Sign in to use this feature.

Years

Between: -

Subjects

remove_circle_outline
remove_circle_outline
remove_circle_outline
remove_circle_outline
remove_circle_outline
remove_circle_outline
remove_circle_outline
remove_circle_outline
remove_circle_outline

Journals

remove_circle_outline
remove_circle_outline
remove_circle_outline
remove_circle_outline
remove_circle_outline
remove_circle_outline
remove_circle_outline
remove_circle_outline
remove_circle_outline
remove_circle_outline
remove_circle_outline

Article Types

Countries / Regions

remove_circle_outline
remove_circle_outline
remove_circle_outline
remove_circle_outline

Search Results (425)

Search Parameters:
Keywords = SiP integration

Order results
Result details
Results per page
Select all
Export citation of selected articles as:
16 pages, 3791 KB  
Article
Study on the Effect of Substitutional Doping of Ce Atomic on the Damage Properties of Fused Silica
by Jiaxing Chen, Kaizao Ni, Ruijin Hong, Lingqiao Li and Zhan Sui
Materials 2026, 19(6), 1225; https://doi.org/10.3390/ma19061225 - 20 Mar 2026
Abstract
In high-power laser systems, extrinsic impurities—particularly Ce introduced during conventional ring polishing—have been identified as critical contributors to the degradation of laser-induced damage resistance in fused silica optical components. This study systematically investigates the effects of cerium substitutional doping on the electronic structure [...] Read more.
In high-power laser systems, extrinsic impurities—particularly Ce introduced during conventional ring polishing—have been identified as critical contributors to the degradation of laser-induced damage resistance in fused silica optical components. This study systematically investigates the effects of cerium substitutional doping on the electronic structure and optical properties of fused silica, integrating first-principles density functional theory calculations with experimental characterizations. The results demonstrate that substitutional incorporation of cerium atoms into the fused silica framework introduces deep-level defect states within the band gap, resulting in band gap narrowing and absorption edge redshift of the material. The energy position of the defect states depends on the Ce doping configuration. Among them, the Ce-4f orbital constitutes the dominant component of the defect state’s electronic structure, while the neighboring atomic orbitals such as O-2p and Si-3s/3p participate in bonding through hybridization, thereby determining the depth and distribution characteristics of the defect levels. The optical absorption edge of cerium-doped fused silica undergoes a significant redshift from the intrinsic value of 222 nm to 468 nm in the dual-Ce adjacent-site doping configuration, thereby endowing the material with substantial optical absorption capability at a wavelength of 355 nm. μ-UVPL spectroscopy combined with μ-XRD and other characterization analyses confirmed that the characteristic emission peak at 450 nm on the surface region of fused silica originated from Ce-related defect centers; this spectral feature was consistent with the defect state electronic structure predicted by the diatomic nearest-neighbor doping model. LIDT tests further indicated that the Ce-contaminated area significantly weakened the material’s laser damage resistance under 355 nm laser irradiation. This study further explained the mechanism by which traditional polishing-induced Ce element doping causes the low laser damage threshold of fused silica optical components, providing a theoretical basis for improving their performance. Full article
(This article belongs to the Section Advanced and Functional Ceramics and Glasses)
Show Figures

Figure 1

17 pages, 6338 KB  
Article
Microwave-Assisted Composite Alkali Activation of Low-Calcium Fly Ash: Preparation and Analysis
by Zeyu Tang, Hongyue Yin, Xin Lv, Jingjie Jiang, Yu Gao, Yue Gao, Minmin Liu, Jianying Deng and Chul B. Park
Minerals 2026, 16(3), 322; https://doi.org/10.3390/min16030322 - 19 Mar 2026
Abstract
To promote the high-value utilization of fly ash (FA) and address the prolonged setting time and limited strength associated with conventional single-alkali activation, this study proposes a synergistic dual-alkali activation strategy using Ca(OH)2 and Na2SiO3 in combination with microwave-assisted [...] Read more.
To promote the high-value utilization of fly ash (FA) and address the prolonged setting time and limited strength associated with conventional single-alkali activation, this study proposes a synergistic dual-alkali activation strategy using Ca(OH)2 and Na2SiO3 in combination with microwave-assisted curing for low-calcium fly ash. Samples containing varying amounts of Ca(OH)2 were systematically characterized by X-ray diffraction (XRD), Fourier transform infrared spectroscopy (FTIR), scanning electron microscopy (SEM), compressive strength testing, and pore structure analysis. The results show that Ca(OH)2 facilitates the formation of calcium aluminosilicate hydrate (C-A-S-H) gel, while Na2SiO3 sustains the alkaline environment and enhances the dissolution of SiO2 and Al2O3 from FA. The dual-alkali synergistic system, when coupled with microwave treatment, markedly refines the pore structure, increases the degree of polymerization, and improves compressive strength from 0.5 MPa to 1.7 MPa with increasing Ca(OH)2 content. In addition, the prepared fly ash-based geopolymer (FABG) demonstrates pronounced pH-buffering capacity in acidic environments and exhibits antibacterial activity, primarily attributable to its sustained release of alkalinity. This work highlights that integrating dual-alkali activation with microwave curing can simultaneously enhance microstructural development, chemical stability, and functional performance in low-calcium FA systems, thereby offering a viable route for the development of sustainable and multifunctional green building materials derived from industrial solid waste. Full article
Show Figures

