Ecological Dynamics of Staphylococcus aureus in Raw Ewe Milk Following Different Mastitis Treatment Protocols
Abstract
1. Introduction
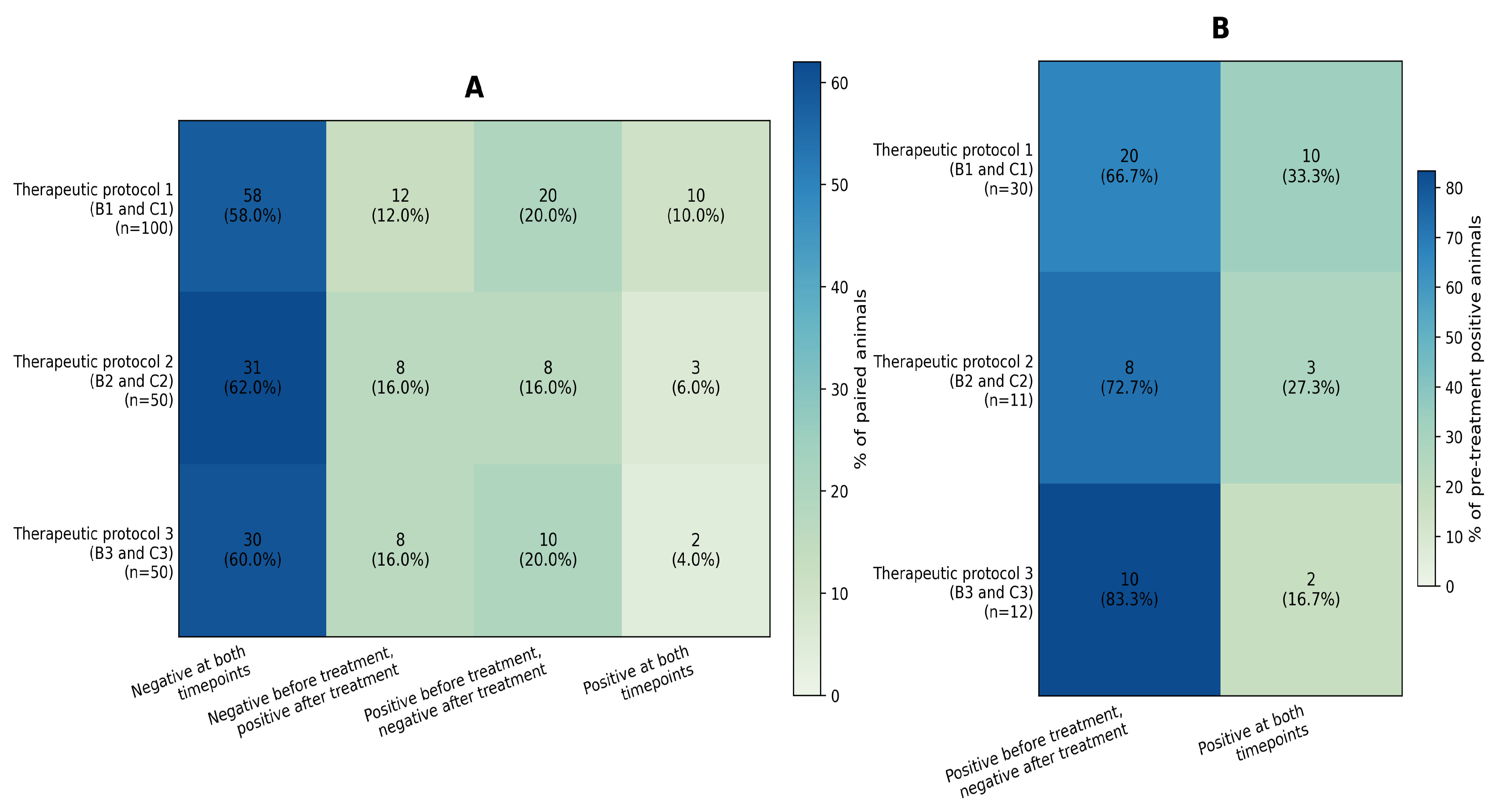
2. Results
3. Discussion
4. Materials and Methods
4.1. Bacterial Isolation—Identification
4.1.1. Culture-Based Methods for Phenotypic Identification of Presumptive Staphylococcus spp. Isolates
4.1.2. Species Identification
4.2. In Vitro Antimicrobial Susceptibility Tests (AST)
4.2.1. Multiple Antibiotic Resistance (MAR) Indices
4.2.2. Detection of Methicillin Resistance
4.2.3. Inducible Resistance to Clindamycin
4.3. Phenotypic Assessment of Virulence-Associated Traits
4.3.1. Staphylococcal Enterotoxin Reverse Passive Latex Agglutination Kit (SET-RPLA) Phenotypic Ability to Produce (RPLA Method)
4.3.2. Biofilm Formation Assay—Microtiter Plate Biofilm (Adherence) Assay and Interpretation
4.4. Detection of mecA Gene in S. aureus Isolates
4.5. Statistical Analysis
5. Limitations of This Study
6. Conclusions
Supplementary Materials
Author Contributions
Funding
Institutional Review Board Statement
Informed Consent Statement
Data Availability Statement
Acknowledgments
Conflicts of Interest
References
- Flis, Z.; Molik, E. Importance of Bioactive Substances in Sheep’s Milk in Human Health. Int. J. Mol. Sci. 2021, 22, 4364. [Google Scholar] [CrossRef] [PubMed]
- Roșu, R.D.; Morar, A.; Ban-Cucerzan, A.; Imre, M.; Popa, S.A.; Pătrînjan, R.T.; Pocinoc, A.; Imre, K. Raw Sheep Milk as a Reservoir of Multidrug-Resistant Staphylococcus aureus: Evidence from Traditional Farming Systems in Romania. Antibiotics 2025, 14, 787. [Google Scholar] [CrossRef]
- Balthazar, C.F.; Pimentel, T.C.; Ferrão, L.L.; Almada, C.N.; Santillo, A.; Albenzio, M.; Mollakhalili, N.; Mortazavian, A.M.; Nascimento, J.S.; Silva, M.C.; et al. Sheep Milk: Physicochemical Characteristics and Relevance for Functional Food Development. Compr. Rev. Food Sci. Food Saf. 2017, 16, 247–262. [Google Scholar] [CrossRef]
- Endres, C.M.; Moreira, E.; de Freitas, A.B.; Castel, A.P.D.; Graciano, F.; Mann, M.B.; Frazzon, A.P.G.; Mayer, F.Q.; Frazzon, J. Evaluation of Enterotoxins and Antimicrobial Resistance in Microorganisms Isolated from Raw Sheep Milk and Cheese: Ensuring the Microbiological Safety of These Products in Southern Brazil. Microorganisms 2023, 11, 1618. [Google Scholar] [CrossRef] [PubMed]
- Ruiz-Romero, R.A.; Vargas-Bello-Pérez, E. Non-Aureus Staphylococci and Mammalii cocci as a Cause of Mastitis in Domestic Ruminants: Current Knowledge, Advances, Biomedical Applications, and Future Perspectives—A Systematic Review. Vet. Res. Commun. 2023, 47, 1067–1084. [Google Scholar] [CrossRef] [PubMed]
- Parte, A.C.; Carbasse, J.S.; Meier-Kolthoff, J.P.; Reimer, L.C.; Göker, M. List of Prokaryotic Names with Standing in Nomenclature (LPSN) Moves to the DSMZ. Int. J. Syst. Evol. Microbiol. 2020, 70, 5607–5612. [Google Scholar] [CrossRef]
- Vasileiou, N.G.C.; Chatzopoulos, D.C.; Sarrou, S.; Fragkou, I.A.; Katsafadou, A.I.; Mavrogianni, V.S.; Petinaki, E.; Fthenakis, G.C. Role of Staphylococci in Mastitis in Sheep. J. Dairy Res. 2019, 86, 254–266. [Google Scholar] [CrossRef]
- Wesołowska, M.; Szczuka, E. Occurrence and Antimicrobial Resistance among Staphylococci Isolated from the Skin Microbiota of Healthy Goats and Sheep. Antibiotics 2023, 12, 1594. [Google Scholar] [CrossRef]
- Tonamo, A.; Komlósi, I.; Petróczki, F.M.; Peles, F. Coagulase-Negative Staphylococci in Ewe Udder Surface and Raw Milk Samples. Acta Agrar. Debreceniensis 2021, 1, 221–225. [Google Scholar] [CrossRef]
- Michael, C.K.; Lianou, D.T.; Vasileiou, N.G.C.; Mavrogianni, V.S.; Petinaki, E.; Fthenakis, G.C. Longitudinal Study of Subclinical Mastitis in Sheep in Greece: An Investigation into Incidence Risk, Associations with Milk Quality and Risk Factors of the Infection. Animals 2023, 13, 3295. [Google Scholar] [CrossRef]
- Cannas, E.A.; Dore, S.; Lollai, S.; Liciardi, M.; Addis, M.F. Mastitis in Small Ruminants, November ed.; Istituto Zooprofilattico Sperimentale Della Sardegna, “G. Pegreffi”: Sassari, Italy, 2019; Available online: https://www.izs-sardegna.it/quaderni/Mastitis%20in%20small%20ruminant.pdf (accessed on 7 April 2026).
