Sign in to use this feature.

Years

Between: -

Subjects

remove_circle_outline
remove_circle_outline
remove_circle_outline
remove_circle_outline
remove_circle_outline
remove_circle_outline
remove_circle_outline

Journals

Article Types

Countries / Regions

Search Results (151)

Search Parameters:
Keywords = Tgfbr1

Order results
Result details
Results per page
Select all
Export citation of selected articles as:
15 pages, 1887 KB  
Article
Annurca Apple Extract and Colorectal Cancer Prevention: Preliminary In Silico Evaluation of Chlorogenic Acid
by Ludovico Abenavoli, Giuseppe Guido Maria Scarlata, Maria Luisa Gambardella, Domenico Morano, Nataša Milošević, Maja Milanović and Nataša Milić
Diseases 2026, 14(1), 33; https://doi.org/10.3390/diseases14010033 - 14 Jan 2026
Viewed by 150
Abstract
Background/Objectives: Colorectal cancer (CRC) is a leading cause of cancer morbidity and mortality worldwide. Despite therapeutic advances, prevention through dietary bioactives remains a promising strategy. The Annurca apple (Malus pumila Miller cv. Annurca), a Mediterranean food rich in chlorogenic acid, exhibits antioxidant [...] Read more.
Background/Objectives: Colorectal cancer (CRC) is a leading cause of cancer morbidity and mortality worldwide. Despite therapeutic advances, prevention through dietary bioactives remains a promising strategy. The Annurca apple (Malus pumila Miller cv. Annurca), a Mediterranean food rich in chlorogenic acid, exhibits antioxidant and anti-inflammatory effects. This study evaluated, via molecular docking, the multi-target interaction profile of chlorogenic acid against key CRC-related proteins. Methods: The optimized 3D structure of chlorogenic acid was docked to ten protein targets implicated in CRC pathogenesis, using the GOLD v.2022.3.0 software. Validation of the docking protocol was achieved by re-docking native ligands (RMSD ≤ 2.0 Å). Binding affinities were assessed by ChemPLP scoring, and interaction networks were visualized in Maestro Schrödinger. Results: Chlorogenic acid displayed consistent binding across all evaluated targets (ChemPLP 57.12–69.66), showing the highest affinity for nAChR (69.66), CXCR2 (65.13), ERβ (63.18) and TGFBR2 (62.94). The ligand formed multiple hydrogen bonds and π-π stacking interactions involving Asp1040 (VEGFR-1), Cys919 (VEGFR-2), Lys320 (CXCR2), and Tyr195 residues (nAChR), contributing to strong complex stabilization. Interaction patterns in CYP19A1, ERβ, and ERRγ suggested potential modulation of hormonal and metabolic signaling. The compound also demonstrated stable binding to mTOR (60.01), indicating a possible inhibitory role in proliferative pathways. Collectively, these findings reveal a broad, polypharmacological binding profile involving angiogenic, inflammatory, and hormonal regulators. Conclusions: Chlorogenic acid acts as a promising multi-target ligand in CRC prevention, with our in silico evidence supporting its ability to modulate diverse oncogenic pathways. Further experimental studies are warranted to confirm its efficacy and translational potential. Full article
Show Figures

Figure 1

16 pages, 1334 KB  
Article
Weighted Single-Step Genome-Wide Association Study Identifies Candidate Genes for Carcass Traits and Primal Cut Yields in Hanwoo Cattle
by Jun Park, Ji Suk Yu, Sun Kyu Byun, Ho Sung Choe and Do Hyun Kim
Animals 2026, 16(1), 136; https://doi.org/10.3390/ani16010136 - 3 Jan 2026
Viewed by 281
Abstract
This study identified genomic regions associated with carcass traits and primal cut yields in Hanwoo cattle using weighted single-step genome-wide association study (WssGWAS). A total of 50,227 carcass records and genomic data from 23,573 animals with 45,057 single-nucleotide polymorphisms were analyzed. Heritability estimates [...] Read more.
This study identified genomic regions associated with carcass traits and primal cut yields in Hanwoo cattle using weighted single-step genome-wide association study (WssGWAS). A total of 50,227 carcass records and genomic data from 23,573 animals with 45,057 single-nucleotide polymorphisms were analyzed. Heritability estimates were 0.24 for carcass weight, 0.22 for eye muscle area, 0.31 for backfat thickness, and 0.36 for marbling score, while those for primal cut yields ranged from 0.02 to 0.26. For carcass traits, candidate genes were identified for carcass weight (XKR4 2.35%, COBL 1.26%), eye muscle area (LCORL 1.56%, TGFBR2 1.49%), backfat thickness (ATG7 1.27%, MYPN 1.33%), and marbling score (TWIST2 1.16%, BMP4 1.14%). For primal cut yields, the chromosome 6 region containing WDR1 was commonly identified across six traits and the chromosome 4 region containing CACNA2D1 across five traits; the chromosome 28 region containing SIRT1 explained the highest genetic variance (6.46%) for striploin. These pleiotropic regions are potential targets for genomic selection to improve production efficiency and carcass value in Hanwoo. Full article
(This article belongs to the Special Issue Advances in Cattle Genetics and Breeding)
Show Figures