Figure 1

22 pages, 5476 KB  
Article
Genome-Wide RNAi Screening Identifies Novel Host Factors Involved in Influenza A Virus Infection in A549 Cells
by Qingchao Zhang, Lifang Zhang, Xinmeng Yang, Wei Wang, Xiliang Wang, Chengyu Jiang, Fengming Huang and Yanli Zhang
Viruses 2026, 18(3), 374; https://doi.org/10.3390/v18030374 - 17 Mar 2026
Viewed by 114
Abstract
Influenza A virus (IAV) remains a major global health threat, and host-directed antivirals may help overcome rapid viral mutation and drug resistance. Here, we performed a genome-wide siRNA screen in A549 cells using cell viability as an integrated endpoint to identify host determinants [...] Read more.
Influenza A virus (IAV) remains a major global health threat, and host-directed antivirals may help overcome rapid viral mutation and drug resistance. Here, we performed a genome-wide siRNA screen in A549 cells using cell viability as an integrated endpoint to identify host determinants of IAV (PR8/H1N1) infection. Using plate-normalized viability ratios, we identified 2134 genes with >40% viability change after infection (2048 UP and 86 DOWN; two-tailed t-test, n = 3; p < 0.05, FDR < 0.1). MetaCore pathway analysis showed enrichment of programs linked to host response and tissue injury control, including RAS-related signaling and multiple metabolic pathways such as estradiol, ubiquinone/mitochondrial redox, and benzo[a]pyrene/xenobiotic metabolism. DAVID Gene Ontology analysis further highlighted biological processes relevant to infection, including endocytosis, transcription, and translation, consistent with host pathways supporting viral replication. Benchmarking against meta-analyzed RNAi and CRISPR resources revealed that shared hits were enriched for translation, nucleocytoplasmic transport, and ER-Golgi trafficking, supporting external validity, whereas the large unique UP fraction was dominated by hormone metabolism, detoxification, and mitochondrial redox/CoQ pathways, consistent with viability-specific, tolerance-associated host response programs. Integrating the screen with DrugBank identified 174 druggable host genes corresponding to 345 candidate compounds. Together, these findings provide a systematic resource of host factors influencing H1N1 infection, improve understanding of influenza virus–host interactions, and offer a foundation for future development of host-directed antiviral strategies and drug repurposing efforts. Full article
Show Figures

Figure 1

29 pages, 6412 KB  
Article
Petrology and Phase Equilibria of Eclogites at Dongyuemiao, Western Dabie, and Implications for Fluid Activity in Continental Subduction Channel
by Haojie Li, Bin Xia and Ying Cui
Minerals 2026, 16(3), 298; https://doi.org/10.3390/min16030298 - 12 Mar 2026
Viewed by 251
Abstract
Eclogites exhumed from subduction channels are pivotal for deciphering the thermal structure of continental subduction zones. However, heterogeneities in bulk-rock composition and evolutionary history within the subduction channel can lead to variations in petrographic textures and elemental characteristics among eclogites. Therefore, investigating the [...] Read more.
Eclogites exhumed from subduction channels are pivotal for deciphering the thermal structure of continental subduction zones. However, heterogeneities in bulk-rock composition and evolutionary history within the subduction channel can lead to variations in petrographic textures and elemental characteristics among eclogites. Therefore, investigating the pressure–temperature (P-T) evolution of eclogites from different outcrops is crucial for refining dynamic models of convergent plate boundaries. The Western Dabie Mountain represents an ideal locality for studying the petro-thermodynamics of continental subduction channels. This study focuses on samples collected from the Dongyuemiao area, situated at the boundary between the high-pressure and ultrahigh-pressure metamorphic belts in the Western Dabie. We integrate petrographic observations, mineral chemistry, phase equilibrium modeling, Zr-in-rutile thermometry and hornblende-plagioclase thermobarometry to constrain the P-T evolution of the eclogite. The samples exhibit a consistent mineral assemblage: garnet + omphacite + amphibole + quartz + phengite, with accessory minerals including rutile and titanite. Garnet grains display characteristic “cloudy-core” and “atoll” textures. Major and trace element analyses of large garnet porphyroblasts reveal pronounced growth zoning in divalent cations, with cores showing enrichment in light rare earth elements (LREEs). Based on phase equilibrium modeling and calculated isopleths for garnet (Ca, Mg) and phengite (Si content), we interpret that the garnet core mineral assemblage (glaucophane + rutile + sphene) records a blueschist-facies metamorphic stage, situated near the rutile-titanite transition. A prograde P-T path is reconstructed, comprising an initial stage of isobaric heating (from ~480 °C at 20 kbar to ~550 °C at 21 kbar), followed by an isothermal compression to the Pmax stage (from ~550 °C at 21 kbar to ~575 °C at 26 kbar). Subsequent retrograde evolution is characterized by decompression and cooling, with symplectite formation recording conditions of ~570 °C and 13 kbar. This study demonstrates that the reconstructed P-T path for the Dongyuemiao eclogites shows stepped geothermal gradient for the prograde stage, and that fluid activity during exhumation resulted from a combination of internal and external factors. Full article
(This article belongs to the Section Mineral Geochemistry and Geochronology)
Show Figures

