Sign in to use this feature.

Years

Between: -

Subjects

remove_circle_outline
remove_circle_outline
remove_circle_outline
remove_circle_outline
remove_circle_outline
remove_circle_outline
remove_circle_outline
remove_circle_outline
remove_circle_outline

Journals

remove_circle_outline
remove_circle_outline
remove_circle_outline
remove_circle_outline
remove_circle_outline
remove_circle_outline
remove_circle_outline
remove_circle_outline
remove_circle_outline
remove_circle_outline
remove_circle_outline
remove_circle_outline
remove_circle_outline
remove_circle_outline
remove_circle_outline

Article Types

Countries / Regions

remove_circle_outline
remove_circle_outline
remove_circle_outline
remove_circle_outline
remove_circle_outline
remove_circle_outline
remove_circle_outline
remove_circle_outline
remove_circle_outline
remove_circle_outline
remove_circle_outline

Search Results (5,638)

Search Parameters:
Keywords = Sentinel-2 data

Order results
Result details
Results per page
Select all
Export citation of selected articles as:
20 pages, 5180 KB  
Article
Multi-Source Data Fusion and Heuristic-Optimized Machine Learning for Large-Scale River Water Quality Parameters Monitoring
by Kehang Fang, Feng Wu, Xing Gao and Zhihui Li
Remote Sens. 2026, 18(2), 320; https://doi.org/10.3390/rs18020320 (registering DOI) - 18 Jan 2026
Abstract
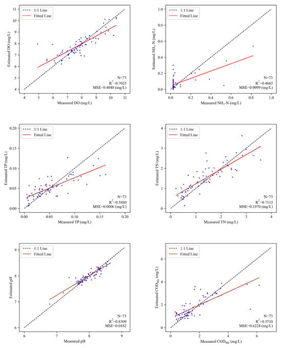
Accurate and efficient surface water quality monitoring is essential for ecological protection and sustainable development. However, conventional monitoring methods, such as fixed-site observations, often suffer from spatial limitations and overlook crucial auxiliary variables. This study proposes an innovative modeling framework for large-scale river [...] Read more.
Accurate and efficient surface water quality monitoring is essential for ecological protection and sustainable development. However, conventional monitoring methods, such as fixed-site observations, often suffer from spatial limitations and overlook crucial auxiliary variables. This study proposes an innovative modeling framework for large-scale river water quality inversion that integrates multi-source data—including Sentinel-2 imagery, meteorological conditions, land use classification, and landscape pattern indices. To improve predictive accuracy, three tree-based machine learning models (Random Forest, XGBoost, and LightGBM) were constructed and further optimized using the Whale Optimization Algorithm (WOA), a nature-inspired metaheuristic technique. Additionally, model interpretability was enhanced using SHAP (Shapley Additive Explanations), enabling a transparent understanding of each variable’s contribution. The framework was applied to the Red River Basin (RRB) to predict six key water quality parameters: dissolved oxygen (DO), ammonia nitrogen (NH3-N), total phosphorus (TP), total nitrogen (TN), pH, and permanganate index (CODMn). Results demonstrate that integrating landscape and meteorological variables significantly improves model performance compared to remote sensing alone. The best-performing models achieved R2 values exceeding 0.45 for all parameters (DO: 0.70, NH3-N: 0.46, TP: 0.59, TN: 0.71, pH: 0.83, CODMn: 0.57). Among them, WOA-optimized LightGBM consistently delivered superior performance. The study also confirms the feasibility of applying the models across the entire basin, offering a transferable and interpretable approach to spatiotemporal water quality prediction in other large-scale or data-scarce regions. Full article
(This article belongs to the Topic Advances in Hydrological Remote Sensing)
Show Figures

