Sign in to use this feature.

Years

Between: -

Subjects

remove_circle_outline
remove_circle_outline
remove_circle_outline
remove_circle_outline
remove_circle_outline
remove_circle_outline
remove_circle_outline
remove_circle_outline
remove_circle_outline

Journals

Article Types

Countries / Regions

Search Results (57)

Search Parameters:
Keywords = TB-DM

Order results
Result details
Results per page
Select all
Export citation of selected articles as:
12 pages, 1075 KB  
Article
Utility of REMS-Derived Fragility Score and Trabecular Bone Score in Evaluating Bone Health in Type 2 Diabetes Mellitus
by Antonella Al Refaie, Caterina Mondillo, Guido Cavati, Sara Gonnelli, Maria Dea Tomai Pitinca, Elena Ceccarelli, Paola Pisani, Luigi Gennari, Stefano Gonnelli and Carla Caffarelli
Diagnostics 2025, 15(22), 2877; https://doi.org/10.3390/diagnostics15222877 - 13 Nov 2025
Viewed by 615
Abstract
Background/Objectives: A significantly higher fracture risk characterizes Type 2 diabetes mellitus (T2DM) patients when compared to the non-diabetic population, even though their average bone mineral density (BMD) tends to be normal or high. This elevated risk is primarily driven by defective bone [...] Read more.
Background/Objectives: A significantly higher fracture risk characterizes Type 2 diabetes mellitus (T2DM) patients when compared to the non-diabetic population, even though their average bone mineral density (BMD) tends to be normal or high. This elevated risk is primarily driven by defective bone quality. The trabecular bone score (TBS) and radiofrequency echographic multispectrometry (REMS) have recently been proposed to improve the assessment of bone quality in T2DM individuals. This study aimed to evaluate whether TBS and REMS can improve the identification of osteoporosis and fracture risk in these patients. Methods: BMD was measured in 223 consecutive T2DM patients (126 women and 97 man) and 102 controls. BMD values for the lumbar spine (LS), femoral neck (FN), and total hip (TH) were obtained via both dual-energy X-ray absorptiometry (DXA) and radiofrequency echographic multi-spectrometry (REMS). In all patients, TBS and Fragility Score (FS) by REMS were measured and prior major osteoporotic fractures (MOF) were assessed. Results: All BMD T-scores measured by REMS were significantly lower than those obtained by DXA at both lumbar and femoral sites. T2DM patients with previous MOF exhibited lower T-scores for both BMD-LS and BMD-TH, as assessed by DXA and REMS, compared with patients without fractures. However, these differences reached statistical significance for BMD-TH with both techniques and for BMD-LS with REMS, but not for BMD-LS with DXA. Moreover, patients with a history of MOF had significantly lower TBS values (p < 0.05) and significantly higher FS values at both lumbar (p < 0.05) and femoral (p < 0.01) sites compared with those without fractures. Conclusions: The results of this study suggest that the parameters obtained using REMS technology (BMD and FS) may be valuable tools for improving the diagnosis of osteoporosis and assessing fracture risk in patients with T2DM. Full article
Show Figures

Graphical abstract

22 pages, 2530 KB  
Review
Diabetes-Induced Osteoporosis: Dual Energy X-Ray Absorptiometry Bone Quality Is Better than Bone Quantity
by Stefano Frara, Carmelo Messina and Fabio Massimo Ulivieri
Diabetology 2025, 6(9), 95; https://doi.org/10.3390/diabetology6090095 - 4 Sep 2025
Viewed by 1291
Abstract
Diabetes mellitus (DM) and osteoporosis are among the most common non-communicable diseases worldwide. Beyond their considerable socio-economic burden, both conditions significantly impair quality of life and reduce life expectancy, representing major causes of disability. DM-induced osteoporosis has recently emerged as a notable and [...] Read more.
Diabetes mellitus (DM) and osteoporosis are among the most common non-communicable diseases worldwide. Beyond their considerable socio-economic burden, both conditions significantly impair quality of life and reduce life expectancy, representing major causes of disability. DM-induced osteoporosis has recently emerged as a notable and frequent complication. Patients with type 2 DM have a twofold increased risk of fragility fractures, while those with longstanding type 1 DM exhibit a fivefold higher risk of hip, vertebral, and non-vertebral fractures. Bone mineral density (BMD) assessed by Dual Energy X-ray Absorptiometry (DXA) often fails to predict fracture risk in this population, as bone mass tends to be normal, slightly reduced, or even elevated. However, DXA-derived indices can offer additional clinical value. The Trabecular Bone Score (TBS), which reflects bone microarchitecture, is frequently reduced in patients with DM and is associated with increased fracture risk, particularly in postmenopausal women. TBS is also linked to glycemic control and microvascular complications and can improve with bone-active medications, thus aiding follow-up assessments. Another useful DXA-based tool is the Bone Strain Index (BSI), which evaluates load resistance and has been shown to be degraded in diabetic patients, offering further predictive value for fractures. Additionally, Hip Structural Analysis (HSA) provides information on the mechanical integrity of the proximal femur, which may be compromised in DM. Based on the available evidence, this review aims to highlight the clinical utility of DXA-derived tools in DM-induced osteoporosis, emphasizing their ability to provide quantitative and qualitative information on bone health and to predict the risk of fragility fractures. Full article
Show Figures

