Evaluation of a Novel Biomarker Panel for Acute Kidney Injury Following Endovascular Aortic Repair
Abstract
1. Introduction
2. Results
2.1. Estimating Optimal Cut-Points for Individual AKI Markers
2.2. Estimating the Agreement Between AKI Diagnosis by KDIGO Criteria and Individual AKI Biomarkers
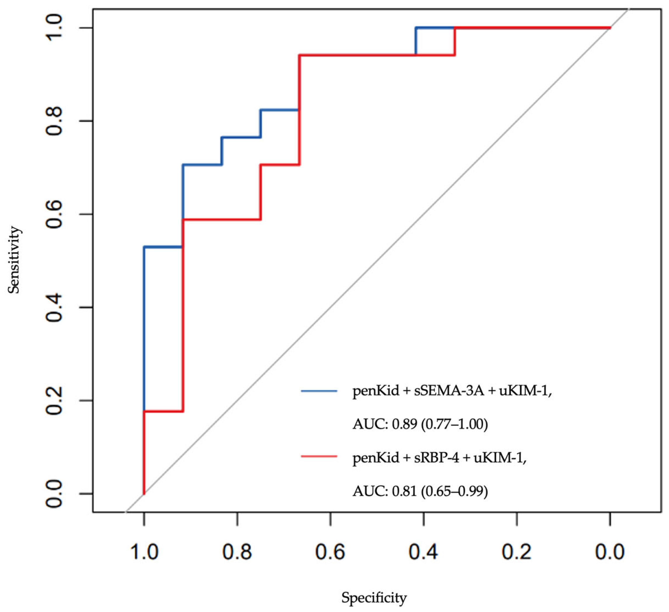
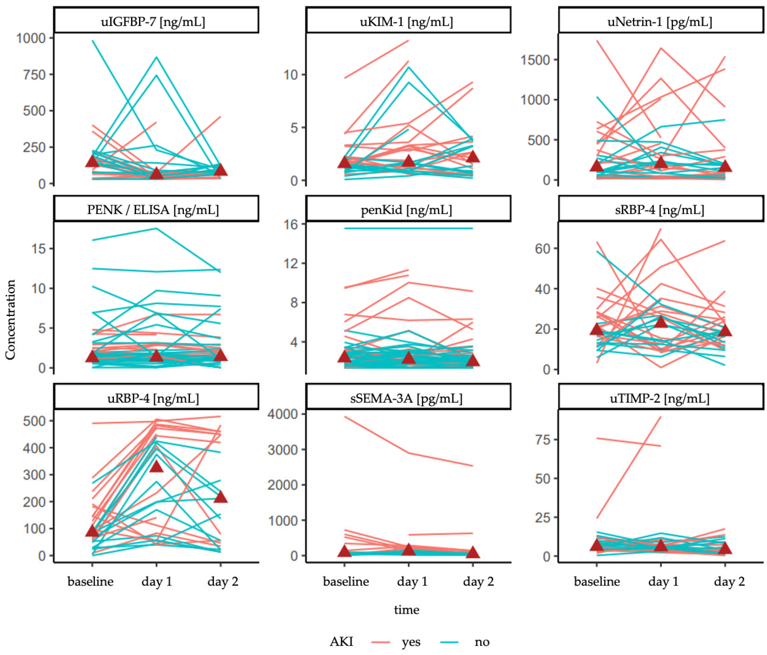
2.3. Evaluation of Discriminatory Performance Using AKI Biomarker Panels
3. Discussion
3.1. Study Strengths and Limitations
3.2. Future Research Directions
4. Methods
4.1. Patients Selection
4.2. Biomarker Selection
5. Conclusions
Author Contributions
Funding
Institutional Review Board Statement
Informed Consent Statement
Data Availability Statement
Acknowledgments
Conflicts of Interest
Abbreviations
| AC1 | Agreement Coefficient 1 |
| ACEI | Angiotensin-Converting Enzyme Inhibitors |
| AKI | Acute Kidney Injury |
| ARB | Angiotensin II Receptor Blockers |
| ASA | Acetylsalicylic Acid |
| AUC | Area Under the Curve |
| BMI | Body Mass Index |
| CHD | Coronary Heart Disease |
| CI | Confidence Interval |
| CKD | Chronic Kidney Disease |
| COPD | Chronic Obstructive Pulmonary Disease |
| CV | Coefficient of Variation |
| DM | Diabetes Mellitus |
| EDTA | Ethylenediamine Tetraacetic Acid |
| ELISA | Enzyme-Linked Immunosorbent Assay |
| EVAR | Endovascular Aortic Repair |
| GFR | Glomerular Filtration Rate |
| IGFBP-7 | Insulin-like Growth Factor-Binding Protein-7 |
| IQR | Interquartile Range |
| KDIGO | Kidney Disease: Improving Global Outcomes |
| KIM-1 | Kidney Injury Molecule-1 |
| LMWH | Low-molecular-Weight Heparin |
| Netrin-1 | Netrin-1 |
| NGAL | Neutrophil Gelatinase-Associated Lipocalin |
| PENK/ELISA | Proenkephalin A 119-159 (measured with ELISA assay) |
| penKid | Proenkephalin A 119-159 |
| RBP-4 | Retinol Binding Protein-4 |
| ROC | Receiver Operating Characteristic |
| sAKI | Subclinical Acute Kidney Injury |
| SCr | Serum Creatinine |
| SE | Standard Error |
| SEMA-3A | Semaphorin-3A |
| TIMP-2 | Tissue Inhibitor of Metalloproteinase-2 |
| UOP | Urine Output |
Appendix A
| Assay | Catalog Number | Sensitivity | Detection Range | Intra-Assay Precision (CV%) | Inter-Assay Precision (CV%) |
|---|---|---|---|---|---|
| KIM-1 | DKM100 | 0.009 ng/mL | 0.156–10 ng/mL | 4.3–4.4% | 6.1–7.8% |
| Netrin-1 | NBP2-76771 | 18.75 pg/mL | 31.25–2000 pg/mL | <10% | <10% |
| RBP-4 | DRB400 | 0.224 ng/mL | 1.56–100 ng/mL | 7.0% | 5.8–8.6% |
| TIMP-2 | DTM200 | 0.011 ng/mL | 0.156–10 ng/mL | 4.2–6.5% | 6.2–7.3% |
| Assay | Catalog Number | Sensitivity | Detection Range | Intra-Assay Precision (CV%) | Inter-Assay Precision (CV%) |
|---|---|---|---|---|---|
| PENK | 201-12-2342 | 0.041 ng/mL | 0.05–10 ng/mL | <9% | <11% |
Appendix B
Appendix C

References
- Saratzis, A.; Melas, N.; Mahmood, A.; Sarafidis, P. Incidence of Acute Kidney Injury (AKI) after Endovascular Abdominal Aortic Aneurysm Repair (EVAR) and Impact on Outcome. Eur. J. Vasc. Endovasc. Surg. Off. J. Eur. Soc. Vasc. Surg. 2015, 49, 534–540. [Google Scholar] [CrossRef]
