Highlights
What are the main findings?
- Automated workflow maps 10 m UGS from Sentinel-2 and OSM with weighted SVM.
- GBA UGS maps reveal core-dominated yet weakly connected green networks.
What are the implications of the main findings?
- Framework supports scalable UGS monitoring, planning and cross-city comparison.
- Data and MSPA metrics guide corridor design and green infrastructure optimization.
Abstract
The ongoing advance of urbanization has increased the need for accurate monitoring of urban green space (UGS). However, existing remote-sensing UGS mapping still struggles with inconsistent data quality, diverse urban forms, and limited cross-city generalization. This study focuses on China’s Guangdong-Hong Kong-Macao Greater Bay Area as its research region, establishing a fully automated UGS mapping framework based on Sentinel-2 time-series imagery and standardized OpenStreetMap (OSM) data. This process achieves UGS mapping at 10 m resolution for 16 cities within the metropolitan area through a dynamic standardized OSM tagging system, a Sentinel-2 satellite image sample generation mechanism integrating spectral and textural features, multidimensional sample quality assessment and weighting strategies, as well as balanced cross-city sampling and weighted SVM classification. The results demonstrate that this method exhibits stable performance across multiple urban environments, achieving an average overall accuracy of approximately 0.83 and an average F1 score of approximately 0.82. The highest recorded F1 score reaches 0.96, highlighting the method’s strong generalization capability under diverse urban conditions. The mapping results reveal significant disparities in UGS distribution within the Guangdong-Hong Kong-Macao Greater Bay Area, reflecting the combined effects of varying urban development patterns and ecological contexts. The unified workflow proposed in this study demonstrates strong applicability in handling heterogeneous urban structures and enhancing cross-regional comparability. It provides consistent, transparent, and reusable foundational data for regional eco-urban planning, urban green infrastructure development, and policy evaluation.
1. Introduction
Rapid urbanization has fundamentally transformed landscapes worldwide, reshaping ecological processes and intensifying environmental pressures in cities [1,2,3]. As built-up areas continue to expand, the availability and quality of urban green space (UGS) have become critical determinants of urban sustainability [4,5], directly influencing microclimate regulation, stormwater mitigation, air-quality improvement, and biodiversity conservation [6,7,8,9]. Beyond their ecological functions, UGS also play a central role in promoting human well-being by supporting physical activity, reducing mental stress, and fostering social interaction [10,11,12]. However, despite their importance, many cities lack consistent, fine-resolution information on the spatial distribution and condition of UGS, limiting the ability of planners, policymakers, and researchers to evaluate green-space provision, monitor temporal changes, and address emerging concerns related to environmental justice and public health.
Although recent advances in remote sensing have greatly improved the spatial detail of UGS mapping—from medium-resolution Landsat and MODIS products (≥30 m) [13], to 10 m Sentinel-2–based maps [14], and even sub-meter UGS layers derived from deep learning [15,16]—substantial challenges remain for generating reliable and comparable UGS datasets across cities. Sentinel-2–based approaches, while more scalable, still struggle to distinguish complex urban vegetation patterns without auxiliary data and are sensitive to local spectral variability. High-resolution approaches, particularly those based on deep learning, typically rely on large volumes of manually labeled samples or require model retraining for each individual city. Methods using street-view imagery or 3-D LiDAR scanning offer even finer detail [17,18], but their spatial and temporal coverage remains limited and data acquisition is costly, further restricting their applicability to large collections of cities.
In addition to remote-sensing imagery, OpenStreetMap (OSM) has become an increasingly valuable complementary data source for UGS analysis [14,19]. Its community-driven nature allows OSM to capture a wide array of urban vegetation types—such as parks, gardens, grasslands, and wooded areas—that are often difficult to distinguish solely from satellite imagery. However, the utility of OSM for automated UGS mapping is constrained by substantial variation in data completeness and annotation consistency [20]. OSM relies on voluntary contributions, resulting in uneven coverage across regions and significant semantic heterogeneity in vegetation tags. These issues are especially pronounced in small and rapidly developing cities, where OSM polygons tend to be sparse, outdated, or geometrically imprecise, limiting their direct applicability in large-scale automated workflows.
As one of the most open and economically dynamic regions in China, the GBA has also made notable progress in ecological and green-space development. Mainland cities such as Guangzhou have achieved relatively high levels of urban greening, with built-up green coverage exceeding 45% and per capita park green space reaching approximately 17.3 m2, respectively—both above the national urban average [21]. In contrast, Hong Kong and Macao Peninsula have long faced shortages of UGS, actual provision of only about 3 m2 per person [22,23]. This distinctive combination of dense and sparse urban forms makes the GBA a necessary region for evaluating whether automated UGS workflows can be generalized across heterogeneous urban environments.
In summary, despite significant advances in data acquisition and classification methods for UGS, constructing a consistent and scalable UGS mapping approach across urban scales remains constrained, particularly in regions with highly heterogeneous urban forms and significant variations in OSM data quality. To address this, this study focuses on the Guangdong-Hong Kong-Macao Greater Bay Area—a representative multi-city metropolitan cluster—to develop an automated UGS mapping workflow. Its objectives are: (1) to integrate Sentinel-2 time-series imagery with standardized OSM multi-source data, establishing an automated training sample generation system reusable across multiple cities; (2) Propose a multidimensional sample quality assessment and weighting strategy combining spectral, geometric, and environmental features to enhance classification model robustness in heterogeneous urban environments; (3) Construct a unified weighted SVM classifier based on balanced cross-city samples to generate UGS distribution maps; (4) Systematically evaluate the spatial patterns of UGS and explore the application potential of this method in sustainable urban planning and ecological governance. Through these objectives, this study aims to provide a scalable, highly automated technical pathway for UGS monitoring across multiple cities, offering foundational data support for future regional ecological management and urban green infrastructure planning.
2. Materials and Methods
2.1. Study Area
The GBA is located in the Pearl River Delta region of southern China and comprises 16 administrative units (Figure 1). These include the Hong Kong Special Administrative Region and the Macao Special Administrative Region, as well as 14 units in Guangdong Province. In Guangdong, the units include Guangzhou, Shenzhen, Zhuhai, Foshan, Huizhou, Dongguan, and Zhongshan. In addition, Jiangmen is represented by Jiangmen (urban districts) and four county-level units (Taishan, Kaiping, Enping, and Heshan), and Zhaoqing is represented by Zhaoqing (urban districts) and Sihui. Together, these sixteen cities cover an area of approximately 5,600,000 ha. Although the GBA occupies only about 0.6% of China’s land area, it contributed roughly 11% of the national GDP in 2022 [24,25]. The region features a subtropical monsoon climate with warm and humid conditions throughout the year, which supports vigorous vegetation growth and provides highly favorable natural conditions for remote-sensing-based monitoring of UGS.
Figure 1.
Study area. (a) Location of GBA in China; (b) The area of the built-up zone of the GBA; (c) Spatial distribution of good-quality observation numbers of Sentinel imagery in 2020.
2.2. Datasets
2.2.1. OpenStreetMap Data
OSM provides freely available, community-contributed vector data that include land-use and land-cover information such as vegetation, buildings, and urban facilities [26]. In this study, OSM polygon data were used as a reference layer for identifying vegetation-related areas in each city. To ensure consistency across different regions, vegetation categories were not hard-coded; instead, vegetation-related attributes were standardized using an external classification table (Table 1). A 10 m inward buffer was applied to reduce boundary uncertainty in All OSM. Buildings were extracted separately, and all remaining polygons not matching vegetation categories were treated as non-vegetation background. Because OSM completeness varies markedly among cities, a simple city-level quality index based on polygon coverage and vegetation counts was computed, and this value was later incorporated as a weighting factor during model training.