Figure 1

19 pages, 1035 KB  
Article
The Transforming Growth Factor β Genes and Susceptibility to Musculoskeletal Injuries in a Physically Active Caucasian Cohort
by Agata Rzeszutko-Bełzowska and Agata Leońska-Duniec
J. Clin. Med. 2026, 15(1), 358; https://doi.org/10.3390/jcm15010358 - 3 Jan 2026
Viewed by 244
Abstract
Background/Objectives: Changes in the physiological activity of transforming growth factor-beta (TGF-β) family caused by genetic variability may significantly affect the phenotype of the musculoskeletal system and, consequently, the risk of sports injuries. This study aimed to investigate whether the TGFBI (rs1442), TGFBR3 [...] Read more.
Background/Objectives: Changes in the physiological activity of transforming growth factor-beta (TGF-β) family caused by genetic variability may significantly affect the phenotype of the musculoskeletal system and, consequently, the risk of sports injuries. This study aimed to investigate whether the TGFBI (rs1442), TGFBR3 (rs1805113 and rs1805117), and MSTN (rs11333758) polymorphisms, either individually or in combination, were associated with susceptibility to muscle injury, anterior cruciate ligament (ACL) rupture, and other injuries. Methods: The study group included 202 physically active Caucasians with reported sport injuries and 133 healthy controls. All the samples were genotyped using real-time polymerase chain reaction (real-time PCR). Results: The results revealed that (1) the TGFBR3 rs1805117 TC genotype was nominally associated with increased ACL injury risk; (2) the MSTN rs11333758 heterozygotes was more frequent in the one injury group (vs controls) and in the ACL group, whereas in the multiple vs. one comparison the over-dominant model suggested lower odds for heterozygotes; and (3) the TGFBI rs1442 CG genotype was nominally associated with lower odds of fractures, dislocations or sprains. In addition, simultaneous analysis of chosen SNPs revealed interactions between TGFBR3 rs1805117 and rs1805113, with a nominal association of the rs1805113 G allele with increased injury risk, as did rs11333758 and rs1805113, with a potential effect of rs11333758 on injury status. However, haplotype analysis of the TGFBR3 SNPs revealed no significant associations. After Bonferroni correction, none of the associations remained statistically significant. Conclusions: The results suggested that carrying specific TGFBI, TGFBR3, and MSTN genotypes may be potentially associated with susceptibility to musculoskeletal injuries in a physically active Caucasians. Full article
(This article belongs to the Section Sports Medicine)
Show Figures

Figure 1

12 pages, 2548 KB  
Article
Effects of TGFBR1 on Proliferation of Dermal Papilla Cells in Fine-Wool Sheep
by Tong Xiao, Yu Luo, Chao Yuan, Yufang Song, Jianxiang Tang, Zengkui Lu, Jianbin Liu and Tingting Guo
Animals 2026, 16(1), 36; https://doi.org/10.3390/ani16010036 - 23 Dec 2025
Viewed by 331
Abstract
Dermal papilla cells (DPCs) serve as the signaling hub regulating hair follicle (HF) development and cyclical growth. This study aims to investigate the biological function and molecular mechanisms of TGFBR1 (transforming growth factor β receptor 1), a differentially expressed gene identified through single-cell [...] Read more.
Dermal papilla cells (DPCs) serve as the signaling hub regulating hair follicle (HF) development and cyclical growth. This study aims to investigate the biological function and molecular mechanisms of TGFBR1 (transforming growth factor β receptor 1), a differentially expressed gene identified through single-cell transcriptomic sequencing (scRNA-seq) in the DPCs from fine-wool sheep. Primary DPCs were isolated and purified using a combination of enzymatic digestion and mechanical dissociation, followed by immunofluorescence identification (α-SMA and SOX2-positive). Following successful transfection with constructed TGFBR1 overexpression plasmids and siRNA interference vectors, cell proliferation was assessed via EDU staining and CCK-8 assays. mRNA expression of key genes in Wnt/β-catenin, BMP, and Notch signaling pathways (PCNA, CCND1, CTNNB1, SFRP2, BMP2, NOTCH3, SMAD4, etc.) was validated by RT-qPCR. Single-cell transcriptomics revealed significant downregulation of TGFBR1 in DPCs from fine-wool sheep. Functional validation demonstrated that TGFBR1 overexpression markedly suppressed DPC proliferation, whereas knockdown of TGFBR1 expression promoted DPC proliferation. Molecular mechanism studies showed that TGFBR1 overexpression significantly downregulated PCNA, CCND1, CTNNB1, NOTCH3, and SMAD4 while upregulating SFRP2, BMP2, and TGFB1 expression. These findings demonstrate that TGFBR1 acts as a negative regulator of DPCs proliferation by modulating the activity of multiple signaling pathways, including Wnt/β-catenin, BMP, and Notch, thereby suppressing the proliferative capacity of DPCs. This study not only provides new theoretical support for elucidating the role of the TGF-β signaling pathway in H development but also offers theoretical reference for in-depth research on molecular breeding in ultra -fine-wool sheep and the molecular mechanisms underlying HF development. Full article
(This article belongs to the Section Small Ruminants)
Show Figures

