Sign in to use this feature.

Years

Between: -

Subjects

remove_circle_outline
remove_circle_outline
remove_circle_outline
remove_circle_outline
remove_circle_outline
remove_circle_outline
remove_circle_outline
remove_circle_outline
remove_circle_outline

Journals

remove_circle_outline
remove_circle_outline
remove_circle_outline
remove_circle_outline
remove_circle_outline
remove_circle_outline
remove_circle_outline
remove_circle_outline
remove_circle_outline
remove_circle_outline
remove_circle_outline
remove_circle_outline
remove_circle_outline
remove_circle_outline
remove_circle_outline
remove_circle_outline
remove_circle_outline
remove_circle_outline
remove_circle_outline
remove_circle_outline
remove_circle_outline
remove_circle_outline

Article Types

Countries / Regions

remove_circle_outline
remove_circle_outline
remove_circle_outline
remove_circle_outline
remove_circle_outline
remove_circle_outline

Search Results (3,656)

Search Parameters:
Keywords = Young modulus

Order results
Result details
Results per page
Select all
Export citation of selected articles as:
21 pages, 4868 KB  
Article
Study on Microscopic Pore Structure and Mechanical Characteristics of Tight Sandstone Under Hydration Effect
by Li Liu, Xinfang Ma, Yushi Zou and Shicheng Zhang
Processes 2026, 14(3), 453; https://doi.org/10.3390/pr14030453 (registering DOI) - 28 Jan 2026
Abstract
During the energy storage fracturing process of tight sandstone reservoirs, the pre-injection of fracturing fluid is used to supplement the formation energy, and the physical properties of rocks change under hydration. To reveal the damage mechanism of hydration on tight sandstone, the tight [...] Read more.
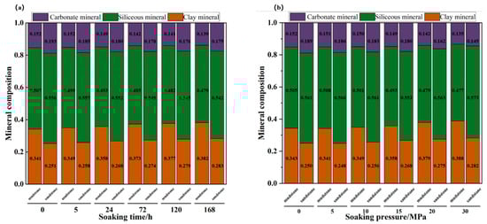
During the energy storage fracturing process of tight sandstone reservoirs, the pre-injection of fracturing fluid is used to supplement the formation energy, and the physical properties of rocks change under hydration. To reveal the damage mechanism of hydration on tight sandstone, the tight sandstone surrounding the Daqing Changyuan in the northern part of the Songliao Basin was taken as the research object. Through indoor static hydration experiments, combined with scanning electron microscopy (SEM), nuclear magnetic resonance (NMR), Nano-indentation experiments, and other methods, the evolution laws of rock micro-pore morphology, microfracture parameters, Young’s modulus, hardness, and other mechanical indicators under different hydration durations and soaking pressures were systematically explored. The research results show that the water–rock interaction of acidic slick water fracturing fluid significantly changes the mineral composition and microstructure of mudstone and sandstone, controls the development of induced fractures, and degrades the micro-mechanical properties of rocks, with significant lithological differences. In terms of mineral evolution, the soaking time causes the clay minerals in mudstone to increase by up to 12.0%, while pressure causes the carbonate minerals in sandstone to decrease by up to 23.3%. In terms of induced fracture development, the induced fracture widths of sandstone and mudstone under 30 MPa of pressure increase by 122.4% and 85.7%, respectively. The fracture width of mudstone shows a trend of “increasing first and then decreasing” with time, while that of sandstone decreases monotonically. In terms of micro-mechanical properties, after soaking for 168 h, the Young’s modulus of mudstone decreases by up to 66.9%, much higher than that of sandstone (29.5%), while the decrease in hardness of both is similar (58.3% and 59.8%); the mechanical parameters at the induced fractures are only 53.0% to 73.6% of those in the matrix area, confirming the influence of microstructural heterogeneity. This research provides a theoretical basis and data support for optimizing hydraulic fracturing parameters, evaluating wellbore stability, and predicting the long-term development performance in tight sandstone reservoirs. Full article
(This article belongs to the Topic Advanced Technology for Oil and Nature Gas Exploration)
Show Figures