Figure 1

29 pages, 2923 KB  
Article
SIGMaL: An Integrated Framework for Water Quality Monitoring in a Coastal Shallow Lake
by Anja Batina, Ante Šiljeg, Andrija Krtalić and Ljiljana Šerić
Remote Sens. 2026, 18(2), 312; https://doi.org/10.3390/rs18020312 - 16 Jan 2026
Viewed by 26
Abstract
Coastal lakes require monitoring approaches that capture spatial and temporal variability beyond the limits of conventional in situ measurements. In this study, a SIGMaL framework (Satellite–In situ–GIS-multicriteria decision analysis (MCDA)–Machine Learning (ML)) was developed, a unified methodology that integrates in situ monitoring, GIS [...] Read more.
Coastal lakes require monitoring approaches that capture spatial and temporal variability beyond the limits of conventional in situ measurements. In this study, a SIGMaL framework (Satellite–In situ–GIS-multicriteria decision analysis (MCDA)–Machine Learning (ML)) was developed, a unified methodology that integrates in situ monitoring, GIS MCDA-derived water quality index (WQI), satellite imagery, and ML models for comprehensive coastal lake water quality assessment. A WQI, derived from a 12-month series of in situ measurements and environmental parameters, was used alongside four physicochemical parameters measured by a multiparameter probe. First, satellite reflectance from each sensor was used to train a set of nine regression models for modelling electrical conductivity (EC), turbidity, water temperature (WT), and dissolved oxygen (DO). Second, convolutional neural networks (CNNs) with spectral and temporal inputs were trained to classify WQI classes, enabling a cross-sensor evaluation of their suitability for lake water quality monitoring. Third, the trained CNNs were applied to generate WQI maps for a subsequent 12-month period without in situ data. Across all analyses, WQI-based models provided more stable and accurate models than those trained on raw parameters. Sentinel-2 achieved the most consistent WQI performance (AUC ≈ 1.00, R2 ≈ 0.84), PlanetScope captured fine-scale spatial detail (R2 ≈ 0.77), while Landsat 8–9 was most effective for WT but less reliable for multi-class WQI discrimination. Sentinel-2 is recommended as the primary satellite sensor for WQI mapping within the SIGMaL framework. These findings demonstrate the advantages of WQI-based modelling and highlight the potential of ML–remote sensing integration to support coastal lake water quality monitoring. Full article
(This article belongs to the Special Issue Remote Sensing in Water Quality Monitoring)
26 pages, 67070 KB  
Article
Time Series Analysis of Fucheng-1 Interferometric SAR for Potential Landslide Monitoring and Synergistic Evaluation with Sentinel-1 and ALOS-2
by Guangmin Tang, Keren Dai, Feng Yang, Weijia Ren, Yakun Han, Chenwen Guo, Tianxiang Liu, Shumin Feng, Chen Liu, Hao Wang, Chenwei Zhang and Rui Zhang
Remote Sens. 2026, 18(2), 304; https://doi.org/10.3390/rs18020304 - 16 Jan 2026
Viewed by 31
Abstract
Fucheng-1 is China’s first commercial synthetic aperture radar (SAR) satellite equipped with interferometric capabilities. Since its launch in 2023, it has demonstrated strong potential across a range of application domains. However, a comprehensive and systematic evaluation of its overall performance, including its time-series [...] Read more.
Fucheng-1 is China’s first commercial synthetic aperture radar (SAR) satellite equipped with interferometric capabilities. Since its launch in 2023, it has demonstrated strong potential across a range of application domains. However, a comprehensive and systematic evaluation of its overall performance, including its time-series monitoring capability, is still lacking. This study applies the Small Baseline Subset (SBAS-InSAR) method to conduct the first systematic processing and evaluation of 22 Fucheng-1 images acquired between 2023 and 2024. A total of 45 potential landslides were identified and subsequently validated through field investigations and UAV-based LiDAR data. Comparative analysis with Sentinel-1 and ALOS-2 indicates that Fucheng-1 demonstrates superior performance in small-scale deformation identification, temporal-variation characterization, and maintaining a high density of coherent pixels. Specifically, in the time-series InSAR-based potential landslide identification, Fucheng-1 identified 13 small-scale potential landslides, whereas Sentinel-1 identified none; the number of identifications is approximately 2.17 times that of ALOS-2. For time-series subsidence monitoring, the deformation magnitudes retrieved from Fucheng-1 are generally larger than those from Sentinel-1, mainly attributable to finer spatial sampling enabled by its higher spatial resolution and a higher maximum detectable deformation gradient. Moreover, as landslide size decreases, the advantages of Fucheng-1 in deformation identification and subsidence estimation become increasingly evident. Interferometric results further show that the number of high-coherence pixels for Fucheng-1 is 7–8 times that of co-temporal Sentinel-1 and 1.1–1.4 times that of ALOS-2, providing more high-quality observations for time-series inversion and thereby supporting a more detailed and spatially continuous reconstruction of deformation fields. Meanwhile, the orbital stability of Fucheng-1 is comparable to that of Sentinel-1, and its maximum detectable deformation gradient in mountainous terrain reaches twice that of Sentinel-1. Overall, this study provides the first systematic validation of the time-series InSAR capability of Fucheng-1 under complex terrain conditions, offering essential support and a solid foundation for the operational deployment of InSAR technologies based on China’s domestic SAR satellite constellation. Full article
16 pages, 819 KB  
Article
Streamlining Wetland Vegetation Mapping with AlphaEarth Embeddings: Comparable Accuracy to Traditional Methods with Cleaner Maps and Minimal Preprocessing
by Shawn Ryan, Megan Powell, Joanne Ling and Li Wen
Remote Sens. 2026, 18(2), 293; https://doi.org/10.3390/rs18020293 - 15 Jan 2026
Viewed by 58
Abstract
Accurate mapping of wetland vegetation is essential for ecosystem monitoring and conservation planning. Traditional workflows combining Sentinel-1 SAR, Sentinel-2 optical imagery, and topographic data have advanced vegetation classification but require extensive preprocessing and often yield fragmented boundaries and “salt-and-pepper” noise. In this study, [...] Read more.
Accurate mapping of wetland vegetation is essential for ecosystem monitoring and conservation planning. Traditional workflows combining Sentinel-1 SAR, Sentinel-2 optical imagery, and topographic data have advanced vegetation classification but require extensive preprocessing and often yield fragmented boundaries and “salt-and-pepper” noise. In this study, we compare a conventional multi-sensor classification framework with a novel embedding-based approach derived from the AlphaEarth foundation model, using a cluster-guided Random Forest classifier applied to the dynamic wetland system of Narran Lake, New South Wales. Both approaches achieved high accuracy ac with test performance typically in the ranges: OA = 0.985–0.991, Cohen’s κ = 0.977–0.990, weighted F1 = 0.986–0.991, and MCC = 0.977–0.990. Embedding based maps showed markedly improved spatial coherence (lower edge density, local entropy, and patch fragmentation), producing smoother, ecologically consistent boundaries while requiring minimal preprocessing. Differences in class delineation were most evident in fire-affected and agricultural areas, where embeddings demonstrated greater resilience to spectral disturbance and post-fire variability. Although overall accuracies exceeded 0.98, these high values reflect the use of spectrally pure, homogeneous training samples rather than overfitting. The results highlight that embedding-driven methods can deliver cleaner, more interpretable vegetation maps with far less data preparation, underscoring their potential to streamline large-scale ecological monitoring and enhance the spatial realism of wetland mapping. Full article
(This article belongs to the Section Environmental Remote Sensing)
Show Figures

