Sign in to use this feature.

Years

Between: -

Subjects

remove_circle_outline
remove_circle_outline
remove_circle_outline
remove_circle_outline
remove_circle_outline

Journals

Article Types

Countries / Regions

Search Results (134)

Search Parameters:
Keywords = Semaphorin 7A

Order results
Result details
Results per page
Select all
Export citation of selected articles as:
9 pages, 263 KB  
Article
Inflammatory Semaphorins in the Pathogenesis and Prognosis of Acute Ischemic Stroke
by Esen Çiçekli, Dilcan Kotan and Levent Avcı
Medicina 2025, 61(11), 2060; https://doi.org/10.3390/medicina61112060 - 19 Nov 2025
Viewed by 385
Abstract
Background and Objectives: Semaphorins are immunoregulatory proteins involved in inflammation and neurovascular modulation. Their roles in ischemic stroke pathogenesis and prognosis have recently gained attention. This study aimed to evaluate serum levels of semaphorin 3A, 3F, 4A, 4D, and 7A in patients [...] Read more.
Background and Objectives: Semaphorins are immunoregulatory proteins involved in inflammation and neurovascular modulation. Their roles in ischemic stroke pathogenesis and prognosis have recently gained attention. This study aimed to evaluate serum levels of semaphorin 3A, 3F, 4A, 4D, and 7A in patients with acute ischemic stroke and investigate their relationship with disease severity and prognosis. Materials and Methods: A total of 45 patients with acute ischemic stroke and 39 control individuals were enrolled. Serum semaphorin levels were measured using ELISA. Clinical data, including TOAST classification, NIHSS scores, and laboratory parameters, were recorded. Correlations between semaphorin levels and clinical or biochemical variables were analyzed statistically. Results: Semaphorin 4A levels were significantly lower and semaphorin 7A levels significantly higher in the patient group compared to controls (p < 0.001). Semaphorin 7A positively correlated with NIHSS scores (r = 0.390. p = 0.008). Semaphorin 3A and 4A levels showed significant correlations with inflammatory markers and lipid profiles. Semaphorin 3A was higher in female patients. No associations were found with TOAST subtypes or treatment modalities. Five (11.1%) patients died due to stroke-related complications, no significant differences in semaphorin levels were observed between survivors and non-survivors. Conclusions: Semaphorin 3A, 4A, and 7A levels may serve as potential biomarkers for inflammation and disease severity in acute ischemic stroke. Semaphorin 7A, in particular, showed strong prognostic value due to its association with stroke severity. These findings suggest that semaphorins could aid in clinical risk stratification and early intervention planning in ischemic stroke. Full article
(This article belongs to the Section Neurology)
19 pages, 1708 KB  
Article
Semaphorin3A Rewires CD4+ T-Cell Metabolism via AKT/mTORC1 Inhibition in Health and Rheumatoid Arthritis
by Raeda Mubariki, Nasren Eiza, Adi D. Sabag, Shiri Keret, Doron Rimar, Gleb Slobodin, Devy Zisman, Elias Toubi and Zahava Vadasz
Int. J. Mol. Sci. 2025, 26(22), 11160; https://doi.org/10.3390/ijms262211160 - 19 Nov 2025
Viewed by 469
Abstract
Semaphorin3A (Sema3A) is a regulatory protein found to be expressed on regulatory T and B cells and also secreted into peripheral blood. It has been identified as a potent immune regulator; however, not all its regulatory mechanisms have been evaluated. In this respect, [...] Read more.
Semaphorin3A (Sema3A) is a regulatory protein found to be expressed on regulatory T and B cells and also secreted into peripheral blood. It has been identified as a potent immune regulator; however, not all its regulatory mechanisms have been evaluated. In this respect, we aim to investigate how Sema3A affects key metabolic pathways in T cells during homeostasis and rheumatoid arthritis (RA), and on the AKT/mTORC1 signaling axis. In this study, peripheral blood samples were collected from 119 healthy donors and 32 rheumatoid arthritis patients. T cells were subjected to Seahorse analysis to evaluate OXPHOS and glycolysis, live cell TMRE staining to evaluate mitochondrial activity, mass spectrometry for metabolite profiling, ATP determination to study ATP production, and Western blot analysis to investigate the signaling pathway activity. This study presents evidence showing that Sema3A inhibits the AKT/mTORC1 pathway, leading to a decreased glucose uptake and glycolysis disruption. Furthermore, we show that Sema3A reduces mitochondrial capacity and OXPHOS in activated T cells of healthy and RA donors, leading to a decreased ATP production. In contrast, Sema3A upregulates fatty acid oxidation (FA), probably as a backup pathway to ensure cell survival. Results with p values of <0.05 were considered significant. Our data may point to Sema3A’s ability to convert activated T cells’ metabolic profile back to its non-activated state. This may suggest that Sema3A might be a beneficial treatment for immune-mediated diseases by metabolically reprogramming activated T cells. Full article
(This article belongs to the Section Molecular Immunology)
Show Figures