Figure 1

15 pages, 2443 KB  
Article
Bone Microstructural Deterioration and miR-155/RHOA-Mediated Osteoclastogenesis in Type 2 Diabetes Mellitus
by Mouza M. Alaleeli, Suneesh Kaimala, Ernest Adeghate and Sahar Mohsin
Int. J. Mol. Sci. 2025, 26(17), 8159; https://doi.org/10.3390/ijms26178159 - 22 Aug 2025
Viewed by 1827
Abstract
Type 2 diabetes mellitus (T2DM) is known to increase the risk of fragility fractures; however, the underlying mechanism is still elusive. Reduced miR-155 and elevated RHOA are known to drive bone resorption, but their role in T2DM remains unclear. This study investigates bone [...] Read more.
Type 2 diabetes mellitus (T2DM) is known to increase the risk of fragility fractures; however, the underlying mechanism is still elusive. Reduced miR-155 and elevated RHOA are known to drive bone resorption, but their role in T2DM remains unclear. This study investigates bone remodeling imbalances in T2DM through miR-155 and RHOA expression profiling. Three-month-old female Wistar rats were fed a high-calorie diet for 3 weeks, followed by intraperitoneal injections of two lower doses of streptozotocin at weekly intervals to induce T2DM. Bone analysis from diabetic rats tested using qRT-PCR showed significantly reduced miR-155 levels and elevated RHOA. Histological analysis showed a 12.65% increase in Tb.Sp, 10.07% decrease in Tb.Th, and significant increase (p < 0.05) in apoptotic osteocytes. The bone turnover marker CTx-1 level was increased by 20.84%, and RANKL levels were significantly increased in T2DM. IL-1β and TNF-α were increased in T2DM. Bone resorption is more likely to occur in T2DM as both IL-1β and TNF-α work synergistically to promote osteoclastogenesis. MiR-155 could be an important modulator of bone remodeling in T2DM and a potential therapeutic target for diabetic osteopathy. Full article
(This article belongs to the Special Issue Type 2 Diabetes: Molecular Pathophysiology and Treatment)
Show Figures

Figure 1

21 pages, 1666 KB  
Review
Macrophage Dysfunction in Tuberculosis–Diabetes Mellitus Comorbidity: A Scoping Review of Immune Dysregulation and Disease Progression
by Simone E. Barry, Alice Sawka, Antonietta Maldari, Joseph Inauen, Sam LaBroome and James B. Geake
Diabetology 2025, 6(5), 35; https://doi.org/10.3390/diabetology6050035 - 2 May 2025
Cited by 1 | Viewed by 2403
Abstract
Background: Tuberculosis (TB) and diabetes mellitus (DM) comorbidity (TB-DM) presents a significant global health challenge, with diabetes increasing susceptibility to TB, worsening clinical outcomes, and impairing immune responses. Among these dysfunctions, macrophages—the primary immune cells responsible for pathogen recognition, phagocytosis, and bacterial clearance—exhibit [...] Read more.
Background: Tuberculosis (TB) and diabetes mellitus (DM) comorbidity (TB-DM) presents a significant global health challenge, with diabetes increasing susceptibility to TB, worsening clinical outcomes, and impairing immune responses. Among these dysfunctions, macrophages—the primary immune cells responsible for pathogen recognition, phagocytosis, and bacterial clearance—exhibit profound alterations in TB-DM. However, the complex interplay between metabolic dysregulation, immune impairment, and macrophage dysfunction remains poorly defined. Objective: This scoping review systematically maps the literature on macrophage dysfunction in TB-DM, identifying key immunological impairments affecting phagocytosis, cytokine production, antigen presentation, macrophage polarisation, reactive oxygen species (ROS) and nitric oxide (NO) regulation, and chronic inflammation. Methods: A systematic search was conducted in PubMed, Web of Science, and Embase, covering studies from 2014 to 2024. Inclusion criteria focused on human studies investigating macrophage-specific mechanisms in TB-DM. Data extraction and synthesis were performed using Covidence, with findings grouped into key immunological themes. Results: A total of 44 studies were included, revealing significant impairments in macrophage function in TB-DM. Findings indicate reduced NO production, variable ROS dysregulation, altered M1/M2 polarisation, defective antigen presentation, and chronic inflammation. Elevated IL-10 and VEGF were associated with immune suppression and granuloma destabilisation, while eicosanoids (PGE2, LXA4) contributed to sustained inflammation. Conclusions: Macrophage dysfunction emerges as a central driver of immune failure in TB-DM, creating a self-perpetuating cycle of inflammation, immune exhaustion, and bacterial persistence. Understanding these mechanisms is essential for developing biomarker-driven diagnostics, host-directed therapies, targeted immunomodulation, and improving TB outcomes in diabetic populations. Future research should explore macrophage-targeted interventions to enhance immune function and mitigate TB-DM burden. Full article
Show Figures