Figure 1

23 pages, 4850 KB  
Article
Multi-Dimensional Monitoring of Agricultural Drought at the Field Scale
by Yehao Wu, Liming Zhu, Maohua Ding and Lijie Shi
Agriculture 2026, 16(2), 227; https://doi.org/10.3390/agriculture16020227 - 15 Jan 2026
Viewed by 76
Abstract
The causes of agricultural drought are complex, and its actual occurrence process is often characterized by rapid onset in terms of time and small scale in terms of space. Monitoring agricultural drought using satellite remote sensing with low spatial resolution makes it difficult [...] Read more.
The causes of agricultural drought are complex, and its actual occurrence process is often characterized by rapid onset in terms of time and small scale in terms of space. Monitoring agricultural drought using satellite remote sensing with low spatial resolution makes it difficult to accurately capture the details of small-scale drought events. High-resolution satellite remote sensing has relatively long revisit cycles, making it difficult to capture the rapid evolution of drought conditions. Furthermore, the occurrence of agricultural drought is linked to multiple factors including precipitation, evapotranspiration, soil properties, and crop physiological characteristics. Consequently, relying on a single variable or indicator is insufficient for multidimensional monitoring of agricultural drought. This study takes Hebi City, Henan Province as the research area. It uses Sentinel-1 satellite data (HV, VV), Sentinel-2 data (NDVI, B2, B11), elevation, slope, aspect, and GPM precipitation data from 2019 to 2024 as independent variables. Three machine learning algorithms—Random Forest (RF), Random Forest-Recursive Feature Elimination (RF-RFE), and eXtreme Gradient Boosting (XGBoost)—were employed to construct a multi-dimensional agricultural drought monitoring model at the field scale. Additionally, the study verified the sensitivity of different environmental variables to agricultural drought monitoring and analyzed the accuracy performance of different machine learning algorithms in agricultural drought monitoring. The research results indicate that under the condition of full-factor input, all three models exhibit the optimal predictive performance. Among them, the XGBoost model performs the best, with the smallest Relative Root Mean Square Error (RRMSE) of 0.45 and the highest Correlation Coefficient (R) of 0.79. The absence of Digital Elevation Model (DEM) data impairs the models’ ability to capture the patterns of key features, which in turn leads to a reduction in predictive accuracy. Meanwhile, there is a significant correlation between model performance and sample size. Ultimately, the constructed XGBoost model takes the lead with an accuracy of 89%, while the accuracies of Random Forest (RF) and Random Forest-Recursive Feature Elimination (RF-RFE) are 88% and 86%, respectively. Based on these three drought monitoring models, this study further monitored a drought event that occurred in Hebi City in 2023, presented the spatiotemporal distribution of agricultural drought in Hebi City, and applied the Mann–Kendall test for time series analysis, aiming to identify the abrupt change process of agricultural drought. Meanwhile, on the basis of the research results, the feasibility of verifying drought occurrence using irrigation signals was discussed, and the potential reasons for the significantly lower drought occurrence probability in the western mountainous areas of the study region were analyzed. Full article
(This article belongs to the Section Artificial Intelligence and Digital Agriculture)
Show Figures

