Sign in to use this feature.

Years

Between: -

Subjects

remove_circle_outline
remove_circle_outline
remove_circle_outline
remove_circle_outline
remove_circle_outline
remove_circle_outline
remove_circle_outline
remove_circle_outline
remove_circle_outline

Journals

remove_circle_outline
remove_circle_outline
remove_circle_outline
remove_circle_outline
remove_circle_outline
remove_circle_outline
remove_circle_outline
remove_circle_outline
remove_circle_outline
remove_circle_outline
remove_circle_outline
remove_circle_outline
remove_circle_outline
remove_circle_outline
remove_circle_outline
remove_circle_outline
remove_circle_outline
remove_circle_outline
remove_circle_outline

Article Types

Countries / Regions

remove_circle_outline
remove_circle_outline
remove_circle_outline
remove_circle_outline
remove_circle_outline
remove_circle_outline
remove_circle_outline
remove_circle_outline
remove_circle_outline

Search Results (2,792)

Search Parameters:
Keywords = TPCs

Order results
Result details
Results per page
Select all
Export citation of selected articles as:
19 pages, 1243 KB  
Article
Characterization of Steam Volatiles and Evaluation of the Antioxidant Properties of Different Extracts from Leaves and Roots of Aegopodium podagraria L.
by Renata Baranauskienė, Ieva Račkauskienė and Petras Rimantas Venskutonis
Molecules 2025, 30(24), 4786; https://doi.org/10.3390/molecules30244786 - 15 Dec 2025
Abstract
This study presents the results on the composition of hydro-distilled essential oils and the antioxidant properties of extracts isolated with different polarity solvents from the leaves (GLEO) and roots (GREO) of wild-grown Lithuanian goutweed (Aegopodium podagraria L.). The yields of GLEO and [...] Read more.
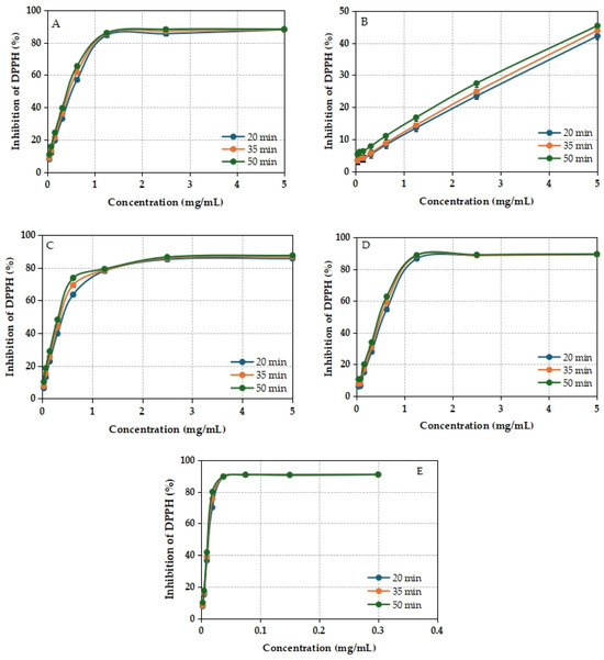
This study presents the results on the composition of hydro-distilled essential oils and the antioxidant properties of extracts isolated with different polarity solvents from the leaves (GLEO) and roots (GREO) of wild-grown Lithuanian goutweed (Aegopodium podagraria L.). The yields of GLEO and GREO were 0.22% and 0.04%. The identified compounds numbered 117 and 88, which constituted 99.4 and 99.2% of the total integrated peak area, respectively. The major GLEO constituents were sesquiterpenes germacrene D (17.53%), (E)-β-bergamotene (11.75%), (E,E)-α-farnesene (7.23%), and (E)-caryophyllene (5.29%), while monoterpene α-pinene (19.24%) was quantitatively dominant in GREO, followed by sesquiterpenes germacrene B (4.59%), (E)-caryophyllene (4.51%), β-barbatene (4.26%), and β-bazzanene (4.10%). Polyacetylene (Z)-falcarinol, which is an important bioactive compound, constituted 4.60% in GREO. The antioxidant characteristics of water, methanol, and acetone extracts were evaluated by the TPC, DPPH/ABTS•+ scavenging, and ORAC assays. The water and methanol extracts of the leaves were the strongest antioxidants; their TPC and ORAC values were 62.12 and 56.84 mg GAE/g, and 1426 and 1293 µM TE/g, respectively; the EC50 values of DPPH and ABTS•+ scavenging were 1.18 and 2.48, and 2.45 and 3.57 mg/mL, respectively. The results obtained may assist in developing antioxidants, cosmeceuticals, nutraceuticals, and other health-beneficial preparations from A. podagraria extracts. Full article
Show Figures