Graphical abstract

18 pages, 1034 KB  
Article
Evaluation of a Novel Biomarker Panel for Acute Kidney Injury Following Endovascular Aortic Repair
by Konrad Zuzda, Paulina Walczak-Wieteska, Paweł Andruszkiewicz and Jolanta Małyszko
Int. J. Mol. Sci. 2025, 26(22), 11156; https://doi.org/10.3390/ijms262211156 - 18 Nov 2025
Viewed by 602
Abstract
Acute Kidney Injury (AKI) following endovascular aortic repair (EVAR) is often diagnosed too late using conventional markers, limiting opportunities for timely intervention in this high-risk population. We investigated whether a mechanism-based biomarker panel could provide improved early AKI detection in EVAR patients. This [...] Read more.
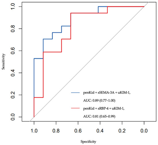
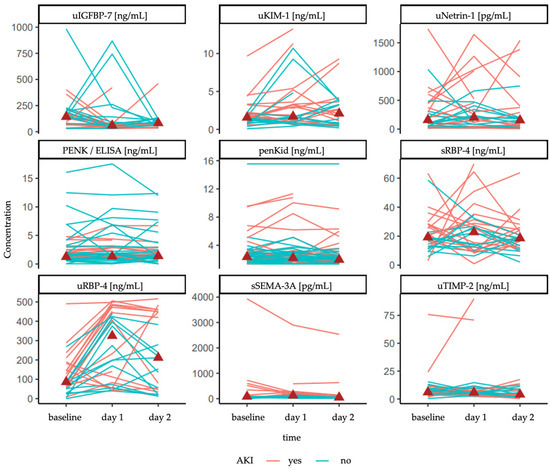
Acute Kidney Injury (AKI) following endovascular aortic repair (EVAR) is often diagnosed too late using conventional markers, limiting opportunities for timely intervention in this high-risk population. We investigated whether a mechanism-based biomarker panel could provide improved early AKI detection in EVAR patients. This prospective, single-center study enrolled 68 consecutive EVAR patients between April 2022 and June 2024. AKI was diagnosed using KDIGO 2012 criteria. Seven novel biomarkers, including Proenkephalin A 119-159 (penKid), Semaphorin-3A (SEMA-3A), Retinol Binding Protein-4 (RBP-4), Kidney Injury Molecule-1 (KIM-1), Netrin-1, Tissue Inhibitor of Metalloproteinases-2, and Insulin-Like Growth Factor Binding Protein-7, were measured at baseline, immediate postoperative, 24 h, and 48 h time points, and selected based on distinct nephron locations and release mechanisms. AKI occurred in 18 (26.5%) patients. Top-performing individual biomarkers included serum SEMA-3A (AUC 0.88), serum RBP-4 (AUC 0.81), and penKid (AUC 0.76). A three-biomarker panel combining serum penKid, serum SEMA-3A, and urinary KIM-1 achieved robust discriminatory performance (AUC 0.89, 95% CI 0.77–1.00), superior to individual biomarkers. An alternative panel with serum RBP-4 demonstrated comparable performance (AUC 0.81, 95% CI 0.65–0.99). Multi-biomarker panels combining functional, stress, and injury markers demonstrate promising performance for early AKI detection in EVAR patients. External validation in independent, multi-center cohorts is required before clinical implementation. Full article
Show Figures

Figure 1

15 pages, 4353 KB  
Article
The ErbB2–Dock7 Signaling Axis Mediates Excessive Cell Morphogenesis Induced by Autism Spectrum Disorder- and Intellectual Disability-Associated Sema5A p.Arg676Cys
by Mikito Takahashi, Hideji Yako, Ayaka Suzuki, Ryuma Isa, Yuki Miyamoto and Junji Yamauchi
Int. J. Mol. Sci. 2025, 26(21), 10656; https://doi.org/10.3390/ijms262110656 - 1 Nov 2025
Viewed by 481
Abstract
Characterized by social communication deficits and the presence of restricted and repetitive behaviors, autism spectrum disorder (ASD) is a significant neurodevelopmental condition. Genetic studies have revealed a strong association between ASD and numerous mutations that alter the function of key proteins, either through [...] Read more.
Characterized by social communication deficits and the presence of restricted and repetitive behaviors, autism spectrum disorder (ASD) is a significant neurodevelopmental condition. Genetic studies have revealed a strong association between ASD and numerous mutations that alter the function of key proteins, either through activation or inactivation. These alterations are widely hypothesized to affect neuronal morphogenesis; however, a comprehensive understanding of the specific molecular cascades driving these cellular and symptomatic changes remains lacking. In this study, we report for the first time that signaling through the atypical Rho family guanine-nucleotide exchange factor (GEF) Dock7 and ErbB2, an activator acting upstream of Dock7, drives the excessive elongation of neuronal processes observed in association with the ASD- and intellectual disability (ID)-linked semaphorin-5A (Sema5A) Arg676Cys variant (p.Arg676Cys). Knockdown of Dock7 using short hairpin RNA or inhibition of ErbB2 kinase signaling with a specific chemical inhibitor reduced this excessive process elongation in primary cortical neurons. Similar results were obtained in the N1E-115 cell line, a neuronal cell model that undergoes neuronal morphological differentiation. Moreover, inhibition of ErbB2-Dock7 signaling specifically decreased the overactivation of the downstream molecules Rac1 and Cdc42. These findings indicate that the ErbB2–Dock7 signaling axis plays a role in mediating the aberrant neuronal morphology associated with the ASD- and ID-linked Sema5A p.Arg676Cys. Targeting this pathway may therefore offer a potential approach to addressing the molecular and cellular developmental challenges observed in ASD. Full article
Show Figures