- Rastogi, V.; de Bruin, J.L.; Bouwens, E.; Hoeks, S.E.; Ten Raa, S.; van Rijn, M.J.; Fioole, B.; Schermerhorn, M.L.; Verhagen, H.J.M. Incidence, Prognostic Significance, and Risk Factors of Acute Kidney Injury Following Elective Infrarenal and Complex Endovascular Aneurysm Repair. Eur. J. Vasc. Endovasc. Surg. Off. J. Eur. Soc. Vasc. Surg. 2022, 64, 621–629. [Google Scholar] [CrossRef] [PubMed]
- Coca, S.G.; Singanamala, S.; Parikh, C.R. Chronic Kidney Disease after Acute Kidney Injury: A Systematic Review and Meta-Analysis. Kidney Int. 2012, 81, 442–448. [Google Scholar] [CrossRef]
- Novak, Z.; Zaky, A.; Spangler, E.L.; McFarland, G.E.; Tolwani, A.; Beck, A.W. Incidence and Predictors of Early and Delayed Renal Function Decline after Aortic Aneurysm Repair in the Vascular Quality Initiative Database. J. Vasc. Surg. 2021, 74, 1537–1547. [Google Scholar] [CrossRef]
- Zambetti, B.R.; Zickler, W.P.; Byerly, S.; Garrett, H.E.; Magnotti, L.J. Risk Factors for Acute Renal Failure After Endovascular Aneurysm Repair. Am. Surg. 2024, 90, 55–62. [Google Scholar] [CrossRef] [PubMed]
- Statius van Eps, R.G.; Nemeth, B.; Mairuhu, R.T.A.; Wever, J.J.; Veger, H.T.C.; van Overhagen, H.; van Dijk, L.C.; Knippenberg, B. Determinants of Acute Kidney Injury and Renal Function Decline After Endovascular Abdominal Aortic Aneurysm Repair. Eur. J. Vasc. Endovasc. Surg. Off. J. Eur. Soc. Vasc. Surg. 2017, 54, 712–720. [Google Scholar] [CrossRef]
- Kellum, J.A.; Lameire, N.; Aspelin, P.; Barsoum, R.S.; Burdmann, E.A.; Goldstein, S.L.; Herzog, C.A.; Joannidis, M.; Kribben, A.; Levey, A.S.; et al. Kidney Disease: Improving Global Outcomes (KDIGO) Acute Kidney Injury Work Group. KDIGO Clinical Practice Guideline for Acute Kidney Injury. Kidney Int. Suppl. 2012, 2, 1–138. [Google Scholar] [CrossRef]
- Slocum, J.L.; Heung, M.; Pennathur, S. Marking Renal Injury: Can We Move beyond Serum Creatinine? Transl. Res. J. Lab. Clin. Med. 2012, 159, 277–289. [Google Scholar] [CrossRef]
- Ostermann, M.; Legrand, M.; Meersch, M.; Srisawat, N.; Zarbock, A.; Kellum, J.A. Biomarkers in Acute Kidney Injury. Ann. Intensive Care 2024, 14, 145. [Google Scholar] [CrossRef]
- Losito, A. History of Creatinine Clearance: Tribute to a Forerunner. Clin. Kidney J. 2023, 891–895. [Google Scholar] [CrossRef]
- Dépret, F.; Hollinger, A.; Cariou, A.; Deye, N.; Vieillard-Baron, A.; Fournier, M.-C.; Jaber, S.; Damoisel, C.; Lu, Q.; Monnet, X.; et al. Incidence and Outcome of Subclinical Acute Kidney Injury Using penKid in Critically Ill Patients. Am. J. Respir. Crit. Care Med. 2020, 202, 822–829. [Google Scholar] [CrossRef]
- Haase, M.; Kellum, J.A.; Ronco, C. Subclinical AKI—An Emerging Syndrome with Important Consequences. Nat. Rev. Nephrol. 2012, 8, 735–739. [Google Scholar] [CrossRef]
- Yousef Almulhim, M. The Efficacy of Novel Biomarkers for the Early Detection and Management of Acute Kidney Injury: A Systematic Review. PloS ONE 2025, 20, e0311755. [Google Scholar] [CrossRef] [PubMed]
- Waskowski, J.; Pfortmueller, C.A.; Schenk, N.; Buehlmann, R.; Schmidli, J.; Erdoes, G.; Schefold, J.C. (TIMP2) × (IGFBP7) as Early Renal Biomarker for the Prediction of Acute Kidney Injury in Aortic Surgery (TIGER). A Single Center Observational Study. PloS ONE 2021, 16, e0244658. [Google Scholar] [CrossRef] [PubMed]