Figure 1

29 pages, 5811 KB  
Article
Initial Characterization of Morpho-Anatomical Traits and Antioxidant Profile of Iris brandzae Prodan from Romania’s Wild Flora Under Culture Conditions
by Lucia Draghia, Maria Apostol, Culiță Sîrbu, Ivayla Dincheva, Maria Daniela Mihăilă Ionică, Rodica Mihaela Dinică, Mariana Lupoae, Raluca-Maria Hlihor, Isabela Maria Simion, Ciprian Chiruță, Diana Elena Bolohan, Jose Reig Arminana and Francisco José Garcia Breijo
Plants 2025, 14(24), 3803; https://doi.org/10.3390/plants14243803 - 13 Dec 2025
Viewed by 32
Abstract
In Romania’s wild flora, several Iris species exhibit important ornamental characteristics, such as early spring flowering and resilience to abiotic stress. This study assessed the behavior to new ecological conditions, the ornamental potential, and the antioxidant capacity of the wild species of Iris [...] Read more.
In Romania’s wild flora, several Iris species exhibit important ornamental characteristics, such as early spring flowering and resilience to abiotic stress. This study assessed the behavior to new ecological conditions, the ornamental potential, and the antioxidant capacity of the wild species of Iris brandzae using morpho-anatomical, physiological, and biochemical biomarkers. The study of phenotypic characteristics (number and size of leaves on sterile and fertile shoots, size of flowering stems, bracts protecting the flowers, and perianth-segments) aimed to confirm and supplement existing information in the literature, as well as to evaluate the ornamental potential of this species. Morphological analyses revealed clear differences between fertile and sterile shoots, while photosynthetic activity across phenophases showed values within normal parameters, with the maximum recorded during flowering and with the chlorophyll a/chlorophyll b ratio maintained at values close to 3:1, indicating favorable cultivation conditions. Biochemical investigations (total phenolic content (TPC), total flavonoid content (TFC), and antioxidant activity) demonstrated that dried plant material, particularly roots, contained higher levels of phenolic and flavonoid compounds and exhibited stronger antioxidant activity compared to fresh material. By integrating morpho-anatomical, physiological, and biochemical data, this research provides the first comprehensive characterization of I. brandzae beyond taxonomic and ecological descriptions. Our findings emphasize the species behavior under cultivation conditions, its ornamental value, and its potential as a source of bioactive compounds relevant to pharmaceutical applications. Full article
(This article belongs to the Section Horticultural Science and Ornamental Plants)
Show Figures

Figure 1

14 pages, 832 KB  
Article
Southern Chilean Native Plants as Novel Sources of Antioxidant and Antibacterial Extracts
by Jesús Hernández, Yihajara Fuentes, Eduardo Muñoz-Carvajal, Mario Faúndez, Miguel Gómez, Ady Giordano and Gloria Montenegro
Antioxidants 2025, 14(12), 1488; https://doi.org/10.3390/antiox14121488 - 11 Dec 2025
Viewed by 126
Abstract
The temperate rainforests of southern Chile host a rich diversity of plants traditionally used in medicine, yet their bioactive potential remains underexplored. This study evaluated the chemical composition, antioxidant capacity, antibacterial activity, and cell viability of ethanolic leaf extracts from Cissus striata (CS), [...] Read more.
The temperate rainforests of southern Chile host a rich diversity of plants traditionally used in medicine, yet their bioactive potential remains underexplored. This study evaluated the chemical composition, antioxidant capacity, antibacterial activity, and cell viability of ethanolic leaf extracts from Cissus striata (CS), Mitraria coccinea (MC), and Raukaua laetevirens (RL), compared with Buddleja globosa (BG), a well-known medicinal shrub. Extracts were obtained using 70% ethanol, ensuring high recovery of polyphenolic compounds while avoiding thermal degradation. The total phenolic content (TPC) was highest in CS, exceeding values reported for green tea, while MC exhibited the greatest total flavonoid content (TFC). HPLC–MS/MS analysis showed that RL was rich in rutin, while CS exhibited a higher quercetin content. Antioxidant activity assessed through ABTS, DPPH, and FRAP assays, was correlated with polyphenolic composition. CS showed the highest antioxidant potential, surpassing green tea by ~39%, as determined via FRAP, while MC and RL displayed capacities comparable to BG. Antibacterial activity assays demonstrated that MC inhibited Escherichia coli with a minimum inhibitory concentration (MIC) of 12.5 mg/mL, lower than that of ampicillin, whereas CS was highly active against Staphylococcus aureus, with an MIC of 0.39 mg/mL, equivalent to the activity exhibited by tetracycline. Cytotoxicity assays confirmed that the extracts did not reduce human cell viability, supporting the potential of Chilean native shrubs as safe, natural sources of antioxidants and antimicrobials for food and pharmaceutical applications. Full article
Show Figures