Figure 1

19 pages, 13205 KB  
Article
Static Stress Transfer and Fault Interaction Within the 2008–2020 Yutian Earthquake Sequence Constrained by InSAR-Derived Slip Models
by Xiaoran Fan, Guohong Zhang and Xinjian Shan
Remote Sens. 2026, 18(2), 288; https://doi.org/10.3390/rs18020288 - 15 Jan 2026
Viewed by 124
Abstract
The Yutian region at the southwestern termination of the Altyn Tagh Fault has experienced four moderate-to-strong earthquakes since 2008, providing an opportunity to investigate fault interactions within a transtensional tectonic setting. In this study, we derive the coseismic deformation and slip model of [...] Read more.
The Yutian region at the southwestern termination of the Altyn Tagh Fault has experienced four moderate-to-strong earthquakes since 2008, providing an opportunity to investigate fault interactions within a transtensional tectonic setting. In this study, we derive the coseismic deformation and slip model of the 2020 Mw 6.3 Yutian earthquake using ascending and descending Sentinel-1 InSAR data. The deformation field exhibits a characteristic subsidence–uplift pattern consistent with normal faulting, and the preferred slip model indicates a north–south-striking fault with slip concentrated at depths of 6–9 km. To place this event in a broader tectonic context, we incorporate published slip models for the 2008 and 2014 earthquakes together with a simplified finite-fault model for the 2012 event to construct a unified four-event source framework. Static Coulomb stress calculations reveal complex interactions among the four earthquakes. Localized positive loading from the 2012 event partially counteracts the negative ΔCFS imposed by the 2008 and 2014 earthquakes, reshaping the stress field rather than simply promoting or inhibiting failure. The cumulative stress evolution shows persistent unclamping and repeated shear-stress reversals, indicating that the 2020 earthquake resulted from long-term extensional loading superimposed on multi-stage coseismic stress redistribution. These results demonstrate that multi-event stress analysis provides a more reliable framework for assessing seismic hazards in regions with complex local stress fields. Full article
(This article belongs to the Special Issue Advanced Satellite Remote Sensing for Geohazards)
Show Figures

Figure 1

19 pages, 9525 KB  
Article
Evaluating UAV and Handheld LiDAR Point Clouds for Radiative Transfer Modeling Using a Voxel-Based Point Density Proxy
by Takumi Fujiwara, Naoko Miura, Hiroki Naito and Fumiki Hosoi
Sensors 2026, 26(2), 590; https://doi.org/10.3390/s26020590 - 15 Jan 2026
Viewed by 174
Abstract
The potential of UAV-based LiDAR (UAV-LiDAR) and handheld LiDAR scanners (HLSs) for forest radiative transfer models (RTMs) was evaluated using a Voxel-Based Point Density Proxy (VPDP) as a diagnostic tool in a Larix kaempferi forest. Structural analysis-computed coverage gap ratio (CGR) revealed distinct [...] Read more.
The potential of UAV-based LiDAR (UAV-LiDAR) and handheld LiDAR scanners (HLSs) for forest radiative transfer models (RTMs) was evaluated using a Voxel-Based Point Density Proxy (VPDP) as a diagnostic tool in a Larix kaempferi forest. Structural analysis-computed coverage gap ratio (CGR) revealed distinct behaviors. UAV-LiDARs effectively captured canopy structures (10–45% CGR), whereas HLS provided superior understory coverage, but exhibited a high upper-canopy CGR (>40%). Integrating datasets reduced the CGR to below 10%, demonstrating strong complementarity. Radiative transfer simulations correlated well with Sentinel-2 NIR reflectance, with the UAV-LiDAR (r = 0.73–0.75) outperforming the HLS (r = 0.64–0.69). These results highlight the critical importance of upper-canopy modeling for nadir-viewing sensors. Although integrating HLS data did not improve correlation due to the dominance of upper-canopy signals, structural analysis confirmed that fusion is essential for achieving volumetric completeness. A voxel size range of 50–100 cm was identified as effective for balancing structural detail and radiative stability. These findings provide practical guidelines for selecting and integrating LiDAR platforms in forest monitoring, emphasizing that while aerial sensors suffice for top-of-canopy reflectance, multi-platform fusion is requisite for full 3D structural characterization. Full article
(This article belongs to the Special Issue Progress in LiDAR Technologies and Applications)
Show Figures