Figure 1

14 pages, 1822 KB  
Article
Effects of miR-128-3p on Renal Inflammation in a Rat Periodontitis Model
by Mohammad Nurhamim, Yixuan Zhang, Momoko Nakahara, Daiki Fukuhara, Yosei Nagashima, Takayuki Maruyama, Manabu Morita and Daisuke Ekuni
Dent. J. 2025, 13(12), 577; https://doi.org/10.3390/dj13120577 - 3 Dec 2025
Viewed by 771
Abstract
Objectives: The study aim was to investigate the effects of extracellular vesicles (EVs) derived miR-128-3p on renal inflammation using a rat periodontitis model. Methods: Ten-week-old male Wistar rats were divided into two groups: a control (n = 8) and a lipopolysaccharides (LPS) [...] Read more.
Objectives: The study aim was to investigate the effects of extracellular vesicles (EVs) derived miR-128-3p on renal inflammation using a rat periodontitis model. Methods: Ten-week-old male Wistar rats were divided into two groups: a control (n = 8) and a lipopolysaccharides (LPS) group (n = 8). The LPS group received LPS (Porphyromonas gingivalis) injection in the gingiva for 7 days. At the end of the experiment, plasma, gingival tissue, and kidney samples were collected. Hematoxylin and eosin staining was performed to evaluate the glomerular tissue injury score. Bioinformatic analysis was conducted to identify potential target genes of miR-128-3p. The reverse transcription-quantitative polymerase chain reaction was performed to evaluate miR-128-3p, inflammatory, pro-inflammatory cytokine, chemokine and predicting gene’s expression. The control and LPS groups were compared using Welch’s t-test. p-values < 0.05 were considered to indicate statistical significance. Results: The kidney glomerular tissue injury score was significantly higher in the LPS than in the control group. miR-128-3p expression in the LPS group was significantly higher in the gingival tissue and plasma. mRNAs (interleukin [IL]-1β, tumor necrosis factor [TNF]-α, C-X3-C motif chemokine ligand 1 [CX3CL1], and C-X-C motif chemokine ligand 7 [CXCL7]) expression was higher in the kidney of the LPS group. The potential target genes of activin A receptor type I (Acvr1), ribosomal protein S6 kinase B1 (Rps6kb1), and transforming growth factor beta receptor type 1 (Tgfbr1) were significantly lower in the kidneys of the LPS group. Conclusions: EVs-derived miR-128-3p in LPS induced periodontitis may cause kidney inflammation which may be mediated by, Rps6kb1, Tgfbr1, and Acvr1. Full article
Show Figures

Graphical abstract

16 pages, 2980 KB  
Article
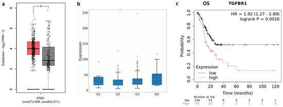
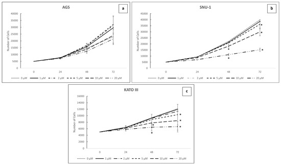
TGF-β Receptor Inhibitor SB431542 Enhanced the Sensitivity of Gastric Cancer to 5-Fluorouracil: New Combined Targeted Therapy
by Sara Bonomo, Roberto Giovannoni, Marialuisa Lavitrano, Massimiliano Cadamuro and Donatella Conconi
Int. J. Mol. Sci. 2025, 26(23), 11250; https://doi.org/10.3390/ijms262311250 - 21 Nov 2025
Viewed by 791
Abstract
Gastric cancer (GC) continues to be a major cause of cancer-related deaths globally, primarily due to resistance to standard treatments like 5-fluorouracil (5FU). The transforming growth factor-β (TGF-β) signaling pathway is recognized as a key contributor to tumor progression and resistance to therapy. [...] Read more.
Gastric cancer (GC) continues to be a major cause of cancer-related deaths globally, primarily due to resistance to standard treatments like 5-fluorouracil (5FU). The transforming growth factor-β (TGF-β) signaling pathway is recognized as a key contributor to tumor progression and resistance to therapy. This work investigated the therapeutic potential of targeting TGF-β receptor I (TGFBR1) with the selective inhibitor SB431542 to enhance the effect of 5FU in GC. Analysis of public gene expression datasets revealed that increased levels of TGF-β and TGFBR1 are significantly connected with poor prognosis, particularly in high-grade GC. In vitro experiments using AGS and SNU-1 cell lines demonstrated that co-treatment with SB431542 and 5FU significantly reduced cell viability, making GC cells more sensitive to 5FU. This combination treatment led to a significant activation of caspase-dependent apoptosis, indicating an enhanced pro-apoptotic effect. These findings suggest that TGFBR1 inhibition could provide a strategic approach to reduce the dosage of 5FU, thereby minimizing its severe side effects in gastric cancer patients. Furthermore, these results underscore the potential of TGFBR1 as both a prognostic biomarker and a therapeutic target, warranting further investigation in aggressive forms of gastric cancer. Full article
(This article belongs to the Section Molecular Oncology)
Show Figures