Graphical abstract

10 pages, 1474 KB  
Article
Exploring the Prognostic Role of Neurofilaments and SEMA3A in Multiple Sclerosis Progression
by Zbyšek Pavelek, Ondřej Souček, Jan Krejsek, Ilona Součková, Andrea Popovičová, David Matyáš, Lukáš Sobíšek and Michal Novotný
Int. J. Mol. Sci. 2025, 26(17), 8750; https://doi.org/10.3390/ijms26178750 - 8 Sep 2025
Viewed by 1009
Abstract
The transition from relapsing–remitting multiple sclerosis (RRMS) to secondary progressive multiple sclerosis (SPMS) is characterized by an increasing neurodegenerative component. Identifying biomarkers that distinguish these disease stages is crucial for early diagnosis and treatment optimization. This study aimed to compare serum levels of [...] Read more.
The transition from relapsing–remitting multiple sclerosis (RRMS) to secondary progressive multiple sclerosis (SPMS) is characterized by an increasing neurodegenerative component. Identifying biomarkers that distinguish these disease stages is crucial for early diagnosis and treatment optimization. This study aimed to compare serum levels of progranulin, interleukin-6 (IL-6), semaphorin 3A (SEMA3A), and neurofilaments between RRMS and SPMS patients and to investigate their correlation with clinical characteristics, including disability measured by the Expanded Disability Status Scale (EDSS). This observational study included 118 MS patients (63 RRMS and 55 SPMS). Serum biomarker levels were measured using an enzyme-linked immunosorbent assay (ELISA). Statistical analyses included group comparisons using non-parametric tests and correlation analyses using Pearson’s correlation coefficient with multiple testing corrections. While demographic and clinical parameters significantly differed between groups (p < 0.001), biomarker levels showed no statistically significant differences (p > 0.05). However, in SPMS patients, SEMA3A correlated positively with neurofilaments (r = 0.359, p = 0.007), and progranulin correlated with IL-6 (r = 0.354, p = 0.008). No significant biomarker correlations with EDSS were found. Although absolute biomarker levels did not distinguish RRMS from SPMS, specific biomarker correlations may reflect processes relevant to disease progression and warrant further longitudinal validation. Full article
(This article belongs to the Special Issue Insights in Multiple Sclerosis (MS) and Neuroimmunology: 2nd Edition)
Show Figures

Figure 1

23 pages, 3282 KB  
Article
Metabolic Dysfunction-Associated Steatotic Liver Disease Shapes a Distinct Semaphorin–Cytokine Immune Signature in Severe Community-Acquired Pneumonia
by Branimir Gjurašin, Leona Radmanić Matotek, Lara Šamadan Marković and Neven Papić
Int. J. Mol. Sci. 2025, 26(16), 8095; https://doi.org/10.3390/ijms26168095 - 21 Aug 2025
Viewed by 1126
Abstract
Metabolic dysfunction-associated steatotic liver disease (MASLD) is increasingly recognized as a modulator of infection severity, yet its impact on the immune response in severe community-acquired pneumonia (sCAP) remains poorly understood. In this prospective cohort study of 108 adults with sCAP, we evaluated the [...] Read more.
Metabolic dysfunction-associated steatotic liver disease (MASLD) is increasingly recognized as a modulator of infection severity, yet its impact on the immune response in severe community-acquired pneumonia (sCAP) remains poorly understood. In this prospective cohort study of 108 adults with sCAP, we evaluated the prevalence and prognostic impact of MASLD and performed pathogen-stratified immune profiling of cytokines and semaphorins on hospital days 1 and 5. MASLD was present in 50% of patients and independently associated with early respiratory failure (OR 3.8) and vasopressor-dependent shock (OR 4.0), despite similar sCAP severity at baseline. MASLD patients exhibited distinct immune profiles, including elevated baseline serum levels of SEMA3A, SEMA7A, IL-2, IL-10, IL-17A, CXCL10, and TGF-β1, and reduced SEMA5A. By day 5, the MASLD group exhibited a greater decline in pro-inflammatory mediators compared to non-MASLD patients but failed to upregulate reparative mediators such as SEMA4D and TGF-β1, unlike the non-MASLD group. These kinetics may suggest a maladaptive immune response in MASLD, potentially consistent with early immune exhaustion. Immunokinetic patterns were pathogen-specific, including transient increase in IL-17A and IL-10 in Legionella and Mycoplasma infections, and CXCL10, IL-2, IL-17A, TGF-β1 and IL-10 in influenza. Serum IL-10, CXCL10, SEMA3F, SEMA4D and SEMA7A correlated with organ failure and sCAP complications. These findings underscore the clinical importance of the lung–liver axis and suggest that semaphorins could serve as valuable prognostic biomarkers for identifying high-risk patients. Full article
(This article belongs to the Section Molecular Endocrinology and Metabolism)
Show Figures