- Lianou, D.T.; Fthenakis, G.C. Use of Antibiotics against Bacterial Infections on Dairy Sheep and Goat Farms: Patterns of Usage and Associations with Health Management and Human Resources. Antibiotics 2022, 11, 753. [Google Scholar] [CrossRef] [PubMed]
- Mavrogianni, V.S.; Menzies, P.I.; Fragkou, I.A.; Fthenakis, G.C. Principles of Mastitis Treatment in Sheep and Goats. Vet. Clin. N. Am. Food Anim. Pract. 2011, 27, 115–120. [Google Scholar] [CrossRef]
- Gentilini, E.; Denamiel, G.; Betancor, A.; Rebuelto, M.; Rodriguez Fermepin, M.; De Torres, R.A. Antimicrobial Susceptibility of Coagulase-Negative Staphylococci Isolated from Bovine Mastitis in Argentina. J. Dairy Sci. 2002, 85, 1913–1917. [Google Scholar] [CrossRef] [PubMed]
- Brito, G.I.; Cerqueira, L.d.A.; Perecmanis, S.; Borges, J.R.J.; de Castro, M.B.; Câmara, A.C.L. Clinical Mastitis in Small Ruminants Referred to a Veterinary Teaching Hospital: 23 Cases. Microorganisms 2025, 13, 1512. [Google Scholar] [CrossRef]
- Fotou, K.; Tzora, A.; Voidarou Ch Alexopoulos, A.; Plessas, S.; Avgeris, I.; Bezirtzoglou, E.; Akrida-Demertzi, K.; Demertzis, P.G. Isolation of microbial pathogens of subclinical mastitis from raw sheep’s milk of Epirus (Greece) and their role in its hygiene. Anaerobe 2011, 17, 315–319. [Google Scholar] [CrossRef]
- Peckler, G.L.; Fuenzalida, M.J.; Aulik, N.; Adcock, S.J.J. Etiology, persistence, and risk factors of subclinical mastitis in a meat-producing sheep flock. J. Anim. Sci. 2024, 102, skae375. [Google Scholar] [CrossRef]
- Fragkou, I.A.; Skoufos, J.; Cripps, P.J.; Kyriazakis, I.; Papaioannou, N.; Boscos, C.M.; Tzora, A.; Fthenakis, G.C. Differences in susceptibility to Mannheimia haemolytica-associated mastitis between two breeds of dairy sheep. J. Dairy Res. 2007, 74, 349–355. [Google Scholar] [CrossRef]
- Fragkou, I.A.; Gougoulis, D.A.; Billinis, C.; Mavrogianni, V.S.; Bushnell, M.J.; Cripps, P.J.; Tzora, A.; Fthenakis, G.C. Transmission of Mannheimia haemolytica from the tonsils of lambs to the teat of ewes during sucking. Vet. Microbiol. 2011, 148, 66–74. [Google Scholar] [CrossRef]
- Melchior, M.B.; Fink-Gremmels, J.; Gaastra, W. Comparative assessment of the antimicrobial susceptibility of Staphylococcus aureus isolates from bovine mastitis in biofilm versus planktonic culture. J. Vet. Med. B Infect. Dis. Vet. Public Health 2006, 53, 326–332. [Google Scholar] [CrossRef] [PubMed]
- Park, S.; Jung, D.; Altshuler, I.; Kurban, D.; Dufour, S.; Ronholm, J. A longitudinal census of the bacterial community in raw milk correlated with Staphylococcus aureus clinical mastitis infections in dairy cattle. Anim. Microbiome 2022, 4, 59, Erratum in Anim. Microbiome 2023, 5, 51. https://doi.org/10.1186/s42523-023-00273-5. [Google Scholar] [CrossRef]
- Moormeier, D.E.; Bayles, K.W. Staphylococcus aureus biofilm: A complex developmental organism. Mol. Microbiol. 2017, 104, 365–376. [Google Scholar] [CrossRef]
- Zigo, F.; Vasil’, M.; Ondrašovičová, S.; Výrostková, J.; Bujok, J.; Pecka-Kielb, E. Maintaining Optimal Mammary Gland Health and Prevention of Mastitis. Front. Vet. Sci. 2021, 8, 607311. [Google Scholar] [CrossRef]
- Shinozuka, Y.; Kanda, T.; Hisaeda, K.; Goto, A.; Inoue, Y.; Yamamoto, N. Effect of External Teat Sealant on the Prevention of Intramammary Infection for Milking Cows: A Randomized Cross-Over Design Study. Microorganisms 2025, 13, 819. [Google Scholar] [CrossRef]
- Mignacca, S.A.; Dore, S.; Spuria, L.; Zanghì, P.; Amato, B.; Duprè, I.; Armas, F.; Biasibetti, E.; Camperio, C.; Lollai, S.A.; et al. Intramammary infusion of a live culture of Lactococcus lactis in ewes to treat staphylococcal mastitis. J. Med. Microbiol. 2017, 66, 1798–1810. [Google Scholar] [CrossRef] [PubMed]
- Moawad, A.A.; Dore, S.; Lollai, S.; El-Adawy, H.; Brangsch, H.; Monecke, S.; Ehricht, R.; Braun, S.D.; Neubauer, H.; Tomaso, H. Genomic characterization of Staphylococcus aureus isolated from mastitis in small ruminants in Sardinia, Italy. Front. Microbiol. 2025, 16, 1661122. [Google Scholar] [CrossRef] [PubMed]
- Al-Janabi, S.A.A.; Sajid, G.A.; Zeb, S.; Uddin, M.J.; Cinar, M.U. High throughput transcriptomics analysis of ovine mammary epithelial cells stimulated with Staphylococcus aureus in vitro. PLoS ONE 2025, 20, e0333355. [Google Scholar] [CrossRef] [PubMed]
- Chambers, G.; Laven, R.; Grinberg, A.; Ridler, A.; Velathanthiri, N. An observational study of farmer-reported clinical mastitis in New Zealand dairy ewes. N. Z. Vet. J. 2024, 72, 212–224. [Google Scholar] [CrossRef]
- Mørk, T.; Waage, S.; Tollersrud, T.; Kvitle, B.; Sviland, S. Clinical mastitis in ewes; bacteriology, epidemiology and clinical features. Acta Vet. Scand. 2007, 49, 23. [Google Scholar] [CrossRef] [PubMed]