Figure 1

12 pages, 923 KB  
Article
Reliability of Sternocleidomastoid Muscle Stiffness Assessment Using Shear-Wave Elastography Under a Standardized Protocol with Novice and Experienced Examiners: An Intra- and Inter-Examiner Reliability Study
by Germán Monclús-Díez, Sandra Sánchez-Jorge, Jorge Buffet-García, Mónica López-Redondo, Davinia Vicente-Campos, Umut Varol, Ricardo Ortega-Santiago and Juan Antonio Valera-Calero
Medicina 2026, 62(2), 267; https://doi.org/10.3390/medicina62020267 - 27 Jan 2026
Abstract
Background and Objectives: Sternocleidomastoid (SCM) dysfunction is commonly implicated in several musculoskeletal conditions. Accordingly, shear-wave elastography has been used to characterize SCM stiffness in asymptomatic and clinical cohorts. However, the only reproducibility study available reported limited reliability, so clinical interpretations should be [...] Read more.
Background and Objectives: Sternocleidomastoid (SCM) dysfunction is commonly implicated in several musculoskeletal conditions. Accordingly, shear-wave elastography has been used to characterize SCM stiffness in asymptomatic and clinical cohorts. However, the only reproducibility study available reported limited reliability, so clinical interpretations should be made with caution. Therefore, this study revisits key methodological aspects of that protocol to assess intra-examiner reliability and includes two examiners with different levels of expertise to evaluate inter-examiner reliability. Materials and Methods: A longitudinal observational study was conducted, recruiting twenty-five asymptomatic participants. Two examiners with different experience levels participated in this study after following structured training. For each side, images were obtained in immediate succession in the sequence experienced–novice–experienced–novice (with side order randomized), using an ROI spanning full muscle thickness, stabilizing approximately 10 s before freezing to record Young’s modulus and shear-wave speed. Results: Inter-examiner agreement was good–excellent: single-measurement ICCs were 0.77–0.86, improving to 0.79–0.87 when averaging two trials, which also reduced the standard error of measurement (SEM) and minimal detectable changes (MDCs). Between-examiner mean differences were small and nonsignificant (p ≥ 0.068). Intra-examiner reliability was excellent (ICC ≈ 0.93–0.94) with small absolute errors. Precision was high (SEM ~5–6 kPa; 0.22 m/s), and MDCs were ~15–16 kPa and ~0.60 m/s, with no trial-to-trial bias (all p ≥ 0.311). Conclusions: The revised protocol showed excellent intra-examiner repeatability and good–excellent inter-examiner reliability with minimal bias. Averaging two acquisitions improved precision, while a single operator optimized longitudinal stability. Full article
(This article belongs to the Section Neurology)
Show Figures

Figure 1

14 pages, 4282 KB  
Article
Enhancing Plant Fibre-Reinforced Polymer Composites for Biomedical Applications Using Atmospheric Pressure Plasma Treatment
by Cho-Sin Nicole Chan, Wing-Yu Chan, Sun-Pui Ng, Chi-Wai Kan, Wang-Kin Chiu and Cheuk-Him Ng
Materials 2026, 19(3), 504; https://doi.org/10.3390/ma19030504 - 27 Jan 2026
Abstract
This research investigates the effects of corona plasma treatment on the mechanical properties of jute/epoxy-reinforced composites, particularly within biomedical application contexts. Plant Fibre Composites (PFCs) are attractive for medical devices and scaffolds due to their environmental friendliness, renewability, cost-effectiveness, low density, and high [...] Read more.
This research investigates the effects of corona plasma treatment on the mechanical properties of jute/epoxy-reinforced composites, particularly within biomedical application contexts. Plant Fibre Composites (PFCs) are attractive for medical devices and scaffolds due to their environmental friendliness, renewability, cost-effectiveness, low density, and high specific strength. However, their applications are often constrained by inferior mechanical performance arising from poor bonding between the plant fibre used as the reinforcement and the synthetic resin or polymer serving as the matrix. This study addresses the challenge of improving the weak interfacial bonding between plant fibre and synthetic resin in a 2/2 twill-weave-woven jute/epoxy composite material. The surface of the jute fibre is modified for better adhesion with the epoxy resin through plasma treatment, which exposes the jute fibre to controlled plasma energy and utilises dry air (plasma only), argon (Ar) (argon gas with plasma), and nitrogen (N2) (nitrogen gas with plasma) at two different distances (25 mm and 35 mm) between the plasma nozzle and the fibre surface. In this context, “equilibrium” refers to the optimal combination of plasma power, treatment distance, and gas environment that collectively determines the degree of fibre surface modification. The results indicate that all plasma treatments improve the interlaminar shear strength in comparison to untreated samples, with treatments at 35 mm using N2 gas showing a 35.4% increase in shear strength. Conversely, plasma treatment using dry air at 25 mm yields an 18.3% increase in tensile strength and a 35.7% increase in Young’s modulus. These findings highlight the importance of achieving an appropriate equilibrium among plasma intensity, treatment distance, and fibre–plasma interaction conditions to maximise the effectiveness of plasma treatment for jute/epoxy composites. This research advances sustainable innovation in biomedical materials, underscoring the potential for improved mechanical properties in environmentally friendly fibre-reinforced composites. Full article
(This article belongs to the Topic Advanced Composite Materials)
Show Figures