Figure 1

15 pages, 1437 KB  
Article
Efficient Microwave-Assisted Extraction of Polyphenol-Rich Extract from Salvia dumetorum Leaves
by Yana K. Levaya, Karakoz Zh. Badekova, Mussa E. Zholdasbayev, Gulnissa K. Kurmantayeva, Gayane A. Atazhanova, Daniyar T. Sadyrbekov and Ainabayev Assanali
Compounds 2025, 5(4), 58; https://doi.org/10.3390/compounds5040058 - 11 Dec 2025
Viewed by 60
Abstract
Salvia dumetorum Andrz. ex Besser is a promising non-pharmacopoeial plant species with traditional medicinal potential. This study aimed to determine the optimal microwave-assisted extraction (MAE) conditions for obtaining a polyphenol-rich ethanolic extract from the S. dumetorum leaves. Dried and powdered leaves were extracted [...] Read more.
Salvia dumetorum Andrz. ex Besser is a promising non-pharmacopoeial plant species with traditional medicinal potential. This study aimed to determine the optimal microwave-assisted extraction (MAE) conditions for obtaining a polyphenol-rich ethanolic extract from the S. dumetorum leaves. Dried and powdered leaves were extracted using 40% ethanol with different power of microwaves varying from 200 to 800 W and time of extraction 2–8 min. The extract was filtered, concentrated, and evaluated for yield, identification of phenolic compounds using high-performance liquid chromatography (HPLC), total phenolic content (TPC), and total flavonoid content (TFC). Extraction yields ranged from 2.20% to 25.80% based on dry weight. TPC and TFC were determined using Folin–Ciocalteu and aluminum chloride colorimetric assays, respectively, and are expressed as mg GAE/g and mg RUE/g of dry extract. The antioxidant activity of the extracts was evaluated using the DPPH (2,2-diphenyl-1-picrylhydrazyl radical) assay. According to HPLC analysis, the main phenolic components of the extracts were rosmarinic acid (1.78–2.95 mg/mL), chlorogenic acid (0.31–0.54 mg/mL), caffeic acid (0.11–0.20 mg/mL), rutin (up to 0.47 mg/mL) and ferulic acid (0.13–0.33 mg/mL); traces of myricetin were found only in isolated samples. The optimum extraction conditions were found to be 400 W microwave power, 8 min extraction time, one MAE cycle, and a 1:30 g/mL solvent-to-material loading ratio; TPC and TFC were evaluated as 35.23 ± 0.50 mg GAE/g DW and 19.94 ± 0.14 mg RuE/g DW, respectively, indicating the highest yield of polyphenolic compounds, antioxidant potential inhibiting 96.68% ± 0.27 of DPPH radicals, and IC50 = 10.24 µg/mL. These findings highlight the efficiency of MAE in producing a bioactive ethanolic extract of S. dumetorum, which can be further explored for potential applications as a natural antioxidant in pharmaceutical or cosmetic formulations. Full article
(This article belongs to the Special Issue Phenolic Compounds: Extraction, Chemical Profiles, and Bioactivity)
Show Figures

Figure 1

20 pages, 3241 KB  
Article
Incorporating Cricket Powder into Salad Dressing: Enhancing Protein Content and Functional Attributes Through Partial Palm-Oil Replacement
by Yanjun Guo, Yu Liu, Hua Li, Chuenjit Prakitchaiwattana, Ju-Sheng Zheng and Sirithon Siriamornpun
Foods 2025, 14(24), 4268; https://doi.org/10.3390/foods14244268 - 11 Dec 2025
Viewed by 147
Abstract
This study investigated the potential of cricket powder (CP) as a sustainable ingredient to partially replace palm oil in salad dressing while enhancing its functional properties. Formulations containing 0%, 5%, 7.5%, and 10% CP combined with carrageenan, guar gum, and xanthan gum were [...] Read more.
This study investigated the potential of cricket powder (CP) as a sustainable ingredient to partially replace palm oil in salad dressing while enhancing its functional properties. Formulations containing 0%, 5%, 7.5%, and 10% CP combined with carrageenan, guar gum, and xanthan gum were prepared. Increasing CP levels significantly decreased lightness but enhanced redness and yellowness (p < 0.05). Emulsion stability was significantly affected by hydrocolloid type (p < 0.05), with guar gum showing the highest stability, further improved at higher CP levels. Rheological analysis indicated a typical shear-thinning behavior, with xanthan gum formulations showing the highest viscosity and viscoelasticity. Moreover, CP incorporation significantly increased total phenolic content (TPC) and total flavonoid content (TFC), enhancing antioxidant activity confirmed by DPPH and FRAP assays. E-nose and E-tongue analyses revealed that increasing CP enhanced umami intensity and altered aroma profiles. Overall, replacing part of the palm oil with 5–7.5% CP improved emulsion stability and increased bioactive content, suggesting its potential as a functional and more sustainable alternative to conventional oil-rich formulations. These benefits are primarily associated with reduced palm-oil usage and increased protein and antioxidant components, rather than a fully characterized improvement in fatty-acid composition. Full article
Show Figures