- Ballingall, K.T.; Tassi, R.; Gordon, J.; Currie, C.; Dun, K.; Miller, N.; Silva, N. Novel sequence types and low levels of antimicrobial resistance associated with clinical mastitis in sheep flocks across Scotland. J Dairy Res. 2024, 91, 305–310. [Google Scholar] [CrossRef]
- Iancu, I.; Igna, V.; Popa, S.A.; Imre, K.; Pascu, C.; Costinar, L.; Degi, J.; Gligor, A.; Iorgoni, V.; Badea, C.; et al. Etiology and antimicrobial resistance of subclinical mastitis pathogens Staphylococcus aureus, Streptococcus spp. and Enterococcus spp. in sheep milk. Vet. Res. Commun. 2024, 49, 30. [Google Scholar] [CrossRef]
- Ergene, O.; Baloglu, H.; Haciogullari, V.; Çolakoğlu, H.E. Prevalence of subclinical mastitis in sheep, etiological agents, and antimicrobial susceptibility in Northern Cyprus. Pol. J. Vet. Sci. 2025, 28, 203–211. [Google Scholar] [CrossRef]
- Gharaibeh, M.H.; Mahafzah, T.A.; Abu-Qatouseh, L.F.; Khanfar, M.; Abdulmawjood, A. Molecular characterization and antimicrobial-resistance gene profile of Staphylococcus aureus strains isolated from ovine mastitis in Jordan. Vet. World 2025, 18, 270–279. [Google Scholar] [CrossRef]
- Giacinti, G.; Carfora, V.; Caprioli, A.; Sagrafoli, D.; Marri, N.; Giangolini, G.; Amoruso, R.; Iurescia, M.; Stravino, F.; Dottarelli, S.; et al. Prevalence and characterization of methicillin-resistant Staphylococcus aureus carrying mecA or mecC and methicillin-susceptible Staphylococcus aureus in dairy sheep farms in central Italy. J. Dairy Sci. 2017, 100, 7857–7863. [Google Scholar] [CrossRef]
- Kahinda, C.T.M. Mastitis in Small Ruminants. In Mastitis in Dairy Cattle, Sheep and Goats; IntechOpen: London, UK, 2022. [Google Scholar] [CrossRef]
- Zadoks, R.; Fitzpatrick, J. Changing trends in mastitis. Ir. Vet. J. 2009, 62, S59. [Google Scholar] [CrossRef]
- Oliveira, L.; Hulland, C.; Ruegg, P.L. Characterization of clinical mastitis occurring in cows on 50 large dairy herds in Wisconsin. J. Dairy Sci. 2013, 96, 7538–7549. [Google Scholar] [CrossRef]
- Rainard, P.; Foucras, G.; Boichard, D.; Rupp, R. Invited review: Low milk somatic cell count and susceptibility to mastitis. J. Dairy Sci. 2018, 101, 6703–6714. [Google Scholar] [CrossRef] [PubMed]
- Leclercq, R. Mechanisms of resistance to macrolides and lincosamides: Nature of the resistance elements and their clinical implications. Clin. Infect. Dis. 2002, 34, 482–492. [Google Scholar] [CrossRef] [PubMed]
- Saini, V.; McClure, J.T.; Scholl, D.T.; DeVries, T.J.; Barkema, H.W. Herd-level association between antimicrobial use and antimicrobial resistance in bovine mastitis Staphylococcus aureus isolates on Canadian dairy farms. J. Dairy Sci. 2012, 95, 1921–1929. [Google Scholar] [CrossRef]
- Tel, O.Y.; Aslantaş, O.; Keskin, O.; Yilmaz, E.S.; Demir, C. Investigation of the antibiotic resistance and biofilm formation of Staphylococcus aureus strains isolated from gangrenous mastitis of ewes. Acta Vet. Hung. 2012, 60, 189–197. [Google Scholar] [CrossRef] [PubMed]
- Vasileiou, N.G.; Fthenakis, G.C.; Mavrogianni, V.S. Comparison of the efficacy of intramammary or injectable antibiotic administration against staphylococcal mastitis in ewes. Pathogens 2022, 11, 1164. [Google Scholar] [CrossRef]
- Kotzamanidis, C.; Vafeas, G.; Giantzi, V.; Anastasiadou, S.; Mygdalias, S.; Malousi, A.; Loukia, E.; Daniel, S.; Zdragas, A. Staphylococcus aureus Isolated from Ruminants with Mastitis in Northern Greece Dairy Herds: Genetic Relatedness and Phenotypic and Genotypic Characterization. Toxins 2021, 13, 176. [Google Scholar] [CrossRef]
- Ahmed, Z.A.; Yousif, A.A. Isolation, Antimicrobial Susceptibility and Molecular detection of Staphylococcus aureus from clinical mastitis in ewes. Teikyo Med. 2021, 44, 03875547. [Google Scholar]
- Attili, A.R.; Preziuso, S.; Ngwa, V.N.; Cantalamessa, A.; Moriconi, M.; Cuteri, V. Clinical evaluation of the use of enrofloxacin against Staphylococcus aureus clinical mastitis in sheep. Small Rumin. Res. 2016, 136, 72–77. [Google Scholar] [CrossRef]
- Lima, M.C.; de Barros, M.; Scatamburlo, T.M.; Polveiro, R.C.; de Castro, L.K.; Guimarães, S.H.S.; da Costa, S.L.; da Costa, M.M.; Moreira, M.A.S. Profiles of Staphyloccocus aureus isolated from goat persistent mastitis before and after treatment with enrofloxacin. BMC Microbiol. 2020, 20, 127. [Google Scholar] [CrossRef] [PubMed]
- Papadopoulos, P.; Angelidis, A.S.; Papadopoulos, T.; Kotzamanidis, C.; Zdragas, A.; Papa, A.; Filioussis, G.; Sergelidis, D. Staphylococcus aureus and methicillin-resistant S. aureus (MRSA) in bulk tank milk, livestock and dairy-farm personnel in north-central and north-eastern Greece: Prevalence, characterization and genetic relatedness. Food Microbiol. 2019, 84, 103249. [Google Scholar] [CrossRef]