Graphical abstract

21 pages, 15015 KB  
Article
Irf5 Knockdown in Bone Marrow-Derived Macrophages Favors M1-to-M2 Transition
by Elizaveta Petrova, Ekaterina Sherstyukova, Snezhanna Kandrashina, Vladimir Inozemtsev, Alexandra Tsitrina, Viktoriya Fedorova, Mikhail Shvedov, Artem Kuzovlev, Maxim Dokukin, Yuri Kotelevtsev, Arsen Mikaelyan and Viktoria Sergunova
Cells 2026, 15(3), 238; https://doi.org/10.3390/cells15030238 - 26 Jan 2026
Abstract
The transcription factor IRF5 maintains macrophages in the pro-inflammatory M1 state. We assessed the effects of siRNA-mediated knockdown of Irf5 on murine bone marrow-derived macrophages (BMDM) in M0, M1 and M2 states. Knockdown of Irf5 in M1 macrophages made them phenotypically similar to [...] Read more.
The transcription factor IRF5 maintains macrophages in the pro-inflammatory M1 state. We assessed the effects of siRNA-mediated knockdown of Irf5 on murine bone marrow-derived macrophages (BMDM) in M0, M1 and M2 states. Knockdown of Irf5 in M1 macrophages made them phenotypically similar to M2 macrophages, which was reflected in the decreased expression of the M1 marker iNOS, increased expression of the M2 marker CD206, increased mitochondrial content and respective morphological changes. Interestingly, the M2 phenotype was also affected by the reduction in Irf5. Using atomic force microscopy (AFM), we showed that Irf5 knockdown increases plasma membrane roughness, particularly in M2 macrophages. AFM-based stiffness measurements indicated that Irf5 knockdown altered macrophage elasticity, potentially influencing their functional behavior. Our data suggest a complex role of IRF5 in macrophage polarization, supporting its dual role as a transcriptional activator and repressor both in M1 and M2 states, and highlight the importance of IRF5 in the maintenance of metabolic and functional properties of macrophages. Full article
(This article belongs to the Special Issue Advances in Scanning Probe Microscopy in Cell Biology)
Show Figures

Figure 1

24 pages, 5920 KB  
Article
Mechanical, Fatigue, and Thermal Characterization of ASA, Nylon 12, PC, and PC-ABS Manufactured by Fused Filament Fabrication (FFF)
by Ângela Rodrigues, Ricardo Branco, Margarida Franco, Rui Silva, Cândida Malça and Rui F. Martins
Polymers 2026, 18(2), 302; https://doi.org/10.3390/polym18020302 - 22 Jan 2026
Viewed by 95
Abstract
Additive manufacturing has been widely adopted in industry as an alternative to traditional manufacturing processes for complex component production. In fact, a diverse range of materials, particularly polymers, can be processed using 3D printing for biomechanical applications (e.g., prosthetics). However, in-depth evaluation of [...] Read more.
Additive manufacturing has been widely adopted in industry as an alternative to traditional manufacturing processes for complex component production. In fact, a diverse range of materials, particularly polymers, can be processed using 3D printing for biomechanical applications (e.g., prosthetics). However, in-depth evaluation of these materials is necessary to determine their suitability for demanding applications, such as those involving cyclic loading. Following previous work that studied Polylactic Acid (PLA) and Polyethylene Terephthalate Glycol-modified (PETG) under experimental fatigue testing, this study examines the fatigue behaviour of other current 3D-printed polymeric materials, namely Acrylonitrile Styrene Acrylate (ASA), Polycarbonate (PC), Polyamide 12 (Nylon 12), and Polycarbonate–Acrylonitrile Butadiene Styrene (blend) (PC-ABS), for which fatigue data remain limited or even non-existent. The findings revealed performance differences on Tensile Strength (σR), Young’s Modulus and Ultimate Strain among tensile specimens made from these materials and characterised S-N curves for both high-cycle (HCF) and low-cycle (LCF) fatigue regimes at room temperature, with a tensile load ratio (R = 0.05). These results establish relationships among fatigue limit and quasi-static mechanical properties, namely 25% × σr for ASA (8 MPa), 7% × σr for PC (3.6 MPa), 17% × σr for Nylon 12 (7.4 MPa), and 15% × σr for PC-ABS (4.7 MPa), as well as between mechanical properties and preliminary potential biomechanical applications. Main conclusions were further supported by micro-computed tomography (micro-CT), which revealed levels of porosity in between 4% and 11%, thermogravimetric analysis (TGA), differential scanning calorimetry (DSC), and Fourier transform infrared spectroscopy (FTIR). Full article
(This article belongs to the Special Issue Research Progress on Mechanical Behavior of Polymers, 2nd Edition)
Show Figures