- Lin, L.-C.; Chuan, M.-H.; Liu, J.-H.; Liao, H.-W.; Ng, L.L.; Magnusson, M.; Jujic, A.; Pan, H.-C.; Wu, V.-C.; Forni, L.G. Proenkephalin as a Biomarker Correlates with Acute Kidney Injury: A Systematic Review with Meta-Analysis and trial Sequential Analysis. Crit. Care 2023, 27, 481. [Google Scholar] [CrossRef] [PubMed]
- Birkelo, B.C.; Koyner, J.L.; Ostermann, M.; Bhatraju, P.K. The Road to Precision Medicine for Acute Kidney Injury. Crit. Care Med. 2024, 52, 1127–1137. [Google Scholar] [CrossRef]
- Chu, R.; Li, C.; Wang, S.; Zou, W.; Liu, G.; Yang, L. Assessment of KDIGO Definitions in Patients with Histopathologic Evidence of Acute Renal Disease. Clin. J. Am. Soc. Nephrol. CJASN 2014, 9, 1175–1182. [Google Scholar] [CrossRef]
- Ostermann, M.; Zarbock, A.; Goldstein, S.; Kashani, K.; Macedo, E.; Murugan, R.; Bell, M.; Forni, L.; Guzzi, L.; Joannidis, M.; et al. Recommendations on Acute Kidney Injury Biomarkers From the Acute Disease Quality Initiative Consensus Conference: A Consensus Statement. JAMA Netw. Open 2020, 3, e2019209. [Google Scholar] [CrossRef]
- Viazzi, F.; Ramesh, G.; Jayakumar, C.; Leoncini, G.; Garneri, D.; Pontremoli, R. Increased Urine Semaphorin-3A Is Associated with Renal Damage in Hypertensive Patients with Chronic Kidney Disease: A Nested Case-Control Study. J. Nephrol. 2015, 28, 315–320. [Google Scholar] [CrossRef]
- Ning, L.; Li, Z.; Wei, D.; Chen, H.; Yang, C.; Wu, D.; Wang, Y.; Zhang, J. Urinary Semaphorin 3A as an Early Biomarker to Predict Contrast-Induced Acute Kidney Injury in Patients Undergoing Percutaneous Coronary Intervention. Braz. J. Med. Biol. Res. 2018, 51, e6487. [Google Scholar] [CrossRef]
- Doi, K.; Noiri, E.; Nangaku, M.; Yahagi, N.; Jayakumar, C.; Ramesh, G. Repulsive Guidance Cue Semaphorin 3A in Urine Predicts the Progression of Acute Kidney Injury in Adult Patients from a Mixed Intensive Care Unit. Nephrol. Dial. Transplant. 2014, 29, 73–80. [Google Scholar] [CrossRef] [PubMed]
- Lima, C.; Gorab, D.L.; Fernandes, C.R.; Macedo, E. Role of Proenkephalin in the Diagnosis of Severe and Subclinical Acute Kidney Injury during the Perioperative Period of Liver Transplantation. Pract. Lab. Med. 2022, 31, e00278. [Google Scholar] [CrossRef] [PubMed]
- Gombert, A.; Barbati, M.; Hartmann, O.; Schulte, J.; Simon, T.; Simon, F. Proenkephalin A 119-159 May Predict Post-Operative Acute Kidney Injury and in Hospital Mortality Following Open or Endovascular Thoraco-abdominal Aortic Repair. Eur. J. Vasc. Endovasc. Surg. Off. J. Eur. Soc. Vasc. Surg. 2020, 60, 493–494. [Google Scholar] [CrossRef] [PubMed]
- Doukas, P.; Hartmann, O.; Arlt, B.; Jacobs, M.J.; Greiner, A.; Frese, J.P.; Gombert, A. The Role of Proenkephalin A 119-159 in the Detection of Acute Kidney Injury after Open Thoracoabdominal Aortic Repair. VASA Z. Gefasskrankheiten 2024, 53, 61–67. [Google Scholar] [CrossRef]
- von Groote, T.; Albert, F.; Meersch, M.; Koch, R.; Porschen, C.; Hartmann, O.; Bergmann, D.; Pickkers, P.; Zarbock, A. Proenkephalin A 119-159 Predicts Early and Successful Liberation from Renal Replacement Therapy in Critically Ill Patients with Acute Kidney Injury: A Post Hoc Analysis of the ELAIN Trial. Crit. Care Lond. Engl. 2022, 26, 333. [Google Scholar] [CrossRef]
