infected with a custom-made virus, allowing comparison between power consumption data before and after infection. The data were analyzed using different approaches: descriptive analysis, F-Test of two samples of variance, two-way analysis of variance (ANOVA) and autoregressive integrated moving average (ARIMA). The results show that it is possible to detect what type of application is running and if an individual machine or its cluster are infected. Additionally, we can conclude if the lab is used or not, making this research an ideal management tool for administrators. Full article
(This article belongs to the Section Intelligent Sensors)
Show Figures

Figure 1

19 pages, 4167 KB  
Article
Non-Technical Loss Detection in Power Grids with Statistical Profile Images Based on Semi-Supervised Learning
by Jiangteng Li and Fei Wang
Sensors 2020, 20(1), 236; https://doi.org/10.3390/s20010236 - 31 Dec 2019
Cited by 22 | Viewed by 3609
Abstract
In order to keep track of the operational state of power grids, the world’s largest sensor system, smart grid, was built by deploying hundreds of millions of smart meters. Such a system makes it possible to discover and make quick response to any [...] Read more.
In order to keep track of the operational state of power grids, the world’s largest sensor system, smart grid, was built by deploying hundreds of millions of smart meters. Such a system makes it possible to discover and make quick response to any hidden threat to the entire power grid. Non-technical losses (NTLs) have always been a major concern for their consequent security risks as well as immeasurable revenue loss. However, various causes of NTL may have different characteristics reflected in the data. Accurately capturing these anomalies faced with such a large scale of collected data records is rather tricky as a result. In this paper, we proposed a new methodology of detecting abnormal electricity consumptions. We did a transformation of the collected time-series data which turns it into an image representation that could well reflect users’ relatively long term consumption behaviors. Inspired by the excellent neural network architecture used for objective detection in computer vision, we designed our deep learning model that takes the transformed images as input and yields joint features inferred from the multiple aspects the input provides. Considering the limited amount of labeled samples, especially the abnormal ones, we used our model in a semi-supervised fashion that was brought about in recent years. The model is tested on samples which are verified by on-field inspections and our method showed significant improvement for NTL detection compared with the state-of-the-art methods. Full article
Show Figures

Figure 1

16 pages, 1793 KB  
Article
Ensemble Bagged Tree Based Classification for Reducing Non-Technical Losses in Multan Electric Power Company of Pakistan
by Muhammad Salman Saeed, Mohd Wazir Mustafa, Usman Ullah Sheikh, Touqeer Ahmed Jumani and Nayyar Hussain Mirjat
Electronics 2019, 8(8), 860; https://doi.org/10.3390/electronics8080860 - 2 Aug 2019
Cited by 75 | Viewed by 7803
Abstract
Non-technical losses (NTLs) have been a major concern for power distribution companies (PDCs). Billions of dollars are lost each year due to fraud in billing, metering, and illegal consumer activities. Various studies have explored different methodologies for efficiently identifying fraudster consumers. This study [...] Read more.
Non-technical losses (NTLs) have been a major concern for power distribution companies (PDCs). Billions of dollars are lost each year due to fraud in billing, metering, and illegal consumer activities. Various studies have explored different methodologies for efficiently identifying fraudster consumers. This study proposes a new approach for NTL detection in PDCs by using the ensemble bagged tree (EBT) algorithm. The bagged tree is an ensemble of many decision trees which considerably improves the classification performance of many individual decision trees by combining their predictions to reach a final decision. This approach relies on consumer energy usage data to identify any abnormality in consumption which could be associated with NTL behavior. The key motive of the current study is to provide assistance to the Multan Electric Power Company (MEPCO) in Punjab, Pakistan for its campaign against energy stealers. The model developed in this study generates the list of suspicious consumers with irregularities in consumption data to be further examined on-site. The accuracy of the EBT algorithm for NTL detection is found to be 93.1%, which is considerably higher compared to conventional techniques such as support vector machine (SVM), k-th nearest neighbor (KNN), decision trees (DT), and random forest (RF) algorithm. Full article
(This article belongs to the Section Power Electronics)
Show Figures

Figure 1

17 pages, 9261 KB  
Article
OPEC: Daily Load Data Analysis Based on Optimized Evolutionary Clustering
by Rongheng Lin, Zezhou Ye and Yingying Zhao
Energies 2019, 12(14), 2668; https://doi.org/10.3390/en12142668 - 11 Jul 2019
Cited by 11 | Viewed by 3513
Abstract
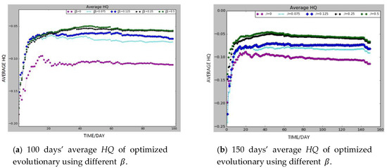
Customers’ electricity consumption behavior can be studied from daily load data. Studying the daily load data for user behavior pattern analysis is an emerging research area in smart grid. Traditionally, the daily load data can be clustered into different clusters, to reveal the [...] Read more.
Customers’ electricity consumption behavior can be studied from daily load data. Studying the daily load data for user behavior pattern analysis is an emerging research area in smart grid. Traditionally, the daily load data can be clustered into different clusters, to reveal the different categories of consumption. However, as user’s electricity consumption behavior changes over time, classical clustering algorithms are not suitable for tracing the changes, as they rebuild the clusters when clustering at any timestamp but never consider the relationship with the clusters in the previous state. To understand the changes of consumption behavior, we proposed an optimized evolutionary clustering (OPEC) algorithm, which optimized the existing evolutionary clustering algorithm by joining the Proper Restart (PR) Framework. OPEC relied on the basic fact that user’s energy consumption behavior would not abruptly change significantly, so the clusters would change progressively and remain similar in adjacent periods, except for an emergency. The newly added PR framework can deal with a situation where data changes dramatically in a short period of time, and where the former frameworks of evolutionary clustering do not work well. We evaluated the OPEC based on daily load data from Shanghai, China and the power load diagram data from UCI machine learning repository. We also carefully discussed the adjustment of the parameter in the optimized algorithm and gave an optimal value for reference. OPEC can be implemented to adapt to this situation and improve clustering quality. By understanding the changes of the users’ power consumption modes, we can detect abnormal power consumption behaviors, and also analyze the changing trend to improve the operations of the power system. This is significant for the regulation of peak load in the power grid. In addition, it can bring certain economic benefits to the operation of the power grid. Full article
(This article belongs to the Section A1: Smart Grids and Microgrids)
Show Figures

Figure 1

Back to TopTop