Figure 1

22 pages, 5760 KB  
Article
Polylactide/Polycaprolactone Nanofiber Scaffold Enhances Primary Cortical Neuron Growth
by Valeriia S. Shtol, Anastasiia D. Tsareva, Kirill A. Arsentiev, Sophia P. Konovalova, Suanda A. Tlimahova, Dmitry V. Klinov, Dimitri A. Ivanov and Pavel E. Musienko
Polymers 2026, 18(2), 294; https://doi.org/10.3390/polym18020294 - 21 Jan 2026
Viewed by 135
Abstract
Spinal cord injury (SCI) remains a major clinical challenge due to the limited regenerative capacity of the central nervous system (CNS). Effective scaffolds for repair must combine mechanical compatibility with host tissue, controlled degradation matching the time course of regeneration, and microarchitectural features [...] Read more.
Spinal cord injury (SCI) remains a major clinical challenge due to the limited regenerative capacity of the central nervous system (CNS). Effective scaffolds for repair must combine mechanical compatibility with host tissue, controlled degradation matching the time course of regeneration, and microarchitectural features that promote neuronal survival. Electrospun nanofibrous scaffolds mimic the structural and mechanical features of the extracellular matrix, providing critical cues for neuronal adhesion and glial modulation in neural regeneration. Here, we fabricated biodegradable poly(lactic acid)/poly(ε-caprolactone) (PLA/PCL) scaffolds using a dichloromethane/tetrahydrofuran (DCM/THF) solvent system to induce surface porosity via solvent-driven phase separation. The DCM/THF solvent system formulation produced nanofibers with porous surfaces and increased area for cell interaction. PLA/PCL scaffolds showed a Young’s modulus of ~26 MPa and sustained degradation, particularly under oxidative conditions simulating the post-injury microenvironment. In vitro, these scaffolds enhanced neuronal density up to fivefold and maintained ~80% viability over 10 days in primary neuron–glia cultures. Morphometric analysis revealed that DCM/THF-based scaffolds supported astrocytes with preserved process complexity and reduced circularity, indicative of a less reactive morphology. In contrast, scaffolds fabricated with 1,1,1,3,3,3-hexafluoro-2-propanol (HFIP) displayed reduced bioactivity and promoted morphological features associated with astrocyte reactivity, including cell rounding and process retraction. These findings demonstrate that solvent-driven control of scaffold microarchitecture is a powerful strategy to enhance neuronal integration and modulate glial morphology, positioning DCM/THF-processed PLA/PCL scaffolds as a promising platform for CNS tissue engineering. Full article
Show Figures

Graphical abstract

16 pages, 3370 KB  
Article
Numerical Investigation of Dynamic Wrinkling Behaviors in Stiff-Film/PDMS-Substrate Structure
by Haohao Bi, Wenjie Li, Liuyun Wang and Bo Wang
Polymers 2026, 18(2), 292; https://doi.org/10.3390/polym18020292 - 21 Jan 2026
Viewed by 84
Abstract
Thin film/substrate structures based on the principle of buckling mechanics exhibit both excellent stretchability and mechanical stability, and they have been recognized as a critical configuration in the design of flexible electronic devices. During application, flexible electronic devices are usually subjected to complex [...] Read more.
Thin film/substrate structures based on the principle of buckling mechanics exhibit both excellent stretchability and mechanical stability, and they have been recognized as a critical configuration in the design of flexible electronic devices. During application, flexible electronic devices are usually subjected to complex dynamic environments. Therefore, it is of great significance to investigate the dynamic behavior of thin film/substrate structures for the design of flexible electronic devices. The bending energy, membrane energy, and kinetic energy of the thin film and the elastic energy of the substrate were calculated. On this basis, the dynamic equation of the thin film/substrate structure with a checkerboard wrinkled pattern was derived by applying the principle of minimum energy combined with the Lagrangian function. Numerical simulations were conducted on the system to analyze the effect of pre-strain and the Young’s modulus of substrate on the system’s potential energy function, simulate the temporal response of the system’s dynamic behavior, and investigate the influences of pre-strain and the Young’s modulus of substrate on system stability and the chaos critical value. Theoretical support is expected to be provided for the design of two-dimensional (2D) thin film/substrate structures through this research. Full article
Show Figures