Table 1.
OSM land use polygon features considered as UGS.
2.2.2. Sentinel-2 Data
In this study, time-series Sentinel-2 surface reflectance data were used as the satellite source for mapping UGS. Sentinel-2 provides a revisit interval of five days and a spatial resolution of 10 m. All imagery was accessed through the Google Earth Engine (GEE) platform, where standard preprocessing steps, including radiometric calibration and atmospheric correction, had already been applied [27,28]. In addition, we used the quality assurance band generated by the CFMASK algorithm to identify low-quality observations, such as clouds and cloud shadows. For each pixel, a median composite was created by computing the median value across all available cloud-free observations. This approach can lessen the influence of occasional clouds and shadow-affected low values, but it may not fully correct persistently shaded pixels [29]. To ensure a sufficient number of high-quality observations, all Sentinel-2 images acquired over the GBA throughout the year were used to map UGS for 2020. This approach provided ample valid data [14,30], with more than 40% of pixels having over 50 high-quality observations and about 60% having between 12 and 50 high-quality observations (Figure 1b).
2.3. Methodology for UGS Mapping
2.3.1. Overall Workflow
The overall workflow integrates multi-source geospatial data and automated training pipeline to generate a generalized UGS classification model applicable across heterogeneous cities (Figure 2). Sentinel-2 surface reflectance imagery is combined with OSM polygonal land-cover annotations to produce dense, spatially consistent training samples. Instead of relying on manual labeling or city-specific tuning, the workflow constructs a comprehensive multi-city training dataset using a combination of grid-based polygon sampling, spectral feature extraction, multi-dimensional quality scoring, and automated weighting. Our method merges all valid samples into a unified training pool for model optimization during sample generation. A support vector machine with non-linear kernel is trained using this globally aggregated dataset, with every sample assigned a weight reflecting its geometric reliability, spectral consistency, and the completeness of its source city. The final model is then applied back to each city’s Sentinel-2 composite to generate coherent UGS distribution maps at 10 m resolution. This multi-scale, multi-stage architecture ensures robustness against regional variations in OSM quality, spectral heterogeneity, and differences in vegetation structure across cities.
Figure 2.
Workflow of this study. (a) OSM data standardization, including boundary refinement, class separation, and 10 m sampling; (b) Feature construction from Sentinel-2 after removing clouds, shadows, and water; (c) Sample reliability assessment using spectral, geometric, and environmental indicators; (d) Training and classification using a global SVM model to generate UGS maps across all cities.
2.3.2. OSM Data Standardization
OSM polygon data exhibit considerable variability in both spatial accuracy and semantic annotation, necessitating unified standardization before sample generation [20]. To avoid city-specific or locally defined vegetation labeling rules, vegetation-related attributes were dynamically mapped using an external classification table, from which a vegetation dictionary was constructed at runtime. For each city, the OSM dataset was reprojected into a consistent coordinate system and geometrically refined using a 10 m inward buffer to suppress boundary noise, reduce misalignment with the Sentinel-2 pixel grid, and mitigate uncertainties caused by irregular user-drawn polygon shapes. Polygons tagged as buildings were extracted and excluded, while all other polygons were automatically assigned to either vegetation or non-vegetation background via attribute matching with the external class table. To further diagnose OSM quality variation across cities, a compactness-based shape index—defined as boundary length normalized by the geometric mean of polygon area—was computed for each polygon to characterize geometric irregularity commonly associated with noisy or incomplete OSM annotations.
where P = perimeter of the polygon, A = area of the polygon.
2.3.3. Sentinel-2 Data Feature Extraction
Based on the refined polygons, training samples were generated using a 10 m grid aligned to the Sentinel-2 geographic transformation. Grid centroids falling inside OSM polygons were retained, and their corresponding reflectance-based features were extracted from a precomputed Sentinel-2 multi-band stack. The feature set included spectral vegetation and moisture indices (NDVI, NDWI, NDVIre, NDTI, MNDWI) along with texture information derived from gray-level co-occurrence matrix (GLCM) metrics. Before entering the unified sample pool, rule-based spectral screening was applied to suppress mislabeled or mixed pixels [31]. Vegetation samples with NDVI < 0.1 were removed as likely non-vegetated or mis-registered, while non-vegetation samples exhibiting anomalously high NDVI (greater than the vegetation median) were excluded to avoid contamination from shadows or misclassified surfaces [32,33]. This automated spectral plausibility check improves sample reliability while preserving full reproducibility across cities with highly inconsistent OSM quality.
where NIR is near infra-red band (wavelength: 785–900 nm), Green is green band (wavelength: 543–578 nm), Red is red band (wavelength: 650–680 nm), SWIR1 is short wave infrared 1 (wavelength: 1565–1655 nm), SWIR2 is short wave infrared 2 (wavelength: 2100–2280 nm).
2.3.4. Multi-Dimensional Sample Quality Assessment
To ensure robustness across diverse urban contexts, each sample was assigned a reliability score integrating spectral, geometric, and contextual indicators. First, spectral coherence within each class was assessed using a Local Outlier Factor (LOF) model fitted separately for vegetation and non-vegetation subsets [34]. LOF identifies pixels whose spectral signatures deviate significantly from surrounding points and normalizes these scores into a consistency indicator ranging from 0 to 1.
Geometric reliability was quantified through two additional metrics. The distance from each sample to the nearest polygon boundary was computed to penalize pixels susceptible to mixed-pixel effects or digitization inaccuracies along edges. Furthermore, the polygon-level shape index was used as a proxy for geometric irregularity; polygons with large boundary complexity typically correspond to loosely traced or noisy OSM features. Finally, polygon-level internal homogeneity was evaluated via the standard deviation of NDVI within each polygon, where high variance indicates label inconsistency or mixed land-cover types.
The comprehensive quality score is grouped into three ordinal levels—high, medium, and low—and mapped to reliability weights of 0.9, 0.6, and 0.2, respectively. These values act as reliability discount factors, reducing the influence of uncertain OSM-derived samples rather than representing exact probabilities. The choice of these values follows the logic of the IPCC calibrated likelihood language, which links qualitative likelihood terms to probability ranges (e.g., “very likely” ≈ 90–100%, “about as likely as not” ≈ 33–66%, “unlikely” ≈ 0–33%) [35]. Accordingly, we assign 0.9 for high, 0.6 for medium, and 0.2 for low reliability to represent decreasing confidence in sample labels.
To assess robustness, we performed a sensitivity analysis on the weight values while keeping the training samples and train/test split fixed. Ten alternatives combinations, including an unweighted baseline (1.0, 1.0, 1.0), were tested. Overall accuracy varied between 0.836 and 0.838, and F1 between 0.825 and 0.832 (Table 2). These small differences confirm that the framework is not sensitive to the exact numerical settings and remains stable across a reasonable range of weights, while the unweighted scheme yields the lowest performance.
Table 2.
Sensitivity analysis of reliability weights (Whigh, Wmedium, Wlow,) for the three-level quality score. All metrics are computed using the same evaluation protocol as in the main experiments.
