Sign in to use this feature.

Years

Between: -

Subjects

remove_circle_outline
remove_circle_outline
remove_circle_outline
remove_circle_outline
remove_circle_outline
remove_circle_outline
remove_circle_outline
remove_circle_outline
remove_circle_outline

Journals

remove_circle_outline
remove_circle_outline
remove_circle_outline
remove_circle_outline
remove_circle_outline
remove_circle_outline
remove_circle_outline
remove_circle_outline
remove_circle_outline
remove_circle_outline
remove_circle_outline
remove_circle_outline

Article Types

Countries / Regions

remove_circle_outline
remove_circle_outline
remove_circle_outline
remove_circle_outline
remove_circle_outline
remove_circle_outline
remove_circle_outline

Search Results (2,596)

Search Parameters:
Keywords = X-ray single crystal diffraction

Order results
Result details
Results per page
Select all
Export citation of selected articles as:
11 pages, 2746 KB  
Article
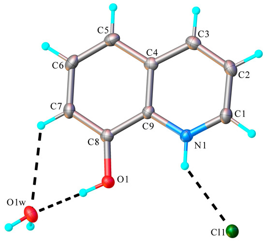
X-Ray Inside Clarifications Concerning the Acylation Reaction of 8-Hydroxyquinoline
by Roxana Angela Tucaliuc, Sergiu Shova, Violeta Mangalagiu and Ionel I. Mangalagiu
Crystals 2026, 16(4), 259; https://doi.org/10.3390/cryst16040259 (registering DOI) - 12 Apr 2026
Abstract
We report here a thorough study concerning the acylation reaction products of 8-hydroxyquinoline with 2-chloroacyl chloride, with new insights and clarifications in respect to the obtained products brought by NMR and X-ray studies. According to the reaction conditions we employed, three compounds could [...] Read more.
We report here a thorough study concerning the acylation reaction products of 8-hydroxyquinoline with 2-chloroacyl chloride, with new insights and clarifications in respect to the obtained products brought by NMR and X-ray studies. According to the reaction conditions we employed, three compounds could be obtained: 1-(2-chloro-2-oxoethyl)pyridin-1-ium chloride 10, 8-hydroxyquinoline hydrochloride 11, and the acylated product 8-(2-chloroacetoxy)quinolin-1-ium chloride 12. A certain influence of the catalyst and the used solvent was observed, and feasible explanations for product formations were furnished. The structure of the compounds was proved by using 1H- and 13C-NMR spectra as well as single-crystal X-ray diffraction studies for compounds 12 and 11. According to X-ray crystallography, compounds 11 and 12 have a planar structure and exhibit an ionic crystal structure crystallized as a hydrochloride salt of the corresponding organic base. The crystal structures of both compounds are stabilized by intermolecular hydrogen bonds and π-π stacking interactions. In the crystals of compounds 11 and 12, the structural components are interconnected by a system of intermolecular hydrogen bonding, and a similar one-dimensional array is formed via hydrogen bonding and π-π stacking. The further assembling of the structure for 12 and 11 occurs with the formation of a three-dimensional supramolecular network. Full article
(This article belongs to the Section Organic Crystalline Materials)
Show Figures

Figure 1

8 pages, 797 KB  
Short Note
Racemic-Benzimidazolyl Pentafluorobenzyl Sulfoxide
by Maria Annunziata M. Capozzi and Cosimo Cardellicchio
Molbank 2026, 2026(2), M2161; https://doi.org/10.3390/M2161 - 10 Apr 2026
Viewed by 34
Abstract
As a part of our research on the presence of conglomerates among the aryl benzyl sulfoxides, racemic-benzimidazolyl pentafluorobenzyl sulfoxide was synthesised, and its crystal structure was determined by a single crystal X-ray diffraction experiment. The main interactions building up the crystal structure [...] Read more.
As a part of our research on the presence of conglomerates among the aryl benzyl sulfoxides, racemic-benzimidazolyl pentafluorobenzyl sulfoxide was synthesised, and its crystal structure was determined by a single crystal X-ray diffraction experiment. The main interactions building up the crystal structure were recognised and compared with those of similar compounds. Since the crystal structures of racemic and enantiopure benzimidazolyl pentafluorobenzyl sulfoxides are different, the presence of a conglomerate is excluded in the present case. Full article
(This article belongs to the Section Structure Determination)
Show Figures