Figure 1

29 pages, 6086 KB  
Article
Development and Validation of Early Alert Model for Diabetes Mellitus–Tuberculosis Comorbidity
by Zhaoyang Ye, Guangliang Bai, Ling Yang, Li Zhuang, Linsheng Li, Yufeng Li, Ruizi Ni, Yajing An, Liang Wang and Wenping Gong
Microorganisms 2025, 13(4), 919; https://doi.org/10.3390/microorganisms13040919 - 16 Apr 2025
Cited by 2 | Viewed by 1400
Abstract
Diabetes mellitus (DM) and tuberculosis (TB) are two global health challenges that significantly impact population health, with DM increasing susceptibility to TB infections. However, early risk prediction methods for DM patients complicated with TB (DM–TB) are lacking. This study mined transcriptome data of [...] Read more.
Diabetes mellitus (DM) and tuberculosis (TB) are two global health challenges that significantly impact population health, with DM increasing susceptibility to TB infections. However, early risk prediction methods for DM patients complicated with TB (DM–TB) are lacking. This study mined transcriptome data of DM–TB patients from the GEO database (GSE181143 and GSE114192) and used differential analysis, weighted gene co-expression network analysis (WGCNA), intersecting immune databases, combined with ten machine learning algorithms, to identify immune biomarkers associated with DM–TB. An early alert model for DM–TB was constructed based on the identified core differentially expressed genes (DEGs) and validated through a prospective cohort study and reverse transcription quantitative real-time polymerase chain reaction (RT-qPCR) for gene expression levels. Furthermore, we performed a detailed immune status analysis of DM–TB patients using the CIBERSORT algorithm. We identified 1090 DEGs associated with DM–TB and further pinpointed CETP (cholesteryl ester transfer protein) (AUC = 0.804, CI: 0.744–0.864), TYROBP (TYRO protein tyrosine kinase binding protein) (AUC = 0.810, CI: 0.752–0.867), and SECTM1 (secreted and transmembrane protein 1) (AUC = 0.811, CI: 0.757–0.864) as immune-related biomarkers for DM–TB patients. An early alert model was developed based on these three genes (AUC = 0.86, CI: 0.813–0.907), with a sensitivity of 0.80829 and a specificity of 0.75758 at a Youden index of 0.56587. External validation using the GSE114192 dataset showed an AUC of 0.901 (CI: 0.847–0.955). Population cohort research and RT-qPCR verified the expression levels of these three genes, demonstrating consistency with trends seen in the training set. KEGG enrichment analysis revealed that NF-κB and MAPK signaling pathways play crucial roles in the DM–TB pathogenic mechanism, and immune infiltration analysis showed significant suppression of certain adaptive immune cells and activation of inflammatory cells in DM–TB patients. This study identified three potential immune-related biomarkers for DM–TB, and the constructed risk assessment model demonstrated significant predictive efficiency, providing an early screening strategy for DM–TB. Full article
(This article belongs to the Section Medical Microbiology)
Show Figures