- Khorashadi, M.; Beunders, R.; Pickkers, P.; Legrand, M. Proenkephalin: A New Biomarker for Glomerular Filtration Rate and Acute Kidney Injury. Nephron 2020, 144, 655–661. [Google Scholar] [CrossRef]
- Beunders, R.; Donato, L.J.; van Groenendael, R.; Arlt, B.; Carvalho-Wodarz, C.; Schulte, J.; Coolen, A.C.; Lieske, J.C.; Meeusen, J.W.; Jaffe, A.S.; et al. Assessing GFR With Proenkephalin. Kidney Int. Rep. 2023, 8, 2345–2355. [Google Scholar] [CrossRef]
- Ratajczyk, K.; Konieczny, A.; Czekaj, A.; Piotrów, P.; Fiutowski, M.; Krakowska, K.; Kowal, P.; Witkiewicz, W.; Marek-Bukowiec, K. The Clinical Significance of Urinary Retinol-Binding Protein 4: A Review. Int. J. Environ. Res. Public. Health 2022, 19, 9878. [Google Scholar] [CrossRef]
- Mao, G.; Fu, X. Value of Serum Retinol-Binding Protein, Lipoprotein A and Inflammatory Nutritional Indexes and Their Interactions in Predicting Acute Kidney Injury after Coronary Angiography. Heart Surg. Forum 2024, 27, E1319–E1329. [Google Scholar] [CrossRef]
- Adler, C.; Heller, T.; Schregel, F.; Hagmann, H.; Hellmich, M.; Adler, J.; Reuter, H. TIMP-2/IGFBP7 Predicts Acute Kidney Injury in out-of-Hospital Cardiac Arrest Survivors. Crit. Care 2018, 22, 126. [Google Scholar] [CrossRef]
- Haase, M.; Bellomo, R.; Devarajan, P.; Schlattmann, P.; Haase-Fielitz, A. Accuracy of Neutrophil Gelatinase-Associated Lipocalin (NGAL) in Diagnosis and Prognosis in Acute Kidney Injury: A Systematic Review and Meta-Analysis. Am. J. Kidney Dis. 2009, 54, 1012–1024. [Google Scholar] [CrossRef] [PubMed]
- Kashani, K.; Al-Khafaji, A.; Ardiles, T.; Artigas, A.; Bagshaw, S.M.; Bell, M.; Bihorac, A.; Birkhahn, R.; Cely, C.M.; Chawla, L.S.; et al. Discovery and Validation of Cell Cycle Arrest Biomarkers in Human Acute Kidney Injury. Crit. Care 2013, 17, R25. [Google Scholar] [CrossRef] [PubMed]
- Yang, H.; Chen, Y.; He, J.; Li, Y.; Feng, Y. Advances in the Diagnosis of Early Biomarkers for Acute Kidney Injury: A Literature Review. BMC Nephrol. 2025, 26, 115. [Google Scholar] [CrossRef] [PubMed]
- Borde, D.P.; Venkata, D.B.; Joshi, S.; Jasapara, A.; Joshi, P.; Asegaonkar, B. Elastic Recoil Signal on Tissue Doppler Imaging of Mitral Annulus as a Qualitative Test to Identify Left Ventricular Diastolic Function. Ann. Card. Anaesth. 2023, 26, 42–49. [Google Scholar] [CrossRef]
- Yu, P.-J.; Rodriguez, G.; Cassiere, H.; Bocchieri, K.; Hirsch, J.S.; Chang, T.Y.; Jhaveri, K.D.; Hentz, R.; Fishbane, S.; Sharma, P.D.; et al. Use of TIMP-2 and IGFBP-7 for Prediction of Postoperative Acute Kidney Injury after Cardiac Surgery. Clin. Nephrol. 2022, 98, 288–295. [Google Scholar] [CrossRef]
- Rössler, J.; Ott, S.; Li, Y.; Turan, A.; Yazar, M.; Müller-Wirtz, L.M.; Demirjian, S.; Shaw, A.; Ruetzler, K. Progression of Chronic Kidney Disease after Non-Cardiac Surgery: A Retrospective Cohort Study. J. Clin. Anesth. 2025, 102, 111745. [Google Scholar] [CrossRef]