Figure 1

23 pages, 11760 KB  
Article
Evaluating Multi-Temporal Sentinel-1 and Sentinel-2 Imagery for Crop Classification: A Case Study in a Paddy Rice Growing Region of China
by Rui Wang, Le Xia, Tonglu Jia, Qinxin Zhao, Qiuhua He, Qinghua Xie and Haiqiang Fu
Sensors 2026, 26(2), 586; https://doi.org/10.3390/s26020586 - 15 Jan 2026
Viewed by 164
Abstract
Information on crop planting structure serves as a key reference for crop growth monitoring and agricultural structural adjustment. Mapping the spatial distribution of crops through feature-based classification serves as a fundamental component of sustainable agricultural development. However, current crop classification methods often face [...] Read more.
Information on crop planting structure serves as a key reference for crop growth monitoring and agricultural structural adjustment. Mapping the spatial distribution of crops through feature-based classification serves as a fundamental component of sustainable agricultural development. However, current crop classification methods often face challenges such as the discontinuity of optical data due to cloud cover and the limited discriminative capability of traditional SAR backscatter intensity for spectrally similar crops. In this case study, we assess multi-temporal Sentinel-1 and Sentinel-2 Satellite images for crop classification in a paddy rice growing region in Helonghu Town, located in the central region of Xiangyin County, Yueyang City, Hunan Province, China (28.5° N–29.0° N, 112.8° E–113.2° E). We systematically investigate three key aspects: (1) the classification performance using optical time-series Sentinel-2 imagery; (2) the time-series classification performance utilizing polarimetric SAR decomposition features from Sentinel-1 dual-polarimetric SAR images; and (3) the classification performance based on a combination of Sentinel-1 and Sentinel-2 images. Optimal classification results, with the highest overall accuracy and Kappa coefficient, are achieved through the combination of Sentinel-1 (SAR) and Sentinel-2 (optical) data. This case study evaluates the time-series classification performance of Sentinel-1 and Sentinel-2 data to determine the optimal approach for crop classification in Helonghu Town. Full article
(This article belongs to the Special Issue Application of SAR and Remote Sensing Technology in Earth Observation)
Show Figures

Figure 1

22 pages, 15950 KB  
Article
An Automatic Identification Method for Large-Scale Landslide Hazard Potential Integrating InSAR and CRF-Faster RCNN: A Case Study of Ahai Reservoir Area in Jinsha River Basin
by Yujuan Dong, Yongfa Li, Xiaoqing Zuo, Na Liu, Xiaona Gu, Haoyi Shi, Rukun Jiang, Fangzhen Guo, Zhengxiong Gu and Yongzhi Chen
Remote Sens. 2026, 18(2), 283; https://doi.org/10.3390/rs18020283 - 15 Jan 2026
Viewed by 131
Abstract
Currently, the manual delineation of landslide anomalies from Interferometric Synthetic Aperture Radar(InSAR )deformation data is labor-intensive and time-consuming, creating a major bottleneck for operational large-scale landslide mapping. This study proposes an automated approach for large-scale landslide identification by integrating InSAR technology with an [...] Read more.
Currently, the manual delineation of landslide anomalies from Interferometric Synthetic Aperture Radar(InSAR )deformation data is labor-intensive and time-consuming, creating a major bottleneck for operational large-scale landslide mapping. This study proposes an automated approach for large-scale landslide identification by integrating InSAR technology with an improved Faster Regional Convolutional Neural Network (Faster R-CNN). First, surface deformation over the study area was obtained using the Small Baseline Subset Interferometric Synthetic Aperture Radar (SBAS-InSAR) technique. An enhanced CRF-Faster R-CNN model was then developed by incorporating a Residual Network with 50 layers (ResNet-50)-based backbone, strengthened with a Convolutional Block Attention Module (CBAM), within a Feature Pyramid Network (FPN) framework. This model was applied to deformation velocity maps for the automated detection of landslide-prone areas. Preliminary results were subsequently validated and refined using optical images to produce a final landslide inventory. The proposed method was evaluated in the Ahai Reservoir area of the Jinsha River Basin using 248 ascending and descending Sentinel-1A images acquired between January 2019 and December 2021. Its performance was compared with that of the standard Faster R-CNN model. The results indicate that the CRF-Faster R-CNN model outperforms the conventional approach in terms of landslide anomaly detection, convergence speed, and overall accuracy. A total of 38 potential landslide hazards were identified in the Ahai Reservoir area, with an 84% validation accuracy confirmed through field investigations. This study provides crucial technical support for the rapid identification and operational application of large-scale potential landslide hazards. Full article
Show Figures