Figure 1

15 pages, 6493 KB  
Article
Glutathione Depletion Exacerbates Hepatic Mycobacterium tuberculosis Infection
by Kayvan Sasaninia, Aishvaryaa Shree Mohan, Ali Badaoui, Ira Glassman, Sonyeol Yoon, Arshavir Karapetyan, Afsal Kolloli, Ranjeet Kumar, Santhamani Ramasamy, Selvakumar Subbian and Vishwanath Venketaraman
Biology 2025, 14(2), 131; https://doi.org/10.3390/biology14020131 - 27 Jan 2025
Viewed by 2315
Abstract
Extrapulmonary tuberculosis (EPTB) accounts for approximately 17% of all Mycobacterium tuberculosis (M.tb) infections globally. Immunocompromised individuals, such as those with HIV infection or type 2 diabetes mellitus (T2DM), are at an increased risk for EPTB. Previous studies have demonstrated that patients [...] Read more.
Extrapulmonary tuberculosis (EPTB) accounts for approximately 17% of all Mycobacterium tuberculosis (M.tb) infections globally. Immunocompromised individuals, such as those with HIV infection or type 2 diabetes mellitus (T2DM), are at an increased risk for EPTB. Previous studies have demonstrated that patients with HIV and T2DM exhibit diminished synthesis of glutathione (GSH) synthesizing enzymes. In a murine model, we showed that the diethyl maleate (DEM)-induced depletion of GSH in the lungs led to increased M.tb burden and an impaired pulmonary granulomatous response to M.tb infection. However, the effects of GSH depletion during active EPTB in the liver and spleen have yet to be elucidated. In this study, we evaluated hepatic GSH and malondialdehyde (MDA) levels, as well as cytokine profiles, in untreated and DEM-treated M.tb-infected wild-type (WT) C57BL/6 mice. Additionally, we assessed hepatic and splenic M.tb burdens and tissue pathologies. DEM treatment resulted in a significant decrease in the levels of the reduced form of GSH and an increase in MDA, oxidized GSH, and interleukin (IL)-6 levels. Furthermore, DEM-induced GSH decrease was associated with decreased production of IL-12 and IL-17 and elevated production of interferon-gamma (IFN-γ), tumor necrosis factor (TNF)-α, and transforming growth factor (TGF)-β. A significant increase in M.tb growth was detected in the liver and spleen in DEM-treated M.tb-infected mice. Large, disorganized lymphocyte infiltrates were detected in the hepatic tissues of DEM-treated mice. Overall, GSH diminishment impaired the granulomatous response to M.tb in the liver and exacerbated M.tb growth in both the liver and spleen. These findings provide critical insights into the immunomodulatory role of GSH in TB pathogenesis and suggest potential therapeutic avenues for the treatment of extrapulmonary M.tb infections. Full article
Show Figures

Figure 1

15 pages, 614 KB  
Article
Effects of Medium- and Short-Chain Fatty Acids on Growth Performance, Nutrient Digestibility, Gut Microbiota and Immune Function in Weaned Piglets
by Shuang Dong, Nan Zhang, Jihua Wang, Yu Cao, Lee J. Johnston and Yongxi Ma
Animals 2025, 15(1), 37; https://doi.org/10.3390/ani15010037 - 26 Dec 2024
Cited by 4 | Viewed by 2029
Abstract
The aim of this study was to investigate the combination effects of α-glycerol monolaurate (GML) and glyceryl tributyrate (TB) on growth performance, nutrient digestibility, gut microbiota, and immune function in weaned piglets. A total of 120 weaned piglets with an average body weight [...] Read more.
The aim of this study was to investigate the combination effects of α-glycerol monolaurate (GML) and glyceryl tributyrate (TB) on growth performance, nutrient digestibility, gut microbiota, and immune function in weaned piglets. A total of 120 weaned piglets with an average body weight (BW) of 6.88 kg were randomly allocated to one of the three dietary treatments: (1) CON: a basal diet; (2) 0.1%: a basal diet with 0.1% MSCFA (GML/TB = 1:1); (3) 0.2%: a basal diet with 0.2% MSCFA (GML/TB = 1:1). The experiment lasted 28 days. There were no differences on average daily growth (ADG), average daily feed intake (ADFI), and feed conversion ratio (FCR). Supplementation with 0.1% MSCFA increased apparent total tract digestibility (ATTD) of crude protein (CP) and gross energy (GE, p < 0.05) on d 14 and increased GE (p < 0.05) on d 28 compared with the CON group. The ATTD of dry matter (DM), organic matter (OM) and crude protein (CP) of piglets supplemented with 0.1% MSCFA was higher (p < 0.05). Compared with the CON group, supplementation with 0.1% MSCFA increased immunoglobulin M (IgM) concentration, decreased interleukin-6 (IL-6) content (p < 0.05) on d 14 and decreased malonaldehyde (MDA), interleukin-1beta (IL-1β), IL-6 concentrations (p < 0.05) on d 28. Supplementation with 0.1% MSCFA increased total antioxidant capacity (T-AOC) concentration (p < 0.05), decreased GSH-Px, MDA content (p < 0.05) in jejunum compared with the CON group. Moreover, supplementation with MSCFA increased the activity of duodenal lipase (p < 0.05) and the abundance of firmicutes and decreased the abundance of proteobacteria compared with the CON group. Overall, supplementation with MSCFA can improve nutrient digestibility, enhance immunity and antioxidant capacity, and improve the intestinal health of piglets. The combined use of MSCFA is a nutrition regulation strategy worthy of further exploration in modern animal husbandry. Full article
(This article belongs to the Section Pigs)
Show Figures