Figure 1

20 pages, 4276 KB  
Article
Synthesis of CoCaFe-LDH/Biochar Adsorbent for Polishing Pretreated Landfill Leachate
by Estevan Cruz, Suelyn Balestrin, Marco Antônio Siqueira Rodrigues, Andrea Moura Bernardes, Eduardo Hiromitsu Tanabe and Daniel Assumpção Bertuol
Processes 2026, 14(6), 897; https://doi.org/10.3390/pr14060897 - 11 Mar 2026
Viewed by 232
Abstract
Landfill leachate, a byproduct of municipal solid waste treatment, typically contains hazardous substances such as toxic metals (e.g., lead) and eutrophication agents (e.g., phosphate). This study addresses the pressing challenge of polishing complex wastewater, such as landfill leachate, through the development of a [...] Read more.
Landfill leachate, a byproduct of municipal solid waste treatment, typically contains hazardous substances such as toxic metals (e.g., lead) and eutrophication agents (e.g., phosphate). This study addresses the pressing challenge of polishing complex wastewater, such as landfill leachate, through the development of a novel ternary layered double hydroxide (LDH). As CaFe-LDHs are known to have an affinity for anions, and CoFe-LDHs have shown an affinity for toxic metal cations, CoCaFe-LDH was proposed to integrate both functionalities. The LDH was anchored on activated biochar to synthetize the novel composite adsorbent CoCaFe-LAB. Key operational parameters (including initial pH, adsorbent dosage, contact time, initial adsorbate concentration, presence of coexisting ions, and regeneration capability) were systematically evaluated. Kinetic and equilibrium analyses revealed that Elovich and Sips models, respectively, best described the adsorption behavior of Pb2+ and PO43−, indicating a heterogeneous adsorption system. Maximum adsorption capacities in synthetic solutions reached 140.81 mg Pb2+ g−1 and 25.19 mg PO43− g−1 at 45 °C. The CoCaFe-LAB composite proved highly effective, particularly for lead removal. In real effluent tests, the adsorbent achieved complete phosphate removal (100%) from electro-oxidized landfill leachate at a dosage of 2.0 g L−1, confirming its practical applicability and efficiency. Full article
(This article belongs to the Special Issue Sustainable Waste Material Recovery Technologies)
Show Figures

Figure 1

35 pages, 11935 KB  
Review
In-Depth Insights into the Complex Interplay Between Microbial Diversity, Ecological Functionality, and Soil Health in Rice Agroecosystems
by Maria Alexandra Cucu and Elisa Zampieri
Agronomy 2026, 16(6), 595; https://doi.org/10.3390/agronomy16060595 - 10 Mar 2026
Viewed by 493
Abstract
Although microbial communities in rice agroecosystems regulate nitrogen transformations, methane dynamics, crop residue decomposition, and pathogen suppression, their integration into agronomic decision-making remains limited. Existing rice microbiome reviews largely describe taxonomic diversity without critically linking microbial processes to management trade-offs, greenhouse gas mitigation, [...] Read more.
Although microbial communities in rice agroecosystems regulate nitrogen transformations, methane dynamics, crop residue decomposition, and pathogen suppression, their integration into agronomic decision-making remains limited. Existing rice microbiome reviews largely describe taxonomic diversity without critically linking microbial processes to management trade-offs, greenhouse gas mitigation, and productivity outcomes. This review synthesizes current knowledge through a process-based and management-oriented framework, emphasizing how water and crop residue management, fertilization, tillage, and genotype selection shape microbial functionality rather than merely community composition. Advances in stable isotope probing (SIP), metatranscriptomics, and multi-omics have improved functional inference, yet a persistent gap remains between genetic potential and in situ process rates. By integrating microbiome science within a One Health perspective, we propose a conceptual framework linking microbial network structure to interconnected dimensions of ecosystem, plant, and human health. This framework addresses not only agronomic outcomes but also food safety concerns, including mycotoxin contamination by fungal pathogens, microbial contributions to nutritional quality, and pathways through which soil and plant microbiomes influence human health via the food chain. We critically examine how microbiome management can simultaneously target productivity, environmental sustainability, and health risk mitigation. We identify priority research needs in predictive microbial ecology, activity-based validation, and microbiome-informed management strategies. Rather than framing microbiomes as a universal solution to global food security, this review critically examines their realistic and context-dependent contribution to improving sustainability, resilience, and resource-use efficiency in rice production under climatic and environmental constraints, while safeguarding food safety and public health. Full article
(This article belongs to the Special Issue Microbial Interactions and Functions in Agricultural Ecosystems)
Show Figures