- Obaidat, M.M.; Bani Salman, A.E.; Roess, A.A. High prevalence and antimicrobial resistance of mecA Staphylococcus aureus in dairy cattle, sheep, and goat bulk tank milk in Jordan. Trop. Anim. Health Prod. 2018, 50, 405–412. [Google Scholar] [CrossRef]
- Nelli, A.; Voidarou, C.C.; Venardou, B.; Fotou, K.; Tsinas, A.; Bonos, E.; Fthenakis, G.C.; Skoufos, I.; Tzora, A. Antimicrobial and Methicillin Resistance Pattern of Potential Mastitis-Inducing Staphylococcus aureus and Coagulase-Negative Staphylococci Isolates from the Mammary Secretion of Dairy Goats. Biology 2022, 11, 1591. [Google Scholar] [CrossRef] [PubMed]
- Carfora, V.; Giacinti, G.; Sagrafoli, D.; Marri, N.; Giangolini, G.; Alba, P.; Feltrin, F.; Sorbara, L.; Amoruso, R.; Caprioli, A.; et al. Methicillin-resistant and methicillin-susceptible Staphylococcus aureus in dairy sheep and in-contact humans: An intra-farm study. J. Dairy Sci. 2016, 99, 4251–4258. [Google Scholar] [CrossRef] [PubMed]
- Hanselman, B.A.; Kruth, S.A.; Rousseau, J.; Low, D.E.; Willey, B.M.; McGeer, A.; Weese, J.S. Methicillin-resistant Staphylococcus aureus colonization in veterinary personnel. Emerg. Infect. Dis. 2006, 12, 1933–1938. [Google Scholar] [CrossRef] [PubMed]
- Fessler, A.T.; Olde Riekerink, R.G.; Rothkamp, A.; Kadlec, K.; Sampimon, O.C.; Lam, T.J.; Schwarz, S. Characterization of methicillin-resistant Staphylococcus aureus CC398 obtained from humans and animals on dairy farms. Vet. Microbiol. 2012, 160, 77–84. [Google Scholar] [CrossRef]
- Cuny, C.; Wieler, L.H.; Witte, W. Livestock-Associated MRSA: The Impact on Humans. Antibiotics 2015, 4, 521–543. [Google Scholar] [CrossRef]
- Kluytmans, J.A. Methicillin-resistant Staphylococcus aureus in food products: Cause for concern or case for complacency? Clin. Microbiol. Infect. 2010, 16, 11–15. [Google Scholar] [CrossRef]
- Hiramatsu, K.; Ito, T.; Tsubakishita, S.; Sasaki, T.; Takeuchi, F.; Morimoto, Y.; Katayama, Y.; Matsuo, M.; Kuwahara-Arai, K.; Hishinuma, T.; et al. Genomic Basis for Methicillin Resistance in Staphylococcus aureus. Infect. Chemother. 2013, 45, 117–136. [Google Scholar] [CrossRef] [PubMed]
- Xing, X.; Li, G.; Zhang, W.; Wang, X.; Xia, X.; Yang, B.; Meng, J. Prevalence, antimicrobial susceptibility, and enterotoxin gene detection of Staphylococcus aureus isolates in ready-to-eat foods in Shaanxi, People’s Republic of China. J. Food Prot. 2014, 77, 331–334. [Google Scholar] [CrossRef]
- Howden, B.P.; Giulieri, S.G.; Wong Fok Lung, T.; Baines, S.L.; Sharkey, L.K.; Lee, J.Y.H.; Hachani, A.; Monk, I.R.; Stinear, T.P. Staphylococcus aureus host interactions and adaptation. Nat. Rev. Microbiol. 2023, 21, 380–395. [Google Scholar] [CrossRef]
- Dego, O.K.; Vidlund, J. Staphylococcal mastitis in dairy cows. Front. Vet. Sci. 2024, 11, 1356259. [Google Scholar] [CrossRef]
- Basanisi, M.G.; La Bella, G.; Nobili, G.; Franconieri, I.; La Salandra, G. Genotyping of methicillin-resistant Staphylococcus aureus (MRSA) isolated from milk and dairy products in South Italy. Food Microbiol. 2017, 62, 141–146. [Google Scholar] [CrossRef] [PubMed]
- de Medeiros, J.M.S.; de Lima, F.V.; Abrantes, M.R.; de Gouveia Mendes da Escóssia Pinheiro, C.; da Silva Abreu, A.C.; Crippa, B.L.; Silva, N.C.C.; da Silva, J.B.A. Methicillin-resistant Staphylococcus aureus enterotoxin producers, isolated from the production chain of artisanal Coalho cheese. Int. J. Dairy Technol. 2024, 77, 764–772. [Google Scholar] [CrossRef]
- Pexara, A.; Solomakos, N.; Sergelidis, D.; Angelidis, A.S.; Govaris, A. Occurrence and antibiotic resistance of enterotoxigenic Staphylococcus aureus in raw ovine and caprine milk in Greece. Dairy Sci. Technol. 2016, 96, 345–357. [Google Scholar] [CrossRef]
- Sezzi, E.; Fanelli, R.; Gobbi, D.; Scandurra, P.; Mannucci, V.; Usai, I.; Ragionieri, G.; Mezher, Z.; Fichi, G. An Investigation of Virulence Genes of Staphylococcus aureus in Autologous Vaccines Against Sheep Mastitis. Animals 2024, 14, 3172. [Google Scholar] [CrossRef]
- Scherrer, D.; Corti, S.; Muehlherr, J.E.; Zweifel, C.; Stephan, R. Phenotypic and genotypic characteristics of Staphylococcus aureus isolates from raw bulk-tank milk samples of goats and sheep. Vet. Microbiol. 2004, 101, 101–107. [Google Scholar] [CrossRef]
- Ban-Cucerzan, A.; Morar, A.; Tîrziu, E.; Bucur, I.M.; Popa, S.A.; Imre, K. Bovine Mastitis Therapy at a Crossroads: Pharmacokinetic Barriers, Biofilms, Antimicrobial Resistance, and Emerging Solutions. Pharmaceuticals 2026, 19, 175. [Google Scholar] [CrossRef]
- Idbeis, H.I.; Khudor, M.H. Detection of intracellular adhesion gene (icaA and icaD) and biofilm formation staphylococcus aureus isolates from mastitis milk of sheep and goat. Bas. J. Vet. Res. 2019, 18, 309–327. [Google Scholar] [CrossRef]