Figure 1

24 pages, 1561 KB  
Review
Association Between Diabetes Mellitus–Tuberculosis and the Generation of Drug Resistance
by Axhell Aleid Cornejo-Báez, Roberto Zenteno-Cuevas and Julieta Luna-Herrera
Microorganisms 2024, 12(12), 2649; https://doi.org/10.3390/microorganisms12122649 - 20 Dec 2024
Cited by 6 | Viewed by 5329
Abstract
Tuberculosis (TB), caused by Mycobacterium tuberculosis (Mtb), remains one of the leading infectious causes of death globally, with drug resistance presenting a significant challenge to control efforts. The interplay between type 2 diabetes mellitus (T2DM) and TB introduces additional complexity, as [...] Read more.
Tuberculosis (TB), caused by Mycobacterium tuberculosis (Mtb), remains one of the leading infectious causes of death globally, with drug resistance presenting a significant challenge to control efforts. The interplay between type 2 diabetes mellitus (T2DM) and TB introduces additional complexity, as T2DM triples the risk of active TB and exacerbates drug resistance development. This review explores how T2DM-induced metabolic and immune dysregulation fosters the survival of Mtb, promoting persistence and the emergence of multidrug-resistant strains. Mechanisms such as efflux pump activation and the subtherapeutic levels of isoniazid and rifampicin in T2DM patients are highlighted as key contributors to resistance. We discuss the dual syndemics of T2DM–TB, emphasizing the role of glycemic control and innovative therapeutic strategies, including efflux pump inhibitors and host-directed therapies like metformin. This review underscores the need for integrated diagnostic, treatment, and management approaches to address the global impact of T2DM–TB comorbidity and drug resistance. Full article
(This article belongs to the Special Issue Prevention, Treatment and Diagnosis of Tuberculosis, 2nd Edition)
Show Figures

Graphical abstract

15 pages, 1481 KB  
Article
Chemical Composition and Biological Properties of Achillea cucullata Extracts from Leaves and Flowers
by Manal Abdulaziz Binobead and Ibrahim M. Aziz
Separations 2024, 11(8), 236; https://doi.org/10.3390/separations11080236 - 1 Aug 2024
Cited by 4 | Viewed by 1932
Abstract
Achillea cucullata is a perennial herbaceous plant that has a long history of medical use in many cultures. The present research focuses on the biological activity and therapeutic potential of A. cucullata, namely its antibacterial and anticancer properties. While previous studies have [...] Read more.
Achillea cucullata is a perennial herbaceous plant that has a long history of medical use in many cultures. The present research focuses on the biological activity and therapeutic potential of A. cucullata, namely its antibacterial and anticancer properties. While previous studies have shed light on the cytotoxic and antibacterial capabilities of Achillea cucullata aerial parts, there is still a considerable gap in knowledge concerning the anticancer potential of leaf and flower extracts. A. cucullata’s leaves and flowers were extracted using methanol. The total phenolic and flavonoid contents were evaluated. The antioxidant, cytotoxic, and antibacterial properties were evaluated against both Gram-positive and Gram-negative bacteria. The Gas Chromatography–Mass Spectrometry (GC–MS) analysis of A. cucullata leaf and flower extracts showed numerous amounts of bioactive components, including carvacrol, a TBDMS derivative; 2-Myristynoyl-glycinamide, acetylaminobenzothiazol-2-yl)-2-(adamantan-1-yl); Isolongifolol; (3E,10Z)-Oxacyclotrideca-3,10-diene-2,7-dione; and 3-Heptanone, 5-hydroxy-1,7-diphenyl. The extract has a high level of phenols and flavonoids. Cytotoxicity studies found that A. cucullata leaves and flowers had dose-dependent toxicity against MCF-7 and HepG2 cancer cell lines, with flowers being more effective. Apoptotic genes (caspase-3, 8, 9, and Bax) were upregulated in treated MCF-7 and HepG2 cells, whereas anti-apoptotic genes (Bcl-xL and Bcl-2) were reduced. Antibacterial screening revealed significant activity against both Gram-positive and Gram-negative pathogens. Overall, the research highlights the varied therapeutic potentials of A. cucullata, adding to the knowledge of plant-derived extracts in lowering disease risks. Future research should concentrate on in vivo studies to assess the effectiveness and safety of these substances. Full article
(This article belongs to the Special Issue Extraction, Purification and Application of Bioactive Compounds)
Show Figures