Figure 1

15 pages, 2893 KB  
Article
NRP1 and GFAP Expression in the Medulloblastoma Microenvironment: Implications for Angiogenesis and Tumor Progression
by Margarita Belem Santana-Bejarano, María Paulina Reyes-Mata, José de Jesús Guerrero-García, Daniel Ortuño-Sahagún and Marisol Godínez-Rubí
Cancers 2025, 17(15), 2417; https://doi.org/10.3390/cancers17152417 - 22 Jul 2025
Viewed by 907
Abstract
Background/Objectives: Medulloblastoma (MB) is the second leading cause of cancer-related death in children. Its tumor microenvironment (TME) includes endothelial, glial, and immune cells that influence tumor architecture and progression. Neuropilin-1 (NRP1), a co-receptor for semaphorins and vascular endothelial growth factor (VEGF), is [...] Read more.
Background/Objectives: Medulloblastoma (MB) is the second leading cause of cancer-related death in children. Its tumor microenvironment (TME) includes endothelial, glial, and immune cells that influence tumor architecture and progression. Neuropilin-1 (NRP1), a co-receptor for semaphorins and vascular endothelial growth factor (VEGF), is expressed in various cell types during oncogenesis, yet its role in MB progression remains unclear. This study aimed to evaluate the expression and localization of NRP1 and glial fibrillary acidic protein (GFAP) in MB tissue. Methods: We analyzed MB tissue samples using immunohistochemistry, immunofluorescence, and quantitative PCR. Samples were stratified by molecular subgroup (WNT, SHH, non-WNT/non-SHH). We assessed NRP1 expression in tumor-associated microglia/macrophages (TAMs) and endothelial cells, as well as GFAP expression in astrocytes and tumor cells. Histopathological correlations and survival analyses were also conducted. Results: NRP1 was consistently expressed by TAMs across all MB molecular subgroups. Tumor vasculature showed strong endothelial NRP1 expression, while perivascular astrocytic coverage was frequently absent. Astrocytic processes exhibited spatial differences according to tumor histology. In SHH-MBs, a subset of tumor cells showed aberrant GFAP expression, which correlated with tumor recurrence or progression. Conclusions: NRP1 and GFAP display distinct expression patterns within the MB microenvironment, reflecting subgroup-specific biological behavior. Endothelial NRP1 positivity combined with limited vascular-astrocytic interaction and aberrant GFAP expression in SHH-MB may contribute to dysregulated angiogenesis and tumor progression. These findings warrant further investigation to explore their prognostic and therapeutic implications. Full article
(This article belongs to the Special Issue Cellular and Molecular Mechanisms of Malignant Nervous System Cancers)
Show Figures