Figure 1

24 pages, 11969 KB  
Article
Regulation of TGF-β and BMP Signaling by Natural Triterpene Compounds in Pulmonary Arterial Hypertension (PAH)
by Sila Ozlem Sener, Sabita Shaha, Saltan Gülçin İşcan, Ufuk Ozgen, Merve Yuzbasioglu Baran, Aleyna Nalcaoğlu and Md Talat Nasim
Curr. Issues Mol. Biol. 2025, 47(11), 939; https://doi.org/10.3390/cimb47110939 - 12 Nov 2025
Viewed by 833
Abstract
Pulmonary arterial hypertension (PAH) is a devastating cardiovascular disorder caused by right heart failure leading to premature death. The TGFBR2 and BMPR-II receptors, which are members of the TGF-β receptor family, are considered promising targets for developing novel drugs in PAH. Lupeol and [...] Read more.
Pulmonary arterial hypertension (PAH) is a devastating cardiovascular disorder caused by right heart failure leading to premature death. The TGFBR2 and BMPR-II receptors, which are members of the TGF-β receptor family, are considered promising targets for developing novel drugs in PAH. Lupeol and ψ-taraxasterol, naturally occurring triterpene molecules with proven anti-inflammatory, anti-cancer, and cardioprotective activities, hold considerable potential in the treatment of PAH. Hence, the present study aimed to evaluate the impacts of lupeol and ψ-taraxasterol isolated from Cirsium sintenisii Freyn on the TGF-β and BMP pathways, aiming to determine their therapeutic values in PAH. The effects of the compounds were extensively investigated using both in silico and wet lab experiments, including reporter assays, RT-PCR/QPCR, Western blots, and cell proliferations assays. Both lupeol and ψ-taraxasterol demonstrated interactions with the majority of components of these signaling pathways, including the TGFBR2 and BMPR-II receptors, suggesting that both compounds were capable of modulating the BMP and TGF-β pathways. Data derived from reporter assays, RT-PCR/QPCR, and Western blots demonstrated that lupeol and ψ-taraxasterol inhibited the TGF-β signaling pathway by reducing the phosphorylation of the SMAD3 protein and the expression of pai-1 transcripts. Additionally, ψ-taraxasterol enhanced BMP signaling via regulating the phosphorylation of SMAD1/5 proteins and upregulated the expression of id-1 transcripts. Finally, lupeol and ψ-taraxasterol inhibited abnormal proliferation of mutant-type (bmpr2R899X+/-) PAMSCs stimulated with the TGF-β1 ligand with no discernible effects on wild-type cells. This is the first comprehensive report outlining the potential therapeutic effects of lupeol and ψ-taraxasterol in PAH, which may have immediate experimental and clinical applications not only in PAH but also other BMP- and TGF-β-associated disorders. Full article
Show Figures

Figure 1

17 pages, 2820 KB  
Article
Oxford Nanopore Technologies [ONT] Sequencing: Clinical Validation in Genetically Heterogeneous Disorders
by Mario Urtis, Chiara Paganini, Viviana Vilardo, Antonio Tescari, Samantha Minetto, Claudia Cavaliere, Andrea Pilotto, Carmela Giorgianni, Alessia Cattaneo, Marilena Tagliani, Maurizia Grasso, Alexandra Smirnova, Payam Ebadi, Valentina Barzon, Valentina Favalli, Andrea Bimbocci, Marta Baragli, Alberto Magi, Alessandra Renieri and Eloisa Arbustini
Genes 2025, 16(11), 1325; https://doi.org/10.3390/genes16111325 - 3 Nov 2025
Viewed by 2560
Abstract
Background/Objectives: Short-read-sequencing (SRS) is currently the standard for genetic testing in inherited human diseases. Intrinsic limitations include PCR dependency, restricted read length, and challenges in identifying structural variants (SVs), copy number variations (CNVs), and intronic small variants (SNVs/indels). Long-read-sequencing (LRS) enables the [...] Read more.
Background/Objectives: Short-read-sequencing (SRS) is currently the standard for genetic testing in inherited human diseases. Intrinsic limitations include PCR dependency, restricted read length, and challenges in identifying structural variants (SVs), copy number variations (CNVs), and intronic small variants (SNVs/indels). Long-read-sequencing (LRS) enables the sequencing of long DNA molecules, detection of deep intronic variants, rapid testing of few samples, and improved resolution of SVs, CNVs, and SNVs/indels. We therefore aimed to validate Oxford Nanopore Technologies (ONT) LRS for potential clinical application. Methods: We evaluated the ONT’s ability to detect pathogenic/likely pathogenic (P/LP) variants previously identified by SRS and confirmed via Sanger sequencing, Multiplex-Ligation-dependent-Probe-Amplification (MLPA), or quantitative-PCR (qPCR). In total, 509 samples were analyzed, including 393 with P/LP variants and 116 negative controls. We used CE-IVD panels HEVA pro, CARDIO pro, BRaCA panel, and ClinEX pro (4Bases-CH). Sequencing was performed on MinION, GridION, and PromethION-2 platforms. Data were analyzed using the 4eVAR pipeline. Results: ONT successfully identified all P/LP variants across the panels (sensitivity 100%); identified a previously missed CNV in ENG gene; precisely defined the breakpoints of a del(13q) (unsuspected and diagnosed as BRCA2 del ex2–14); improved the coverage profiles in difficult-to-map regions (e.g., ex1 TGFBR1, PSM2CL); expanded the coverage of out-of-target deep intronic regions; and allowed for the set-up of fast-track tests (<24 h) for urgent clinical needs. Conclusions: Our findings demonstrate that ONT LRS provides diagnostic performance comparable to SRS, with significant advantages in resolving complex and previously undetectable variants. Ongoing developments are further increasing read length, expanding detectable targets, and potential clinical applications. Full article
(This article belongs to the Section Bioinformatics)
Show Figures