Figure 1

12 pages, 3746 KB  
Article
The Helix Ring Peptide U11 from the Venom of the Ant, Tetramorium bicarinatum, Acts as a Putative Pore-Forming Toxin
by Steve Peigneur, Diogo Tibery and Jan Tytgat
Membranes 2024, 14(5), 114; https://doi.org/10.3390/membranes14050114 - 14 May 2024
Cited by 3 | Viewed by 2189
Abstract
An insect neuroactive helix ring peptide called U11-MYRTX-Tb1a (abbreviated as U11) from the venom of the ant, Tetramorium bicarinatum. U11 is a 34-amino-acid peptide that is claimed to be one of the most paralytic peptides ever reported [...] Read more.
An insect neuroactive helix ring peptide called U11-MYRTX-Tb1a (abbreviated as U11) from the venom of the ant, Tetramorium bicarinatum. U11 is a 34-amino-acid peptide that is claimed to be one of the most paralytic peptides ever reported from ant venoms acting against blowflies and honeybees. The peptide features a compact triangular ring helix structure stabilized by a single disulfide bond, which is a unique three-dimensional scaffold among animal venoms. Pharmacological assays using Drosophila S2 cells have demonstrated that U11 is not cytotoxic but instead suggest that it may modulate potassium channels via the presence of a functional dyad. In our work described here, we have tested this hypothesis by investigating the action of synthetically made U11 on a wide array of voltage-gated K and Na channels since it is well known that these channels play a crucial role in the phenomenon of paralysis. Using the Xenopus laevis oocyte heterologous expression system and voltage clamp, our results have not shown any modulatory effect of 1 μM U11 on the activity of Kv1.1, Kv1.3, Kv1.4, Kv1.5, Shaker IR, Kv4.2, Kv7.1, Kv10.1, Kv11.1 and KQT1, nor on DmNav and BgNav. Instead, 10 μM U11 caused a quick and irreversible cytolytic effect, identical to the cytotoxic effect caused by Apis mellifera venom, which indicates that U11 can act as a pore-forming peptide. Interestingly, the paralytic dose (PD50) on blowflies and honeybees corresponds with the concentration at which U11 displays clear pore-forming activity. In conclusion, our results indicate that the insecticidal and paralytic effects caused by U11 may be explained by the putative pore formation of the peptide. Full article
(This article belongs to the Collection Feature Papers in Biological Membrane Functions)
Show Figures

Figure 1

9 pages, 884 KB  
Article
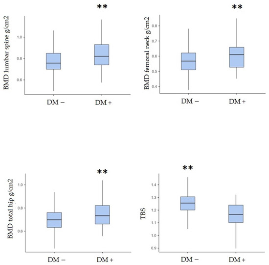
Prevalence of Diabetes Mellitus and Clinical Differences in Patients with Severe Osteoporosis and Fragility Fractures
by Isabella Nardone, Rossella Antonelli, Simona Zaccaria, Sium Wolde Sellasie, Stefania Falcone, Chiara Pecchioli, Laura Giurato and Luigi Uccioli
J. Clin. Med. 2024, 13(9), 2670; https://doi.org/10.3390/jcm13092670 - 2 May 2024
Cited by 3 | Viewed by 1957
Abstract
Background: Diabetes mellitus (DM) and osteoporosis are two of the most widespread metabolic diseases in the world. The aim of this study is to investigate the prevalence of DM among patients affected by osteoporosis and fragility fractures, and to search for differences in [...] Read more.
Background: Diabetes mellitus (DM) and osteoporosis are two of the most widespread metabolic diseases in the world. The aim of this study is to investigate the prevalence of DM among patients affected by osteoporosis and fragility fractures, and to search for differences in clinical characteristics. Methods: This is a single-center retrospective, case–controlled study. A total of 589 patients attending CTO Bone Unit between 2 January 2010 and 31 May 2023, due to osteoporosis and fragility fractures, were divided into two groups, according to the diagnosis of DM. The clinical and bone characteristics of patients were compared. Results: Prevalence of DM was 12.7%. Compared to patients without DM, the median age at the time of first fracture was similar: 72 years ± 13.5 interquartile range (IQR) vs. 71 years ± 12 IQR; prevalence of combination of vertebral and hip fractures was higher (p = 0.008), as well as prevalence of males (p = 0.016). Bone mineral density (BMD) at all sites was higher in DM group; trabecular bone score (TBS), instead, was significantly lower (p < 0.001). Conclusions: Patients with fragility fractures and DM more frequently show combination of major fractures with higher BMD levels. In these patients, TBS could be a better indicator of bone health than BMD and, therefore, might be used as a diagnostic tool in clinical practice. Full article
(This article belongs to the Section Endocrinology & Metabolism)
Show Figures