- Guilleminot, P.; Andrei, S.; Nguyen, M.; Abou-Arab, O.; Besnier, E.; Bouhemad, B.; Guinot, P.-G.; Collaborator Study Group. Pre-Operative Maintenance of Angiotensin-Converting Enzyme Inhibitors Is Not Associated with Acute Kidney Injury in Cardiac Surgery Patients with Cardio-Pulmonary Bypass: A Propensity-Matched Multicentric Analysis. Front. Pharmacol. 2024, 15, 1343647. [Google Scholar] [CrossRef]
- Huber, M.; Ozrazgat-Baslanti, T.; Thottakkara, P.; Scali, S.; Bihorac, A.; Hobson, C. Cardiovascular-Specific Mortality and Kidney Disease in Patients Undergoing Vascular Surgery. JAMA Surg. 2016, 151, 441–450. [Google Scholar] [CrossRef]
- Greenberg, R.K.; Lytle, B. Endovascular Repair of Thoracoabdominal Aneurysms. Circulation 2008, 117, 2288–2296. [Google Scholar] [CrossRef]
- Mårtensson, J.; Bellomo, R. The Rise and Fall of NGAL in Acute Kidney Injury. Blood Purif. 2014, 37, 304–310. [Google Scholar] [CrossRef]
- Brilland, B.; Boud’hors, C.; Wacrenier, S.; Blanchard, S.; Cayon, J.; Blanchet, O.; Piccoli, G.B.; Henry, N.; Djema, A.; Coindre, J.-P.; et al. Kidney Injury Molecule 1 (KIM-1): A Potential Biomarker of Acute Kidney Injury and Tubulointerstitial Injury in Patients with ANCA-Glomerulonephritis. Clin. Kidney J. 2023, 16, 1521–1533. [Google Scholar] [CrossRef] [PubMed]
- Delrue, C.; Speeckaert, M.M. Tissue Inhibitor of Metalloproteinases-2 (TIMP-2) as a Prognostic Biomarker in Acute Kidney Injury: A Narrative Review. Diagn. Basel Switz. 2024, 14, 1350. [Google Scholar] [CrossRef]
- Singh, R.; Watchorn, J.C.; Zarbock, A.; Forni, L.G. Prognostic Biomarkers and AKI: Potential to Enhance the Identification of Post-Operative Patients at Risk of Loss of Renal Function. Res. Rep. Urol. 2024, 16, 65–78. [Google Scholar] [CrossRef]
- Ranganathan, P.; Jayakumar, C.; Mohamed, R.; Weintraub, N.L.; Ramesh, G. Semaphorin 3A Inactivation Suppresses Ischemia-Reperfusion-Induced Inflammation and Acute Kidney Injury. Am. J. Physiol. Renal Physiol. 2014, 307, F183–F194. [Google Scholar] [CrossRef]
- Strauß, C.; Booke, H.; Forni, L.; Zarbock, A. Biomarkers of Acute Kidney Injury: From Discovery to the Future of Clinical Practice. J. Clin. Anesth. 2024, 95, 111458. [Google Scholar] [CrossRef]
- Walczak-Wieteska, P.; Zuzda, K.; Małyszko, J.; Andruszkiewicz, P. Proenkephalin A 119–159 in Perioperative and Intensive Care—A Promising Biomarker or Merely Another Option? Diagnostics 2024, 14, 2364. [Google Scholar] [CrossRef] [PubMed]
- Jakobsen, J.C.; Gluud, C.; Wetterslev, J.; Winkel, P. When and How Should Multiple Imputation be Used for Handling Missing Data in Randomised Clinical Trials—A Practical Guide with Flowcharts. BMC Med. Res. Methodol. 2017, 17, 162. [Google Scholar] [CrossRef] [PubMed]
- Becker, J.; Chan, C.; Schoch, D.; Leeper, T.J. rio: A Swiss-Army Knife for Data I/O, Version 1.2.4. 2013. [CrossRef]
- Corporation, M.; Weston, S. doParallel: Foreach Parallel Adaptor for the “parallel” Package, Version 1.0.17. 2011. [CrossRef]
- Gaujoux, R. rngtools: Utility Functions for Working with Random Number Generators, Version 1.5.2. 2012. [CrossRef]
- Gaujoux, R. doRNG: Generic Reproducible Parallel Backend for “foreach” Loops, Version 1.8.6.2. 2011. [CrossRef]
- Kilem, L. Gwet, Ph.D. irrCAC: Computing Chance-Corrected Agreement Coefficients (CAC), Version 1.0. 2019. [CrossRef]