Figure 1

23 pages, 1221 KB  
Article
Synergistic Antimicrobial Effect of Agro-Industrial Peel Extracts and Saccharomyces cerevisiae Against Listeria monocytogenes in Fruit Juice Matrices
by Enrique José Salazar Llorente, Fernando Javier Cobos Mora, Aurelio Esteban Amaiquema Carrillo, Matteo Radice, Luis Humberto Vásquez Cortez and Brayan F. Torres Salvatierra
Appl. Microbiol. 2025, 5(4), 146; https://doi.org/10.3390/applmicrobiol5040146 - 11 Dec 2025
Viewed by 189
Abstract
Agro-industrial by-products are rich in polyphenols with potential applications as natural antimicrobials in food systems. This study evaluated the total polyphenol content (TPC) and antimicrobial activity of orange (Citrus sinensis), onion (Allium cepa), cacao (Theobroma cacao), and [...] Read more.
Agro-industrial by-products are rich in polyphenols with potential applications as natural antimicrobials in food systems. This study evaluated the total polyphenol content (TPC) and antimicrobial activity of orange (Citrus sinensis), onion (Allium cepa), cacao (Theobroma cacao), and tamarillo (Solanum betaceum) peel extracts against Listeria monocytogenes, individually and in combination with Saccharomyces cerevisiae. TPC was quantified using the Folin–Ciocalteu method, and minimum inhibitory concentrations (MICs) were determined using broth microdilution. Statistical analysis (two-way ANOVA, p < 0.05) assessed the effect of extract type and yeast addition on MIC values. The highest TPC was recorded in Theobroma cacao peel extract (85.3 ± 2.1 mg GAE/g DW). All extracts inhibited L. monocytogenes, with MICs ranging from 2.5 to 10 mg/mL. This was reduced to 1.25–5 mg/mL when combined with S. cerevisiae, indicating synergism (F = 11.42, p = 0.003). These results suggest that polyphenol-rich peel extracts enhanced by S. cerevisiae can be incorporated into beverage preservation systems, aligning with clean-label trends. This study integrates quantitative and mechanistic analyses to link extraction methods, polyphenol content, and synergistic inhibition with Saccharomyces cerevisiae, providing a coherent analytical framework for sustainable antimicrobial strategies. Full article
Show Figures

Graphical abstract

24 pages, 3585 KB  
Article
The Effect of the Extraction Method on the Content of Bioactive Compounds and the Biological Activity of Nigella sativa Extracts
by Romuald Gwiazdowski, Krzysztof Juś, Krzysztof Kubiak, Róża Biegańska-Marecik, Agnieszka Waśkiewicz and Daniela Gwiazdowska
Molecules 2025, 30(24), 4736; https://doi.org/10.3390/molecules30244736 - 11 Dec 2025
Viewed by 132
Abstract
Ensuring food safety and consumer health are crucial elements of sustainable food safety management, requiring the use of substances that inhibit the growth of undesirable microorganisms at various stages of production. The negative impact of many of these on human health and the [...] Read more.
Ensuring food safety and consumer health are crucial elements of sustainable food safety management, requiring the use of substances that inhibit the growth of undesirable microorganisms at various stages of production. The negative impact of many of these on human health and the environment has led to increased interest in alternative solutions, such as plant extracts. The aim of this study was to determine the biological activity of extracts obtained from Nigella sativa seeds using various methods, including Soxhlet and ultrasound-assisted extraction (UAE) using hexane and methanol and supercritical CO2 extraction (SFE) assisted with methanol. The content of polyphenolic compounds, their composition, and biological activity depended on the extraction method and solvent type. All extracts exhibited antimicrobial activity against Gram-positive bacteria (Listeria monocytogenes, Priestia megaterium, and Staphylococcus aureus), Gram-negative bacteria (Salmonella Enteritidis, Pseudomonas aeruginosa, and Escherichia coli), yeasts (Candida albicans and Rhodotorula mucilaginosa), and filamentous fungi (Alternaria brassicicola, Pythium sp., Fusarium culmorum, and F. graminearum). The MIC values were in the range of <0.125 to 2 mg/mL for bacteria and 1 to 8 mg/mL for fungi, depending on the extract. Microscopic observations performed using optical and fluorescence microscopy showed changes in the viability and morphology of the fungal cells. TPC values ranged from 9.877 mg/g in hexane extract obtained by ultrasound-assisted extraction to 39.064 mg/g in extract obtained by Soxhlet method with methanol. No negative effects of the extracts on wheat seed germination were observed. Analysis of the composition of polyphenolic compounds revealed the presence of vanillic acid, hydroxybenzoic acid, syringic acid, protocatechuic acid, and p-coumaric, catechin, and epicatechin acids in all extracts. The extracts obtained with methanol, both by the Soxhlet method and by ultrasound-assisted extraction, also contained gallic acid, myricetin, luteolin, apigenin, and sinapic acid. In all extracts, thymoquinone ranged from 8.344 mg/g to 63.125 mg/g of extract, which was detected with the highest concentration in hexane extracts. Full article
Show Figures