- Ibrahim, E.S.; Arafa, A.A.; Dorgam, S.M.; Eid, R.H.; Atta, N.S.; El-Dabae, W.H.; Gaber Sadek, E. Molecular characterization of genes responsible for biofilm formation in Staphylococcus aureus isolated from mastitic cows. Vet. World 2022, 15, 205–212. [Google Scholar] [CrossRef]
- Shekhawat, M.; Nirwan, A.; Bhati, T.; Vyas, J.; Shringi, B.N.; Kataria, A.K. Detection of ICAA and ICAD genes for biofilm production in Staphylococcus aureus isolates from goat mastitis. Indian J. Small Rumin. 2023, 29, 163–166. [Google Scholar] [CrossRef]
- Song, M.; Tang, Q.; Ding, Y.; Tan, P.; Zhang, Y.; Wang, T.; Zhou, C.; Xu, S.; Lyu, M.; Bai, Y.; et al. Staphylococcus aureus and biofilms: Transmission, threats, and promising strategies in animal husbandry. J. Anim. Sci. Biotechnol. 2024, 15, 44. [Google Scholar] [CrossRef] [PubMed]
- Skoufos, I.; Bonos, E.; Anastasiou, I.; Tsinas, A.; Tzora, A. Chapter 18—Effects of phytobiotics in healthy or disease challenged animals. In Feed Additives; Florou-Paneri, P., Christaki, E., Giannenas, I., Eds.; Academic Press: Cambridge, MA, USA, 2020; pp. 311–337. [Google Scholar] [CrossRef]
- Yu, W.; Zhang, Z.; Wang, Z.; Lin, X.; Dong, X.; Hou, Q. Comprehensive Prevention and Control of Mastitis in Dairy Cows: From Etiology to Prevention. Vet. Sci. 2025, 12, 800. [Google Scholar] [CrossRef] [PubMed] [PubMed Central]
- Fotou, K.; Rozos, G.; Zaralis, K.; Dadamogia, A.; Stavropoulou, E.; Demertzis, P.; Akrida-Demertzi, K.; Tzora, A.; Voidarou, C. Pathogens in the Food Chain: Escherichia coli Strains in Raw Milk Originating from Ewes Treated for Mastitis with Various Therapeutic Protocols. Appl. Sci. 2024, 14, 5383. [Google Scholar] [CrossRef]
- Risoen, K.R.; Shaw, C.A.; Weimer, B.C. Nutritional Stress Leads to Persistence and Persister-like Growth in Staphylococcus aureus. Pathogens 2025, 14, 251. [Google Scholar] [CrossRef] [PubMed]
- Tzora, A.; Nelli, A.; Voidarou, C.; Fthenakis, G.; Rozos, G.; Theodorides, G.; Bonos, E.; Skoufos, I. Microbiota “Fingerprint” of Greek Feta Cheese through Ripening. Appl. Sci. 2021, 11, 5631. [Google Scholar] [CrossRef]
- Tzora, A.; Nelli, A.; Voidarou, C.C.; Fotou, K.; Bonos, E.; Rozos, G.; Grigoriadou, K.; Papadopoulos, P.; Basdagianni, Z.; Giannenas, I.; et al. Impact of an Omega-3-Enriched Sheep Diet on the Microbiota and Chemical Composition of Kefalograviera Cheese. Foods 2022, 11, 843. [Google Scholar] [CrossRef]
- CLSI M100-ED29; 2021 Performance Standards for Antimicrobial Susceptibility Testing, 30th ed. CLSI: Wayne, PA, USA, 2020.
- Gajewska, J.; Chajęcka-Wierzchowska, W.; Zadernowska, A. Occurrence and Characteristics of Staphylococcus aureus Strains along the Production Chain of Raw Milk Cheeses in Poland. Molecules 2022, 27, 6569. [Google Scholar] [CrossRef] [PubMed]
- Krumperman, P.H. Multiple antibiotic resistance indexing of Escherichia coli to identify high-risk sources of fecal contamination of foods. Appl. Environ. Microbiol. 1983, 46, 165–170. [Google Scholar] [CrossRef]
- Swenson, J.M.; Tenover, F.C.; Cefoxitin Disk Study Group. Results of disk diffusion testing with cefoxitin correlate with presence of mecA in Staphylococcus spp. J. Clin. Microbiol. 2005, 43, 3818–3823. [Google Scholar] [CrossRef]
- Majhi, S.; Dash, M.; Mohapatra, D.; Mohapatra, A.; Chayani, N. Detection of inducible and constitutive clindamycin resistance among Staphylococcus aureus isolates in a tertiary care hospital, Eastern India. Avicenna J. Med. 2016, 6, 75–80. [Google Scholar] [CrossRef]
- Fujikawa, H.; Igarashi, H. Rapid latex agglutination test for detection of staphylococcal enterotoxins A to E that uses high-density latex particles. Appl. Environ. Microbiol. 1988, 54, 2345–2348. [Google Scholar] [CrossRef]
- Wiśniewski, P.; Gajewska, J.; Zadernowska, A.; Chajęcka-Wierzchowska, W. Identification of the Enterotoxigenic Potential of Staphylococcus spp. from Raw Milk and Raw Milk Cheeses. Toxins 2023, 16, 17. [Google Scholar] [CrossRef]
- Stepanovic, S.; Vukovic, D.; Dakic, I.; Savic, B.; Svabic-Vlahovic, M. A modified microtiter-plate test for quantification of staphylococcal biofilm formation. J. Microbiol. Methods 2000, 40, 175–179. [Google Scholar] [CrossRef] [PubMed]
- Kouidhi, B.; Zmantar, T.; Hentati, H.; Bakhrouf, A. Cell surface hydrophobicity, biofilm formation, adhesives properties and molecular detection of adhesins genes in Staphylococcus aureus associated to dental caries. Microb. Pathog. 2010, 49, 14–22. [Google Scholar] [CrossRef]
- Ersanli, C.; Tzora, A.; Skoufos, I.; Fotou, K.; Maloupa, E.; Grigoriadou, K.; Voidarou, C.; Zeugolis, D.I. The Assessment of Antimicrobial and Anti-Biofilm Activity of Essential Oils against Staphylococcus aureus Strains. Antibiotics 2023, 12, 384. [Google Scholar] [CrossRef] [PubMed]