Figure 1

15 pages, 3100 KB  
Article
Crystal Structure and Temperature-Induced Phase Transitions in the New Copper Vanadate Cs2Cu2[V4O12]Br2
by Ilya V. Kornyakov, Vladimir N. Bocharov and Sergey V. Krivovichev
Crystals 2026, 16(4), 252; https://doi.org/10.3390/cryst16040252 - 10 Apr 2026
Viewed by 58
Abstract
The new compound Cs2Cu2[V4O12]Br2 was synthesized by the chemical vapor transport reaction method. Structural data obtained by single-crystal X-ray diffraction in the temperature range 100–700 K revealed three successive (with decreasing temperature) structural phase [...] Read more.
The new compound Cs2Cu2[V4O12]Br2 was synthesized by the chemical vapor transport reaction method. Structural data obtained by single-crystal X-ray diffraction in the temperature range 100–700 K revealed three successive (with decreasing temperature) structural phase transitions: from the high-temperature aristotype structure I4/mmm (>550 K) to the polymorph P4/mnc (550–340 K), then to P4/m (340–300 K), and finally to the low-temperature phase I4/m (<300 K). The crystal structure of the new compound is based upon the Cu2[V4O12]0 layers, consisting of four-membered rings of corner-sharing vanadate tetrahedra linked by CuO4 squares. Analysis of the structural evolution with increasing temperature shows that the entire sequence of phase transitions is governed by the rotation of the [V4O12]4− rings about the z axis. Full article
(This article belongs to the Special Issue Electronic Phenomena of Transition Metal Oxides Volume II)
Show Figures

Figure 1

19 pages, 8223 KB  
Article
Crystal Structure vs. Vibrational Behavior of Wollastonite-1A from Băița Bihor, Bihor Mountains, Romania
by Ştefan Marincea, Delia-Georgeta Dumitraş, Frédéric Hatert, Cristina Sava Ghineț, George Dincă, Aurora-Măruța Iancu and Martin Depret
Crystals 2026, 16(4), 247; https://doi.org/10.3390/cryst16040247 - 7 Apr 2026
Viewed by 159
Abstract
Wollastonite-1A from Băița Bihor occurs in distal calcic skarns developed in the contact zone of a mainly granodioritic batholith, of Upper Cretaceous age, with Mesozoic limestones and dolostones. Wollastonite generally occurs in the inner part of metasomatic columns, in monomineralic skarns or [...] Read more.
Wollastonite-1A from Băița Bihor occurs in distal calcic skarns developed in the contact zone of a mainly granodioritic batholith, of Upper Cretaceous age, with Mesozoic limestones and dolostones. Wollastonite generally occurs in the inner part of metasomatic columns, in monomineralic skarns or associated with grossular and molybdenite-2H as ore mineral. The physical properties (i.e., refraction indices α = 1.616, β = 1.629, and γ = 1.631, 2Vα = 39° and density Dm = 2.922(3) g/cm3) are typical for a term close to the stoichiometry, which is confirmed by the chemical analysis. The chemical structural formula of the analyzed wollastonite-1A is (Ca1.000Mg0.002Mn0.001Fe0.001)(Al0.004Ti0.001Si0.994)O3, which closely approximates the ideal CaSiO3. The Gladstone–Dale compatibility indices account for an excellent agreement between physical and chemical data. The mineral can be satisfactorily refined as triclinic, space group P1¯, with R1 = 0.0678 and cell parameters a = 7.9233(3) Å, b = 7.3203(3) Å, c = 7.0651(3) Å, α = 90.053(3)°, β = 95.208(3)°, γ = 103.384(3)°. Both the IR and Raman spectra principally reveal bands related to vibrations of bridged and non-bridged oxygens pertaining to SiO4 structural tetrahedra. At Băița Bihor, wollastonite-1A is part of the prograde paragenesis, marked by a peak temperature of 550–600 °C. Full article
(This article belongs to the Section Mineralogical Crystallography and Biomineralization)
Show Figures