2.3.5. Construction of a Balanced Multi-City Training Dataset
OSM coverage and polygon density vary substantially across cities. If all samples are pooled without control, data-rich cities would dominate model learning. We therefore construct a balanced multi-city training dataset in two steps.
First, we apply per-city, per-class sampling. For each city, vegetation and non-vegetation points are sampled with equal quotas. We set an upper limit of 2000 samples per class per city. If a city contains fewer samples, all available samples are retained. This cap prevents large cities from overwhelming the training set by sample count. It also ensures that small cities are still represented.
Second, we control the influence of OSM quality differences. We compute a city-level OSM completeness factor from polygon coverage and the number of vegetation polygons. Cities are grouped into low/medium/high quality and assigned weights of 0.6/0.8/1.0. This factor is used to adjust sample weights, but its range is intentionally bounded. It acts as a discount factor for label reliability. It is not meant to suppress a city. During model fitting, we further normalize the total training weight of each city to the same target level. This step prevents data-rich cities from gaining extra influence through weight magnitude. As a result, the global classifier can learn from all cities while preserving city-specific characteristics.
After the balanced pool is assembled, features are standardized using z-score normalization. We then perform supervised feature selection using mutual information (MI). MI measures the non-linear dependency between features and class labels. Only the most informative features are retained for UGS discrimination [36].
2.3.6. Weighted SVM Training, City-Scale Prediction, and Post-Processing
SVM have been widely applied in remote-sensing classification due to their ability to model non-linear decision boundaries and perform effectively with limited, high-dimensional training data [37,38]. These properties make SVMs particularly suitable for UGS discrimination, where vegetation and non-vegetation often exhibit complex spectral–textural overlap across heterogeneous urban environments. The final UGS classifier was trained using a support vector machine with an RBF kernel, a model well-suited for capturing non-linear boundaries in spectral–textural feature space. Hyperparameters and were optimized via a stratified ten-fold cross-validation grid search, with the weighted F1-score used as the selection criterion. Crucially, the previously computed sample weights were directly passed into the SVM training process, enabling the model to account for inconsistencies in OSM annotations, polygon geometry, and inter-city disparities. This weighted optimization produces a more generalizable classifier capable of operating across many urban contexts.
After model optimization, the classifier was applied to each Sentinel-2 feature image to generate city-scale UGS maps. Raster prediction was conducted in a memory-efficient manner by reshaping and masking valid pixels before classification. To refine spatial coherence, a multi-stage post-processing procedure was applied, including a 3 × 3 majority filter, morphological opening and closing, and removal of small isolated patches based on connected-component analysis. These operations suppress pixel-level noise, smooth boundaries, and eliminate implausibly small fragments, resulting in a spatially consistent 10 m UGS map suitable for downstream analysis.
2.4. Methodology for Spatial Pattern Analysis
2.4.1. Landscape Pattern Analysis
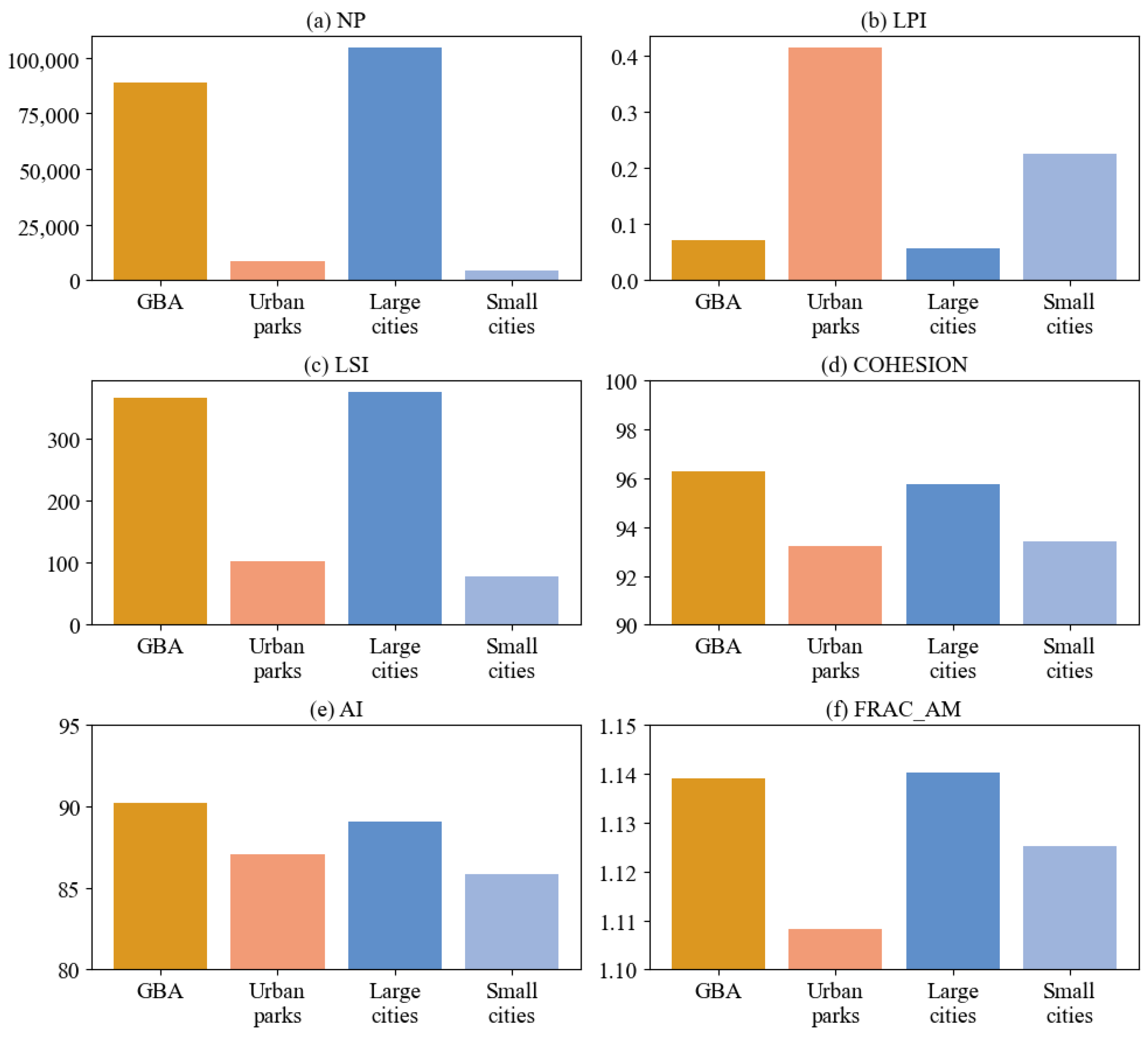
Landscape pattern indices can quantitatively characterize the compositional structure and spatial configuration features of different landscape types, serving as an important tool for analyzing landscape ecological patterns [39]. In this study, to conduct a comprehensive and reasonable evaluation of the ecological pattern of UGS, multiple representative landscape pattern indices were selected. These include the number of patches (NP), the largest patch index (LPI), the landscape shape index (LSI), the cohesion index (COHESION), the agglomeration index (AI), and the area-weighted mean patch fractal dimension (FRAC_AM). Among these, NP and LPI primarily reflect the number of green patches and the dominance of the dominant patch, while LSI and FRAC_AM describe the complexity of patch shapes. COHESION and AI characterize the integrity and connectivity of the green landscape network by assessing overall connectivity and spatial aggregation, respectively.