Figure 1

17 pages, 4360 KB  
Article
Carbon Dot-Modified Quercetin Enables Synergistic Enhancement of Charge Transfer and Oxygen Adsorption for Efficient H2O2 Photoproduction
by Haojie Xu, Zenan Li, Jiaxuan Wang, Fan Liao, Hui Huang and Yang Liu
Nanomaterials 2025, 15(24), 1856; https://doi.org/10.3390/nano15241856 - 11 Dec 2025
Viewed by 113
Abstract
Hydrogen peroxide (H2O2) is a widely used green oxidant, yet its conventional industrial production via the anthraquinone process is energy-intensive and environmentally unfriendly. Photocatalytic oxygen reduction reaction (ORR) presents a sustainable alternative for H2O2 synthesis, but [...] Read more.
Hydrogen peroxide (H2O2) is a widely used green oxidant, yet its conventional industrial production via the anthraquinone process is energy-intensive and environmentally unfriendly. Photocatalytic oxygen reduction reaction (ORR) presents a sustainable alternative for H2O2 synthesis, but its practical application is limited by inefficient light absorption, low charge separation efficiency, and sluggish reaction kinetics. In this work, we developed a metal-free carbon-based photocatalyst (QCDs) acquired by modifying quercetin with carbon dots (CDs) for efficient photogeneration of H2O2. The optimized QCDs achieved a H2O2 production rate of 1116.32 μmol·h−1·g−1, which is 40.3% higher than that of pristine quercetin. Comprehensive analysis with transient potential scanning (TPS), transient photovoltage (TPV), and photocurrent transient (TPC) measurements reveal that the photocatalytic ORR follows a two-step single-electron pathway. It is worth noting that CDs not only promote the generation and transfer of photogenerated electrons but also boost oxygen adsorption. Our work demonstrates the synergy of integrating biomass-derived materials with nanostructural engineering and optimizing the system with data-driven approaches for enhanced photocatalysis. Full article
(This article belongs to the Section 2D and Carbon Nanomaterials)
Show Figures

Graphical abstract

19 pages, 864 KB  
Article
Unique Alcoholic Beverages Derived from Pear and Apple Juice Using Probiotic Yeast
by Andrea Maria Patelski, Maria Balcerek, Urszula Dziekońska, Katarzyna Pielech-Przybylska, Aleksandra Raczyk, Michalina Wasilewska and Katarzyna Dębska
Appl. Sci. 2025, 15(24), 13039; https://doi.org/10.3390/app152413039 - 11 Dec 2025
Viewed by 115
Abstract
Fermented fruit beverages enriched with probiotic microorganisms are gaining increasing interest due to their potential to combine sensory appeal with functional properties. In this study, apple and pear juices were fermented using Saccharomyces cerevisiae var. boulardii and the reference wine strain S. cerevisiae [...] Read more.
Fermented fruit beverages enriched with probiotic microorganisms are gaining increasing interest due to their potential to combine sensory appeal with functional properties. In this study, apple and pear juices were fermented using Saccharomyces cerevisiae var. boulardii and the reference wine strain S. cerevisiae RV002, followed by sweetening with xylitol, erythritol, or stevia. The aim was to evaluate the fermentative performance of the probiotic yeast, the chemical composition of the resulting beverages, and the influence of sweeteners on the results of sensory evaluation. Both yeast strains efficiently produced ethanol within typical ranges for cider and perry. The highest ethanol concentration was observed in apple juice fermented with S. boulardii (49.01 ± 0.60 g/L), while the lowest occurred in pear juice fermented with S. boulardii (41.28 ± 1.00 g/L). Total phenolic content (TPC) decreased after apple juice fermentation but remained largely unchanged in pear juice. Notably, S. boulardii use resulted in the highest post-fermentation TPC value in pear juice (0.34 ± 0.002 g/L), while the lowest value was obtained in apple juice fermented with RV002 strain (0.27 ± 0.005 g/L). Our findings highlight the potential of S. boulardii for producing novel functional alcoholic beverages. Future work should examine long-term probiotic viability and optimise formulations for commercial application. Full article
(This article belongs to the Special Issue Biosynthesis and Applications of Natural Products)
Show Figures