Figure 1

14 pages, 2662 KB  
Article
Modulation of Co3-Based Secondary Building Units in Metal–Organic Frameworks via Pyridine-Derived Ligands: Crystal Structures, Magnetic Properties, and Electronic Spin States
by Kanami Matsubara, Natsumi Yano, Hiroshi Sakiyama, Makoto Handa and Yusuke Kataoka
Inorganics 2026, 14(4), 104; https://doi.org/10.3390/inorganics14040104 - 4 Apr 2026
Viewed by 264
Abstract
Two trinuclear cobalt (Co3)-based metal–organic frameworks, [Co3(CHDC)3(py)4] (2; CHDC = trans-1,4-cyclohexanedicarboxylate, py = pyridine) and [Co3(CHDC)3(mpy)2]· 2DMF (3; mpy = 4-methylpyridine, DMF = N [...] Read more.
Two trinuclear cobalt (Co3)-based metal–organic frameworks, [Co3(CHDC)3(py)4] (2; CHDC = trans-1,4-cyclohexanedicarboxylate, py = pyridine) and [Co3(CHDC)3(mpy)2]· 2DMF (3; mpy = 4-methylpyridine, DMF = N,N-dimethylformamide), were successfully prepared via the solvothermal reactions of Co(NO3)2·6H2O, trans-1,4-cyclohexanedicarboxylic acid, and py/mpy in DMF solution. Single crystal X-ray diffraction analyses revealed that the Co3-secondary building units (SBUs) in 2 and 3 adopt Cooctahedral···Cooctahedral···Cooctahedral and Cotetrahedral···Cooctahedral···Cotetrahedral coordination environments, respectively, and are connected by six CHDC linkers to form two-dimensional sheet structures with a triangular lattice. The structural differences of these Co3-SBUs led to clear differences in the magnetic properties and electronic spin states of 2 and 3; temperature-dependent magnetic susceptibility measurements revealed that 2 and 3 exhibited antiferromagnetic and ferromagnetic interactions, respectively, within the Co3-SBUs. These experimental magnetic results are consistent with the density-functional theory calculations of the model structures of Co3-SBUs, which indicate that the most stable spin states are S = 3/2 for 2 and S = 9/2 for 3. Full article
Show Figures

Figure 1

5 pages, 356 KB  
Short Note
(1S,2R,3aR,6S,8aS)-1-Isopropyl-3a,6-Dimethyldecahydroazulene-1,2,6-Triol from Trichoderma virens
by Desita Triana Aziz, Resky Nugraha, Marwah Wirda Ningsih, Zetryana Puteri Tachrim, Yuta Murai and Makoto Hashimoto
Molbank 2026, 2026(2), M2158; https://doi.org/10.3390/M2158 - 2 Apr 2026
Viewed by 285
Abstract
A novel derivative from carotene-type sesquiterpene, (1S,2R,3aR,6S,8aS)-1-isopropyl-3a,6-dimethyldecahydroazulene-1,2,6-triol (1), was successfully isolated from filamentous fungus Trichoderma virens NBRC 31959. The structure and molecular formula of 1 were determined by interpretation of 1D [...] Read more.
A novel derivative from carotene-type sesquiterpene, (1S,2R,3aR,6S,8aS)-1-isopropyl-3a,6-dimethyldecahydroazulene-1,2,6-triol (1), was successfully isolated from filamentous fungus Trichoderma virens NBRC 31959. The structure and molecular formula of 1 were determined by interpretation of 1D and 2D NMR and HRMS data. The absolute configuration was established unambiguously by single-crystal X-ray diffraction, with the Flack parameter supporting the assignment. This study adds to the chemical diversity of sesquiterpene-type CAF603 derivatives of Trichoderma virens. Full article
(This article belongs to the Section Natural Product Chemistry)
Show Figures