- Christensen, G.D.; Simpson, W.A.; Younger, J.J.; Baddour, L.M.; Barrett, F.F.; Melton, D.M.; Beachey, E.H. Adherence of coagulase-negative staphylococci to plastic tissue culture plates: A quantitative model for the adherence of staphylococci to medical devices. J. Clin. Microbiol. 1985, 22, 996–1006. [Google Scholar] [CrossRef]
- Oliveira, D.C.; de Lencastre, H. Multiplex PCR strategy for rapid identification of structural types and variants of the mec element in methicillin-resistant Staphylococcus aureus. Antimicrob. Agents Chemother. 2002, 46, 2155–2161. [Google Scholar] [CrossRef] [PubMed]
- Stegger, M.; Andersen, P.S.; Kearns, A.; Pichon, B.; Holmes, M.A.; Edwards, G.; Laurent, F.; Teale, C.; Skov, R.; Larsen, A.R. Rapid detection, differentiation and typing of methicillin-resistant Staphylococcus aureus harbouring either mecA or the new mecA homologue mecA(LGA251). Clin. Microbiol. Infect. 2012, 18, 395–400. [Google Scholar] [CrossRef] [PubMed]





| Group | Experimental Group Classification a | Clinical Status | Sampling Timepoint | Treatment | n b | Notes | |
|---|---|---|---|---|---|---|---|
| Group A | A | Clinically healthy udders | Baseline/control sampling | None | 100 | Control group | |
| Group B | B | Clinical mastitis | Before treatment | Not yet treated | 200 | Pre-treatment mastitis group | |
| B1 | Clinical mastitis | Before treatment | Protocol 1 c | Penicillin G/dihydrostreptomycin | 100 | Subgroup of Group B | |
| B2 | Clinical mastitis | Before treatment | Protocol 2 d | Oxytetracycline | 50 | Subgroup of Group B | |
| B3 | Clinical mastitis | Before treatment | Protocol 3 e | Enrofloxacin | 50 | Subgroup of Group B | |
| Group C | C1 | Post-treatment, corresponding to B1 animals | First eligible milking after withdrawal period | Protocol 1 | Penicillin G/dihydrostreptomycin | 100 | Same animals as B1 |
| C2 | Post-treatment, corresponding to B2 animals | First eligible milking after withdrawal period | Protocol 2 | Oxytetracycline | 50 | Same animals as B2 | |
| C3 | Post-treatment, corresponding to B3 animals | First eligible milking after withdrawal period | Protocol 3 | Enrofloxacin | 50 | Same animals as B3 | |
| Experimental Group * | n | No Growth (0 **), n (%) | Detected <1.00, n (%) | Quantified ≥1.00, n (%) | Detected (Any), n (%) | Quantified Load (≥1.00 Only), Median (IQR ***); n |
|---|---|---|---|---|---|---|
| A (controls; clinically healthy udders) | 100 | 77 (77.0) | 3 (3.0) | 20 (20.0) | 23 (23.0) | 2.06 (1.00–2.22); 20 |
| B1 | 100 | 70 (70.0) | 8 (8.0) | 22 (22.0) | 30 (30.0) | 2.55 (2.31–3.33); 22 |
| C1 | 100 | 78 (78.0) | 9 (9.0) | 13 (13.0) | 22 (22.0) | 2.10 (1.58–2.54); 13 |
| B2 | 50 | 39 (78.0) | 5 (10.0) | 6 (12.0) | 11 (22.0) | 2.37 (2.09–2.69); 6 |
| C2 | 50 | 39 (78.0) | 5 (10.0) | 6 (12.0) | 11 (22.0) | 2.39 (2.06–2.74); 6 |
| B3 | 50 | 38 (76.0) | 2 (4.0) | 10 (20.0) | 12 (24.0) | 1.94 (1.00–2.06); 10 |
| C3 | 50 | 40 (80.0) | 3 (6.0) | 7 (14.0) | 10 (20.0) | 2.10 (1.98–2.27); 7 |
| Antimicrobial Agent | Experimental Group | ||||||||||||||||||||
|---|---|---|---|---|---|---|---|---|---|---|---|---|---|---|---|---|---|---|---|---|---|
| A a (n b = 22) | B1 (n = 30) | C1 (n = 22) | B2 (n = 11) | C2 (n = 11) | B3 (n = 12) | C3 (n = 7) | |||||||||||||||
| S c | I | R | S | I | R | S | I | R | S | I | R | S | I | R | S | I | R | S | I | R | |
| Mechanism of action: Inhibition of cell wall synthesis (β-lactams) | |||||||||||||||||||||
| BP d | 14 (63.6) | 0 (0.0) | 8 (36.4) | 20 (66.7) | 0 (0.0) | 10 (33.3) | 2 (9.1) | 0 (0.0) | 20 (90.9) | 0 (0.0) | 0 (0.0) | 11 (100.0) | 1 (9.1) | 0 (0.0) | 10 (90.9) | 0 (0.0) | 0 (0.0) | 12 (100.0) | 0 (0.0) | 0 (0.0) | 7 (100.0) |
| AM | 14 (63.6) | 0 (0.0) | 8 (36.4) | 15 (50.0) | 0 (0.0) | 15 (50.0) | 5 (22.7) | 0 (0.0) | 17 (77.3) | 0 (0.0) | 0 (0.0) | 11 (100.0) | 0 (0.0) | 0 (0.0) | 11 (100.0) | 1 (8.3) | 0 (0.0) | 11 (91.7) | 0 (0.0) | 0 (0.0) | 7 (100.0) |
| OX | 17 (77.3) | 0 (0.0) | 5 (22.7) | 24 (80.0) | 0 (0.0) | 6 (20.0) | 13 (59.1) | 0 (0.0) | 9 (40.9) | 11 (100.0) | 0 (0.0) | 0 (0.0) | 11 (100.0) | 0 (0.0) | 0 (0.0) | 9 (75.0) | 0 (0.0) | 3 (25.0) | 6 (85.7) | 0 (0.0) | 1 (14.3) |
| CE | 5 (22.7) | 6 (27.3) | 11 (50.0) | 0 (0.0) | 3 (10.0) | 27 (90.0) | 1 (4.5) | 3 (13.6) | 18 (81.8) | 4 (36.4) | 0 (0.0) | 7 (63.6) | 6 (54.5) | 0 (0.0) | 5 (45.5) | 9 (75.0) | 0 (0.0) | 3 (25.0) | 4 (57.1) | 0 (0.0) | 3 (42.9) |
| CEF | 14 (63.6) | 3 (13.6) | 5 (22.7) | 15 (50.0) | 5 (16.7) | 10 (33.3) | 7 (31.8) | 1 (4.5) | 14 (63.6) | 6 (54.5) | 0 (0.0) | 5 (45.5) | 8 (72.7) | 3 (27.3) | 0 (0.0) | 8 (66.7) | 0 (0.0) | 4 (33.3) | 4 (57.1) | 1 (14.3) | 2 (28.6) |