2.4.2. Morphological Spatial Pattern Analysis
Morphological Spatial Pattern Analysis (MSPA) is a customized sequence of mathematical morphological operators designed to describe the geometric shape and connectivity of image components [40,41]. It is applicable for segmentation analysis of foreground objects relative to the background. Pixels within ecological zones are classified as foreground, while the remainder are designated as background. In this study, the MSPA method was employed to categorize UGS into distinct types based on their spatial positioning and topological relationships within the overall structure. These include Core, Edge, Islet, Perforation, Bridge, Branch, and Loop. This provides a quantitative spatial basis for subsequent green infrastructure development, ecological corridor planning, and UGS management.
3. Results
3.1. Data Records
This study ultimately generated a 10 m resolution UGS raster product covering all 11 cities in the Guangdong-Hong Kong-Macao Greater Bay Area (Figure 3 and Figure 4). Each city produced an independent binary UGS layer (1 indicates UGS, 0 indicates non-UGS). All city-level outputs maintain consistency in resolution, classification criteria, and UGS definitions, enabling cross-city comparisons within the Greater Bay Area. The results capture not only large contiguous UGS but also effectively identify small, dispersed green patches that were difficult to discern in previous coarse-resolution data. The dataset is stored in the Figshare (https://doi.org/10.6084/m9.figshare.30746801). This Greater Bay Area UGS dataset provides a high-precision spatial foundation for subsequent urban form analysis, UGS accessibility evaluation, environmental equity research, and cross-city ecological pattern comparisons.
Figure 3.
Spatial distribution of UGS across the GBA.
Figure 4.
Spatial distribution of UGS in the constituent cities of the GBA.
3.2. Spatial Distribution and Heterogeneity of UGS in the GBA
The UGS mapping results generated by this study (Figure 5) reveal significant disparities in UGS distribution among cities within the Guangdong-Hong Kong-Macao Greater Bay Area. Both the total UGS area and the proportion of UGS per unit area exhibit pronounced spatial heterogeneity. In terms of total UGS, Guangzhou (approximately 335.6 ha), Dongguan (225.0 ha), and Foshan (222.1 ha) lead the region, collectively forming a relatively continuous green belt in the central-eastern part of the Bay Area. Shenzhen (198.8 ha) and Zhuhai (43.3 ha) also possess relatively substantial UGS, but their distribution is more fragmented due to high-density development patterns. Cities like Jiangmen (39.3 ha) and Zhongshan (56.4 ha) fall within the mid-range, while Kaiping (2.6 ha), Enping (3.4 ha), Sihui (4.1 ha), and Taishan (4.2 ha) exhibit smaller total green areas, reflecting limitations in their administrative boundaries or developable land within the study area. Hong Kong (28.0 ha) and Macao (3.5 ha) exhibit notably low UGS coverage, primarily due to the combined effects of compact urban spatial constraints and topographical limitations.
Figure 5.
Spatial distribution of UGS indicators across cities in the GBA in 2020: (a) UGS density; (b) total UGS area (ha).
In terms of UGS density, cities exhibit another dimension of variation. Cities with relatively high UGS ratios include Heshan (0.2884), Guangzhou (0.2704), Foshan (0.2664), Zhongshan (0.2500), and Zhuhai (0.2600), indicating that these cities maintain substantial green areas despite relatively high internal construction intensity. In contrast, Kaiping (0.096), Macau (0.141), Enping (0.129), and Taishan (0.148) exhibit lower UGS ratios with sparser distribution. Shenzhen (0.193) and Hong Kong (0.187) fall within the middle range, consistent with their mixed characteristics of “high-density built-up areas + extensive natural mountainous terrain.”
3.3. Accuracy Assessment of the UGS Map of GBA
The UGS map construction framework proposed by this research demonstrated stable and reliable performance across 16 cities in the Great Bay Area. A total of 25,266 UGS sample points were collected, with 75% used to train the SVM classifier and the remainder employed to validate the final UGS map (Figure 6). The validation points were not used in model fitting or hyperparameter tuning. However, we note that both training and validation labels originate from the same OSM system. Therefore, the reported accuracy mainly reflects agreement with an OSM-based reference. In addition, because samples can be spatially clustered, the random split may still lead to optimistic estimates due to spatial autocorrelation. To reduce this risk, we limited the number of samples per city and balanced classes during training. We also normalized the total training weight per city, so that data-rich cities do not dominate learning.
Figure 6.
Spatial distribution of training points of UGS and non-UGS.
Based on statistical results from 16 cities, the classification precision across cities remained generally stable (Table 3). Overall accuracy (Acc) was consistently high, indicating the model’s strong foundational discrimination capability across different cities. Precision showed minimal variation across cities, averaging approximately 0.90, with the highest precision recorded in Taishan (0.963), indicating consistently low false alarm rates. In contrast, recall exhibited more pronounced fluctuations, reflecting differences in vegetation fragmentation, shading intensity, and detectability of fragmented vegetation at 10 m resolution across cities. Since the F1 score is influenced by both precision and recall, its trend aligns with recall: cities with large contiguous vegetation areas (e.g., Taishan) achieved the highest F1 (0.963), while cities with dense high-rise buildings or highly fragmented vegetation (e.g., Guangzhou, Zhuhai, Kaiping) showed relatively lower performance.
Table 3.
Accuracy assessment results of UGS map.
Overall, the results confirm that the unified workflow performs well across diverse urban environments, with residual errors primarily attributable to the structural limitations of medium-resolution imagery and the complexity of vegetation in dense urban settings.
3.4. Model Selection and Comparison
To evaluate our model choice, we conducted a benchmark comparison without changing the feature set, sample pool, or experimental settings (Figure 7). We included Random Forest (RF), XGBoost, and a shallow artificial neural network (ANN) as baseline methods. W-SVM achieved the best overall performance among the four models (Acc = 0.837, F1 = 0.827) (Table 4). Its advantage was most evident in Precision (0.882). This matters for UGS mapping because users often care about whether pixels predicted as UGS are truly reliable. In practice, we aim to reduce cases where Non-UGS is incorrectly labeled as UGS. The confusion matrices support this point. Compared with ANN, RF, and XGBoost, W-SVM produced the fewest Non-UGS → UGS errors (355). The corresponding numbers were 563 for ANN, 551 for RF, and 525 for XGBoost. This indicates that W-SVM improves performance by suppressing critical error types rather than by over-detecting UGS. As a result, the final maps are more trustworthy and easier to interpret. RF achieved a slightly higher Recall (0.797), suggesting a more aggressive detection tendency. However, it also generated more false positives (Non-UGS → UGS = 551). This reduced its Precision and F1 compared with W-SVM. XGBoost showed a similar pattern. Its overall accuracy was relatively high, but false positives remained frequent, which limited the balance between error control and detection. ANN performed the weakest in this task. It had the highest false positives and the lowest overall metrics, suggesting no structural advantage under our sample size and feature conditions. These differences also explain why we prefer W-SVM in our workflow. Our task is a binary classification problem with clear non-linear boundaries and strong feature overlap between classes. An SVM with an RBF kernel can build a stable non-linear decision surface in high-dimensional space. The maximum-margin principle also helps improve generalization. Under limited samples and noisy or mixed remote-sensing features, this boundary-focused learning is often more robust than tree-splitting decisions or neural networks that typically benefit from larger datasets.