Figure 1

13 pages, 3078 KB  
Communication
(Li0.4Co0.2Ni0.2Cu0.2Zn0.2)WO4: A Novel High-Entropy Wolframite Ceramic with Tailored Microwave Dielectric Properties
by Yutao Sun, Xiong Zhou, Guangshu Feng, Bingli Li, Daode Yang, Dacheng Zhou, Jin Han, Qi Wang and Yong Yang
Materials 2026, 19(7), 1421; https://doi.org/10.3390/ma19071421 - 2 Apr 2026
Viewed by 252
Abstract
(Li0.4Co0.2Ni0.2Cu0.2Zn0.2)WO4 high-entropy ceramics were prepared by a conventional solid-state reaction route. This study thoroughly explores the interrelationships between their crystal structure, bond properties, and microwave dielectric characteristics. X-ray diffraction analysis verified that [...] Read more.
(Li0.4Co0.2Ni0.2Cu0.2Zn0.2)WO4 high-entropy ceramics were prepared by a conventional solid-state reaction route. This study thoroughly explores the interrelationships between their crystal structure, bond properties, and microwave dielectric characteristics. X-ray diffraction analysis verified that all specimens crystallized in a single-phase ZnWO4-type structure. According to Rietveld refinement of the XRD data, the lattice parameters are affected by the ionic radii of the constituent elements, confirming their dissolution and random distribution at Zn sites. Relative density exhibited a strong dependence on sintering temperature. Bonding analysis highlights the crucial role of the W–O bond in governing the dielectric response of the (Li0.4Co0.2Ni0.2Cu0.2Zn0.2)WO4 (LCNCZW) ceramics. Moreover, sinterability can be improved through optimizing the sintering process. Notably, samples sintered at 850 °C attained suitable dielectric performance, characterized by εᵣ = 11.697 ± 0.204, Q × f = 23,851 ± 0.126 GHz, and τf = 21.335 ± 0.232 ppm/°C. These results demonstrate that high-entropy design can effectively improve the sinterability and microwave dielectric performance of wolframite-type ceramics, offering a promising strategy for the development of microwave dielectric ceramics for communication devices. Full article
(This article belongs to the Section Advanced and Functional Ceramics and Glasses)
Show Figures

Figure 1

11 pages, 2322 KB  
Article
Synthesis, Crystal Structure, and Optical Properties of α-SrHfS3
by K. Arun Joshi Reddy, Subhendu Jana, Sweta Yadav and Paul A. Maggard
Solids 2026, 7(2), 20; https://doi.org/10.3390/solids7020020 - 2 Apr 2026
Viewed by 230
Abstract
Metal-chalcogenide compounds with perovskite-type compositions have drawn increasing attention for their optical properties for solar energy conversion. Herein, a new α-type polymorph of the ternary sulfide SrHfS3 is described, crystallizing in the NH4CdCl3 structure type. The yellow-colored plate-shaped [...] Read more.
Metal-chalcogenide compounds with perovskite-type compositions have drawn increasing attention for their optical properties for solar energy conversion. Herein, a new α-type polymorph of the ternary sulfide SrHfS3 is described, crystallizing in the NH4CdCl3 structure type. The yellow-colored plate-shaped crystals were synthesized at 1173 K using an elemental tin flux in an evacuated sealed tube. Its crystal structure was characterized at room temperature using single crystal X-ray diffraction to form in the orthorhombic Pnma space group, with the refined cell parameters of a = 8.5041(4) Å, b = 3.8004(2) Å, c = 13.8935(6) Å, and V = 449.02(4) Å3. The structure comprises five independent crystallographic sites, having one Sr, one Hf, and three S sites. The structure can be described as containing one-dimensional chains of distorted HfS6 octahedra extending down the b-axis to form 1[HfS3]2− strips of edge-sharing octahedra. The Sr atoms act as charge-balancing space fillers in the structure. High-purity bulk samples of α-SrHfS3 could be prepared for measurement of its bandgap by optical diffuse-reflectance spectroscopy, showing a direct bandgap of 2.1(1) eV. Results of electronic structure calculations are consistent with this bandgap and type. The conduction and valence band edges stem from the respective empty Hf d-orbitals and the filled S p-orbital states. In summary, crystal growth of the α-type polymorph of SrHfS3 has been demonstrated using a Sn flux approach, which can facilitate future broader synthetic explorations at lower temperatures. Full article
Show Figures

Graphical abstract

10 pages, 2300 KB  
Article
Synthesis and Structure of a Mononuclear Palladium(I) Complex and Its Catalytic Activity for Suzuki–Miyaura Cross-Coupling Reaction by Immobilizing on SBA-15
by Chong Chen, Tian-Tian Sun, Xin-Ya Zhou, Mei-Feng Chen and Qian-Feng Zhang
Crystals 2026, 16(4), 235; https://doi.org/10.3390/cryst16040235 - 1 Apr 2026
Viewed by 274
Abstract
Treatment of palladium precursor Pd(PPh3)Cl2 with equivalent arylfluorodithiophosphato ligand [PPh4][(4-EtO-C6H4)FPS2] in chloroform at reflux resulted in a mononuclear palladium(I)–sulfur complex cis-[Pd(PPh3)2{κ2-S,S′ [...] Read more.
Treatment of palladium precursor Pd(PPh3)Cl2 with equivalent arylfluorodithiophosphato ligand [PPh4][(4-EtO-C6H4)FPS2] in chloroform at reflux resulted in a mononuclear palladium(I)–sulfur complex cis-[Pd(PPh3)2{κ2-S,S′-(4-EtO-C6H4)FPS2}]. This complex was characterized by UV-Vis and IR spectroscopic analysis, thermogravimetric analysis, and XPS analysis, and its molecular structure has been established by single-crystal X-ray diffraction. SBA-15, as a mesoporous material, was selected as a mesoporous silica substrate to further form a homogeneous catalyst, Pd@SBA-15, which has been characterized by IR spectroscopy, electron microscope and N2 adsorption–desorption test. In addition, the catalytic activity of Pd@SBA-15 for the Suzuki–Miyaura cross-coupling reaction was also investigated. Full article
(This article belongs to the Section Inorganic Crystalline Materials)
Show Figures