Graphical abstract

12 pages, 3165 KB  
Article
Influencing Factors of the Bending Properties of Resin-Treated Flattened Bamboo and Its Decorative Characteristics
by Penghui Chen, Jianglong Wu, Yingyue Yu, Hong Chen and Wei Xu
Coatings 2026, 16(1), 139; https://doi.org/10.3390/coatings16010139 - 21 Jan 2026
Viewed by 141
Abstract
Cracking frequently occurs during the pressing process of flattened bamboo, significantly reducing yield rates. To address the lack of effective strategies for the mechanical reutilisation of cracked flattened bamboo, an epoxy resin-based treatment approach was proposed to improve both mechanical and decorative performance, [...] Read more.
Cracking frequently occurs during the pressing process of flattened bamboo, significantly reducing yield rates. To address the lack of effective strategies for the mechanical reutilisation of cracked flattened bamboo, an epoxy resin-based treatment approach was proposed to improve both mechanical and decorative performance, inspired by resin-based decorative composites. Crack filling and full-cell impregnation methods were then systematically evaluated. This work is the first to systematically compare crack filling and full-cell impregnation strategies across different bamboo radial positions, with a simultaneous evaluation of mechanical performance and decorative properties. The results show that bamboo radial position has a pronounced influence on bending performance. The outer layer exhibits markedly higher bending strength and Young’s modulus than the inner layer, with mean differences of approximately 134 MPa and 13.3 GPa, respectively. Crack filling results in a measurable improvement in the bending performance of cracked flattened bamboo, whereas full-cell impregnation leads to a reduction in the bending properties of the outer layer. These results suggest that crack filling represents a more mechanically efficient and cost-effective treatment strategy. Resin treatment increases surface colour variation but minimally impacts yellowing resistance performance. These findings demonstrate that resin-treated flattened bamboo with cracks supports the resource utilisation of waste bamboo and shows potential for decorative and interior material applications. Full article
(This article belongs to the Section Environmental Aspects in Colloid and Interface Science)
Show Figures

Figure 1

21 pages, 5844 KB  
Article
Design and Material Characterisation of Additively Manufactured Polymer Scaffolds for Medical Devices
by Aidan Pereira, Amirpasha Moetazedian, Martin J. Taylor, Frances E. Longbottom, Heba Ghazal, Jie Han and Bin Zhang
J. Manuf. Mater. Process. 2026, 10(1), 39; https://doi.org/10.3390/jmmp10010039 - 21 Jan 2026
Viewed by 124
Abstract
Additive manufacturing has been adopted in several industries including the medical field to develop new personalised medical implants including tissue engineering scaffolds. Custom patient-specific scaffolds can be additively manufactured to speed up the wound healing process. The aim of this study was to [...] Read more.
Additive manufacturing has been adopted in several industries including the medical field to develop new personalised medical implants including tissue engineering scaffolds. Custom patient-specific scaffolds can be additively manufactured to speed up the wound healing process. The aim of this study was to design, fabricate, and evaluate a range of materials and scaffold architectures for 3D-printed wound dressings intended for soft tissue applications, such as skin repair. Multiple biocompatible polymers, including polylactic acid (PLA), polyvinyl alcohol (PVA), butenediol vinyl alcohol copolymer (BVOH), and polycaprolactone (PCL), were fabricated using a material extrusion additive manufacturing technique. Eight scaffolds, five with circular designs (knee meniscus angled (KMA), knee meniscus stacked (KMS), circle dense centre (CDC), circle dense edge (CDE), and circle no gradient (CNG)), and three square scaffolds (square dense centre (SDC), square dense edge (SDE), and square no gradient (SNG), with varying pore widths and gradient distributions) were designed using an open-source custom toolpath generator to enable precise control over scaffold architecture. An in vitro degradation study in phosphate-buffered saline demonstrated that PLA exhibited the greatest material stability, indicating minimal degradation under the tested conditions. In comparison, PVA showed improved performance relative to BVOH, as it was capable of absorbing a greater volume of exudate fluid and remained structurally intact for a longer duration, requiring up to 60 min to fully dissolve. Tensile testing of PLA scaffolds further revealed that designs with increased porosity towards the centre exhibited superior mechanical performance. The strongest scaffold design exhibited a Young’s modulus of 1060.67 ± 16.22 MPa and withstood a maximum tensile stress of 21.89 ± 0.81 MPa before fracture, while maintaining a porosity of approximately 52.37%. This demonstrates a favourable balance between mechanical strength and porosity that mimics key properties of engineered tissues such as the meniscus. Overall, these findings highlight the potential of 3D-printed, patient-specific scaffolds to enhance the effectiveness and customisation of tissue engineering treatments, such as meniscus repair, offering a promising approach for next-generation regenerative applications. Full article
Show Figures