Figure 1

33 pages, 11044 KB  
Article
Monitoring the Sustained Environmental Performances of Nature-Based Solutions in Urban Environments: The Case Study of the UPPER Project (Latina, Italy)
by Riccardo Gasbarrone, Giuseppe Bonifazi and Silvia Serranti
Sustainability 2026, 18(2), 864; https://doi.org/10.3390/su18020864 - 14 Jan 2026
Viewed by 108
Abstract
This follow-up study investigates the long-term environmental sustainability and remediation outcomes of the UPPER (‘Urban Productive Parks for Sustainable Urban Regeneration’-UIA04-252) project in Latina, Italy, focusing on Nature-Based Solutions (NbS) applied to urban green infrastructure. By integrating proximal and satellite-based remote sensing methodologies, [...] Read more.
This follow-up study investigates the long-term environmental sustainability and remediation outcomes of the UPPER (‘Urban Productive Parks for Sustainable Urban Regeneration’-UIA04-252) project in Latina, Italy, focusing on Nature-Based Solutions (NbS) applied to urban green infrastructure. By integrating proximal and satellite-based remote sensing methodologies, the research evaluates persistent improvements in vegetation health, soil moisture dynamics, and overall environmental quality over multiple years. Building upon the initial monitoring framework, this case study incorporates updated data and refined techniques to quantify temporal changes and assess the ecological performance of NbS interventions. In more detail, ground-based data from meteo-climatic, air quality stations and remote satellite data from the Sentinel-2 mission are adopted. Ground-based measurements such as temperature, humidity, radiation, rainfall intensity, PM10 and PM2.5 are carried out to monitor the overall environmental quality. Updated satellite imagery from Sentinel-2 is analyzed using advanced band ratio indices, including the Normalized Difference Vegetation Index (NDVI), the Normalized Difference Water Index (NDWI) and the Normalized Difference Moisture Index (NDMI). Comparative temporal analysis revealed consistent enhancements in vegetation health, with NDVI values significantly exceeding baseline levels (NDVI 2022–2024: +0.096, p = 0.024), demonstrating successful vegetation establishment with larger gains in green areas (+27.0%) than parking retrofits (+11.4%, p = 0.041). However, concurrent NDWI decline (−0.066, p = 0.063) indicates increased vegetation water stress despite irrigation infrastructure. NDMI improvements (+0.098, p = 0.016) suggest physiological adaptation through stomatal regulation. Principal Component Analysis (PCA) of meteo-climatic variables reveals temperature as the dominant environmental driver (PC2 loadings > 0.8), with municipality-wide NDVI-temperature correlations of r = −0.87. These multi-scale findings validate sustained NbS effectiveness in enhancing vegetation density and ecosystem services, yet simultaneously expose critical water-limitation trade-offs in Mediterranean semi-arid contexts, necessitating adaptive irrigation management and continued monitoring for long-term urban climate resilience. The integrated monitoring approach underscores the critical role of continuous, multi-scale assessment in ensuring long-term success and adaptive management of NbS-based interventions. Full article
(This article belongs to the Special Issue Advanced Materials and Technologies for Environmental Sustainability)
Show Figures

Figure 1

26 pages, 10014 KB  
Article
Dynamic Monitoring and Analysis of Mountain Excavation and Land Creation Projects in Lanzhou Using Multi-Source Remote Sensing and Machine Learning
by Quanfu Niu, Jiaojiao Lei, Qiong Fang and Lifeng Zhang
Remote Sens. 2026, 18(2), 273; https://doi.org/10.3390/rs18020273 - 14 Jan 2026
Viewed by 119
Abstract
Mountain Excavation and Land Creation Projects (MELCPs) have emerged as a critical strategy for expanding urban development space in mountainous regions facing land scarcity. Dynamic monitoring and risk management of these projects are essential for promoting sustainable urban development. This study develops an [...] Read more.
Mountain Excavation and Land Creation Projects (MELCPs) have emerged as a critical strategy for expanding urban development space in mountainous regions facing land scarcity. Dynamic monitoring and risk management of these projects are essential for promoting sustainable urban development. This study develops an integrated monitoring framework for MELCPs by combining ascending and descending Sentinel-1 SAR data, Sentinel-2 optical imagery, SRTM digital elevation models (DEM), and field survey data. The framework incorporates multi-temporal change detection, random forest classification, and time-series InSAR analysis to systematically capture the spatiotemporal evolution and subsidence mechanisms associated with MELCPs. Key findings include: (1) The use of dual-orbit SAR data significantly improves the detection accuracy of excavation areas, achieving an overall accuracy of 87.1% (Kappa = 0.85) and effectively overcoming observation limitations imposed by complex terrain. (2) By optimizing the combination of spectral, texture, topographic, and polarimetric features using a random forest algorithm, the classification accuracy of MELCPs is enhanced to 91.2% (Kappa = 0.889). This enables precise annual identification of MELCP progression from 2017 to 2022, revealing a three-stage evolution pattern: concentrated expansion, peak activity, and restricted slowdown. Specifically, the reclaimed area increased from 2.66 km2 (pre-2018) to a peak of 12.61 km2 in 2021, accounting for 34.56% of the total area of the study region, before decreasing to 2.69 km2 in 2022. (3) InSAR monitoring from 2017 to 2023 indicates that areas with only filling experience minor shallow subsidence (<50 mm), whereas subsequent building loads and underground engineering activities lead to continuous deep soil consolidation, with maximum cumulative subsidence reaching 333.8 mm. This study demonstrates that subsidence in MELCPs follows distinct spatiotemporal patterns and is predictable, offering important theoretical insights and practical tools for engineering safety management and territorial spatial optimization in mountainous cities. Full article
Show Figures