Figure 1

18 pages, 4745 KB  
Article
New Solid Forms: Structural, Supramolecular, and Dehydration-Induced Phase Transitions of Three Hydrated 17α-Alkylated Testosterone Derivatives
by Alexandru Turza, Marieta Muresan-Pop, Maria O. Miclaus and Gheorghe Borodi
Crystals 2026, 16(4), 234; https://doi.org/10.3390/cryst16040234 - 1 Apr 2026
Viewed by 252
Abstract
Synthetic derivatives of testosterone known as 17α-alkylated anabolic–androgenic steroids have been developed to retain anabolic effects while enabling oral administration. Here, we present newly identified hydrated solid forms of three agents: oxandrolone hemihydrate (C19H30O3·0.5H2O), fluoxymesterone [...] Read more.
Synthetic derivatives of testosterone known as 17α-alkylated anabolic–androgenic steroids have been developed to retain anabolic effects while enabling oral administration. Here, we present newly identified hydrated solid forms of three agents: oxandrolone hemihydrate (C19H30O3·0.5H2O), fluoxymesterone hydrate (C20H29FO3·H2O), and methandienone hemihydrate (C20H28O2·0.5H2O). Their crystal structures were determined using single-crystal X-ray diffraction, supplemented by powder X-ray diffraction and thermal analyses. Computational methods were employed to investigate molecular interactions and crystal packing. Lattice energy evaluations revealed that the hydrated forms are energetically less stable than their anhydrous counterparts, with significantly less negative values (e.g., −113.4 kJ/mol for oxandrolone hemihydrate vs. −164.4 kJ/mol for the anhydrous form). Energy decomposition analysis indicates that while water molecules participate mostly in electrostatic-driven hydrogen bonding, they disrupt the dispersive packing efficiency found in the anhydrous phases. Specifically, intermolecular interaction energies show that host–host hydrogen bonds (up to −62.2 kJ/mol in oxandrolone) dominate over weaker host–water couplings (−8.9 to −34.9 kJ/mol). The newly reported crystal structures contribute to the expanding catalog of solid-state forms for 17α-alkylated steroids and provide important details regarding their metastable nature and the dehydration-driven phase transformations observed under climatic stress conditions. Full article
(This article belongs to the Section Biomolecular Crystals)
Show Figures

Figure 1

12 pages, 982 KB  
Article
Chemical Diversity and Antitumor Metabolites from Soft Coral-Derived Fungus Aspergillus sclerotiorum SCSIO 41031 via OSMAC Strategy
by Juan Gao, Jieyi Long, Xiaoyan Pang, Xuefeng Zhou, Yonghong Liu and Bin Yang
Mar. Drugs 2026, 24(4), 128; https://doi.org/10.3390/md24040128 - 31 Mar 2026
Viewed by 304
Abstract
Microorganisms provide critical lead compounds for drug development, yet most biosynthetic gene clusters remain silent under standard culture conditions. The OSMAC strategy activates these clusters by adjusting cultivation parameters, thereby enabling the discovery of novel compounds from a single strain. Here, we applied [...] Read more.
Microorganisms provide critical lead compounds for drug development, yet most biosynthetic gene clusters remain silent under standard culture conditions. The OSMAC strategy activates these clusters by adjusting cultivation parameters, thereby enabling the discovery of novel compounds from a single strain. Here, we applied OSMAC to explore the metabolic potential of the soft coral-derived fungus Aspergillus sclerotiorum SCSIO 41031. Three different culture media were employed for the large-scale fermentation process. After isolation by chromatography, the compounds were structurally characterized using NMR, MS, and X-ray single-crystal diffraction, and their absolute configurations were determined by electronic circular dichroism (ECD) calculations. In total, three new compounds, named 6,6′-diacetyl-1,1′-dihydroxy-3,3′-dimethoxydibenzyl ether (1), esterwortmannolol (17) and pestalpolyol I (20), along with 19 known compounds (216, 1819 and 2122) were obtained. This study validates the efficacy of the OSMAC strategy and underscores that A. sclerotiorum SCSIO 41031 serves as a valuable resource for producing structurally diverse natural products with potent biological activities. Full article
Show Figures