Figure 1

6 pages, 1427 KB  
Interesting Images
Prediction of Pancreatic Islet Yield After Pancreatectomy Using Optical Coherence Elastography
by Ekaterina Gubarkova, Ekaterina Vasilchikova, Arseniy Potapov, Denis Kuchin, Polina Ermakova, Julia Tselousova, Anastasia Anina, Liya Lugovaya, Marina Sirotkina, Natalia Gladkova, Aleksandra Kashina and Vladimir Zagainov
Diagnostics 2026, 16(2), 329; https://doi.org/10.3390/diagnostics16020329 - 20 Jan 2026
Viewed by 121
Abstract
Intraoperative assessment of pancreatic quality, followed by sampling for the potential isolation of Langerhans islets for subsequent autotransplantation, is currently a key component of post-total pancreatectomy diabetes mellitus treatment. The aim of this study was to quantitatively evaluate pancreatic parenchymal stiffness using optical [...] Read more.
Intraoperative assessment of pancreatic quality, followed by sampling for the potential isolation of Langerhans islets for subsequent autotransplantation, is currently a key component of post-total pancreatectomy diabetes mellitus treatment. The aim of this study was to quantitatively evaluate pancreatic parenchymal stiffness using optical coherence elastography (OCE) imaging, and to investigate the utility of the OCE method as a potential indicator of islet yield after pancreatectomy. A total of 41 freshly excised human pancreatic specimens, containing pancreatic ductal adenocarcinoma (PDAC) and surrounding non-tumorous tissues post-pancreatectomy, were studied. In this research, the stiffness (Young’s modulus, kPa) and its color-coded 2D distribution were calculated for various pancreatic samples using compression OCE. Stiffness values were compared between intact pancreatic parenchyma (islet-poor and islet-rich) and pancreatic lesion groups (parenchymal fibrosis and/or PDAC invasion). The data were confirmed by histological analysis. In addition, the measured stiffness values for various morphological groups of the pancreatic samples were compared with the number of isolated islets obtained from pancreatic samples after collagenase treatment. The study demonstrated that OCE can effectively distinguish areas of pancreatic lesions and identify intact pancreatic parenchyma containing Langerhans islets. A highly significant increase in mean stiffness (p < 0.0001) was observed in postoperative pancreatic samples exhibiting signs of parenchymal fibrosis or PDAC invasion compared to unaffected, intact pancreatic parenchyma. For the first time, a relationship between stiffness values and the number of isolated pancreatic islets was demonstrated; in particular, the number of isolated islets significantly decreased (≤110 pcs/g) in samples exhibiting stiffness values above 150 kPa and below 75 kPa. The optimal stiffness range for the efficient isolation of islets (≥120 pcs/g) from pancreatic tissue was identified as 75–150 kPa. The study introduces a novel approach for rapid and objective intraoperative assessment of pancreatic tissue quality using real-time OCE data. This technique facilitates the identification of regions affected by pancreatic lesions and supports the selection of intact pancreatic parenchyma, potentially enhancing the accuracy of Langerhans islet yield predictions during surgical resection. Full article
(This article belongs to the Section Biomedical Optics)
Show Figures

Figure 1

17 pages, 4177 KB  
Article
Inline Profiling of Reactive Thermoplastic Pultruded GFRP Rebars: A Study on the Influencing Factors
by Moritz Fünkner, Georg Zeeb, Michael Wilhelm, Peter Eyerer and Frank Henning
J. Compos. Sci. 2026, 10(1), 55; https://doi.org/10.3390/jcs10010055 - 19 Jan 2026
Viewed by 159
Abstract
Compared to reinforcing concrete with steel bars, rebars—made of fiber-reinforced plastic—have a high potential for resource savings in the construction industry due to their corrosion resistance. For the large-volume market of reinforcement elements, efficient manufacturing processes must be developed to ensure the best [...] Read more.
Compared to reinforcing concrete with steel bars, rebars—made of fiber-reinforced plastic—have a high potential for resource savings in the construction industry due to their corrosion resistance. For the large-volume market of reinforcement elements, efficient manufacturing processes must be developed to ensure the best possible bond behavior between concrete and rebar. In contrast to established FRP-rebars made with thermosetting materials, the use of a thermoplastic matrix enables surface profiling without severing the edge fibers as well as subsequent bending of the bar. The rebars to be produced in this study are based on the process of reactive thermoplastic pultrusion of continuously glass fiber reinforced aPA6. Their surface must enable a mechanical interlocking between the reinforcement bar and concrete. Concepts for a profiling device have been methodically developed and evaluated. The resulting concept of a double wheel embossing unit with a variable infeed and an infrared preheating section is built as a prototype, implemented in a pultrusion line, and further optimized. For a comprehensive understanding of the embossing process, reinforcement bars are manufactured, characterized, and evaluated under parameter variation according to a statistical experimental plan. The present study demonstrates the relationship between the infeed, preheating temperature, and haul-off speed with respect to the embossing depth, which is equivalent to the rib height. No degradation of the Young’s modulus was observed as a result of the profiling process. Full article
(This article belongs to the Section Composites Manufacturing and Processing)
Show Figures