Figure 1

23 pages, 6651 KB  
Article
Urban Green Space Mapping from Sentinel-2 and OpenStreetMap via Weighted-Sample SVM Classification
by Bin Yuan, Zhiwei Wan, Liangqing Wu, Anhao Zhang, Xianfang Yang, Xiujuan Li and Chaoyun Chen
Remote Sens. 2026, 18(2), 272; https://doi.org/10.3390/rs18020272 - 14 Jan 2026
Viewed by 82
Abstract
The ongoing advance of urbanization has increased the need for accurate monitoring of urban green space (UGS). However, existing remote-sensing UGS mapping still struggles with inconsistent data quality, diverse urban forms, and limited cross-city generalization. This study focuses on China’s Guangdong-Hong Kong-Macao Greater [...] Read more.
The ongoing advance of urbanization has increased the need for accurate monitoring of urban green space (UGS). However, existing remote-sensing UGS mapping still struggles with inconsistent data quality, diverse urban forms, and limited cross-city generalization. This study focuses on China’s Guangdong-Hong Kong-Macao Greater Bay Area as its research region, establishing a fully automated UGS mapping framework based on Sentinel-2 time-series imagery and standardized OpenStreetMap (OSM) data. This process achieves UGS mapping at 10 m resolution for 16 cities within the metropolitan area through a dynamic standardized OSM tagging system, a Sentinel-2 satellite image sample generation mechanism integrating spectral and textural features, multidimensional sample quality assessment and weighting strategies, as well as balanced cross-city sampling and weighted SVM classification. The results demonstrate that this method exhibits stable performance across multiple urban environments, achieving an average overall accuracy of approximately 0.83 and an average F1 score of approximately 0.82. The highest recorded F1 score reaches 0.96, highlighting the method’s strong generalization capability under diverse urban conditions. The mapping results reveal significant disparities in UGS distribution within the Guangdong-Hong Kong-Macao Greater Bay Area, reflecting the combined effects of varying urban development patterns and ecological contexts. The unified workflow proposed in this study demonstrates strong applicability in handling heterogeneous urban structures and enhancing cross-regional comparability. It provides consistent, transparent, and reusable foundational data for regional eco-urban planning, urban green infrastructure development, and policy evaluation. Full article
(This article belongs to the Special Issue AI-Driven Mapping Using Remote Sensing Data)
Show Figures

Graphical abstract

24 pages, 16562 KB  
Article
Research on Hyperspectral Remote Sensing Prospecting Model for Porphyry Copper Deposits: A Case Study of the Qulong–Jiama Ore District
by Chunhu Zhang, Li He, Jiansheng Gong, Zhengwei He, Junkang Zhao and Xin Chen
Minerals 2026, 16(1), 78; https://doi.org/10.3390/min16010078 - 14 Jan 2026
Viewed by 81
Abstract
The Qulong–Jiama polymetallic ore concentration area, located in the eastern segment of the Gangdese metallogenic belt, is one of China’s most significant copper resource production zones. With the growing demand for copper resources, this area has become a key target for mineral exploration. [...] Read more.
The Qulong–Jiama polymetallic ore concentration area, located in the eastern segment of the Gangdese metallogenic belt, is one of China’s most significant copper resource production zones. With the growing demand for copper resources, this area has become a key target for mineral exploration. The current study aims to explore the application potential of multispectral and hyperspectral remote sensing technologies in porphyry copper deposit prospecting, establish a hyperspectral remote sensing prospecting model tailored to this region, and provide technical support for prospecting prediction and resource exploration of similar deposits. Sentinel-2 and Landsat 8 data were used to outline major alteration anomalies at the regional scale, while GF-5 hyperspectral data enabled precision mineral mapping. Results show clear porphyry-style alteration zoning. Hyperspectral mineral identification reveals 33 mineralization- and alteration-related minerals, including muscovite, biotite, pyrophyllite, dickite, chlorite, epidote, and limonite. The ore concentration area exhibits a well-developed inner–middle–outer alteration sequence: (1) an inner potassic–silicic zone locally accompanied by skarn; (2) a middle phyllic and argillic zone dominated by quartz–sericite–pyrite assemblages; and (3) an outer propylitic zone of chlorite–epidote–carbonate with supergene iron oxides. These alteration patterns spatially coincide with known deposits and metallogenic structures such as faults, annular features, and intrusive contacts. Based on these spatial relationships, a hyperspectral remote sensing prospecting model was constructed. The model defines diagnostic mineral assemblages for each zone, highlights structurally altered overlapping areas as priority targets, and effectively predicts the distribution of ore-related alteration belts. The strong correspondence between remote sensing-derived anomalies and existing deposits demonstrates that hyperspectral alteration information is a reliable indicator of ore-forming systems. The proposed model not only provides a scientific basis for further prospecting and exploration in the Qulong–Jiama area but also serves as a reference for copper exploration in the Gangdese metallogenic belt and other similar porphyry–epithermal metallogenic systems. Full article
Show Figures