Figure 1

13 pages, 681 KB  
Article
Prevalence of Drug-Resistant Tuberculosis in HIV-Positive and Diabetic Patients in Sinaloa, Mexico: A Retrospective Cross-Sectional Study
by Analy Aispuro Pérez, Ulises Osuna-Martínez, Jose Angel Espinoza-Gallardo, Luis Alfredo Dorantes-Álvarez, Gerardo Kenny Inzunza-Leyva, Kimberly Estefania Dorantes-Bernal and Geovanna Nallely Quiñonez-Bastidas
Trop. Med. Infect. Dis. 2024, 9(4), 89; https://doi.org/10.3390/tropicalmed9040089 - 22 Apr 2024
Cited by 2 | Viewed by 3811
Abstract
Tuberculosis (TB) is a disease caused by the bacillus Mycobacterium tuberculosis (MTB). Human immunodeficiency virus (HIV) infection and type 2 diabetes mellitus (T2DM) are among the main risk factors for the development of TB and increase the risk of drug-resistant TB developing (DR-TB). [...] Read more.
Tuberculosis (TB) is a disease caused by the bacillus Mycobacterium tuberculosis (MTB). Human immunodeficiency virus (HIV) infection and type 2 diabetes mellitus (T2DM) are among the main risk factors for the development of TB and increase the risk of drug-resistant TB developing (DR-TB). The aim of this study was to estimate the prevalence of DR-TB in patients with HIV or T2DM in Sinaloa, Mexico. This was an observational and cross-sectional study. The analysis was conducted using the clinical data of patients registered on the National Epidemiological Surveillance System for TB (SINAVE/PUI-TB) platform with a presumed diagnosis of TB during 2019 to 2021 in Sinaloa, Mexico. The prevalence of DR-TB was estimated in HIV and T2DM patients, as well as the odds ratios for their sociodemographic variables, using the Chi-square test. There were 2, 4, and 4 TB-HIV cases and 2, 6, and 9 TB-T2DM cases during 2019, 2020, and 2021, respectively, whereas there were 2 and 1 DRTB-HIV and DRTB-T2DM cases, respectively. The results indicated that the WHO guidelines for DR-TB were not properly applied to this high-risk population. Hence, the appropriate application of guidelines for TB and DR-TB detection in these patients needs to be immediately implemented by the State health system. Full article
(This article belongs to the Special Issue Burden of Tuberculosis in Different Countries)
Show Figures

Figure 1

11 pages, 586 KB  
Article
Mutational Dynamics Related to Antibiotic Resistance in M. tuberculosis Isolates from Serial Samples of Patients with Tuberculosis and Type 2 Diabetes Mellitus
by Gustavo A. Bermúdez-Hernández, Damián Pérez-Martínez, Maria Cristina Ortiz-León, Raquel Muñiz-Salazar, Cuauhtemoc Licona-Cassani and Roberto Zenteno-Cuevas
Microorganisms 2024, 12(2), 324; https://doi.org/10.3390/microorganisms12020324 - 3 Feb 2024
Cited by 5 | Viewed by 2534
Abstract
Genetic variation in tuberculosis is influenced by the host environment, patients with comorbidity, and tuberculosis–type 2 diabetes mellitus (TB-T2DM) and implies a higher risk of treatment failure and development of drug resistance. Considering the above, this study aimed to evaluate the influence of [...] Read more.
Genetic variation in tuberculosis is influenced by the host environment, patients with comorbidity, and tuberculosis–type 2 diabetes mellitus (TB-T2DM) and implies a higher risk of treatment failure and development of drug resistance. Considering the above, this study aimed to evaluate the influence of T2DM on the dynamic of polymorphisms related to antibiotic resistance in TB. Fifty individuals with TB-T2DM and TB were initially characterized, and serial isolates of 29 of these individuals were recovered on day 0 (diagnosis), 30, and 60. Genomes were sequenced, variants related to phylogeny and drug resistance analyzed, and mutation rates calculated and compared between groups. Lineage X was predominant. At day 0 (collection), almost all isolates from the TB group were sensitive, apart from four isolates from the TB-T2DM group showing the mutation katG S315T, from which one isolate had the mutations rpoB S450L, gyrA A90G, and gyrA D94G. This pattern was observed in a second isolate at day 30. The results provide a first overview of the dynamics of mutations in resistance genes from individuals with TB-T2DM, describing an early development of resistance to isoniazid and a rapid evolution of resistance to other drugs. Although preliminary, these results help to explain the increased risk of drug resistance in individuals with TB and T2DM. Full article
Show Figures