Figure 1

23 pages, 859 KB  
Article
Fostering Technical and Sustainability Competencies Through an Integrated PBL Approach in an Undergraduate Mechanical Vibration Course
by Yuee Zhao, Hai Dong and Xufang Zhang
Sustainability 2026, 18(5), 2660; https://doi.org/10.3390/su18052660 - 9 Mar 2026
Viewed by 149
Abstract
Engineering education requires pedagogical approaches that integrate sustainability with the development of core technical competencies. This study develops, implements, and evaluates a Sustainability-Integrated Problem-Based Learning (SI-PBL) approach in an undergraduate mechanical vibration course. The approach anchors the learning process in the inherent sustainability [...] Read more.
Engineering education requires pedagogical approaches that integrate sustainability with the development of core technical competencies. This study develops, implements, and evaluates a Sustainability-Integrated Problem-Based Learning (SI-PBL) approach in an undergraduate mechanical vibration course. The approach anchors the learning process in the inherent sustainability characteristics of an engineering problem, requiring students to explicitly negotiate trade-offs between technical performance and sustainability objectives. A quasi-experimental study with 121 mechanical engineering students compared the SI-PBL approach to traditional lecture-based instruction through a compressor redesign project in which students redesigned the balancing system of a single-stage air compressor. Analysis of covariance showed that the SI-PBL cohort achieved significantly larger gains in conceptual understanding (d=0.74, p<0.001), mathematical proficiency (d=0.77, p<0.001), complex problem-solving (d=0.56, p<0.001), and sustainability-oriented decision-making (d=0.61, p<0.001). A positive correlation between gains in complex problem-solving and sustainability reasoning within the SI-PBL group (r=0.41, p=0.001) indicated related competency development. The study provides empirical evidence for using sustainability as an integrating context for developing both technical and sustainability competencies in engineering education. Full article
(This article belongs to the Section Sustainable Engineering and Science)
Show Figures

Figure 1

19 pages, 1381 KB  
Article
Geochemical and Radiological Characterization of Granitic-Derived Highland Coffee Soils in Chiang Mai, Thailand
by Khemruthai Kheamsiri, Naofumi Akata, Chutima Kranrod, Hirofumi Tazoe, Tarika Thumvijit, Ilsa Rosianna, Haruka Kuwata, Krit Khetanun, Narit Yimyam, Yusuke Unno and Akira Takeda
Geosciences 2026, 16(3), 110; https://doi.org/10.3390/geosciences16030110 - 8 Mar 2026
Viewed by 283
Abstract
Granitic soils in the Highlands support the cultivation of Arabica coffee in northern Thailand; however, their geochemical and radiological properties are inadequately defined. This study examined major oxides, trace elements, natural radionuclides, and extractable phosphorus in granitic-derived coffee soils from the Agricultural Innovation [...] Read more.
Granitic soils in the Highlands support the cultivation of Arabica coffee in northern Thailand; however, their geochemical and radiological properties are inadequately defined. This study examined major oxides, trace elements, natural radionuclides, and extractable phosphorus in granitic-derived coffee soils from the Agricultural Innovation Research, Integration, Demonstration, and Training Center (AIRID) in Chiang Mai. Twenty soil samples were obtained from 10 locations at two depth intervals (0–30 cm and 30–60 cm). Major and trace elements were analyzed via X-ray fluorescence (XRF), natural radionuclides were analyzed through high-purity germanium (HPGe) gamma spectrometry, and extractable phosphorus was determined using the Bray II method. The soils demonstrate remarkably high 40K activity concentrations (1.2–1.9 kBq kg−1) and increased K2O contents (4.9–7.8 wt%), about three to five times more than worldwide soil averages according to Reimann & de Caritat, indicating enrichment from potassium-rich granitic rocks. Major oxide compositions suggest extensive tropical weathering, characterized by elevated SiO2 (>60 wt%) and Al2O3 (>14 wt%), alongside significant depletion of CaO and MgO (<1 wt%). In topsoil, Bray II–extractable phosphorus constitutes 10–25% of total phosphorus and has a robust positive connection with P2O5 (R2 = 0.95, p < 0.001), signifying surface accumulation and restricted vertical mobility. Multivariate analysis indicates lithogenic grouping of trace elements with negligible vertical redistribution. These findings establish a geochemical and radiological baseline for highland coffee soils in northern Thailand, with implications for soil fertility assessment, soil–plant transfer research, and evaluations of natural radioactive exposure related to coffee production. Full article
(This article belongs to the Special Issue Soil Geochemistry)
Show Figures