Figure 1

30 pages, 6190 KB  
Article
A Multi-Temporal Sentinel-2 and Machine Learning Approach for Precision Burned Area Mapping: The Sardinia Case Study
by Claudia Collu, Dario Simonetti, Francesco Dessì, Marco Casu, Costantino Pala and Maria Teresa Melis
Remote Sens. 2026, 18(2), 267; https://doi.org/10.3390/rs18020267 - 14 Jan 2026
Viewed by 90
Abstract
The escalating threat of wildfires under global climate change necessitates rigorous monitoring to mitigate environmental and socio-economic risks. Burned area (BA) mapping is crucial for understanding fire dynamics, assessing ecosystem impacts, and supporting sustainable land management under increasing fire frequency. This study aims [...] Read more.
The escalating threat of wildfires under global climate change necessitates rigorous monitoring to mitigate environmental and socio-economic risks. Burned area (BA) mapping is crucial for understanding fire dynamics, assessing ecosystem impacts, and supporting sustainable land management under increasing fire frequency. This study aims to develop a high-resolution detection framework specifically calibrated for Mediterranean environmental conditions, ensuring the production of consistent and accurate annual BA maps. Using Sentinel-2 MSI time series over Sardinia (Italy), the research objectives were to: (i) integrate field surveys with high-resolution photointerpretation to build a robust, locally tuned training dataset; (ii) evaluate the discriminative power of multi-temporal spectral indices; and (iii) implement a Random Forest classifier capable of providing higher spatial precision than current operational products. Validation results show a Dice Coefficient (DC) of 91.8%, significantly outperforming the EFFIS Burnt Area product (DC = 79.9%). The approach proved particularly effective in detecting small and rapidly recovering fires, often underrepresented in existing datasets. While inaccuracies persist due to cloud cover and landscape heterogeneity, this study demonstrates the effectiveness of a machine learning approach for long-term monitoring, for generating multi-year wildfire inventories, offering a vital tool for data-driven forest policy, vegetation recovery assessment and land-use change analysis in fire-prone regions. Full article
Show Figures

Graphical abstract

26 pages, 17406 KB  
Article
Mapping the Spatial Distribution of Photovoltaic Power Plants in Northwest China Using Remote Sensing and Machine Learning
by Xiaoliang Shi, Wenyu Lyu, Weiqi Ding, Yizhen Wang, Yuchen Yang and Li Wang
Sustainability 2026, 18(2), 820; https://doi.org/10.3390/su18020820 - 14 Jan 2026
Viewed by 95
Abstract
Photovoltaic (PV) power generation is essential for achieving carbon neutrality and advancing renewable energy development. In Northwest China, the rapid expansion of PV installations requires accurate and timely spatial data to support effective monitoring and planning. Addressing the limitations of existing datasets in [...] Read more.
Photovoltaic (PV) power generation is essential for achieving carbon neutrality and advancing renewable energy development. In Northwest China, the rapid expansion of PV installations requires accurate and timely spatial data to support effective monitoring and planning. Addressing the limitations of existing datasets in spatiotemporal resolution and driver analysis, this study develops a scalable solar facility inventory framework on the Google Earth Engine (GEE) platform. The framework integrates Sentinel-1 SAR, Sentinel-2 multispectral imagery, and interpretable machine learning. Feature redundancy is first assessed using correlation-based metrics, after which a Random Forest classifier is applied to generate a 10 m resolution distribution map of utility-scale photovoltaic power plants as of December 2023. To elucidate model behavior, SHAP (SHapley Additive exPlanations) is used to identify key predictors, and MaxEnt is incorporated to provide a preliminary quantitative assessment of spatial drivers of PV deployment. The RFECV-optimized model, retaining 44 key features, achieves an overall accuracy of 98.4% and a Kappa coefficient of 0.96. The study region contains approximately 2560 km2 of PV installations, with pronounced clusters in northern Ningxia, central Shaanxi, and parts of Xinjiang and Gansu. SHAP analysis highlights the Enhanced Photovoltaic Index (EPVI), the Normalized Difference Built-up Index (NDBI), Sentinel-2 Band 8A, and related texture metrics as primary contributors to model predictions. High EPVI, NDBI, and Sentinel-2 Band 8A values contribute positively to PV classification, whereas vegetation-related indices (e.g., NDVI) exhibit predominantly negative contributions; these results indicate that PV mapping relies on the integrated discrimination of multiple spectral and texture features rather than on a single dominant variable. MaxEnt results indicate that grid accessibility and land-use constraints (e.g., nighttime light intensity reflecting human activity) are dominant drivers of PV clustering, often exerting more influence than solar irradiance alone. This framework provides robust technical support for PV monitoring and offers high-resolution spatial distribution data and driver insights to inform sustainable energy management and regional renewable-energy planning. Full article
Show Figures

Figure 1

Back to TopTop