Graphical abstract

16 pages, 4101 KB  
Article
Bimodal Genomic Approach Predicting Semaphorin 7A (SEMA7A) as Prognostic Biomarker in Adrenocortical Carcinoma
by Anjali Dhall, Daiki Taniyama, Fathi Elloumi, Augustin Luna, Sudhir Varma, Suresh Kumar, Lauren Escobedo, Yilun Sun, Mirit I. Aladjem, Christophe E. Redon, Nitin Roper, William C. Reinhold, Jaydira Del Rivero and Yves Pommier
Cancers 2025, 17(13), 2078; https://doi.org/10.3390/cancers17132078 - 21 Jun 2025
Viewed by 1184
Abstract
Background: Adrenocortical carcinoma (ACC) is a rare and aggressive endocrine malignancy with a high mortality and poor prognosis. To elucidate the genetic underpinnings of ACCs, we have analyzed the transcriptome profiles of ACC tumor samples from patients enrolled in the TCGA and NCI [...] Read more.
Background: Adrenocortical carcinoma (ACC) is a rare and aggressive endocrine malignancy with a high mortality and poor prognosis. To elucidate the genetic underpinnings of ACCs, we have analyzed the transcriptome profiles of ACC tumor samples from patients enrolled in the TCGA and NCI cohorts. Methods: We developed a bimodal approach using Gaussian Mixture Models to identify genes with bimodal distribution in ACC samples. Among the 72 bimodally expressed genes that are used to stratify patients into prognostic groups, we focused on SEMA7A, as it encodes a glycosylphosphatidylinositol-anchored membrane glycoprotein (Semaphorin 7a) regulating integrin-mediated signaling, cell migration and immune responses. Results: Our findings reveal that high expression levels of SEMA7A gene are associated with poor prognosis (hazard ratio = 4.27; p-value < 0.001). In hormone-producing ACCs, SEMA7A expression is elevated and positively correlated with genes driving steroidogenesis, aldosterone and cortisol synthesis, including CYP17A1, CYP11A1, INHA, DLK1, NR5A1 and MC2R. Correlation analyses show that SEMA7A is co-expressed with the integrin-β1, FAK (focal adhesion kinase) and MAPK/ERK (mitogen-activated protein kinase/extracellular signal regulated kinases) signaling pathways. Immunohistochemistry (IHC) staining demonstrates the feasibility of evaluating SEMA7A in ACC tissues and shows a significant correlation between gene expression (RNA-Seq) and protein expression (IHC). Conclusions: These findings suggest SEMA7A as a candidate for further research in ACC biology and a candidate for cancer therapy, as well as a potential prognosis biomarker for ACC patients. Full article
(This article belongs to the Section Cancer Biomarkers)
Show Figures

Figure 1

15 pages, 3503 KB  
Article
Regulation of Vascular Calcification by M1-Type Macrophage-Derived Semaphorin 4D
by Hyun-Joo Park, Yeon Kim, Mi-Kyoung Kim, Hyung Joon Kim, Soo-Kyung Bae and Moon-Kyoung Bae
Int. J. Mol. Sci. 2025, 26(11), 5071; https://doi.org/10.3390/ijms26115071 - 24 May 2025
Cited by 2 | Viewed by 1390
Abstract
Vascular calcification is a critical pathological hallmark of cardiovascular diseases. Although previous studies have indicated that M1 macrophages significantly promote calcification, the exact underlying mechanisms remain unclear. This study examined whether semaphorin 4D (Sema4D), a class IV semaphorin involved in atherosclerosis development, is [...] Read more.
Vascular calcification is a critical pathological hallmark of cardiovascular diseases. Although previous studies have indicated that M1 macrophages significantly promote calcification, the exact underlying mechanisms remain unclear. This study examined whether semaphorin 4D (Sema4D), a class IV semaphorin involved in atherosclerosis development, is secreted by M1 macrophages and contributes to the calcification of vascular smooth muscle cells (VSMCs). We observed elevated expression and secretion of Sema4D in both M1 and M2 macrophages, with significantly higher levels in M1-polarized cells. M1 macrophages promoted VSMC calcification in both co-culture and conditioned medium systems, as evidenced by increased alkaline phosphatase activity, enhanced calcium deposition, and upregulation of osteogenic markers. Notably, neutralization of Sema4D in M1 conditioned medium using pepinemab, an anti-Sema4D antibody, effectively attenuated VSMC calcification induced by M1 macrophages. Conversely, supplementation of conditioned medium with recombinant Sema4D enhanced calcification and osteogenic signaling in VSMCs, further supporting the pro-calcifying role of Sema4D. Collectively, these findings highlight macrophage-derived Sema4D as a pivotal regulator of vascular calcification and a promising therapeutic target. Full article
(This article belongs to the Special Issue Smooth Muscle Cells in Vascular Disease)
Show Figures