- Lüdecke, D. sjPlot: Data Visualization for Statistics in Social Science, Version 2.9.0. 2013. [CrossRef]
- Lüdecke, D.; Makowski, D.; Ben-Shachar, M.S.; Patil, I.; Højsgaard, S.; Wiernik, B.M. Parameters: Processing of Model Parameters, Version 0.28.2. 2019. [CrossRef]
- Lüdecke, D.; Makowski, D.; Ben-Shachar, M.S.; Patil, I.; Waggoner, P.; Wiernik, B.M.; Thériault, R. Performance: Assessment of Regression Models Performance, Version 0.15.2. 2019. [CrossRef]
- Makowski, D.; Lüdecke, D.; Patil, I.; Thériault, R.; Ben-Shachar, M.S.; Wiernik, B.M. Report: Automated Reporting of Results and Statistical Models, Version 0.6.2. 2021. [CrossRef]
- Makowski, D.; Wiernik, B.M.; Patil, I.; Lüdecke, D.; Ben-Shachar, M.S.; Thériault, R. Correlation: Methods for Correlation Analysis, Version 0.8.7. 2020. [CrossRef]
- Patil, I. ggstatsplot: “ggplot2” Based Plots with Statistical Details, Version 0.13.3. 2018. [CrossRef]
- Robin, X.; Turck, N.; Hainard, A.; Tiberti, N.; Lisacek, F.; Sanchez, J.-C.; Müller, M. pROC: Display and Analyze ROC Curves, Version 1.19.0.1. 2010. [CrossRef]
- Sjoberg, D.D.; Larmarange, J.; Curry, M.; De La Rua, E.; Lavery, J.; Whiting, K.; Zabor, E.C. Gtsummary: Presentation-Ready Data Summary and Analytic Result Tables, Version 2.4.0. 2019. [CrossRef]
- Thiele, C. cutpointr: Determine and Evaluate Optimal Cutpoints in Binary Classification Tasks, Version 1.2.1. 2018. [CrossRef]
- Ripley, B.; Venables, B. MASS: Support Functions and Datasets for Venables and Ripley’s MASS, Version 7.3-65. 2009. [CrossRef]
- Wickham, H.; Chang, W.; Henry, L.; Pedersen, T.L.; Takahashi, K.; Wilke, C.; Woo, K.; Yutani, H.; Dunnington, D.; Van Den Brand, T. ggplot2: Create Elegant Data Visualisations Using the Grammar of Graphics, Version 4.0.1. 2007. [CrossRef]
- Wickham, H.; François, R.; Henry, L.; Müller, K.; Vaughan, D. dplyr: A Grammar of Data Manipulation, Version 1.1.4. 2014. [CrossRef]


| Characteristic | N | Overall | AKI Occurrence | p | |
|---|---|---|---|---|---|
| Yes, n1 = 18 a | No, n2 = 48 a | ||||
| SCr 1 mg/dl | 66 f | 1.06 (0.89, 1.21) | 1.39 (1.12, 1.83) | 1.01 (0.87, 1.15) | <0.001 c |
| CKD 2 stage | 66 | <0.001 c | |||
| no CKD | 14 (20.59%) b | 2 (11.11%) b | 11 (22.92%) b | 0.488 e | |
| Stage 1 | 3 (4.41%) b | 0 (0%) b | 3 (6.25%) b | 0.556 e | |
| Stage 2 | 31 (45.59%) b | 6 (33.33%) b | 24 (50%) b | 0.174 d | |
| Stage 3a | 10 (14.71%) b | 1 (5.56%) b | 9 (18.75%) b | 0.264 e | |
| Stage 3b | 6 (8.82%) b | 5 (27.78%) b | 1 (2.08%) b | 0.005 e | |
| Stage 4 | 3 (4.41%) b | 3 (16.67%) b | 0 (0%) b | 0.018 e | |
| Stage 5 | 1 (1.47%) b | 1 (5.56%) b | 0 (0%) b | 0.272 e | |
| Body Mass Index | 66 | 26.08 (24.31, 29.58) | 26.25 (24.98, 30.78) | 26.27 (24.31, 29.58) | 0.751 c |
| Hypertension | 66 | 18 (26.47%) b | 17 (94.44%) b | 44 (91.67%) b | 1.000 e |
| DM 3 | 66 | 23 (33.82%) b | 5 (27.78%) b | 13 (27.08%) b | 1.000 e |
| CHD 4 | 66 | 11 (16.18%) b | 8 (44.44%) b | 14 (29.17%) b | 0.241 e |
| COPD 5 | 66 | 3 (4.41%) b | 5 (27.78%) b | 4 (8.33%) b | 0.055 e |
| ASA 6 | 66 | 24 (35.29%) b | 6 (33.33%) b | 18 (37.50%) b | 0.754 e |