Figure 7.
Confusion matrices of four classifiers (ANN, RF, XGBoost, and W-SVM) for UGS mapping.
Table 4.
Accuracy metrics (Acc, Precision, Recall, and F1-score) of ANN, RF, XGBoost, and W-SVM for UGS classification.
Overall, selecting W-SVM does not imply that RF or XGBoost are unsuitable for large-scale remote-sensing applications. Our choice is driven by the goal of reducing false positives and improving map reliability under non-linear and mixed-feature conditions. The benchmark results provide quantitative support for this decision. W-SVM maintains competitive detection while substantially lowering false positives, leading to better Accuracy, Precision, and F1. Therefore, it is the most appropriate final model for UGS mapping in this study.
4. Discussion
4.1. Maps of UGS in GBA
Recent advances in remote sensing have enabled many approaches for mapping UGS. Methods that combine remote sensing data and machine-learning classifiers are now widely used across cities and regions [15,42,43]. Yet truly scalable multi-city UGS mapping is still difficult. A key reason is that training labels are often heterogeneous and uncertain across cities, especially when OSM is used. In many Sentinel-2 + OSM workflows, OSM polygons are treated as equally reliable. When quality problems occur, they are often handled by manual cleaning. In addition, models and sampling rules are frequently tuned for each city. These practices reduce reproducibility. They also limit transferability to large, multi-city analyses.
This study addresses these limitations with a unified and fully automated framework (Table 5). We standardize OSM-derived training samples using a consistent rule set. We also use a full-year Sentinel-2 time series. This helps reduce the effect of seasonal gaps and residual cloud contamination. More importantly, we introduce a reliability-aware training strategy. Sample reliability is quantified from multiple signals. These include LOF-based spectral screening and geometric or within-polygon descriptors (e.g., boundary proximity, shape complexity, and NDVI heterogeneity). We also incorporate a city-level OSM completeness factor. This accounts for systematic differences in mapping coverage among cities. The resulting reliability scores are injected into model learning through sample weighting. We further apply cross-city balancing so that data-rich cities do not dominate training. This allows a single transferable classifier to be learned and applied consistently. Overall, the framework produces comparable UGS products across the Greater Bay Area. It also reduces the need for manual intervention.
Table 5.
Key Advantages of the UGS Mapping Framework.
The comparison between our UGS map of GBA and other studies also shows the good accuracy of our results (Table 6 and Table 7). The estimated UGS area from our product is 139,427.06 ha. It is close to ESA WorldCover (125,108.40 ha) [44]. It is higher than ALCC (97,668.27 ha) [45]. It is lower than CLCD (183,620.34 ha) [46]. The total mapped area is similar across datasets (about 654–659 thousand ha). This indicates that the spatial extent is largely consistent. The differences are expected for several reasons. First, the reference products are multi-class land-cover maps. Our product is binary. Some land-cover types are ambiguous after harmonization. This is common when converting multi-class maps into UGS/non-UGS. Second, spatial resolution affects mixed pixels. The 30 m products mix vegetation and impervious surfaces in dense urban areas. This can reduce or inflate vegetation-like fractions depending on the algorithm. Our map is produced at 10 m and is more sensitive to small urban green patches. Third, products differ in training data, temporal compositing, and post-processing. These choices affect boundaries and mixed surfaces. Overall, our UGS mapping results are plausible and consistent with existing authoritative land-cover products.
Table 6.
Area comparison of UGS and non-UGS in the GBA derived from our product and existing land-cover datasets. Areas are reported in hectares (ha).
Table 7.
Reclassifying multi-class land-cover maps into a binary legend (UGS vs. Non-UGS).
4.2. Sources of Errors in UGS Maps
Mapping UGS across large and heterogeneous metropolitan regions remains challenging, and the accuracy of the resulting maps may be affected by several sources of uncertainty. In this study, three factors are particularly noteworthy: (1) the limited spatial resolution of Sentinel-2 imagery, which restricts the detection of fine-scale vegetation; (2) the absence of explicit modeling of urban shadow effects, which frequently suppress vegetation signals in high-rise districts; and (3) the use of post-processing filters that improve map smoothness but may unintentionally remove small or fragmented green patches.
First, the 10 m spatial resolution of Sentinel-2 limits the detection of small or narrow vegetation features [47]. Many UGS elements in dense cities—street trees, narrow roadside plantings, pocket parks, and courtyard greenery—are smaller than one pixel. They are also often mixed with nearby impervious surfaces. This mixing weakens vegetation signals in indices and derived features. It reduces separability between UGS and non-UGS. As a result, fine-scale greenery can be classified as non-UGS, causing omission and underestimation. This issue is more pronounced in very compact urban cores. The Macao Peninsula is a typical example. Its greenery is fragmented and often linear, which increases mixed pixels. Shadowing and adjacency effects in high-rise areas can further suppress vegetation signals. Post-processing may remove small isolated patches and narrow strips. Therefore, UGS extent in such districts should be interpreted as a conservative estimate [48].
Second, UGS extraction in high-density cities is further complicated by strong illumination variations caused by high-rise buildings [49]. Deep building shadows can markedly reduce vegetation reflectance, depressing spectral indices such as NDVI and causing actual green areas to be misclassified as non-UGS. Because our approach does not incorporate shadow-aware radiometric normalization or multi-temporal compensation, residual shadow-related errors may persist in the final maps.
Third, although morphological operations and patch-size filtering help suppress noise and produce cleaner spatial patterns, they can also shrink green-space boundaries and remove legitimate but small vegetated patches. This effect is particularly pronounced in fragmented urban landscapes where small parcels of vegetation are ecologically relevant but geometrically fragile. Thus, these operations introduce a trade-off between spatial smoothness and completeness.
These effects are not uniform across the GBA. This helps explain why the F1 scores vary among cities in Table 2. Cities with compact urban form and dense high-rise areas tend to have more shadows and mixed pixels. Their UGS is also more fragmented. This typically reduces recall and lowers F1. In contrast, cities with larger and more continuous vegetation patches are less affected by these issues. They often show higher recall and higher F1. For example, Guangzhou shows a lower recall and F1 than greener cities with more continuous patches. In contrast, Taishan achieves the highest recall and F1, which is consistent with its large contiguous vegetation areas. In addition, OSM completeness differs across cities. Sparse or uneven OSM vegetation polygons can introduce label noise and sampling gaps. This can weaken both training and validation quality. We partly mitigate this using a city-level OSM quality factor and balanced multi-city sampling. However, these controls cannot fully remove inter-city differences in urban structure and OSM mapping quality. Therefore, some performance gaps across cities are expected. Future work integrating higher-resolution imagery, shadow-robust modeling techniques, and scale-adaptive post-processing strategies may help alleviate these limitations and further improve map fidelity.