| CFQ | 21 (95.5) | 0 (0.0) | 1 (4.5) | 26 (86.7) | 0 (0.0) | 4 (13.3) | 17 (77.3) | 0 (0.0) | 5 (22.7) | 9 (81.8) | 0 (0.0) | 2 (18.2) | 10 (90.9) | 0 (0.0) | 1 (9.1) | 9 (75.0) | 0 (0.0) | 3 (25.0) | 6 (85.7) | 0 (0.0) | 1 (14.3) |
| Mechanism of action: Glycopeptides (cell wall synthesis) | |||||||||||||||||||||
| VN | 19 (86.4) | 3 (13.6) | 0 (0.0) | 27 (90.0) | 1 (3.3) | 2 (6.7) | 19 (86.4) | 1 (4.5) | 2 (9.1) | 10 (90.9) | 0 (0.0) | 1 (9.1) | 9 (81.8) | 0 (0.0) | 2 (18.2) | 11 (91.7) | 1 (8.3) | 0 (0.0) | 7 (100.0) | 0 (0.0) | 0 (0.0) |
| TP | 22 (100.0) | 0 (0.0) | 0 (0.0) | 30 (100.0) | 0 (0.0) | 0 (0.0) | 22 (100.0) | 0 (0.0) | 0 (0.0) | 11 (100.0) | 0 (0.0) | 0 (0.0) | 10 (90.9) | 1 (9.1) | 0 (0.0) | 12 (100.0) | 0 (0.0) | 0 (0.0) | 7 (100.0) | 0 (0.0) | 0 (0.0) |
| Mechanism of action: Protein synthesis inhibitors—50S ribosomal subunit | |||||||||||||||||||||
| ER | 15 (68.2) | 1 (4.5) | 6 (27.3) | 28 (93.3) | 1 (3.3) | 1 (3.3) | 22 (100.0) | 0 (0.0) | 0 (0.0) | 8 (72.7) | 0 (0.0) | 3 (27.3) | 8 (72.7) | 0 (0.0) | 3 (27.3) | 12 (100.0) | 0 (0.0) | 0 (0.0) | 7 (100.0) | 0 (0.0) | 0 (0.0) |
| CL | 17 (77.3) | 3 (13.6) | 2 (9.1) | 18 (60.0) | 11 (36.7) | 1 (3.3) | 22 (100.0) | 0 (0.0) | 0 (0.0) | 11 (100.0) | 0 (0.0) | 0 (0.0) | 10 (90.9) | 1 (9.1) | 0 (0.0) | 12 (100.0) | 0 (0.0) | 0 (0.0) | 7 (100.0) | 0 (0.0) | 0 (0.0) |
| CHL | 20 (90.9) | 1 (4.5) | 1 (4.5) | 26 (86.7) | 0 (0.0) | 4 (13.3) | 21 (95.5) | 0 (0.0) | 1 (4.5) | 11 (100.0) | 0 (0.0) | 0 (0.0) | 8 (72.7) | 0 (0.0) | 3 (27.3) | 12 (100.0) | 0 (0.0) | 0 (0.0) | 6 (85.7) | 1 (14.3) | 0 (0.0) |
| Mechanism of action: Protein synthesis inhibitors—30S ribosomal subunit | |||||||||||||||||||||
| TE | 13 (59.1) | 0 (0.0) | 9 (40.9) | 25 (83.3) | 0 (0.0) | 5 (16.7) | 22 (100.0) | 0 (0.0) | 0 (0.0) | 7 (63.6) | 0 (0.0) | 4 (36.4) | 5 (45.5) | 0 (0.0) | 6 (54.5) | 6 (50.0) | 0 (0.0) | 6 (50.0) | 5 (71.4) | 0 (0.0) | 2 (28.6) |
| GE | 20 (90.9) | 1 (4.5) | 1 (4.5) | 30 (100.0) | 0 (0.0) | 0 (0.0) | 22 (100.0) | 0 (0.0) | 0 (0.0) | 11 (100.0) | 0 (0.0) | 0 (0.0) | 11 (100.0) | 0 (0.0) | 0 (0.0) | 12 (100.0) | 0 (0.0) | 0 (0.0) | 7 (100.0) | 0 (0.0) | 0 (0.0) |
| ST | 20 (90.9) | 0 (0.0) | 2 (9.1) | 27 (90.0) | 1 (3.3) | 2 (6.7) | 19 (86.4) | 0 (0.0) | 3 (13.6) | 11 (100.0) | 0 (0.0) | 0 (0.0) | 11 (100.0) | 0 (0.0) | 0 (0.0) | 10 (83.3) | 0 (0.0) | 2 (16.7) | 7 (100.0) | 0 (0.0) | 0 (0.0) |
| TOB | 21 (95.5) | 1 (4.5) | 0 (0.0) | 30 (100.0) | 0 (0.0) | 0 (0.0) | 22 (100.0) | 0 (0.0) | 0 (0.0) | 11 (100.0) | 0 (0.0) | 0 (0.0) | 11 (100.0) | 0 (0.0) | 0 (0.0) | 12 (100.0) | 0 (0.0) | 0 (0.0) | 7 (100.0) | 0 (0.0) | 0 (0.0) |
| QD | 22 (100.0) | 0 (0.0) | 0 (0.0) | 28 (93.3) | 0 (0.0) | 2 (6.7) | 20 (90.9) | 1 (4.5) | 1 (4.5) | 7 (63.6) | 2 (18.2) | 2 (18.2) | 9 (81.8) | 0 (0.0) | 2 (18.2) | 9 (75.0) | 2 (16.7) | 1 (8.3) | 5 (71.4) | 0 (0.0) | 2 (28.6) |
| Mechanism of action: Inhibition of DNA gyrase (fluoroquinolones) | |||||||||||||||||||||
| EN | 16 (72.7) | 4 (18.2) | 2 (9.1) | 30 (100.0) | 0 (0.0) | 0 (0.0) | 22 (100.0) | 0 (0.0) | 0 (0.0) | 11 (100.0) | 0 (0.0) | 0 (0.0) | 11 (100.0) | 0 (0.0) | 0 (0.0) | 11 (91.7) | 0 (0.0) | 1 (8.3) | 3 (42.9) | 0 (0.0) | 4 (57.1) |
| CIP | 18 (81.8) | 1 (4.5) | 3 (13.6) | 29 (96.7) | 1 (3.3) | 0 (0.0) | 20 (90.9) | 2 (9.1) | 0 (0.0) | 11 (100.0) | 0 (0.0) | 0 (0.0) | 11 (100.0) | 0 (0.0) | 0 (0.0) | 11 (91.7) | 1 (8.3) | 0 (0.0) | 4 (57.1) | 0 (0.0) | 3 (42.9) |
| Mechanism of action: Inhibition of tetrahydrofolic acid synthesis | |||||||||||||||||||||
| Tr/Sulf | 19 (86.4) | 0 (0.0) | 3 (13.6) | 30 (100.0) | 0 (0.0) | 0 (0.0) | 22 (100.0) | 0 (0.0) | 0 (0.0) | 9 (81.8) | 0 (0.0) | 2 (18.2) | 11 (100.0) | 0 (0.0) | 0 (0.0) | 12 (100.0) | 0 (0.0) | 0 (0.0) | 5 (71.4) | 0 (0.0) | 2 (28.6) |
| Other agents | |||||||||||||||||||||
| FcA | 20 (90.9) | 0 (0.0) | 2 (9.1) | 29 (96.7) | 0 (0.0) | 1 (3.3) | 21 (95.5) | 0 (0.0) | 1 (4.5) | 11 (100.0) | 0 (0.0) | 0 (0.0) | 10 (90.9) | 0 (0.0) | 1 (9.1) | 12 (100.0) | 0 (0.0) | 0 (0.0) | 5 (71.4) | 0 (0.0) | 2 (28.6) |
| Experimental Group | n a | Antibiotics Tested | MAR b Mean ± SD | MAR Median [“IQR c”] | Weighted MAR d Mean ± SD | Weighted MAR Median [“IQR”] |
|---|---|---|---|---|---|---|
| A | 22 | 20 | 0.157 ± 0.111 | 0.150 [0.100–0.150] | 0.120 ± 0.098 | 0.097 [0.053–0.156] |
| B (pooled pre-treatment) | 51 | 20 | 0.175 ± 0.099 | 0.150 [0.100–0.250] | 0.111 ± 0.080 | 0.083 [0.056–0.135] |
| B1 | 30 | 20 | 0.150 ± 0.103 | 0.150 [0.062–0.188] | 0.091 ± 0.074 | 0.079 [0.034–0.129] |
| C1 | 22 | 20 | 0.207 ± 0.085 | 0.200 [0.150–0.250] | 0.124 ± 0.058 | 0.111 [0.089–0.139] |
| B2 | 10 | 20 | 0.225 ± 0.079 | 0.250 [0.150–0.300] | 0.167 ± 0.092 | 0.173 [0.080–0.221] |