Figure 1

22 pages, 1926 KB  
Article
Green Tea Catechins Mitigate Hepatocyte Ferroptosis Through Attenuation of Oxidative Stress and Improvement of Antioxidant Systems
by Pimpisid Koonyosying, Wit Tharanon, Kavee Pairojthanachai, Yanisa Samakarn, Kornkan Meejak, Narisara Paradee, Onsaya Kerdto, Suphatta Yubo, Yanping Zhong and Somdet Srichairatanakool
Antioxidants 2025, 14(12), 1483; https://doi.org/10.3390/antiox14121483 - 10 Dec 2025
Viewed by 238
Abstract
Lipid peroxide (LPO) accumulation and a depletion of intracellular antioxidants are hallmarks of ferroptosis, a controlled iron-dependent form of cell death. Iron chelators and radical scavengers can stop it, while erastin or iron overload can cause it. The main catechin in green tea [...] Read more.
Lipid peroxide (LPO) accumulation and a depletion of intracellular antioxidants are hallmarks of ferroptosis, a controlled iron-dependent form of cell death. Iron chelators and radical scavengers can stop it, while erastin or iron overload can cause it. The main catechin in green tea extract (GTE), epigallocatechin-3-gallate (EGCG), has iron-chelating and antioxidant activities. Herein, we investigated the effects of EGCG-rich GTE on ferroptosis in iron-loaded hepatocytes. The contents of EGCG, total phenolics (TPC), and flavonoids (TFC), as well as ABTS•+-scavenging activity and cytotoxicity, were determined. Human hepatoma (Huh7) cells were treated with ferric ammonium citrate (FAC) to induce ferroptosis and were co-treated with various concentrations of GTE. Labile iron pool (LIP), reactive oxygen species (ROS), LPO, glutathione (GSH), and glutathione peroxidase 4 (GPX-4) activity were then measured in the cells. One gram of GTE contained 26 mg of EGCG, with a TPC of 172.2 mg gallic acid equivalents and a TFC of 32.9 mg quercetin equivalents. GTE displayed concentration-dependent ABTS•+-scavenging activity (IC50 = 1.03 mg) that was equivalent to 0.29 mg of Trolox, reporting a Trolox-equivalent antioxidant capacity (TEAC) value of 0.29 mg. High-dose GTE (>100 µM EGCG equivalent) reduced cell viability below 80% (p < 0.05). Intracellular LIP, ROS, and LPO levels were markedly elevated, whereas GSH and GPX-4 activity levels were decreased (p < 0.05) in iron-loaded Huh7 cells. GTE treatment mitigated these alterations in a dose-dependent manner (p < 0.05). These cell-based in vitro findings indicate that EGCG-rich GTE can attenuate ferroptosis-associated oxidative stress in hepatocytes under iron-loading conditions. GTE may serve as a potential dietary antioxidant candidate; further mechanistic studies and in vivo experiments are required to determine its physiological relevance and translational applicability. Full article
Show Figures

Figure 1

16 pages, 1381 KB  
Article
Physicochemical Characteristics, Phenolic Profile, Antioxidant Potential, and Antimicrobial Activity of Bulgarian Summer Savory (Satureja hortensis L.)
by Yulian Tumbarski, Magdalena Stoyanova, Petya Ivanova, Albena Parzhanova and Krastena Nikolova
Curr. Issues Mol. Biol. 2025, 47(12), 1030; https://doi.org/10.3390/cimb47121030 - 10 Dec 2025
Viewed by 127
Abstract
Summer savory (Satureja hortensis L.) is an annual herbaceous plant belonging to the Lamiaceae family and widely used as a culinary spice. The present research aimed to investigate the physicochemical characteristics, phenolic profile, antioxidant potential, and antimicrobial activity of ten summer savory [...] Read more.
Summer savory (Satureja hortensis L.) is an annual herbaceous plant belonging to the Lamiaceae family and widely used as a culinary spice. The present research aimed to investigate the physicochemical characteristics, phenolic profile, antioxidant potential, and antimicrobial activity of ten summer savory samples (dried leaves and flowers) grown in different regions of Bulgaria. The physicochemical analyses of the dried plant material demonstrated that the ash content varied from 19.51 to 26.92%, proteins from 16.25 to 22.78%, and carbohydrates from 5.37 to 10.01%. The values of the total phenolic content (TPC) ranged from 1.10 to 4.83 mg GAE/g dw (aqueous savory extracts—ASE) and from 3.98 to 9.54 mg GAE/g dw (methanolic savory extracts—MSE). The values of the total flavonoid content (TFC) were from 0.08 to 0.29 mg QE/g dw (ASE) and from 0.73 to 1.23 mg QE/g dw (MSE). The investigated samples exhibited significant antioxidant activity, with values determined by the DPPH method varying between 35.01 and 59.93 mM TE/g dw (ASE) and between 51.75 and 91.85 mM TE/g dw (MSE). The values by the FRAP method ranged from 74.49 to 134.85 µmol Fe2+/g dw (ASE) and from 108.20 to 215.48 µmol Fe2+/g dw (MSE). The high-performance liquid chromatography (HPLC) analysis showed that rosmarinic acid was predominant in all tested samples (3.54–5.90 mg/g dw), whereas ferulic, caffeic and p-coumaric acids were detected in trace amounts. The HPLC analysis of organic acids revealed that ascorbic acid was present in higher concentration in all samples (0.35–0.98 mg/g dw) compared to malic acid, which was found in trace amounts. The antimicrobial activity test demonstrated that methanolic savory extracts showed moderate to high inhibitory activity against most of the microorganisms used (most pronounced against Staphylococcus aureus 6538P, with diameters of the inhibition zones from 20 to 30 mm), while aqueous savory extracts exhibited antifungal rather than antibacterial activity. Based on the results obtained, we can conclude that savory is a plant with potential for use in the pharmaceutical and agricultural sectors, in addition to its culinary applications. Full article
(This article belongs to the Section Bioorganic Chemistry and Medicinal Chemistry)
Show Figures