Figure 1

14 pages, 5149 KB  
Article
Two Theoretical Model Comparisons for Calculating the Optical Propagation Loss of Silicon-on-Insulator Waveguides
by Mingqi Bi, Degui Sun, Yu Lin, Yuxiong Li, Peng Yu, Zihao Yu, Yue Sun, Shuning Guo, Lijun Guo and Miao Yu
Coatings 2026, 16(3), 323; https://doi.org/10.3390/coatings16030323 - 6 Mar 2026
Viewed by 212
Abstract
Silicon photonic integrated circuit (Si-PIC) components/devices based on silicon-on-insulator (SOI) waveguides have become critical components in modern optoelectronic information systems. This investigation systematically examines optical propagation losses (OPLs) induced by the sidewall roughness (SWR) of a waveguide through comparative analysis of two scattering-loss [...] Read more.
Silicon photonic integrated circuit (Si-PIC) components/devices based on silicon-on-insulator (SOI) waveguides have become critical components in modern optoelectronic information systems. This investigation systematically examines optical propagation losses (OPLs) induced by the sidewall roughness (SWR) of a waveguide through comparative analysis of two scattering-loss theoretical frameworks: the SWR-improved Payne–Lacey (P-L) three-dimensional (3-D) formalism and Hörmann’s 3-D perturbation model. Crucially, our computational results identify SWR = 10 nm as the convergence threshold where both models exhibit consistent OPL predictions across waveguide architectures. Single-mode SOI rib waveguides with 0.5 µm high ribs on 2.0 µm silicon film and a 2.0 μm BOX layer were designed and fabricated using the classic ICP-RIE technique. Furthermore, SWRs of 28 nm were obtained with confocal laser scanning microscopy for SOI waveguides, leading to OPLs of 2.66 and 2.67 dB/cm for TE and TM modes, respectively, from the 2-D SWR-enhanced P-L model, and 1.7 and 1.9 dB/cm, respectively, from the Hörmann 3-D model. Finally, the average experimental result of OPL for the same waveguide was 2.61 dB/cm, showing a strong agreement with the numerical values of the SWR-improved P-L 3-D formalism, providing a robust framework for optimizing industrial-grade SOI waveguide-based PIC devices/components. Full article
Show Figures

Figure 1

50 pages, 9504 KB  
Article
What Drives Residents’ Divergent Perceptions of Cultural Ecosystem Services in Urban Park Green Spaces? A Dual-Source Analysis Synergizing Social Media and Survey Data
by Xiaokang Li, Zhuofan Ye, Lin Lei, Yiwu Wen and Junwen Huang
Sustainability 2026, 18(5), 2578; https://doi.org/10.3390/su18052578 - 6 Mar 2026
Viewed by 334
Abstract
In the context of rapid urbanization and the pursuit of the United Nations Sustainable Development Goals (SDGs), particularly SDG 11 (Sustainable Cities and Communities), cities face multifaceted challenges such as high population density, limited green space, ecosystem degradation, and an insufficient supply of [...] Read more.
In the context of rapid urbanization and the pursuit of the United Nations Sustainable Development Goals (SDGs), particularly SDG 11 (Sustainable Cities and Communities), cities face multifaceted challenges such as high population density, limited green space, ecosystem degradation, and an insufficient supply of ecological products, all of which undermine urban sustainability. As crucial ecological units, urban park green spaces (UPGS) play a vital role in alleviating environmental pressures and providing cultural ecosystem services (CES) that are essential for human well-being and social sustainability. However, systematic insight into how residents perceive and value CES, along with the underlying drivers, remains underdeveloped, impeding the advancement of refined park management practices. Based on 12,083 social media texts, this study employed BERTopic topic modeling to identify five core dimensions of CES perception: recreational services (RS), aesthetic experiences (AE), health-promoting activities (HA), social interactions (SI), and educational services (ES). Additionally, four underlying drivers with corresponding measurable indicators were also identified: residents’ socioeconomic backgrounds (RSB), external built environment of parks (EBE), internal landscape composition (ILC), and quality of services management (QSM). Subsequently, using 313 valid questionnaires and geographic park data, a Partial Least Squares Structural Equation Modeling (PLS-SEM) framework was constructed to analyze the influence mechanisms of EBE, ILC, and QSM on CES perception differences, with residents’ satisfaction with CES serving as the measure of their perceived CES levels. Hierarchical regression analysis was further employed to examine the moderating effects of RSB on these driving pathways. The findings reveal the following: (1) Significant synergies and heterogeneities existed among CES dimensions, with notable synergistic effects observed between AE and SI, as well as between HA and RS. (2) EBE, ILC, and QSM significantly influenced CES perception differences (p < 0.05). EBE affected these differences through pathways such as EBE → ILC → QSM → CES and EBE → QSM → CES. Notably, QSM was identified as the most critical mediating factor affecting CES perception differences. (3) Age exerted a significant positive moderating effect on the QSM → CES pathway, while monthly income showed a marginally significant negative moderating trend on the ILC → QSM pathway. This study elucidates the multi-level driving mechanisms underlying differences in residents’ perceptions of CES in UPGS. A key innovation lies in the integration of large-scale social media text data with questionnaire surveys, combined with the application of the BERTopic model and PLS-SEM to analyze these perceptual differences. The findings offer both theoretical foundations and practical insights for landscape optimization and service enhancement in park planning and management, contributing to the development of more equitable, resilient, and sustainable urban environments. Full article
Show Figures