Graphical abstract

17 pages, 4071 KB  
Article
NKX6-3 in B-Cell Progenitor Differentiation and Leukemia
by Stefan Nagel, Corinna Meyer and Claudia Pommerenke
Genes 2025, 16(10), 1199; https://doi.org/10.3390/genes16101199 - 14 Oct 2025
Viewed by 658
Abstract
Early B-cell development is primarily regulated at the transcriptional level and comprises the consecutive differentiation stages B-cell progenitor, pro-B-cell and pre-B-cell. These entities provide the cells of origin in B-cell precursor acute lymphoid leukemia (BCP-ALL) that show aberrations of developmental transcription factors (TFs), [...] Read more.
Early B-cell development is primarily regulated at the transcriptional level and comprises the consecutive differentiation stages B-cell progenitor, pro-B-cell and pre-B-cell. These entities provide the cells of origin in B-cell precursor acute lymphoid leukemia (BCP-ALL) that show aberrations of developmental transcription factors (TFs), representing major oncogenic drivers. Analysis of physiological TFs in these developmental entities helps us to understand their normal and disturbed activities and regulatory connections. Here, we focused on NKL-subclass homeodomain TF NKX6-3, which is active in both normal B-cell progenitors and TCF3::PBX1 fusion gene-positive BCP-ALL cases. By performing siRNA-mediated knockdown and forced expression experiments in BCP-ALL model cell lines, we established a gene regulatory network for NKX6-3 together with TALE-class homeodomain TFs IRX1 and MEIS1, as well as ETS-TF SPIB. Importantly, NKX6-3 was activated by TCF3::PBX1, underlying their co-expression in BCP-ALL. Furthermore, comparative expression profiling analysis of public BCP-ALL patient data revealed TGFb-pathway in-hibitor CD109 as a downregulated target gene of NKX6-3. TGFb-signalling, in turn, enhanced NKX6-3 expression, indicating mutual activation. Finally, RNA-seq analysis of BCP-ALL cell line RCH-ACV after NKX6-3 knockdown revealed MPP7 as an upregulated target gene of both NKX6-3 and TCF3::PBX1, revealing a role for the HIPPO-pathway in B-cell progenitors and TCF3::PBX1-positive BCP-ALL. Collectively, our data introduce novel players and regulatory connections to normal and aberrant TF-networks in B-cell progenitors to serve as potential diagnostic markers or therapeutic targets. Full article
(This article belongs to the Section Molecular Genetics and Genomics)
Show Figures

Figure 1

27 pages, 5020 KB  
Article
The S1P/S1P1 Signaling Axis Plays Regulatory Functions in the Crosstalk Between Brain-Metastasizing Melanoma Cells and Microglia
by Orit Adir, Orit Sagi-Assif, Shlomit Ben-Menachem, Isaac P. Witz and Sivan Izraely
Cancers 2025, 17(19), 3175; https://doi.org/10.3390/cancers17193175 - 29 Sep 2025
Viewed by 660
Abstract
Background/Objectives: The interaction between brain-metastasizing melanoma cells and surrounding microglia shapes the immune tumor microenvironment and influences tumor progression. Gene expression analysis revealed that sphingosine-1-phosphate receptor 1 (S1PR1), encoding the S1P1 receptor, is upregulated in microglia upon interaction with melanoma cells. [...] Read more.
Background/Objectives: The interaction between brain-metastasizing melanoma cells and surrounding microglia shapes the immune tumor microenvironment and influences tumor progression. Gene expression analysis revealed that sphingosine-1-phosphate receptor 1 (S1PR1), encoding the S1P1 receptor, is upregulated in microglia upon interaction with melanoma cells. Here, we investigated the functions of S1P1 in microglia and its contribution to melanoma–microglia crosstalk. Methods: We examined the effects of S1P1 inhibition on microglia and four brain-metastasizing human melanoma cell lines in monocultures and co-cultures using the selective S1P1 antagonist NIBR0213 and S1PR1 gene knockdown. Results: We found that melanoma-secreted IL-6 upregulated S1PR1 expression in microglia. S1P1 inhibition increased expression of CD32, CD150, and CD163 in microglia; however, CD150 and CD163 upregulation was abolished in the presence of melanoma cells. S1P1 inhibition downregulated immunosuppressive and anti-inflammatory factors in microglia, including CD274, SOCS3, TGFBR1, TGFBR2, and JunB, promoting a pro-inflammatory phenotype. It also reduced viability of both melanoma and microglia cells, inducing apoptosis in melanoma-associated microglia, possibly via downregulation of CH25H, an upstream regulator of SREBPs. In co-cultures, melanoma cells were more sensitive than microglia to NIBR0213-induced growth arrest. In 3D spheroid cultures, NIBR0213 delayed melanoma–microglia aggregation. Combined treatment with the BRAF inhibitor Vemurafenib and NIBR0213 enhanced Vemurafenib efficacy in three of four melanoma lines. Conclusions: S1P1 contributes to the immunosuppressive phenotype of microglia. Inhibiting the S1P/S1P1 axis impairs viability and crosstalk between melanoma cells and tumor-activated microglia, offering a potential therapeutic strategy for melanoma brain metastases. Full article
Show Figures