4.3. Landscape Assessment of UGS Patterns in the GBA
The landscape pattern index reflects the ecological structure of UGS. From the perspective of landscape, the overall UGS pattern in the GBA exhibits a combination of high connectivity and aggregation alongside localized fragmentation (Figure 8). At the regional scale, the NP reaches 88,635, indicating high diversity of vegetated patches across the study area; however, the LPI is only 0.07, suggesting that dominant, large-scale green patches occupy a relatively small proportion of the landscape. The LSI is extremely high (366.32), and the FRAC_AM (1.14) is among the highest across the categories, reflecting the complex and irregular boundaries of green patches caused by intensive urban encroachment. Comparisons among different city types further reveal internal variations in green-space structure. Large cities show the highest NP (104,446) but the lowest LPI (0.06), combined with high LSI and FRAC_AM values (375.56 and 1.14), indicating highly fragmented, irregularly shaped patches embedded in dense built-up fabrics. In contrast, small cities have a much lower NP (4312) but a substantially higher LPI (0.23), and the lowest LSI and FRAC_AM (77.85, 1.13), implying the presence of several relatively continuous and geometrically regular large patches. Urban parks demonstrate the highest LPI (0.41) within their boundaries, but their COHESION (93.20) and AI (87.08) are lower than the regional average, reflecting a typical “isolated-park” configuration in the urban fabric.
Figure 8.
Comparison of landscape (NP, LPI, LSI, COHESION, AI and FRAC_AM) of UGS in the GBA and its subsystems (urban parks, large cities and small cities).
The gradient observed in the AI—GBA overall > large cities > urban parks > small cities (90.21 > 89.10 > 87.08 > 85.82)—carries important ecological and planning implications. On the one hand, the high AI at the regional scale indicates that mountains, river corridors, and coastal ecological spaces still provide a relatively cohesive vegetated backbone, consistent with the core-patch structure identified through MSPA. On the other hand, the markedly lower AI values within different urban systems reveal that greening practices often remain project-based and spatially dispersed, lacking the corridors, street green belts, and riparian greenways needed to connect isolated patches. In other words, while recent greening initiatives have increased the quantity and accessibility of UGS, they have been less effective in improving aggregation and network coherence. Future green-space policies and territorial-spatial planning in the GBA should therefore not only continue protecting large ecological source patches, but also introduce quantitative constraints explicitly targeting increases in AI and COHESION—for example, by synchronizing corridor planning with new development zones, integrating ecological buffers along transport and waterfront corridors, and prioritizing sites that can connect existing patches when allocating new parks or protective green areas. By shifting from “patch accumulation” to a network-oriented green infrastructure system, the GBA can enhance ecological processes and better support climate adaptation, environmental quality, and human well-being at both regional and urban scales.
4.4. MSPA-Based Assessment of UGS Structure and Policy Implications in the GBA
MSPA of the GBA UGS reveals a highly skewed spatial structure dominated by core and edge components (Figure 9). Core UGS accounts for 56.38% of all foreground vegetation, indicating that a number of relatively intact vegetated blocks are still preserved at the regional scale. Edge pixels contribute a further 39.19%, suggesting that much of this vegetation is concentrated in narrow belts surrounding the cores and is therefore more susceptible to encroachment and disturbance. In contrast, fragmentation-related classes occupy only small shares of the landscape: islets and perforation patches represent 0.79% and 0.54%, respectively, while loop structures are almost negligible at 0.11%. Functionally important connectors are also limited in extent: bridge pixels account for only 1.39% and branch pixels 1.61%. Overall, the MSPA results portray a system in which sizeable vegetated cores still exist, but the network of structural connections between them is relatively weak and easily disrupted by ongoing urban expansion.
Figure 9.
Morphological Spatial Pattern Analysis (MSPA) classification of Urban Green Space (UGS) in the Guangdong–Hong Kong–Macao Greater Bay Area (GBA): (a) spatial distribution of MSPA classes with locations of four representative zoom-in areas; (b) Zoom 1; (c) Zoom 2; (d) Zoom 3; (e) Zoom 4.
These MSPA patterns support more explicit spatial priorities for green-space governance in the GBA. First, core patches dominate the network (56.38%). They should be treated as ecological sources and strictly protected from further loss or perforation. This is especially important in fast-growing cores such as Guangzhou and Shenzhen, where redevelopment pressure can quickly fragment remaining large green patches. Second, edges are extensive (39.19%). They indicate where cores are most exposed to encroachment. Planning should therefore prioritize stabilizing these edge belts through buffer zoning and development-intensity controls, rather than adding isolated new patches. Third, connectors are scarce (bridge 1.39% and branch 1.61%). This suggests clear connectivity bottlenecks. Corridor investments should focus on “pinch points” between adjacent cores. They can be implemented along riverbanks, coastal belts, and transport buffers, especially along major urban corridors (e.g., the Guangzhou–Dongguan–Shenzhen axis) and cross-boundary zones. At the local scale, scattered islets (0.79%) highlight opportunities in dense built-up districts. This is particularly relevant for Macao, where greenery is often small and fragmented. Small interventions can be targeted here. Examples include pocket parks, street-tree programmers, and courtyard greening. This can improve environmental quality and equity without requiring large land parcels.
4.5. Implications and Future Development of UGS Mapping
The unified framework developed in this study demonstrates the feasibility of producing harmonized, multi-city UGS maps using open Sentinel-2 data and a fully automated workflow. We standardize preprocessing, sample generation, feature extraction, and classification across 16 administrative units in the GBA. This provides a replicable blueprint for generating comparable UGS datasets at regional scales. The products support long-term monitoring of urban greening and cross-city comparison of UGS patterns. Performance may decline in dense urban cores. Shadows and very small green features are difficult to resolve at 10 m. These effects are not explicitly modeled in the current system.
The workflow can be transferred to other regions, but settings should reflect local climate and urban form. The GBA has a long growing season. In temperate or cold regions, phenology is stronger. The time-series window should follow the local growing season. Snow-prone areas may require additional masking. Arid regions may need recalibration because vegetation is sparse and soils are bright. Urban morphology also matters. Compact high-rise districts increase mixed pixels and shadow effects, which can reduce recall for small greenery. Sprawling cities add complex urban–rural transitions, so a clear binary legend and consistent class crosswalk are important at the fringe.
In future work, we will integrate higher-resolution optical imagery as well as LiDAR and SAR data. These sources can complement Sentinel-2 and improve the delineation of fine-scale vegetation, especially small or linear features. We will also strengthen validation. We plan to use spatially independent sampling and manual interpretation based on very high-resolution imagery in representative urban cores. This will better quantify errors related to building shadows and sub-pixel greenery. We will further test spatially explicit evaluation schemes to reduce potential optimism caused by clustered samples.
5. Conclusions
This study proposes an automated UGS mapping workflow for multi-city regions. By integrating standardized OSM data with Sentinel-2 time-series imagery, it achieves consistent 10 m UGS mapping across 16 cities in the Guangdong-Hong Kong-Macao Greater Bay Area through multidimensional sample quality assessment, cross-city balanced sampling, and weighted SVM classification. Results demonstrate the method’s robust performance across heterogeneous urban environments: overall accuracy averages approximately 0.83, with an average F1 score of 0.82 and a maximum of 0.96. This validates the constructed workflow’s strong generalization capability in cross-city scenarios.
The findings reveal significant disparities in UGS distribution among cities in the Greater Bay Area, reflecting the combined effects of urban form, development intensity, and ecological context. This provides a unified data foundation for cross-regional comparisons of UGS patterns and ecological planning. Combining landscape indices with MSPA, this study further reveals that the regional UGS structure exhibits a characteristic where core areas maintain a certain scale, but overall connectivity remains weak. This highlights the importance of strengthening cross-city ecological corridors and developing UGS networks within cities. Although small UGS may be underestimated due to limitations in Sentinel-2 spatial resolution, shadow interference, and post-processing filtering, the overall framework provides a stable foundation for integrating high-resolution imagery, orthorectification techniques, and multi-source data fusion in future studies. Overall, the unified workflow developed in this study demonstrates strong scalability and reusability. It establishes a reliable technical approach for large-scale, multi-city UGS monitoring and provides critical data support for regional ecological planning and green development policy evaluation.