Graphical abstract

11 pages, 840 KB  
Article
The Crystal Structure of the GG-Rich DNA Quadruplex Sequence GGGGTTTTGGGG in Presence of Zn2+ and K+ Ions
by Hristina Sbirkova-Dimitrova, Hristo Gerginov and Boris L. Shivachev
Crystals 2026, 16(4), 223; https://doi.org/10.3390/cryst16040223 - 27 Mar 2026
Viewed by 317
Abstract
The structural characterization of GG-rich DNA sequences in presence of metal ions provides essential insight into quadruplex stability and ion-dependent conformational specifics. We report the crystal structure of the GG-quadruplex formed by the sequence GGGGTTTTGGGG in the presence of Zn2+, K [...] Read more.
The structural characterization of GG-rich DNA sequences in presence of metal ions provides essential insight into quadruplex stability and ion-dependent conformational specifics. We report the crystal structure of the GG-quadruplex formed by the sequence GGGGTTTTGGGG in the presence of Zn2+, K+, and Na+. It was deposited in the RCSB Protein Data Bank under the accession code 9FTA. The structure was determined by single-crystal X-ray diffraction at a resolution of 2.49 Å in the space group P212121. It reveals a parallel-stranded, two-G-tetrad stabilized by K+ ions within the central channel, while Na+ and Zn2+ occupy peripheral and groove-associated sites. Zn2+ ions are engaged in noncanonical coordination interactions with phosphate oxygens and structured water molecules, contributing to lattice stabilization and subtle adjustments in groove dimensions. The T4 loop forms a compact, ordered motif that contributes to crystal packing rather than intramolecular G4 stabilization. The presence of mixed cations produces a sole lattice architecture mediated by ions that provides structural insight into how bivalent and monovalent metals mutually modulate G-quadruplex topology. These results suggest a basis for understanding the specific ion effects on G4 structures and may direct the design of metal open DNA architectures. Full article
Show Figures

Figure 1

16 pages, 2057 KB  
Article
Self-Assembly and Crystal Structure of Boc-Protected Dipeptides Containing L-Phenylalanine and L-Tyrosine
by Rosa M. F. Baptista, Alejandro P. Ayala, Clara S. B. Gomes, Daniela Santos, Michael S. Belsley and Etelvina de Matos Gomes
Materials 2026, 19(7), 1319; https://doi.org/10.3390/ma19071319 - 26 Mar 2026
Viewed by 378
Abstract
The self-assembly of a novel synthesized chiral dipeptide, Boc-p-nitro-L-phenylalanyl-tyrosine, into supramolecular structures is investigated by optical absorption and photoluminescence spectroscopy as well as single crystal X-ray diffraction. The compound is a diphenylalanine derivative belonging to a family of aromatic dipeptides that spontaneously self-organize [...] Read more.
The self-assembly of a novel synthesized chiral dipeptide, Boc-p-nitro-L-phenylalanyl-tyrosine, into supramolecular structures is investigated by optical absorption and photoluminescence spectroscopy as well as single crystal X-ray diffraction. The compound is a diphenylalanine derivative belonging to a family of aromatic dipeptides that spontaneously self-organize into nanostructures through molecular recognition. The dipeptide exhibits several step-like peaks in its absorption band, indicative of self-assembly into quantum-confined nanostructures. In contrast, the parent Boc-p-nitro-L-phenylalanine amino acid lacks these features, indicating that the tyrosine residue favors quantum-confined self-assembly. Crystal structure determination reveals distinct packing styles: Boc-p-nitro-L-phenylalanine forms two-dimensional hydrogen-bonded layers, while the related p-nitro-free Boc-L-phenylalanyl-tyrosine dipeptide organizes into a 3D helical columnar architecture, driven by the additional hydrogen-bonding capacity of the peptide bond and tyrosine hydroxyl group, which favors the formation of a channel-type tetragonal architecture network over the planar sheets of the monomer. Furthermore, the introduction of a tyrosine residue into the Boc-p-nitro-L-phenylalanine molecule alters its supramolecular assembly, as the dipeptide Boc-p-nitro-L-phenylalanyl-tyrosine crystallizes as a monohydrate. The water molecule present in the structure acts as a bridge, participating in a hydrogen-bonding network between the tyrosine hydroxyl groups of neighboring columns through intermolecular interactions. Full article
(This article belongs to the Special Issue Material Characterizations Using X-Ray Techniques)
Show Figures