Figure 1

23 pages, 4786 KB  
Article
Potassium Fertilization as a Steering Tool for Sustainable Valorization of Cereal Straw in Circular Bioeconomy Value Chains
by Dario Iljkić, Ivana Varga, Paulina Krolo and Ivan Kraus
Sustainability 2026, 18(2), 984; https://doi.org/10.3390/su18020984 - 18 Jan 2026
Viewed by 136
Abstract
Potassium (K) fertilization plays a key role in regulating stem morphology, particularly stem diameter, yet the influence of different K fertilizer formulations on stem structure and tensile strength remains insufficiently understood. Cereal straw is a key lignocellulosic by-product with growing importance in the [...] Read more.
Potassium (K) fertilization plays a key role in regulating stem morphology, particularly stem diameter, yet the influence of different K fertilizer formulations on stem structure and tensile strength remains insufficiently understood. Cereal straw is a key lignocellulosic by-product with growing importance in the circular bioeconomy. Thus, the aim of this study was to determine the links between potassium nutrition, stem structure, and mechanical behavior for four cereal species: wheat, barley, rye, and oats. There were three potassium fertilization levels (0, 60, and 120 kg K ha−1) conducted in a field experiment in eastern Croatia (2021/2022). At maturity, stem morphology, macroelements (Ca, K, P, C, N), acid detergent fiber (ADF), neutral detergent fiber (NDF), and uniaxial tensile properties (maximum force, tensile strength, Young’s modulus) were determined. Cereal species was the dominant source of variation (p < 0.0001) for all traits, whereas the main effect of K was generally weak and significant only for stem diameter at the midpoint and N concentration, although K × species interactions were frequent. Oats and rye showed the most vigorous biomass production, whereas wheat exhibited by far the highest tensile strength (about 120 MPa) and stiffness (6.23 GPa), together with the highest ADF, while barley had the greatest NDF. Oat stems had the lowest ADF and NDF, indicating less lignified, more digestible tissues but mechanically weaker straw. Mechanical traits were tightly and positively correlated with ADF, NDF, and CN ratio, whereas P showed weak or negative associations with plant size and strength. Therefore, for targeted straw valorization, cereal species selection is paramount, with potassium fertilization playing a secondary, species-dependent role. Full article
Show Figures

Figure 1

15 pages, 4562 KB  
Article
Investigating the Role of Silica in Thermo-Oxidative Degradation of EPDM Recycled Composites for Applications in Building and Construction
by Xavier Colom, Leire Moral and Javier Cañavate
Polymers 2026, 18(2), 250; https://doi.org/10.3390/polym18020250 - 16 Jan 2026
Viewed by 211
Abstract
This work investigates the structural, acoustic, and thermo-oxidative degradation behavior of elastomeric composites made from neat EPDM and recycled devulcanized EPDM (EPDMd) blends, both with and without silica (SiO2). SiO2 plays a complex role in degradation, possibly acting as a [...] Read more.
This work investigates the structural, acoustic, and thermo-oxidative degradation behavior of elastomeric composites made from neat EPDM and recycled devulcanized EPDM (EPDMd) blends, both with and without silica (SiO2). SiO2 plays a complex role in degradation, possibly acting as a catalyst and also affecting the properties of the materials. Samples were subjected to accelerated degradation at 80 °C for 30 days. The characterization included the mechanical, spectroscopical (FTIR-ATR), thermal (TGA), and morphological (SEM) studies of the samples. Given EPDM’s use in construction as a sound-absorber, its acoustic properties were also analyzed. The determination of the mechanical properties shows that the incorporation of SiO2 improves the Young’s modulus (YM), maintains the tensile strength (TS) at similar values, and causes a decrease in elongation at break (EB). The content of EPDMd slightly decreases both the TS and the EB and increases the YM. The thermo-oxidative degradation of the studied composites does not affect the TS values, but it increases the YM for the samples with and without SiO2 for EPDMd contents higher than 40 phr, and decreases the EB for samples with and without SiO2 for all EPDMd contents. The FTIR-ATR, TGA, and SEM results show that the addition of SiO2 catalyzes the thermo-oxidative degradation process, while the EPDMd inhibits structural degradation. Migration of the ZnSt2 included in the formulations to the surface is common in these elastomers. In this case, EPDMd forms microaggregates, which retain the exudation of ZnSt2 crystals, especially in the non-degraded samples. The degraded samples present irregular structures, with microcavities, cracks, and occlusions, which increase the acoustic absorption mainly at frequencies below 1500 Hz. Full article
Show Figures