Graphical abstract

24 pages, 5198 KB  
Article
Artificial Intelligence-Enhanced Precision Medicine Reveals Prognostic Impact of TGF-Beta Pathway Alterations in FOLFOX-Treated Early-Onset Colorectal Cancer Among Disproportionately Affected Populations
by Fernando C. Diaz, Brigette Waldrup, Francisco G. Carranza, Sophia Manjarrez and Enrique Velazquez-Villarreal
Int. J. Mol. Sci. 2025, 26(18), 9067; https://doi.org/10.3390/ijms26189067 - 17 Sep 2025
Viewed by 933
Abstract
Early-onset colorectal cancer (EOCRC; <50 years) incidence is increasing most rapidly among Hispanic/Latino (H/L) populations. While the transforming growth factor–beta (TGF-β) pathway influences colorectal cancer (CRC) progression, its prognostic role in FOLFOX-treated EOCRC, particularly in H/L patients, is unclear. We analyzed 2515 CRC [...] Read more.
Early-onset colorectal cancer (EOCRC; <50 years) incidence is increasing most rapidly among Hispanic/Latino (H/L) populations. While the transforming growth factor–beta (TGF-β) pathway influences colorectal cancer (CRC) progression, its prognostic role in FOLFOX-treated EOCRC, particularly in H/L patients, is unclear. We analyzed 2515 CRC cases (H/L = 266; NHW = 2249) stratified by ancestry, age at onset, and FOLFOX treatment using Fisher’s exact, chi-square, and Kaplan–Meier analyses. We then applied AI-HOPE and AI-HOPE-TGFβ, conversational artificial intelligence (AI) platforms that integrate clinical, genomic, and treatment data, to perform complex, natural language-driven queries requiring multi-parameter integration. TGF-β pathway alterations occurred in 28–39% of H/L and 23–31% of NHW patients, with SMAD4 being the predominant driver. BMPR1A mutations were enriched in FOLFOX-treated EO H/L patients (5.5% vs. 1.1% EO NHW; p = 0.0272), while late-onset NHW non-FOLFOX cases had higher SMAD2/TGFBR2 mutation rates. In FOLFOX-treated EO H/L patients, TGF-β pathway alterations predicted poorer survival (p = 0.029); no survival impact was seen in other groups. SMAD4 mutations were less frequent in EO H/L than in EO NHW receiving FOLFOX (2.74% vs. 13.87%; p = 0.013). TGF-β pathway alterations may serve as ancestry- and treatment-specific biomarkers of poor prognosis in FOLFOX-treated EO H/L CRC. AI-enabled integration accelerated biomarker discovery, supporting precision medicine. Full article
(This article belongs to the Special Issue Molecular Diagnosis and Treatment of Colorectal Cancer)
Show Figures