| LMWH 7 | 66 | 3 (4.41%) b | 3 (16.67%) b | 0 (0%) b | 0.018 e |
| ACEI 8 | 66 | 27 (39.71%) b | 5 (27.78%) b | 22 (45.83%) b | 0.184 e |
| ARB 9 | 66 | 12 (17.65%) b | 6 (33.33%) b | 6 (12.50%) b | 0.073 e |
| β-blocker | 66 | 32 (47.06%) b | 8 (44.44%) b | 24 (50%) b | 0.688 e |
| α-blocker | 66 | 6 (8.82%) b | 4 (22.22%) b | 2 (4.17%) b | 0.043 e |
| Number of medications | 66 | 3.00 (2.00, 5.00) | 3.50 (1.25, 5.00) | 3.00 (2.00, 5.00) | 0.856 d |
| Characteristic | N | Overall | AKI Occurrence | p b | |
|---|---|---|---|---|---|
| Yes, n1 = 18 a | No, n2 = 48 a | ||||
| Baseline—postoperative day 3 | |||||
| penKid 1, ng/mL | 67 | 2.15 (1.73, 2.88) | 2.97 (2.29, 5.62) | 1.94 (1.69, 2.42) | 0.001 |
| PENK/ELISA 2 ng/mL | 68 | 1.37 1.06, 2.24) | 1.71 (1.24, 2.59) | 1.26 (1.01, 1.89) | 0.057 |
| Baseline—postoperative day 2 | |||||
| sSEMA-3A 3 pg/mL | 29 | 84.63 (70.40, 178.72) | 137.35 (83.25, 232.86) | 69.43 (51.99, 82.25) | <0.001 |
| uSEMA-3A 4 mL | 15 | 24.32 (19.03, 59.31) | 24.60 (18.65, 54.67) | 23.88 (23.37, 117.50) | 0.594 |
| sRBP-4 5 ng/mL | 29 | 19.85 (16.95, 25.47) | 24.79 (19.13, 28.48) | 17.11 (11.92, 19.67) | 0.004 |
| uRBP-4 6 ng/mL | 30 | 196.11 (97.78, 308.83) | 289.53 (113.35, 377.49) | 165.47 (66.07, 233.61) | 0.028 |
| uKIM-1 7 ng/mL | 30 | 1.98 (1.22, 2.81) | 2.20 (1.88, 3.40) | 1.69 (0.89, 2.27) | 0.113 |
| uNetrin-1 8 pg/mL | 30 | 210.06 (72.64, 519.96) | 259.37 (83.46, 728.89) | 168.81 (69.03, 230.09) | 0.300 |
| uTIMP-2 9 ng/mL | 30 | 6.04 (4.23, 9.08) | 4.93 (4.16, 10.00) | 6.95 (4.71, 8.88) | 0.934 |
| uIGFBP-7 10 ng/mL | 30 | 100.84 (73.13, 151.55) | 91.53 (72.33, 139.31) | 120.38 (96.64, 172.86) | 0.157 |
| AKI Biomarker | nobs | Optimal Cutoff Point (AKI Occurrence) | CI a 95% | Accuracy | Sensitivity | Specificity | AUC b |
|---|---|---|---|---|---|---|---|
| penKid 1, ng/mL | 67 | ≥2.29 | 2.03–3.82 | 0.73 | 0.78 | 0.71 | 0.76 |
| PENK/ELISA 2, ng/mL | 68 | ≥1.16 | 0.89–2.41 | 0.56 | 0.89 | 0.44 | 0.65 |
| sSEMA-3A 3 pg/mL | 29 | ≥89.10 | 74.50–179.00 | 0.79 | 0.71 | 0.92 | 0.88 |
| uSEMA-3A 4 pg/mL | 15 | ≥24.31 | 18.30–∞ | 0.60 | 0.60 | 0.60 | 0.40 |
| sRBP-4 5 ng/mL | 29 | ≥23.72 | 13.10–24.80 | 0.76 | 0.64 | 0.92 | 0.81 |
| uRBP-4 6 ng/mL | 30 | ≥289.53 | 71.20–377.00 | 0.70 | 0.53 | 0.92 | 0.74 |
| uKIM-1 7 ng/mL | 30 | ≥1.01 | 1.01–6.40 | 0.70 | 0.94 | 0.38 | 0.67 |
| uNetrin-1 8 pg/mL | 30 | ≥706.15 | 83.50–802.00 | 0.63 | 0.35 | 1.00 | 0.61 |
| uTIMP-2 9 ng/mL | 30 | ≥4.65 | 2.37–7.41 | 0.60 | 0.47 | 0.77 | 0.51 |
| uIGFBP-7 10 ng/mL | 30 | ≥101.70 | 63.2–257.00 | 0.70 | 0.71 | 0.69 | 0.66 |
| AKI Biomarker | Gwet’s AC1 a | SE b | CI c 95% | p |
|---|---|---|---|---|
| penKid 1 | 0.52 | 0.11 | 0.31–0.73 | <0.001 |
| PENK/ELISA 2 | 0.10 | 0.12 | −0.15–0.34 | 0.428 |
| sSEMA-3A 3 | 0.59 | 0.15 | 0.28–0.90 | <0.001 |
| uSEMA-3A 4 | 0.23 | 0.26 | −0.33–0.79 | 0.392 |
| sRBP-4 5 | 0.52 | 0.16 | 0.19–0.84 | 0.003 |
| uRBP-4 6 | 0.41 | 0.17 | 0.06–0.75 | 0.022 |
| uKIM-1 7 | 0.40 | 0.17 | 0.04–0.76 | 0.031 |
| uNetrin-1 8 | 0.30 | 0.18 | −0.07–0.68 | 0.104 |
| uTIMP-2 9 | −0.07 | 0.20 | −0.49–0.34 | 0.712 |
| uIGFBP-7 10 | −0.32 | 0.18 | −0.69–0.031 | 0.072 |