Figure 1

14 pages, 2089 KB  
Article
Pulsed Electric Field Treatment of Berry Fruit Seeds: Effect on Phenolic Compound Recovery
by Iga Piasecka-Lenartowicz, Stanisław Kalisz, Artur Wiktor and Agata Górska
Appl. Sci. 2025, 15(24), 13006; https://doi.org/10.3390/app152413006 - 10 Dec 2025
Viewed by 92
Abstract
Pulsed electric field (PEF) technology represents a promising non-thermal method for enhancing the extraction of bioactive compounds from plant matrices. This study investigated the influence of PEF treatment on the bioactive compounds composition of aqueous extracts obtained after processing blackcurrant, redcurrant, chokeberry, raspberry, [...] Read more.
Pulsed electric field (PEF) technology represents a promising non-thermal method for enhancing the extraction of bioactive compounds from plant matrices. This study investigated the influence of PEF treatment on the bioactive compounds composition of aqueous extracts obtained after processing blackcurrant, redcurrant, chokeberry, raspberry, and blackberry seeds. The seeds were treated at 8 kV or 10 kV electrode voltage, and 50 kJ/kg energy input, and the resulting extracts were analyzed for total polyphenol content (TPC), antioxidant capacity (ABTS and DPPH assays), anthocyanin composition (HPLC-DAD), and color parameters (L*, a*, b*). The PEF treatment significantly enhanced the release of polyphenols, anthocyanins, and antioxidant compounds, particularly in chokeberry, raspberry, and blackberry seed extracts. Extracts obtained after PEF treatment exhibited higher TPC, in a range between 0.57 and 3.00 mg GAE/g, and higher radical scavenging activity in a range 2.33–35.07 µmol TE/g in ABTS assay and 1.07–12.27 µmol TE/g in DPPH assay. Also, more intense red coloration was determined, confirming that electroporation facilitated pigment and phenolic migration into the aqueous phase. These findings demonstrate that PEF is an efficient and solvent-free intensification technique for the valorization of berry by-products, generating aqueous fractions rich in natural antioxidants and colorants that support circular and sustainable fruit-processing practices. Full article
Show Figures

Figure 1

8 pages, 934 KB  
Proceeding Paper
Comparative Assessment of Fruit Quality Attributes and Bioactive Compounds of Apple (Malus domestica) Genotypes Grown in Gilgit-Baltistan
by Feroz Ahmed Tipu, Muhammad Tahir Akram, Muhammad Azam Khan, Umer Habib, Muhammad Ahsan Khatana, Rashad Qadri, Muhammad Mumtaz Khan, Hina Nawaz, Muhammad Nisar Jabbar and Muhammad Hashir Khan
Biol. Life Sci. Forum 2025, 51(1), 4; https://doi.org/10.3390/blsf2025051004 - 8 Dec 2025
Viewed by 96
Abstract
Apple (Malus domestica) is a deciduous perennial tree that belongs to the family “Rosaceae”. Due to the highly suitable agro-climatic conditions for apple cultivation, it is among the widely cultivated fruits in Gilgit-Baltistan (GB). This study aims to evaluate elite apple [...] Read more.
Apple (Malus domestica) is a deciduous perennial tree that belongs to the family “Rosaceae”. Due to the highly suitable agro-climatic conditions for apple cultivation, it is among the widely cultivated fruits in Gilgit-Baltistan (GB). This study aims to evaluate elite apple genotypes in GB based on morphological and biochemical traits. Five- to six-year-old plants were selected for this study. The research employed a completely randomized design (CRD) with three replications, and mean differences were analyzed using the LSD test. In this study, five genotypes were assessed based on morphological (fruit weight, fruit length, fruit width, and firmness) and biochemical attributes (TSS, TA, ascorbic acid, total phenolic content, and flavonoid content). The results revealed significant variation among apple cultivars in both phytochemical and fruit quality attributes. The cultivar ‘Red Delicious’ exhibited the highest fruit weight (146.18 g), total soluble solids (TSS) (15.4 °Brix), and flavonoid content (105.75 mg 100 g−1 FW). In contrast, ‘Red Full Star’ demonstrated superior firmness (7.19 kg cm−2), along with the highest total phenolic content (TPC) (4.00 mg GAE g−1 FW) and ascorbic acid content (26.45 mg 100 g−1 FW). Although the indigenous variety ‘Nus Khushu’ exhibited lower values in commercial traits, it holds substantial potential for conservation due to its unique local adaptation. The findings indicate that the “Red Delicious” and “Red Full Star” cultivars cultivated in GB are enriched with a variety of bioactive compounds that offer notable health benefits and may be utilized for future crop enhancement and breeding initiatives. Full article
Show Figures