Figure 1

11 pages, 858 KB  
Case Report
Cumulative Effects of Genetic Variants Detected in a Child with Early-Onset Non-Syndromic Obesity Due to SIM-1 Gene Mutation
by Giovanni Luppino, Malgorzata Wasniewska, Mara Giordano, Giorgia Pepe, Letteria Anna Morabito, Debora Porri, Tommaso Aversa and Domenico Corica
Genes 2025, 16(5), 588; https://doi.org/10.3390/genes16050588 - 17 May 2025
Viewed by 1573
Abstract
Background: Single-minded homolog 1 (SIM1) gene mutations with autosomal dominant inheritance have been related to hyperphagia and early-onset severe obesity. SIM1 is implicated in the development of hypothalamic nuclei, which play a crucial role in energy homeostasis. The development of melanocortin [...] Read more.
Background: Single-minded homolog 1 (SIM1) gene mutations with autosomal dominant inheritance have been related to hyperphagia and early-onset severe obesity. SIM1 is implicated in the development of hypothalamic nuclei, which play a crucial role in energy homeostasis. The development of melanocortin neural circuits in the hypothalamus is promoted by other factors such as Semaphorine 3 (SEMA3) and its receptors, such as PLXNA1-4 and NRP1-2. Loss-of-function across multiple SEMA3/NRP/PLXNA genes can collectively contribute to obesity onset. Case Description: A 3-year-old male was referred for the first time to Outpatient pediatric endocrinology due to early-onset and progressive severe obesity and hyperphagia. He presented neurobehavior disorders and partial diabetes insipidus. At age 6, the child was diagnosed with obesity-related complications, including hyperinsulinemia, impaired glucose tolerance, hypercholesterolemia, hepatic steatosis, and hypovitaminosis. The NGS analysis revealed four variants related to obesity: SIM1, SEMA3C, PLXNA4, and CREBBP gene mutations. Conclusions: The case presents the association of SIM-1 gene mutation with other obesity-related variants. The interactive and cumulative effects of the identified variants could coexist in the determination of severe obesity through abnormalities in the development and function of hypothalamic melanocortin circuits related to energy homeostasis. Although the pathogenic mutation of the SIM1 gene plays the main role, the complex clinical picture may be related to the possible cumulative effect of the other genetic mutations. Full article
(This article belongs to the Section Human Genomics and Genetic Diseases)
Show Figures

Figure 1

12 pages, 927 KB  
Review
Research Advances in the Immunomodulatory Functions of CD100/SEMA4D and Their Roles in Viral Infectious Diseases
by Mengxiao Zhao, Liwei Chen, Yuhang Chen, Xuecheng Yang, Xuemei Feng, Dongliang Yang, Xin Zheng and Jia Liu
Int. J. Mol. Sci. 2025, 26(9), 4341; https://doi.org/10.3390/ijms26094341 - 2 May 2025
Viewed by 1304
Abstract
CD100/SEMA4D, a member of the Semaphorin family, is a transmembrane glycoprotein that regulates neurogenesis, immune modulation, and angiogenesis, with its immunoregulatory roles having attracted considerable attention. It is dynamically expressed on the surface of diverse immune cells—including T cells, B cells, dendritic cells [...] Read more.
CD100/SEMA4D, a member of the Semaphorin family, is a transmembrane glycoprotein that regulates neurogenesis, immune modulation, and angiogenesis, with its immunoregulatory roles having attracted considerable attention. It is dynamically expressed on the surface of diverse immune cells—including T cells, B cells, dendritic cells (DCs), and natural killer (NK) cells—with expression levels modulated by cellular activation states. CD100 exists in two functional forms: membrane-bound CD100 (mCD100) and soluble CD100 (sCD100) generated via proteolytic cleavage. Recent studies have highlighted its critical involvement in viral infectious diseases. This review systematically summarizes the molecular characteristics, expression patterns, and regulatory functions of CD100 on different immune cells, and discusses its role in viral infectious diseases and its clinical application potential. Full article
Show Figures

Figure 1

25 pages, 2236 KB  
Article
Secretory Profile Analysis of Human Granulosa Cell Line Following Gonadotropin Stimulation
by Francesca Mancini, Emanuela Teveroni, Michela Cicchinelli, Federica Iavarone, Anna Laura Astorri, Giuseppe Maulucci, Cassandra Serantoni, Duaa Hatem, Daniela Gallo, Carla Di Nardo, Andrea Urbani, Alfredo Pontecorvi, Domenico Milardi and Fiorella Di Nicuolo
Int. J. Mol. Sci. 2025, 26(9), 4108; https://doi.org/10.3390/ijms26094108 - 25 Apr 2025
Cited by 1 | Viewed by 1786
Abstract
Granulosa cell (GC) differentiation, stimulated by FSH and LH, drives oocyte maturation and follicle development. FSH promotes GC proliferation, and LH triggers ovulation. In clinical practice, hCG is used to mimic LH. Despite various controlled ovarian stimulation (COS) protocols employing exogenous gonadotropins and [...] Read more.
Granulosa cell (GC) differentiation, stimulated by FSH and LH, drives oocyte maturation and follicle development. FSH promotes GC proliferation, and LH triggers ovulation. In clinical practice, hCG is used to mimic LH. Despite various controlled ovarian stimulation (COS) protocols employing exogenous gonadotropins and GnRH analogs to prevent premature ovulation, their effectiveness and safety remain debated. To identify markers predicting a positive treatment response, the secretome of gonadotropin-stimulated GC using the human granulosa-like tumor cell line (KGN) via proteomics was analyzed. Additionally, a novel 2D-FFT quantitative method was employed to assess cytoskeleton fiber aggregation and polymerization, which are critical processes for GC differentiation. Furthermore, the activation of key kinases, focal adhesion kinase (FAK), and Rho-associated coiled-coil-containing protein kinase 1 (ROCK-1), which are implicated in cytoskeleton dynamics and hormone signaling, was evaluated. The proteomic analysis revealed significant modulation of proteins involved in extracellular matrix organization, steroidogenesis, and cytoskeleton remodeling. Notably, the combined FSH/hCG treatment led to a dynamic upregulation of the semaphorin pathway, specifically semaphorin 7A. Finally, a significant reorganization of the cytoskeleton network and signaling was detected. These findings enhance our understanding of folliculogenesis and suggest potential novel molecular markers for predicting patient responses to gonadotropin stimulation. Full article
Show Figures