Author Contributions
Conceptualization, B.Y. and Z.W.; methodology, B.Y. and Z.W.; software, L.W. and C.C.; validation, L.W., A.Z., X.L. and X.Y.; formal analysis, B.Y., X.Y. and X.L.; investigation, Z.W.; resources, A.Z. and Z.W.; data curation, B.Y.; writing—original draft preparation, B.Y. and Z.W.; writing—review and editing, Z.W.; visualization, X.Y. and X.L.; supervision, Z.W. and C.C.; project administration, Z.W. and C.C.; funding acquisition, Z.W. All authors have read and agreed to the published version of the manuscript.
Funding
This research was funded by National Natural Science Foundation of China (42267068); and Digital Intelligence and Humanities, Arts Integration and Innovation Interdisciplinary Research Cluster at Gannan Normal University.
Data Availability Statement
Data will be made available upon request from the corresponding author.
Conflicts of Interest
The authors declare that they have no conflicts of interest.
References
- Derkzen, M.L.; van Teeffelen, A.J.; Nagendra, H.; Verburg, P.H. Shifting roles of urban green space in the context of urban development and global change. Curr. Opin. Environ. Sustain. 2017, 29, 32–39. [Google Scholar] [CrossRef]
- Liu, D.; Li, H.; Qiu, M.; Liu, Y. Understanding coupled coordination relationships between social and ecological functions of urban green spaces. Geo-Spat. Inf. Sci. 2023, 26, 431–445. [Google Scholar] [CrossRef]
- Mukherjee, M.; Takara, K. Urban green space as a countermeasure to increasing urban risk and the UGS-3CC resilience framework. Int. J. Disaster Risk Reduct. 2018, 28, 854–861. [Google Scholar] [CrossRef]
- Yang, Z.; Fang, C.; Mu, X.; Li, G.; Xu, G. Urban green space quality in China: Quality measurement, spatial heterogeneity pattern and influencing factor. Urban For. Urban Green 2021, 66, 127381. [Google Scholar] [CrossRef]
- Tian, Y.; Jim, C.Y.; Wang, H. Assessing the landscape and ecological quality of urban green spaces in a compact city. Landsc. Urban Plan. 2014, 121, 97–108. [Google Scholar] [CrossRef]
- Li, Q.; Li, Q.; Peng, H.; Chen, S. Study on the effect of vertical structure of urban green spaces on microclimate in Guangzhou through a full year numerical simulation. Landsc. Urban Plan. 2025, 260, 105370. [Google Scholar] [CrossRef]
- Zhao, H.; Kam, K.A.; Kymissis, I.; Mailloux, B.J.; Culligan, P.J. A LoRaWAN-based environmental sensing network for urban green space monitoring with demonstrated application for stormwater management. Sustain. Cities Soc. 2024, 115, 105852. [Google Scholar] [CrossRef]
- Wang, H.; Li, Y.; Liu, Y.; Lu, X.; Zhang, Y.; Fan, Q.; Shen, C.; Lai, S.; Zhou, Y.; Zhang, T. Underappreciated contributions of biogenic volatile organic compounds from urban green spaces to ozone pollution. Atmos. Chem. Phys. 2025, 25, 5233–5250. [Google Scholar] [CrossRef]
- Hu, X.; Lima, M.F. The association between maintenance and biodiversity in urban green spaces: A review. Landsc. Urban Plan. 2024, 251, 105153. [Google Scholar] [CrossRef]
- Yang, H.; Chen, T.; Zeng, Z.; Mi, F. Does urban green space justly improve public health and well-being? A case study of Tianjin, a megacity in China. J. Clean. Prod. 2022, 380, 134920. [Google Scholar] [CrossRef]
- Chen, S.; Liu, L.; Chen, C.; Haase, D. The interaction between human demand and urban greenspace supply for promoting positive emotions with sentiment analysis from twitter. Urban For. Urban Green. 2022, 78, 127763. [Google Scholar] [CrossRef]
- Yang, X.; Duan, C.; Chen, B.; Wang, H. The socio-economic value of urban green spaces in mitigating waterlogging and enhancing well-being. Resour. Conserv. Recycl. 2025, 212, 108010. [Google Scholar] [CrossRef]
- Kuang, W. Mapping global impervious surface area and green space within urban environments. Sci. China Earth Sci. 2019, 62, 1591–1606. [Google Scholar] [CrossRef]
- Ju, Y.; Dronova, I.; Delclòs-Alió, X. A 10 m resolution urban green space map for major Latin American cities from Sentinel-2 remote sensing images and OpenStreetMap. Sci. Data 2022, 9, 586. [Google Scholar] [CrossRef]
- Shi, Q.; Liu, M.; Marinoni, A.; Liu, X. UGS-1m: Fine-grained urban green space mapping of 34 major cities in China based on the deep learning framework. Earth Syst. Sci. Data Discuss. 2022, 2022, 1–23. [Google Scholar]
- Huerta, R.E.; Yépez, F.D.; Lozano-García, D.F.; Guerra Cobian, V.H.; Ferrino Fierro, A.L.; de León Gómez, H.; Cavazos Gonzalez, R.A.; Vargas-Martínez, A. Mapping urban green spaces at the metropolitan level using very high resolution satellite imagery and deep learning techniques for semantic segmentation. Remote Sens. 2021, 13, 2031. [Google Scholar] [CrossRef]
- Li, X.; Zhang, C.; Li, W.; Ricard, R.; Meng, Q.; Zhang, W. Assessing street-level urban greenery using Google Street View and a modified green view index. Urban For. Urban Green. 2015, 14, 675–685. [Google Scholar] [CrossRef]
- Hu, T.; Wei, D.; Su, Y.; Wang, X.; Zhang, J.; Sun, X.; Liu, Y.; Guo, Q. Quantifying the shape of urban street trees and evaluating its influence on their aesthetic functions based on mobile lidar data. ISPRS J. Photogramm. Remote Sens. 2022, 184, 203–214. [Google Scholar] [CrossRef]
- Chen, Y.; Weng, Q.; Tang, L.; Liu, Q.; Zhang, X.; Bilal, M. Automatic mapping of urban green spaces using a geospatial neural network. GIScience Remote Sens. 2021, 58, 624–642. [Google Scholar] [CrossRef]
- Vargas-Munoz, J.E.; Srivastava, S.; Tuia, D.; Falcao, A.X. OpenStreetMap: Challenges and opportunities in machine learning and remote sensing. IEEE Geosci. Remote Sens. Mag. 2020, 9, 184–199. [Google Scholar] [CrossRef]
- Lu, W.; Jiang, W.; Qiao, D.; Liu, Q.; Chen, G.; Huang, Q.; Xu, C. Embracing green spaces: Exploring spatiotemporal changes in urban green space accessibility and its equity in Guangzhou, China for sustainable urban greening. Environ. Sustain. Indic. 2023, 19, 100290. [Google Scholar] [CrossRef]
- Shan, L.; He, S. The role of peri-urban parks in enhancing urban green spaces accessibility in high-density contexts: An environmental justice perspective. Landsc. Urban Plan. 2025, 254, 105244. [Google Scholar] [CrossRef]