Figure 1

14 pages, 1097 KB  
Article
Telepharmacy Consultations (TPCs) in Local Pharmacies—A Bi-Centric Survey of Customer Opinions
by Nathalie Floch, Philipp Harand, Chris Graichen and Thilo Bertsche
Pharmacy 2025, 13(6), 177; https://doi.org/10.3390/pharmacy13060177 - 8 Dec 2025
Viewed by 305
Abstract
Background: Telepharmacy consultations (TPCs) became a routine element of pharmacy operations. However, there is limited data available on local pharmacy customer feedback related to TPC. Methods: A customer survey was developed seeking feedback on TPC. The pharmacy customers were invited to [...] Read more.
Background: Telepharmacy consultations (TPCs) became a routine element of pharmacy operations. However, there is limited data available on local pharmacy customer feedback related to TPC. Methods: A customer survey was developed seeking feedback on TPC. The pharmacy customers were invited to complete the survey in two local pharmacies in Germany. The survey and corresponding informed consent form were approved by the Ethics Committee. Results: In total, 178 pharmacy customers were enrolled (median age 41–50 years). From those, 37% agreed when asked whether they were generally interested in TPC. A total of 37% had the nearest pharmacy 5–15 min from their home. A total of 42% visited their pharmacy quarterly. A total of 36% used technical devices in median 1–2 h per days. A total of 33% classified their own digital skills at least as sufficient. A total of 59% would use their smartphone as a potential device for TPC. A total of 83% rated it as (slightly) important that the pharmacist providing TPC can be heard clearly. A total of 76% each (strongly) agreed that an argument for TPC would include limited mobility or pandemic/quarantine. A total of 33% (strongly) agreed that a key argument against TPC were technical requirements. A total of 75% considered situations of immobility to be the most important future perspective for TPC. Conclusions: Many pharmacy customers see TPC as an opportunity, e.g., in cases of limited mobility or during pandemic or quarantine. However, the use of appropriate technology can be a limiting factor. Full article
(This article belongs to the Section Pharmacy Practice and Practice-Based Research)
Show Figures

Figure 1

16 pages, 3014 KB  
Article
Comparative Study of Pigment Content, Nutrient Composition and Antioxidant Capacity of Different Color Peppers at Different Maturity Stages
by June Wang, Jinyao He, Ruiling Zhang, Na Li, Shufei Zhang, Jiaxin Li and Sheng Sun
Horticulturae 2025, 11(12), 1481; https://doi.org/10.3390/horticulturae11121481 - 8 Dec 2025
Viewed by 201
Abstract
Pepper (Capsicum annuum L.), an annual herbaceous plant in the Solanaceae family, possesses significant edible and medicinal value. Studies have shown that there are significant differences in the plant chemical constituents and antioxidant activity among different colored peppers, but there have been [...] Read more.
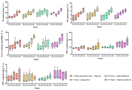
Pepper (Capsicum annuum L.), an annual herbaceous plant in the Solanaceae family, possesses significant edible and medicinal value. Studies have shown that there are significant differences in the plant chemical constituents and antioxidant activity among different colored peppers, but there have been fewer studies on the relationship between pigment content, plant chemical constituents and antioxidant activity in peppers. Therefore, this study divided twenty pepper accessions of pepper materials into four categories based on color changes and measured the bioactive compounds, pigment content and antioxidant activity of these four types of peppers at different maturity stages and conducted correlation analysis and principal component analysis (PCA). The results showed that yellow pepper cultivars had higher levels of vitamin C (Vc), and Class IV (purple-to-red transitioning pepper cultivars) had higher total phenolic content (TPC), total flavonoid content (TFC), and anthocyanin content in the early fruit stage. Correlation analysis showed that Class IV (purple-to-red transitioning pepper cultivars) had higher levels of bioactive compounds and antioxidant capacity. The antioxidant content in immature fruits was high, but decreased as the fruits matured. This study focuses on pepper-derived bioactive compounds and their antioxidant activity, providing a scientific basis for developing natural antioxidant products, expanding pepper resource utilization, and guiding pepper variety selection and cultivation management. Full article
(This article belongs to the Section Vegetable Production Systems)
Show Figures

Figure 1

Back to TopTop