Figure 1

8 pages, 1081 KB  
Short Note
1-(2-Aminophenyl)-3-(4-pyridyl)-3-hydroxy-1-propanone
by Yahaira Cuenú Ibargüen, Fernando Cuenú-Cabezas and Jovanny A. Gómez Castaño
Molbank 2026, 2026(2), M2155; https://doi.org/10.3390/M2155 - 25 Mar 2026
Viewed by 261
Abstract
This work reports the isolation and structural characterization of 1-(2-aminophenyl)-3-(4-pyridyl)-3-hydroxy-1-propanone (1), a β-hydroxyketone intermediate that crystallized unexpectedly during the base-catalyzed aldol condensation of 2-aminoacetophenone with pyridine-4-carbaldehyde, a reaction intended to afford the corresponding pyridyl chalcone (2). The formation of [...] Read more.
This work reports the isolation and structural characterization of 1-(2-aminophenyl)-3-(4-pyridyl)-3-hydroxy-1-propanone (1), a β-hydroxyketone intermediate that crystallized unexpectedly during the base-catalyzed aldol condensation of 2-aminoacetophenone with pyridine-4-carbaldehyde, a reaction intended to afford the corresponding pyridyl chalcone (2). The formation of (1) highlights the sensitivity of Claisen–Schmidt reactions to the electronic and steric features of the substrates and to the applied reaction conditions. Single-crystal X-ray diffraction unambiguously confirmed the molecular structure of (1), revealing a hydrogen-bonding network involving the amino, carbonyl, and β-hydroxyl functionalities. These interactions contribute to the solid-state stabilization of the β-hydroxyketone and hinder its dehydration to chalcone (2). The present results provide experimental insight into the mechanistic landscape of aldol condensations and emphasize the relevance of isolable intermediates as structurally defined precursors for further synthetic transformations. Full article
(This article belongs to the Collection Molecules from Side Reactions)
Show Figures

Figure 1

27 pages, 3955 KB  
Article
Design, Synthesis, and Investigation of the Photoelectric Properties of Glaucine Derivatives in Sensitized Solar Cells
by Anatolii S. Burlov, Anastasia A. Shiryaeva, Valery G. Vlasenko, Yurii V. Koshchienko, Alexander A. Zubenko, Oleg P. Demidov, Bogdan V. Chaltsev, Alexandra A. Polyanskaya, Alexey N. Gusev, Elena V. Braga and Wolfgang Linert
Inorganics 2026, 14(4), 91; https://doi.org/10.3390/inorganics14040091 - 25 Mar 2026
Viewed by 392
Abstract
Two Zn(II) coordination compounds based on glaucine-derived Schiff bases were synthesized and investigated as potential materials for dye-sensitized solar cells (DSSCs). The structures of all compounds were established by X-ray diffraction analysis and quantum chemical modeling (DFT/TD-DFT). Their photophysical properties (absorption and luminescence [...] Read more.
Two Zn(II) coordination compounds based on glaucine-derived Schiff bases were synthesized and investigated as potential materials for dye-sensitized solar cells (DSSCs). The structures of all compounds were established by X-ray diffraction analysis and quantum chemical modeling (DFT/TD-DFT). Their photophysical properties (absorption and luminescence spectra in solution and the solid state), electrochemical characteristics, and photovoltaic parameters in DSSC devices were studied. The highest power conversion efficiency (PCE ~5.18%) was demonstrated by the free ligands, which is attributed to their favorable absorption spectrum and optimal alignment of energy levels relative to the conduction band of TiO2 and the redox couple of the electrolyte. The Zn(II) coordination compounds exhibited significantly lower efficiency (~2.1%). Impedance spectroscopy results indicated more efficient charge transfer at the TiO2/dye/electrolyte interface for the organic derivatives. Full article
(This article belongs to the Section Coordination Chemistry)
Show Figures

Figure 1

Back to TopTop