- Sun, X.; Liu, Z. Public green space injustice in high-density post-colonial areas: A case study of the Macau Peninsula, China. Sustainability 2024, 16, 3774. [Google Scholar] [CrossRef]
- Geng, S.; Zhang, H.; Xie, F.; Li, L.; Yang, L. Vegetation dynamics under rapid urbanization in the guangdong–Hong Kong–macao greater bay area urban agglomeration during the past two decades. Remote Sens. 2022, 14, 3993. [Google Scholar] [CrossRef]
- Liu, Y.; Han, B.; Jiang, C.; Ouyang, Z. Uncovering the role of urban green infrastructure in carbon neutrality: A novel pathway from the urban green infrastructure and cooling power saving. J. Clean. Prod. 2024, 452, 142193. [Google Scholar] [CrossRef]
- Haklay, M.; Weber, P. Openstreetmap: User-generated street maps. IEEE Pervasive Comput. 2008, 7, 12–18. [Google Scholar] [CrossRef]
- Wang, X.; Xiao, X.; Qin, Y.; Dong, J.; Wu, J.; Li, B. Improved maps of surface water bodies, large dams, reservoirs, and lakes in China. Earth Syst. Sci. Data Discuss. 2022, 2022, 1–44. [Google Scholar] [CrossRef]
- Chai, Z.; Wen, K.; Fu, H.; Liu, M.; Shi, Q. Time-series urban green space mapping and analysis through automatic sample generation and seasonal consistency modification on Sentinel-2 data: A case study of Shanghai, China. Sci. Remote Sens. 2025, 11, 100215. [Google Scholar] [CrossRef]
- Qiu, S.; Zhu, Z.; Olofsson, P.; Woodcock, C.E.; Jin, S. Evaluation of Landsat image compositing algorithms. Remote Sens. Environ. 2023, 285, 113375. [Google Scholar] [CrossRef]
- Bian, J.; Li, A.; Liu, Q.; Huang, C. Cloud and snow discrimination for CCD images of HJ-1A/B constellation based on spectral signature and spatio-temporal context. Remote Sens. 2016, 8, 31. [Google Scholar] [CrossRef]
- Wang, W.; Teng, H.; Zhao, L.; Han, L. Long-term changes in water body area dynamic and driving factors in the middle-lower Yangtze plain based on multi-source remote sensing data. Remote Sens. 2023, 15, 1816. [Google Scholar] [CrossRef]
- Ma, E.; Feng, Z.; Chen, P.; Wang, L. Spatiotemporal Dynamics of Forest Vegetation in Northern China and Their Responses to Climate Change. Forests 2025, 16, 671. [Google Scholar] [CrossRef]
- Ju, Y.; Dronova, I.; Ma, Q.; Lin, J.; Moran, M.R.; Gouveia, N.; Hu, H.; Yin, H.; Shang, H. Assessing Normalized Difference Vegetation Index as a proxy of urban greenspace exposure. Urban For. Urban Green 2024, 99, 128454. [Google Scholar] [CrossRef]
- Breunig, M.M.; Kriegel, H.-P.; Ng, R.T.; Sander, J. LOF: Identifying density-based local outliers. In Proceedings of the 2000 ACM SIGMOD International Conference on Management of Data, Dallas, TX, USA, 16–18 May 2000; pp. 93–104. [Google Scholar]
- Bongaarts, J. IPCC, 2023: Climate Change 2023: Synthesis Report. IPCC, 184 p. doi: https://doi.org/10.59327/IPCC/AR6-9789291691647. Popul. Dev. Rev. 2024, 50, 577–580. [Google Scholar] [CrossRef]
- Jiao, R.; Nguyen, B.H.; Xue, B.; Zhang, M. A survey on evolutionary multiobjective feature selection in classification: Approaches, applications, and challenges. IEEE Trans. Evol. Comput. 2023, 28, 1156–1176. [Google Scholar] [CrossRef]
- Chandra, M.A.; Bedi, S. Survey on SVM and their application in image classification. Int. J. Inf. Technol. 2021, 13, 1–11. [Google Scholar] [CrossRef]
- Cortes, C.; Vapnik, V. Support-vector networks. Mach. Learn. 1995, 20, 273–297. [Google Scholar] [CrossRef]
- McGarigal, K. Landscape pattern metrics. Encycl. Environmetr. 2006. [Google Scholar] [CrossRef]
- Soille, P.; Vogt, P. Morphological segmentation of binary patterns. Pattern Recognit. Lett. 2009, 30, 456–459. [Google Scholar] [CrossRef]
- Vogt, P.; Riitters, K. GuidosToolbox: Universal digital image object analysis. Eur. J. Remote Sens. 2017, 50, 352–361. [Google Scholar] [CrossRef]
- Huang, C.; Yang, J.; Clinton, N.; Yu, L.; Huang, H.; Dronova, I.; Jin, J. Mapping the maximum extents of urban green spaces in 1039 cities using dense satellite images. Environ. Res. Lett. 2021, 16, 064072. [Google Scholar] [CrossRef]
- Chen, Y.; Weng, Q.; Tang, L.; Wang, L.; Xing, H.; Liu, Q. Developing an intelligent cloud attention network to support global urban green spaces mapping. ISPRS J. Photogramm. Remote Sens. 2023, 198, 197–209. [Google Scholar] [CrossRef]
- Zanaga, D.; Van De Kerchove, R.; Daems, D.; De Keersmaecker, W.; Brockmann, C.; Kirches, G.; Wevers, J.; Cartus, O.; Santoro, M.; Fritz, S.; et al. ESA WorldCover 10 m 2020 v100. 2021. Available online: https://zenodo.org/records/5571936 (accessed on 4 January 2026).
- Li, B.; Liu, X.; Zhuang, H.; Zeng, L.; Cai, Y.; Zhang, H.; Cai, Y.; Wu, C.; Xu, X. ALCC: Temporally Consistent Annual Land Cover Maps over China from 1985 to 2022 Based on an Ensemble Change Detection Method. 2025. [Google Scholar] [CrossRef]
- Yang, J.; Huang, X. 30 m annual land cover and its dynamics in China from 1990 to 2019. Earth Syst. Sci. Data Discuss. 2021, 2021, 1–29. [Google Scholar]
- Xu, F.; Heremans, S.; Somers, B. Urban land cover mapping with sentinel-2: A spectro-spatio-temporal analysis. Urban Inform. 2022, 1, 8. [Google Scholar] [CrossRef]
- Ismayilova, I.; Timpf, S. Classifying urban green spaces using a combined Sentinel-2 and Random Forest approach. AGILE GISci. Ser. 2022, 3, 38. [Google Scholar] [CrossRef]
- Pešek, O.; Brodský, L.; Halounová, L.; Landa, M.; Bouček, T. Convolutional neural networks for urban green areas semantic segmentation on Sentinel-2 data. Remote Sens. Appl. Soc. Environ. 2024, 36, 101238. [Google Scholar] [CrossRef]
Disclaimer/Publisher’s Note: The statements, opinions and data contained in all publications are solely those of the individual author(s) and contributor(s) and not of MDPI and/or the editor(s). MDPI and/or the editor(s) disclaim responsibility for any injury to people or property resulting from any ideas, methods, instructions or products referred to in the content. |
© 2026 by the authors. Licensee MDPI, Basel, Switzerland. This article is an open access article distributed under the terms and conditions of the Creative Commons Attribution (CC BY) license.