| Biomarker | Sample Type | Nephron Location | Biomarker Type | Mechanism |
|---|---|---|---|---|
| RBP-4 1 [28,29] | Urine, Plasma | Proximal Tubule | Injury, Functional | Proximal tubular dysfunction can cause significant increases in urinary RBP-4 due to impaired reabsorption of retinol-free apo-RBP4 fraction. |
| KIM-1 2 [41] | Urine | Proximal Tubule | Injury | KIM-1 is a transmembrane glycoprotein upregulated in injured proximal tubules. Proteolytic cleavage releases its extracellular domain into urine. |
| TIMP-2 3 [42] | Urine, Plasma | Distal Tubule | Stress | |
| IGFBP-7 4 [43] | Urine | Proximal Tubule | Stress | Both IGFBP-7 and TIMP-2 are constitutively expressed in proximal and distal tubules. Urinary elevations result from reduced tubular reabsorption (due to injury) and leakage from damaged cells. |
| SEMA-3A 5 [21,44] | Urine, Plasma | Distal Tubule | Damage | In ischemia–reperfusion-induced AKI, SEMA-3A mediates tissue injury by promoting inflammation and tubular epithelial cell apoptosis. Secreted by injured podocytes and distal tubular cells during AKI. |
| Netrin-1 [45] | Urine | Proximal Tubule | Damage | Typically, expressed in peritubular capillaries and tubular epithelium. AKI causes downregulation in the vascular endothelium and redistribution to injured tubules. |
| PENK 6 [9,46] | Plasma | Glomerulus | Injury, Functional, Regeneration | PENK accumulates in the plasma in settings of reduced GFR. |
Disclaimer/Publisher’s Note: The statements, opinions and data contained in all publications are solely those of the individual author(s) and contributor(s) and not of MDPI and/or the editor(s). MDPI and/or the editor(s) disclaim responsibility for any injury to people or property resulting from any ideas, methods, instructions or products referred to in the content. |
© 2025 by the authors. Licensee MDPI, Basel, Switzerland. This article is an open access article distributed under the terms and conditions of the Creative Commons Attribution (CC BY) license (https://creativecommons.org/licenses/by/4.0/).
Share and Cite
Zuzda, K.; Walczak-Wieteska, P.; Andruszkiewicz, P.; Małyszko, J. Evaluation of a Novel Biomarker Panel for Acute Kidney Injury Following Endovascular Aortic Repair. Int. J. Mol. Sci. 2025, 26, 11156. https://doi.org/10.3390/ijms262211156
Zuzda K, Walczak-Wieteska P, Andruszkiewicz P, Małyszko J. Evaluation of a Novel Biomarker Panel for Acute Kidney Injury Following Endovascular Aortic Repair. International Journal of Molecular Sciences. 2025; 26(22):11156. https://doi.org/10.3390/ijms262211156
Chicago/Turabian StyleZuzda, Konrad, Paulina Walczak-Wieteska, Paweł Andruszkiewicz, and Jolanta Małyszko. 2025. "Evaluation of a Novel Biomarker Panel for Acute Kidney Injury Following Endovascular Aortic Repair" International Journal of Molecular Sciences 26, no. 22: 11156. https://doi.org/10.3390/ijms262211156
APA StyleZuzda, K., Walczak-Wieteska, P., Andruszkiewicz, P., & Małyszko, J. (2025). Evaluation of a Novel Biomarker Panel for Acute Kidney Injury Following Endovascular Aortic Repair. International Journal of Molecular Sciences, 26(22), 11156. https://doi.org/10.3390/ijms262211156