Figure 1

29 pages, 4001 KB  
Article
Neurocognitive Trajectories of Scalar Implicature in Mandarin-Speaking Children: ERP Evidence for Attentional Allocation and Pragmatic Recalibration (4–6 Years)
by Lulu Cheng, Wenting Yuan, Haoran Mao, Yule Peng, Lei Jia, Bingqi Fu and Xize Jia
Behav. Sci. 2026, 16(3), 371; https://doi.org/10.3390/bs16030371 - 5 Mar 2026
Viewed by 226
Abstract
Despite the centrality of scalar implicature (SI) in pragmatic development, the neurocognitive trajectory of SI processing in Mandarin-speaking children remains underexplored, with existing frameworks inadequately accounting for developmental constraints and cross-linguistic variation. This ERP study maps the neurocognitive trajectory of scalar implicature (SI) [...] Read more.
Despite the centrality of scalar implicature (SI) in pragmatic development, the neurocognitive trajectory of SI processing in Mandarin-speaking children remains underexplored, with existing frameworks inadequately accounting for developmental constraints and cross-linguistic variation. This ERP study maps the neurocognitive trajectory of scalar implicature (SI) processing in Mandarin preschoolers (N = 49). Behavioral accuracy improved with age (p < 0.001) but was not modulated by contextual felicity. Neural dynamics revealed developmental shifts: 4-year-olds exhibited heightened P200 amplitudes in infelicitous contexts, indicating attentional overloading. Differences in P200 amplitude between younger and older children indexed developmental shifts in attentional allocation. The N400 showed contextual sensitivity, whereas the Late Positive Component (LPC) showed only marginal context effects, suggesting protracted inferential adjustments. We propose the Cognitive-Dynamic Relevance Model (CDRM), challenging existing frameworks by integrating gradual recalibration mechanisms with resource constraints. Mandarin children demonstrate delayed SI maturation, attributable to reduced SI frequency in child-directed speech and quantifier ambiguity. Findings underscore cross-linguistic variation in pragmatic development, with neurocognitive markers preceding behavioral mastery. Full article
(This article belongs to the Section Child and Adolescent Psychiatry)
Show Figures