Figure 1

11 pages, 242 KB  
Article
Genetic Insights into Hemiplegic Migraine: Whole Exome Sequencing Highlights Vascular Pathway Involvement via Association Analysis
by Zizi Molaee, Robert A. Smith, Neven Maksemous and Lyn R. Griffiths
Genes 2025, 16(8), 895; https://doi.org/10.3390/genes16080895 - 28 Jul 2025
Viewed by 1336
Abstract
Background: Hemiplegic migraine (HM) is a rare and severe subtype of migraine with a complex genetic basis. Although pathogenic variants in CACNA1A, ATP1A2, and SCN1A explain some familial cases, a significant proportion of patients remain genetically undiagnosed. Increasing evidence points [...] Read more.
Background: Hemiplegic migraine (HM) is a rare and severe subtype of migraine with a complex genetic basis. Although pathogenic variants in CACNA1A, ATP1A2, and SCN1A explain some familial cases, a significant proportion of patients remain genetically undiagnosed. Increasing evidence points to an overlap between migraine and cerebral small vessel disease (SVD), implicating vascular dysfunction in HM pathophysiology. Objective: This study aimed to identify rare or novel variants in genes associated with SVD in a cohort of patients clinically diagnosed with HM who tested negative for known familial hemiplegic migraine (FHM) pathogenic variants. Methods: We conducted a case-control association analysis of whole exome sequencing (WES) data from 184 unrelated HM patients. A targeted panel of 34 SVD-related genes was assessed. Variants were prioritised based on rarity (MAF ≤ 0.05), location (exonic/splice site), and predicted pathogenicity using in silico tools. Statistical comparisons to gnomAD’s Non-Finnish European population were made using chi-square tests. Results: Significant variants were identified in several SVD-related genes, including LRP1 (p.Thr4077Arg), COL4A1 (p.Pro54Leu), COL4A2 (p.Glu1123Gly), and TGFBR2 (p.Met148Leu and p.Ala51Pro). The LRP1 variant showed the strongest association (p < 0.001). All key variants demonstrated pathogenicity predictions in multiple computational models, implicating them in vascular dysfunction relevant to migraine mechanisms. Conclusions: This study provides new insights into the genetic architecture of hemiplegic migraine, identifying rare and potentially deleterious variants in SVD-related genes. These findings support the hypothesis that vascular and cellular maintenance pathways contribute to migraine susceptibility and may offer new targets for diagnosis and therapy. Full article
(This article belongs to the Section Human Genomics and Genetic Diseases)
36 pages, 3579 KB  
Article
RNA Sequencing Reveals Inflammatory and Metabolic Changes in the Lung and Brain After Carbon Black and Naphthalene Whole Body Inhalation Exposure in a Rodent Model of Military Burn Pit Exposures
by Allison M. Haaning, Brian J. Sandri, Henry L. Wyneken, William T. Goldsmith, Joshua P. Nixon, Timothy R. Nurkiewicz, Chris H. Wendt, Paul Barach, Janeen H. Trembley and Tammy A. Butterick
Int. J. Mol. Sci. 2025, 26(15), 7238; https://doi.org/10.3390/ijms26157238 - 26 Jul 2025
Cited by 2 | Viewed by 2687
Abstract
Military personnel deployed to Iraq and Afghanistan were exposed to emissions from open-air burn pits, where plastics, metals, and medical waste were incinerated. These exposures have been linked to deployment-related respiratory diseases (DRRD) and may also impact neurological health via the lung–brain axis. [...] Read more.
Military personnel deployed to Iraq and Afghanistan were exposed to emissions from open-air burn pits, where plastics, metals, and medical waste were incinerated. These exposures have been linked to deployment-related respiratory diseases (DRRD) and may also impact neurological health via the lung–brain axis. To investigate molecular mechanisms, adult male rats were exposed to filtered air, naphthalene (a representative volatile organic compound), or a combination of naphthalene and carbon black (surrogate for particulate matter; CBN) via whole-body inhalation (six hours/day, three consecutive days). Lung, brain, and plasma samples were collected 24 h after the final exposure. Pro-inflammatory biomarkers were assessed using multiplex electrochemiluminescence and western blot. Differentially expressed genes (DEGs) were identified by RNA sequencing, and elastic net modeling was used to define exposure-predictive gene signatures. CBN exposure altered inflammatory biomarkers across tissues, with activation of nuclear factor kappa B (NF-κB) signaling. In the lung, gene set enrichment revealed activated pathways related to proliferation and inflammation, while epithelial–mesenchymal transition (EMT) and oxidative phosphorylation were suppressed. In the brain, EMT, inflammation, and senescence pathways were activated, while ribosomal function and oxidative metabolism were downregulated. Elastic net modeling identified a lung gene signature predictive of CBN exposure, including Kcnq3, Tgfbr1, and Tm4sf19. These findings demonstrate that inhalation of a surrogate burn pit mixture induces inflammatory and metabolic gene expression changes in both lung and brain tissues, supporting the utility of this animal model for understanding systemic effects of airborne military toxicants and for identifying potential biomarkers relevant to DRRD and Veteran health. Full article
(This article belongs to the Section Molecular Pathology, Diagnostics, and Therapeutics)
Show Figures

Figure 1

20 pages, 44856 KB  
Article
Characterization and Expression of TGF-β Proteins and Receptor in Sea Cucumber (Holothuria scabra): Insights into Potential Applications via Molecular Docking Predictions
by Siriporn Nonkhwao, Jarupa Charoenrit, Chanachon Ratanamungklanon, Lanlalin Sojikul, Supawadee Duangprom, Sineenart Songkoomkrong, Jirawat Saetan, Nipawan Nuemket, Prateep Amonruttanapun, Prasert Sobhon and Napamanee Kornthong
Int. J. Mol. Sci. 2025, 26(14), 6998; https://doi.org/10.3390/ijms26146998 - 21 Jul 2025
Cited by 1 | Viewed by 1991
Abstract
Holothuria scabra has long been acknowledged in traditional medicine for its therapeutic properties. The transforming growth factor-beta (TGF-β) superfamily is crucial in regulating cellular processes, including differentiation, proliferation, and immune responses. This study marks the first exploration of the gene expression localization, sequence [...] Read more.
Holothuria scabra has long been acknowledged in traditional medicine for its therapeutic properties. The transforming growth factor-beta (TGF-β) superfamily is crucial in regulating cellular processes, including differentiation, proliferation, and immune responses. This study marks the first exploration of the gene expression localization, sequence conservation, and functional roles of H. scabra TGF-β proteins, specifically activin (HolscActivin), inhibin (HolscInhibin), and the TGF-β receptor (HolscTGFBR), across various organs. In situ hybridization indicated that HolscActivin and HolscInhibin are expressed in the intestine, respiratory tree, ovary, testis, and inner body wall. This suggests their roles in nutrient absorption, gas exchange, reproduction, and extracellular matrix remodeling. Notably, HolscTGFBR demonstrated a similar tissue-specific expression pattern, except for its absence in the respiratory tree. Bioinformatics analysis reveals that HolscTGFBR shares significant sequence similarity with HomsaTGFBR, especially in regions essential for signal transduction and inhibition. Molecular docking results indicate that HolscActivin may promote receptor activation, while HolscInhibin functions as a natural antagonist, reflecting the signaling mechanisms of human TGF-β proteins. Interestingly, cross-species ternary complex docking with human TGF-β receptors further supports these findings, showing that HolscActivin moderately engages the receptors, whereas HolscInhibin exhibits strong binding, suggestive of competitive inhibition. These results indicate that H. scabra TGF-β proteins retain the structural and functional features of vertebrate TGF-β ligands, supporting their potential applications as natural modulators in therapeutic and functional food development. Full article
(This article belongs to the Section Molecular Biology)
Show Figures