Figure 1

14 pages, 5354 KB  
Article
Novel Lanthanide Complexes Synthesized from 3-Dimethylamino Benzoic Acid and 5,5′-Dimethyl-2,2′ Bipyridine Ligand: Crystal Structure, Thermodynamics, and Fluorescence Properties
by Ya-Fan Hao, Su-Ling Xu, Quan Shi, Jin-Jin Zhao, Ning Ren, Jie Gao and Jian-Jun Zhang
Molecules 2023, 28(24), 8156; https://doi.org/10.3390/molecules28248156 - 18 Dec 2023
Cited by 3 | Viewed by 2312
Abstract
Two isostructural lanthanide complexes were synthesized by solvent evaporation with 3-dimethylaminobenzoic acid and 5,5′-dimethyl-2,2′-bipyridine as ligands. The general formula of the structure is a [Ln(3-N,N-DMBA)3(5,5′-DM-2,2′-bipy)]2·2(3-N,N-DMHBA), Ln = (Gd(1), Tb(2)), 3-N,N-DMBA = 3-Dimethylamino benzoate, 5,5′-DM-2,2′-bipy = [...] Read more.
Two isostructural lanthanide complexes were synthesized by solvent evaporation with 3-dimethylaminobenzoic acid and 5,5′-dimethyl-2,2′-bipyridine as ligands. The general formula of the structure is a [Ln(3-N,N-DMBA)3(5,5′-DM-2,2′-bipy)]2·2(3-N,N-DMHBA), Ln = (Gd(1), Tb(2)), 3-N,N-DMBA = 3-Dimethylamino benzoate, 5,5′-DM-2,2′-bipy = 5,5′-dimethyl-2,2′ bipyridine. Both complexes exhibited dimeric structures based on X-ray diffraction analysis. At the same time, infrared spectroscopy and Raman spectroscopy were used to measure the spectra of the complex. A thermogravimetric infrared spectroscopy experiment was performed to investigate the thermal stability and decomposition mechanism of the complexes. Measurements of the low-temperature heat capacity of the complexes were obtained within the temperature range of 1.9 to 300 K. The thermodynamic function was calculated by heat capacity fitting. In addition, the fluorescence spectra of complex 2 were studied and the fluorescence lifetime values were determined, and the energy transfer mechanism of complex 2 was elucidated. Full article
Show Figures

Graphical abstract

18 pages, 5009 KB  
Article
Research and Possible Agronomic Applications of C60(OH)24 Adducts with Heavy Metals for Crop Treatment
by Natalia A. Kulenova, Nikolay A. Charykov, Viktor A. Keskinov, Anastasiia A. Gur’eva, Valeriia P. German and Dmitry G. Letenko
Processes 2023, 11(12), 3354; https://doi.org/10.3390/pr11123354 - 2 Dec 2023
Viewed by 1512
Abstract
This article describes the synthesis of fullerenol—C60(OH)24 adducts with some heavy metals— [...] Read more.
This article describes the synthesis of fullerenol—C60(OH)24 adducts with some heavy metals—C60(ONa)x(O2Me)(24x)/2;C60(ONa)x(O3Me)(24x)/3; Me=Co; Cu; Mn; Zn; Gd; Tb. The identification of adducts was carried out by the methods of: elemental analysis, infrared and electronic spectroscopy, complex thermal analysis, high-performance liquid chromatography and dynamic light scattering. The solubility of adducts in aqueous solutions in the ambient temperature range has been studied. The solubility was significant and ranged from a few tenths to 1 g/dm3. The use of these adducts as micronutrients for spring barley crops in the Republic of Kazakhstan is considered. When using these nanopreparations, a general increase in yield (tens, up to 80 rel.%), nutrient content and moisture content of seeds (4–5 rel. mass %), as well as the resistance of the latter to the effects of pathogenic microorganisms (percentage of healthy seeds growth up to 10 rel.%), was noted. Full article
Show Figures

Figure 1

Back to TopTop