| C2 | 11 | 20 | 0.200 ± 0.045 | 0.200 [0.200–0.225] | 0.132 ± 0.048 | 0.107 [0.103–0.177] |
| B3 | 11 | 20 | 0.200 ± 0.089 | 0.200 [0.150–0.225] | 0.114 ± 0.062 | 0.107 [0.079–0.121] |
| C3 | 7 | 20 | 0.271 ± 0.125 | 0.200 [0.200–0.350] | 0.277 ± 0.164 | 0.222 [0.167–0.373] |
| Class | Comparison Between Experimental Groups | R/N a (%) Group 1 b | R/N (%) Group 2 | p (Holm) | KW p (Class MAR) |
|---|---|---|---|---|---|
| β-lactams | Group A vs. Group B (combined pre-treatment mastitis group) | 17/22 (77.3%) | 50/51 (98.0%) | 0.03331 | 0.0002768 |
| Fluoroquinolones | Group A vs. Group B (combined pre-treatment mastitis group) | 5/22 (22.7%) | 1/51 (2.0%) | 0.02498 | 1.345 × 10−8 |
| Fluoroquinolones | Group B (combined pre-treatment mastitis group) vs. Group C3 | 1/51 (2.0%) | 5/7 (71.4%) | 0.0001065 | 1.345 × 10−8 |
| Other agents | Group B (combined pre-treatment mastitis group) vs. Group C3 | 5/51 (9.8%) | 4/7 (57.1%) | 0.03291 | 0.007963 |
| Phenotypic Screening Index/Genotyping | Experimental Group/Total Number of S. aureus Isolates | ||||||
|---|---|---|---|---|---|---|---|
| A (n a = 22) | B1 (n = 30) | C1 (n = 22) | B2 (n = 11) | C2 (n = 11) | B3 (n = 12) | C3 (n = 7) | |
| OX® (oxacillin MIC resistant) * | 5 b (22.7 b) | 6 (20.0) | 9 (40.9) | 0 (0.0) | 0 (0.0) | 3 (25.0) | 1 (14.3) |
| Cefoxitin_pos (DD zone positive) ** | 4 (18.2) | 5 (16.7) | 6 (27.3) | 3 (27.3) | 3 (27.3) | 4 (33.3) | 2 (28.6) |
| OSAS pos (any OSAS asay positive) *** | 3 (13.6) b | 6 (20.0) | 8 (36.4) | 2 (18.2) | 1 (9.1) | 4 (33.3) | 2 (28.6) |
| PBP2a_pos **** | 4 (18.2) | 11 (36.7) | 16 (72.7) | 3 (27.3) | 1 (9.1) | 4 (33.3) | 2 (28.6) |
| mecA_pos ***** | 3 (13.6) | 10 (33.3) | 12 (54.5) | 5 (45.5) | 2 (18.2) | 5 (41.7) | 3 (42.9) |
| MRSA_screen (composite) | 7 (31.8) | 15 (50.0) | 19 (86.4) | 3 (27.3) | 3 (27.3) | 5 (41.7) | 2 (28.6) |
| MRSA_confirmed (composite) | 3/22 (13.6) | 10/30 (33.3) | 12/22 (54.5) | 3/11 (27.3) | 2/11 (18.2) | 5/12 (41.7) | 2/7 (28.6) |
| Experimental Group | n a | Toxin Serotype | ||||
|---|---|---|---|---|---|---|
| SEA c | SEB | SEC | SED | Enterotoxigenic (≥1 Toxin) d | ||
| A | 22 | 3 b/22 (13.6%) | 2/22 (9.1%) | 4/22 (18.2%) | 2/22 (9.1%) | 8/22 (36.4%) |
| B1 | 30 | 0/30 (0.0%) | 0/30 (0.0%) | 5/30 (16.7%) | 5/30 (16.7%) | 9/30 (30.0%) |
| B2 | 11 | 0/11 (0.0%) | 0/11 (0.0%) | 2/11 (18.2%) | 2/11 (18.2%) | 4/11 (36.4%) |
| B3 | 12 | 0/12 (0.0%) | 0/12 (0.0%) | 2/12 (16.7%) | 1/12 (8.3%) | 3/12 (25.0%) |
| C1 | 22 | 3/22 (13.6%) | 0/22 (0.0%) | 5/22 (22.7%) | 7/22 (31.8%) | 10/22 (45.5%) |
| C2 | 11 | 0/11 (0.0%) | 2/11 (18.2%) | 2/11 (18.2%) | 3/11 (27.3%) | 5/11 (45.5%) |
| C3 | 7 | 1/7 (14.3%) | 1/7 (14.3%) | 3/7 (42.9%) | 4/7 (57.1%) | 6/7 (85.7%) |
Disclaimer/Publisher’s Note: The statements, opinions and data contained in all publications are solely those of the individual author(s) and contributor(s) and not of MDPI and/or the editor(s). MDPI and/or the editor(s) disclaim responsibility for any injury to people or property resulting from any ideas, methods, instructions or products referred to in the content. |
© 2026 by the authors. Licensee MDPI, Basel, Switzerland. This article is an open access article distributed under the terms and conditions of the Creative Commons Attribution (CC BY) license.
Share and Cite
Fotou, K.; Rozos, G.; Nikolaou, K.; Gerokomou, V.; Dadamogia, A.; Vouraki, S.; Demertzis, P.; Akrida-Demertzi, K.; Vasileiou, N.G.C.; Skoufos, I.; et al. Ecological Dynamics of Staphylococcus aureus in Raw Ewe Milk Following Different Mastitis Treatment Protocols. Antibiotics 2026, 15, 388. https://doi.org/10.3390/antibiotics15040388
Fotou K, Rozos G, Nikolaou K, Gerokomou V, Dadamogia A, Vouraki S, Demertzis P, Akrida-Demertzi K, Vasileiou NGC, Skoufos I, et al. Ecological Dynamics of Staphylococcus aureus in Raw Ewe Milk Following Different Mastitis Treatment Protocols. Antibiotics. 2026; 15(4):388. https://doi.org/10.3390/antibiotics15040388
Chicago/Turabian StyleFotou, Konstantina, Georgios Rozos, Konstantina Nikolaou, Vaia Gerokomou, Aikaterini Dadamogia, Sotiria Vouraki, Panagiotis Demertzis, Konstantoula Akrida-Demertzi, Natalia G. C. Vasileiou, Ioannis Skoufos, and et al. 2026. "Ecological Dynamics of Staphylococcus aureus in Raw Ewe Milk Following Different Mastitis Treatment Protocols" Antibiotics 15, no. 4: 388. https://doi.org/10.3390/antibiotics15040388
APA StyleFotou, K., Rozos, G., Nikolaou, K., Gerokomou, V., Dadamogia, A., Vouraki, S., Demertzis, P., Akrida-Demertzi, K., Vasileiou, N. G. C., Skoufos, I., Tzora, A., & Voidarou, C. (2026). Ecological Dynamics of Staphylococcus aureus in Raw Ewe Milk Following Different Mastitis Treatment Protocols. Antibiotics, 15(4), 388. https://doi.org/10.3390/antibiotics15040388