Figure 1

35 pages, 4916 KB  
Review
Neuropilin-1: A Multifaceted Target for Cancer Therapy
by Sai Manasa Varanasi, Yash Gulani, Hari Krishnareddy Rachamala, Debabrata Mukhopadhyay and Ramcharan Singh Angom
Curr. Oncol. 2025, 32(4), 203; https://doi.org/10.3390/curroncol32040203 - 31 Mar 2025
Cited by 6 | Viewed by 6496
Abstract
Neuropilin-1 (NRP1), initially identified as a neuronal guidance protein, has emerged as a multifaceted regulator in cancer biology. Beyond its role in axonal guidance and angiogenesis, NRP1 is increasingly recognized for its significant impact on tumor progression and therapeutic outcomes. This review explores [...] Read more.
Neuropilin-1 (NRP1), initially identified as a neuronal guidance protein, has emerged as a multifaceted regulator in cancer biology. Beyond its role in axonal guidance and angiogenesis, NRP1 is increasingly recognized for its significant impact on tumor progression and therapeutic outcomes. This review explores the diverse functions of NRP1 in cancer, encompassing its influence on tumor cell proliferation, migration, invasion, and metastasis. NRP1 interacts with several key signaling pathways, including vascular endothelial growth factor (VEGF), semaphorins, and transforming growth factor-beta (TGF-β), modulating the tumor microenvironment and promoting angiogenesis. Moreover, NRP1 expression correlates with poor prognosis in various malignancies, underscoring its potential as a prognostic biomarker. Therapeutically, targeting NRP1 holds promise as a novel strategy to inhibit tumor growth and enhance the efficacy of regular treatments such as chemotherapy and radiotherapy. Strategies involving NRP1-targeted therapies, including monoclonal antibodies, small molecule inhibitors, and gene silencing techniques, are being actively investigated in preclinical and clinical settings. Despite challenges in specificity and delivery, advances in understanding NRP1 biology offer new avenues for personalized cancer therapy. Although several types of cancer cells can express NRPs, the role of NRPs in tumor pathogenesis is largely unknown. Future investigations are needed to enhance our understanding of the effects and mechanisms of NRPs on the proliferation, apoptosis, and migration of neuronal, endothelial, and cancer cells. The novel frameworks or multi-omics approaches integrate data from multiple databases to better understand cancer’s molecular and clinical features, develop personalized therapies, and help identify biomarkers. This review highlights the pivotal role of NRP1 in cancer pathogenesis and discusses its implications for developing targeted therapeutic approaches to improve patient outcomes, highlighting the role of OMICS in targeting cancer patients for personalized therapy. Full article
Show Figures