Figure 1

18 pages, 1987 KB  
Article
AI-HOPE-TGFbeta: A Conversational AI Agent for Integrative Clinical and Genomic Analysis of TGF-β Pathway Alterations in Colorectal Cancer to Advance Precision Medicine
by Ei-Wen Yang, Brigette Waldrup and Enrique Velazquez-Villarreal
AI 2025, 6(7), 137; https://doi.org/10.3390/ai6070137 - 24 Jun 2025
Cited by 7 | Viewed by 1845
Abstract
Introduction: Early-onset colorectal cancer (EOCRC) is rising rapidly, particularly among the Hispanic/Latino (H/L) populations, who face disproportionately poor outcomes. The transforming growth factor-beta (TGF-β) signaling pathway plays a critical role in colorectal cancer (CRC) progression by mediating epithelial-to-mesenchymal transition (EMT), immune evasion, and [...] Read more.
Introduction: Early-onset colorectal cancer (EOCRC) is rising rapidly, particularly among the Hispanic/Latino (H/L) populations, who face disproportionately poor outcomes. The transforming growth factor-beta (TGF-β) signaling pathway plays a critical role in colorectal cancer (CRC) progression by mediating epithelial-to-mesenchymal transition (EMT), immune evasion, and metastasis. However, integrative analyses linking TGF-β alterations to clinical features remain limited—particularly for diverse populations—hindering translational research and the development of precision therapies. To address this gap, we developed AI-HOPE-TGFbeta (Artificial Intelligence agent for High-Optimization and Precision Medicine focused on TGF-β), the first conversational artificial intelligence (AI) agent designed to explore TGF-β dysregulation in CRC by integrating harmonized clinical and genomic data via natural language queries. Methods: AI-HOPE-TGFbeta utilizes a large language model (LLM), Large Language Model Meta AI 3 (LLaMA 3), a natural language-to-code interpreter, and a bioinformatics backend to automate statistical workflows. Tailored for TGF-β pathway analysis, the platform enables real-time cohort stratification and hypothesis testing using harmonized datasets from the cBio Cancer Genomics Portal (cBioPortal). It supports mutation frequency comparisons, odds ratio testing, Kaplan–Meier survival analysis, and subgroup evaluations across race/ethnicity, microsatellite instability (MSI) status, tumor stage, treatment exposure, and age. The platform was validated by replicating findings on the SMAD4, TGFBR2, and BMPR1A mutations in EOCRC. Exploratory queries were conducted to examine novel associations with clinical outcomes in H/L populations. Results: AI-HOPE-TGFbeta successfully recapitulated established associations, including worse survival in SMAD4-mutant EOCRC patients treated with FOLFOX (fluorouracil, leucovorin and oxaliplatin) (p = 0.0001) and better outcomes in early-stage TGFBR2-mutated CRC patients (p = 0.00001). It revealed potential population-specific enrichment of BMPR1A mutations in H/L patients (OR = 2.63; p = 0.052) and uncovered MSI-specific survival benefits among SMAD4-mutated patients (p = 0.00001). Exploratory analysis showed better outcomes in SMAD2-mutant primary tumors vs. metastatic cases (p = 0.0010) and confirmed the feasibility of disaggregated ethnicity-based queries for TGFBR1 mutations, despite small sample sizes. These findings underscore the platform’s capacity to detect both known and emerging clinical–genomic patterns in CRC. Conclusions: AI-HOPE-TGFbeta introduces a new paradigm in cancer bioinformatics by enabling natural language-driven, real-time integration of genomic and clinical data specific to TGF-β pathway alterations in CRC. The platform democratizes complex analyses, supports disparity-focused investigation, and reveals clinically actionable insights in underserved populations, such as H/L EOCRC patients. As a first-of-its-kind system studying TGF-β, AI-HOPE-TGFbeta holds strong promise for advancing equitable precision oncology and accelerating translational discovery in the CRC TGF-β pathway. Full article
(This article belongs to the Section Medical & Healthcare AI)
Show Figures

Figure 1

Back to TopTop