Figure 1

15 pages, 979 KB  
Article
Transcriptomic Regulation of Aquaporins During Seed Germination in the Marine Seagrass Cymodocea nodosa
by Pilar Garcia-Jimenez, David Osca, Diana del Rosario-Santana and Rafael R. Robaina
Plants 2026, 15(5), 732; https://doi.org/10.3390/plants15050732 - 28 Feb 2026
Viewed by 204
Abstract
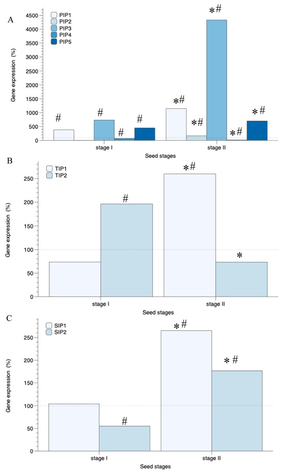
Seed germination is a key phase that transitions the seed from dormancy to active growth, where imbibition emerges as the initial event, followed by aquaporin-mediated regulation of cellular water that supports metabolic reactivation under favourable conditions. Aquaporins are small integral membrane proteins that [...] Read more.
Seed germination is a key phase that transitions the seed from dormancy to active growth, where imbibition emerges as the initial event, followed by aquaporin-mediated regulation of cellular water that supports metabolic reactivation under favourable conditions. Aquaporins are small integral membrane proteins that facilitate the passive transport of water and small solutes across membranes and play key roles in plant development and physiology. In terrestrial plants, aquaporins are classified into five main types—PIPs, TIPs, NIPs, SIPs, and XIPs—with PIPs and TIPs being the most abundant and widely expressed. Whilst knowledge of seagrass aquaporins and their physiological roles remains limited, their functional involvement in seed germination is largely unknown. In this study of the marine seagrass Cymodocea nodosa, transcriptome assembly and analysis enabled the identification of aquaporin-encoding sequences, which were subsequently used for gene expression analysis during germination. Three well-defined seed stages of C. nodosa were analysed to assess expressions patterns of PIPs, TIPs, NIPs, and SIPs. Results showed that transcript levels of PIP, TIP, and SIP aquaporins exhibit differential expression patterns, and the changes are mainly associated with activation responses related to seed germination progress. Overall, this study provides one of the first foundations for investigating aquaporin function during seed germination in marine seagrasses, defining expression patterns across imbibition and early germination, and positioning C. nodosa as a valuable in vitro model for exploring the regulation of aquaporin activity by environmental and physiological factors. Full article
Show Figures

Figure 1

20 pages, 2807 KB  
Article
Exploring the Visibility Gap Between Public Investment and Media Discourse in the Wrocław Participatory Budget
by Patryk Mierzejewski, Klaudiusz Tomczyk, Grzegorz Chrobak and Iwona Kaczmarek
Appl. Sci. 2026, 16(5), 2265; https://doi.org/10.3390/app16052265 - 26 Feb 2026
Viewed by 187
Abstract
The purpose of this paper is to analyze the media visibility of investments implemented in Wrocław, with a particular focus on the democratization of urban processes through the Wrocław Participatory Budget (WPB) and to study the public perception of these projects within the [...] Read more.
The purpose of this paper is to analyze the media visibility of investments implemented in Wrocław, with a particular focus on the democratization of urban processes through the Wrocław Participatory Budget (WPB) and to study the public perception of these projects within the local information landscape. The paper presents an integrated analytical methodology combining geospatial data from the Spatial Information System of Wrocław (SIP) with textual data from the full corpus of local news articles from Wrocław. A hybrid data processing pipeline was used, including filtering of articles about Wrocław, geoparsing of location names, matching articles to investments using classic Term Frequency-Inverse Document Frequency (TF-IDF) models and embedding in language models such as HerBERT, and sentiment analysis using the XLM-T model. The results reveal strong imbalances in the visibility of WPB projects, that almost 90% of investments were not mentioned even once in the media. Temporal sentiment analysis indicated differences between categories of WPB projects. The results confirm the existence of “media deserts” and “islands of attention,” which leads to information exclusion for specific local communities and marginalized groups. This translates into asymmetry in residents’ knowledge of the real scope of the WPB program. The paper emphasizes the importance of Geographic Information System (GIS) fusion methods with natural language processing models (NLP) for urban research, and identifies directions for further analysis, including accompanying problems and limitations in the present day. Full article
(This article belongs to the Special Issue AI-Based Spatial Planning and Analysis)
Show Figures