Figure 1

30 pages, 13241 KB  
Article
Nanosilica Gel-Stabilized Phase-Change Materials Based on Epoxy Resin and Wood’s Metal
by Svetlana O. Ilyina, Irina Y. Gorbunova, Vyacheslav V. Shutov, Michael L. Kerber and Sergey O. Ilyin
Gels 2026, 12(1), 79; https://doi.org/10.3390/gels12010079 - 16 Jan 2026
Viewed by 140
Abstract
The emulsification of a molten fusible metal alloy in a liquid epoxy matrix with its subsequent curing is a novel way to create a highly concentrated phase-change material. However, numerous challenges have arisen. The high interfacial tension between the molten metal and epoxy [...] Read more.
The emulsification of a molten fusible metal alloy in a liquid epoxy matrix with its subsequent curing is a novel way to create a highly concentrated phase-change material. However, numerous challenges have arisen. The high interfacial tension between the molten metal and epoxy resin and the difference in their viscosities hinder the stretching and breaking of metal droplets during stirring. Further, the high density of metal droplets and lack of suitable surfactants lead to their rapid coalescence and sedimentation in the non-cross-linked resin. Finally, the high differences in the thermal expansion coefficients of the metal alloy and cross-linked epoxy polymer may cause cracking of the resulting phase-change material. This work overcomes the above problems by using nanosilica-induced physical gelation to thicken the epoxy medium containing Wood’s metal, stabilize their interfacial boundary, and immobilize the molten metal droplets through the creation of a gel-like network with a yield stress. In turn, the yield stress and the subsequent low-temperature curing with diethylenetriamine prevent delamination and cracking, while the transformation of the epoxy resin as a physical gel into a cross-linked polymer gel ensures form stability. The stabilization mechanism is shown to combine Pickering-like interfacial anchoring of hydrophilic silica at the metal/epoxy boundary with bulk gelation of the epoxy phase, enabling high metal loadings. As a result, epoxy shape-stable phase-change materials containing up to 80 wt% of Wood’s metal were produced. Wood’s metal forms fine dispersed droplets in epoxy medium with an average size of 2–5 µm, which can store thermal energy with an efficiency of up to 120.8 J/cm3. Wood’s metal plasticizes the epoxy matrix and decreases its glass transition temperature because of interactions with the epoxy resin and its hardener. However, the reinforcing effect of the metal particles compensates for this adverse effect, increasing Young’s modulus of the cured phase-change system up to 825 MPa. These form-stable, high-energy-density composites are promising for thermal energy storage in building envelopes, radiation-protective shielding, or industrial heat management systems where leakage-free operation and mechanical integrity are critical. Full article
(This article belongs to the Special Issue Energy Storage and Conductive Gel Polymers)
Show Figures

Graphical abstract

21 pages, 4133 KB  
Article
Mechanical Characterization of PLA+ Specimens with Different Geometries Using Experimental and Numerical Methods
by Mete Han Boztepe and Mehmet Haskul
Polymers 2026, 18(2), 243; https://doi.org/10.3390/polym18020243 - 16 Jan 2026
Viewed by 285
Abstract
Geometric discontinuities are unavoidable in additively manufactured polymer components and can significantly alter their mechanical response; however, their effects are rarely quantified in a systematic and geometry-comparative manner. In this study, the tensile behavior of FDM-printed PLA+ specimens with three different geometries—dog-bone, circular-hole, [...] Read more.
Geometric discontinuities are unavoidable in additively manufactured polymer components and can significantly alter their mechanical response; however, their effects are rarely quantified in a systematic and geometry-comparative manner. In this study, the tensile behavior of FDM-printed PLA+ specimens with three different geometries—dog-bone, circular-hole, and U-notched (manufactured and tested in accordance with ASTM D638 (Type IV))—was experimentally and numerically investigated. Tensile tests were conducted using a universal testing machine equipped with an extensometer, while finite element simulations were performed using an experimentally calibrated Ramberg–Osgood-based elastic–plastic material model. The dog-bone specimens exhibited an ultimate tensile strength (UTS) of 41–43 MPa and a Young’s modulus of 3.06 GPa, representing the intrinsic material response under nearly homogeneous stress conditions. Circular-hole specimens maintained comparable strength (38–42 MPa) but showed reduced ductility (1.4–1.6%) and a slightly increased apparent modulus of 3.17 GPa due to localized deformation. In contrast, U-notched specimens displayed the highest apparent modulus (≈5.30 GPa) and nominal UTS (46–49 MPa), accompanied by a pronounced reduction in ductility (0.9–1.0%), indicating severe stress concentration and predominantly brittle fracture behavior. Finite element analysis showed excellent agreement with experimental results, with peak von Mises stresses reaching approximately 42 MPa for all geometries, corresponding closely to the experimentally measured tensile strength. These results demonstrate that geometric discontinuities strongly govern stress localization, apparent stiffness, and fracture initiation in FDM-printed PLA+ components. The validated Ramberg–Osgood-based modeling framework provides a reliable tool for predicting geometry-dependent mechanical behavior under quasi-static loading and supports geometry-aware design of additively manufactured polymer structures. Full article
(This article belongs to the Special Issue Mechanical Behaviors and Properties of Polymer Materials, 2nd Edition)
Show Figures

Figure 1

Back to TopTop