Figure 1

21 pages, 2682 KB  
Article
Non-Canonical Wnt16 and microRNA-145 Mediate the Response of Human Bone Marrow Stromal Cells to Additively Manufactured Porous 3-Dimensional Biomimetic Titanium–Aluminum–Vanadium Constructs
by David. J. Cohen, Michael B. Berger, Jingyao Deng, Thomas W. Jacobs, Barbara D. Boyan and Zvi Schwartz
Cells 2025, 14(3), 211; https://doi.org/10.3390/cells14030211 - 1 Feb 2025
Viewed by 1868
Abstract
Metal 3D printing is increasingly being used to manufacture titanium–aluminum–vanadium (Ti6Al4V) implants. In vitro studies using 2D substrates demonstrate that the osteoblastic differentiation of bone marrow stromal cells (MSCs) on Ti6Al4V surfaces, with a microscale/nanoscale surface topography that mimics an osteoclast resorption pit, [...] Read more.
Metal 3D printing is increasingly being used to manufacture titanium–aluminum–vanadium (Ti6Al4V) implants. In vitro studies using 2D substrates demonstrate that the osteoblastic differentiation of bone marrow stromal cells (MSCs) on Ti6Al4V surfaces, with a microscale/nanoscale surface topography that mimics an osteoclast resorption pit, involves non-canonical Wnt signaling; Wnt3a is downregulated and Wnt5a is upregulated, leading to the local production of BMP2 and semaphorin 3A (sema3A). In this study, it was examined whether the regulation of MSCs in a 3D environment occurs by a similar mechanism. Human MSCs from two different donors were cultured for 7, 14, or 21 days on porous (3D) or solid (2D) constructs fabricated by powder-bed laser fusion. mRNA and secretion of osteoblast markers, as well as factors that enhance peri-implant osteogenesis, were analyzed, with a primary focus on the Wnt family, sema3A, and microRNA-145 (miR-145) signaling pathways. MSCs exhibited greater production of osteocalcin, latent and active TGFβ1, sema3A, and Wnt16 on the 3D constructs compared to 2D, both of which had similar microscale/nanoscale surface modifications. Wnt3a was reduced on 2D constructs as a function of time; Wnt11 and Wnt5a remained elevated in the 3D and 2D cultures. To better understand the role of Wnt16, cultures were treated with rhWnt16; endogenous Wnt16 was blocked using an antibody. Wnt16 promoted proliferation and inhibited osteoblast differentiation, potentially by reducing production of BMP2 and BMP4. Wnt16 expression was reduced by exogenous Wnt16 in 3D cells. Addition of the anti-Wnt16 antibody to the cultures reversed the effects of exogenous Wnt16, indicating an autocrine mechanism. Wnt16 increased miR-145-5p, suggesting a potential feedback mechanism. The miR-145-5p mimic increased Wnt16 production and inhibited sema3A in a 3D porous substrate-specific manner. Wnt16 did not affect sema3A production, but it was reduced by miR-145-5p mimic on the 3D constructs and stimulated by miR-145-5p inhibitor. Media from 7-, 14-, and 21-day cultures of MSCs grown on 3D constructs inhibited osteoclast activity to a greater extent than media from the 2D cultures. The findings present a significant step towards understanding the complex molecular interplay that occurs in 3D Ti6Al4V constructs fabricated by additive manufacturing. In addition to enhancing osteogenesis, the 3D porous biomimetic structure inhibits osteoclast activities, indicating its role in modulating bone remodeling processes. Our data suggest that the pathway mediated by sema3A/Wnt16/miR145-5p was enhanced by the 3D surface and contributes to bone regeneration in the 3D implants. This comprehensive exploration contributes valuable insights to guide future strategies in implant design, customization, and ultimately aims at improving clinical outcomes and successful osseointegration. Full article
Show Figures

Figure 1

21 pages, 5455 KB  
Article
A Study on Potential Sources of Perineuronal Net-Associated Sema3A in Cerebellar Nuclei Reveals Toxicity of Non-Invasive AAV-Mediated Cre Expression in the Central Nervous System
by Geoffrey-Alexander Gimenez, Maurits Romijn, Joëlle van den Herik, Wouter Meijer, Ruben Eggers, Barbara Hobo, Chris I. De Zeeuw, Cathrin B. Canto, Joost Verhaagen and Daniela Carulli
Int. J. Mol. Sci. 2025, 26(2), 819; https://doi.org/10.3390/ijms26020819 - 19 Jan 2025
Viewed by 2165
Abstract
Semaphorin 3A (Sema3A) is an axon guidance molecule, which is also abundant in the adult central nervous system (CNS), particularly in perineuronal nets (PNNs). PNNs are extracellular matrix structures that restrict plasticity. The cellular sources of Sema3A in PNNs are unknown. Most Sema3A-bearing [...] Read more.
Semaphorin 3A (Sema3A) is an axon guidance molecule, which is also abundant in the adult central nervous system (CNS), particularly in perineuronal nets (PNNs). PNNs are extracellular matrix structures that restrict plasticity. The cellular sources of Sema3A in PNNs are unknown. Most Sema3A-bearing neurons do not express Sema3A mRNA, suggesting that Sema3A may be released from other neurons. Another potential source of Sema3A is the choroid plexus. To identify sources of PNN-associated Sema3A, we focused on the cerebellar nuclei, which contain Sema3A+ PNNs. Cerebellar nuclei neurons receive prominent input from Purkinje cells (PCs), which express high levels of Sema3A mRNA. By using a non-invasive viral vector approach, we overexpressed Cre in PCs, the choroid plexus, or throughout the CNS of Sema3Afl/fl mice. Knocking out Sema3A in PCs or the choroid plexus was not sufficient to decrease the amount of PNN-associated Sema3A. Alternatively, knocking out Sema3A throughout the CNS induced a decrease in PNN-associated Sema3A. However, motor deficits, microgliosis, and neurodegeneration were observed, which were due to Cre toxicity. Our study represents the first attempt to unravel cellular sources of PNN-associated Sema3A and shows that non-invasive viral-mediated Cre expression throughout the CNS could lead to toxicity, complicating the interpretation of Cre-mediated Sema3A knock-out. Full article
(This article belongs to the Section Molecular Neurobiology)
Show Figures

Figure 1

Back to TopTop