Figure 1

24 pages, 2961 KB  
Article
Calcium/Aluminum-Cored Asymmetric Bilayer Nanoparticles for Codelivery of Ziyuglycoside II and PD-L1 siRNA Exert Anti-Breast Tumor Effects
by Xiang Li, Xiangping Wu, Weiqiang Su, Nina Filipczak, Satya Siva Kishan Yalamarty, Wenhao Jiang, Dongyun Tao, Shiyun Yang and Jing Zhang
Pharmaceutics 2026, 18(2), 268; https://doi.org/10.3390/pharmaceutics18020268 - 22 Feb 2026
Viewed by 444
Abstract
Objectives Breast cancer remains a major cause of female cancer-related deaths, with current therapies limited by poor tumor targeting and an immunosuppressive microenvironment. This study designed CA/ZYII-siP-c-L—an asymmetric lipid bilayer-coated calcium/aluminum (CA)-core nanoparticle—to co-deliver PD-L1 siRNA (siP) and ziyuglycoside II (ZYII) to boost [...] Read more.
Objectives Breast cancer remains a major cause of female cancer-related deaths, with current therapies limited by poor tumor targeting and an immunosuppressive microenvironment. This study designed CA/ZYII-siP-c-L—an asymmetric lipid bilayer-coated calcium/aluminum (CA)-core nanoparticle—to co-deliver PD-L1 siRNA (siP) and ziyuglycoside II (ZYII) to boost therapeutic efficacy. Methods CA/ZYII-siP-c-L was fabricated through modified microemulsification to first construct the CA cores, followed by thin-film hydration for encapsulation of ZYII within the hydrophobic domain, and via hybridization of the outer lipid layer with DSPE-PEG1000-PAMAM to finally enable specific adsorption of siP. The characterization of CA/ZYII-siP-c-L was performed to get size distribution, zeta potential and in vitro release behavior. In vitro cytotoxicity of the nanoparticles to NIH3T3 and 4T1 cells was detected by the CCK-8 method. The uptake capacity to 4T1 breast cancer cells was determined using inductively coupled plasma optical emission spectrometry and high-performance liquid chromatography. Pharmacokinetic studies and tissue distribution experiments were performed. In BALB/c mice bearing orthotopic 4T1 tumors, efficacy evaluations were conducted with the detection of tumor immune microenvironment; meanwhile, organ damage was evaluated by hematoxylin-eosin staining of major organs and detection of routine biochemical indicators. Results CA/ZYII-siP-c-L was characterized by dynamic light scattering (mean size ~185.7 nm) and zeta potential analysis (~9.35 mV). In vitro, the nanoparticle exhibited low cytotoxicity in NIH3T3 normal cells, high uptake by 4T1 breast cancer cells, and pH-responsive release. For the pharmacokinetic study, CA nanoparticle system could significantly enhance the systemic exposure of ZYII, compared to free ZYII suspension. In BALB/c mice with orthotopic 4T1 tumors, CA/ZYII-siP-c-L accumulation in tumors was 3.5-fold higher than that of free drugs, significantly enriching helper T cells and cytotoxic T lymphocytes while reducing regulatory T cells and suppressive dendritic cells in the tumor immune microenvironment; this immunomodulatory effect, combined with PD-L1 silencing at protein levels, contributed to ~62% inhibition of tumor growth with no organ damage (confirmed by hematoxylin and eosin staining of major organs and normal biochemical indices). Conclusions CA/ZYII-siP-c-L integrates safety, targeting, and codelivery capabilities, offering a promising strategy for breast cancer treatment by combining siP-mediated immunity regulation and the antitumor effects of ZYII. Full article
(This article belongs to the Special Issue Hybrid Nanoparticles for Cancer Therapy)
Show Figures

Figure 1

21 pages, 12415 KB  
Article
Novel Adhesive Film for Glyoxal-Dehydrated Lacquerware: Composite Modification of Natural Lacquer with Soy Protein Isolate and Nano-SiO2
by Zifan Chen, Xiaolong Zhang, Peng Xia, Xiaohan Qi, Xueling Zou and Shuya Wei
Coatings 2026, 16(2), 262; https://doi.org/10.3390/coatings16020262 - 21 Feb 2026
Viewed by 293
Abstract
A novel composite adhesive for lacquer film restoration was developed by modifying natural lacquer with Tween-20, soy protein isolate (SPI), and nano-SiO2 to address the bonding failure and interfacial instability of glyoxal-dehydrated lacquerware. The optimal formulation (70% lacquer, 10% Tween-20, 15% SPI, [...] Read more.
A novel composite adhesive for lacquer film restoration was developed by modifying natural lacquer with Tween-20, soy protein isolate (SPI), and nano-SiO2 to address the bonding failure and interfacial instability of glyoxal-dehydrated lacquerware. The optimal formulation (70% lacquer, 10% Tween-20, 15% SPI, 5% nano-SiO2) achieved a shear bond strength of 3.8 ± 0.3 MPa, corresponding to a 58% increase compared with pure lacquer (2.4 ± 0.2 MPa). After 30 days of immersion in a pH 4.0 acidic solution, the adhesive retained 91 ± 3% of its initial shear strength, significantly higher than that of pure lacquer (65 ± 5%). Under accelerated aging conditions (50 °C and 95% relative humidity), the composite adhesive exhibited minimal weight gain (1.0 ± 0.2%) and no visible mold growth, whereas pure lacquer showed greater moisture uptake (3.0 ± 0.4%) accompanied by evident fungal colonization. The cured film displayed good color compatibility (ΔE ≈ 2.0) and improved flexibility (elongation at break: 12.5% vs. 4.2%). XPS and FTIR analyses suggested enhanced interfacial bonding through hydrogen-bond interactions and possible Si–O–C linkages at the wood–lacquer interface. Practical restoration of a Warring States period lacquer ear cup (China) demonstrated effective and stable reattachment of detached fragments with satisfactory visual integration and long-term durability. Overall, this work provides a compatible and durable material strategy for the conservation of glyoxal-dehydrated lacquerware. Full article
Show Figures

Figure 1

Back to TopTop