Sign in to use this feature.

Years

Between: -

Subjects

remove_circle_outline
remove_circle_outline
remove_circle_outline
remove_circle_outline
remove_circle_outline
remove_circle_outline
remove_circle_outline
remove_circle_outline
remove_circle_outline

Journals

remove_circle_outline
remove_circle_outline
remove_circle_outline
remove_circle_outline
remove_circle_outline
remove_circle_outline
remove_circle_outline
remove_circle_outline
remove_circle_outline
remove_circle_outline
remove_circle_outline
remove_circle_outline
remove_circle_outline
remove_circle_outline
remove_circle_outline
remove_circle_outline
remove_circle_outline
remove_circle_outline
remove_circle_outline
remove_circle_outline
remove_circle_outline
remove_circle_outline
remove_circle_outline
remove_circle_outline
remove_circle_outline
remove_circle_outline
remove_circle_outline

Article Types

Countries / Regions

remove_circle_outline
remove_circle_outline
remove_circle_outline
remove_circle_outline
remove_circle_outline
remove_circle_outline
remove_circle_outline
remove_circle_outline

Search Results (2,378)

Search Parameters:
Keywords = Russian Federation

Order results
Result details
Results per page
Select all
Export citation of selected articles as:
40 pages, 42358 KB  
Article
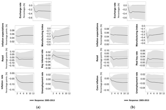
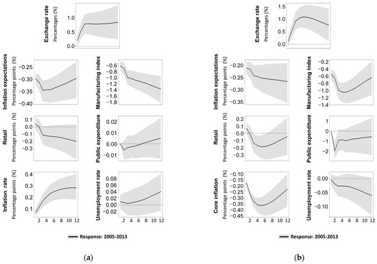
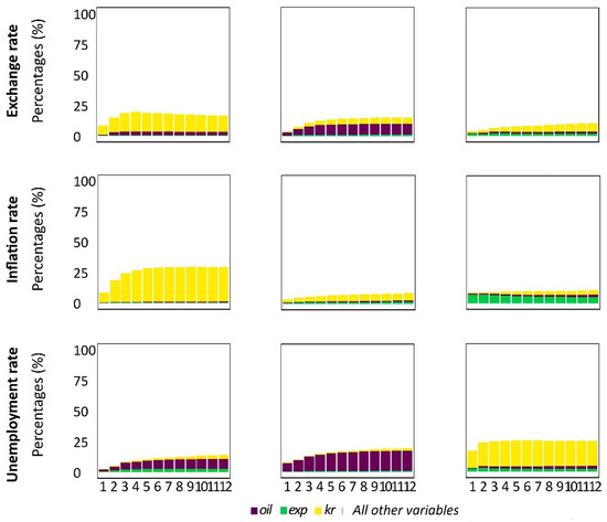
Subsample Analysis of Oil Revenue Shocks and Macroeconomic Policy Transmission
by Ivan Chernykh and Nannan Yu
Systems 2026, 14(2), 133; https://doi.org/10.3390/systems14020133 - 27 Jan 2026
Abstract
This research examines the impact of positive crude oil revenue shocks on Russia’s macroeconomic policy and economic development, analyzes the effects of macroeconomic policy on the economy, and compares these effects across two subsamples (2005–2013 and 2015–2019). The study proves that the full [...] Read more.
This research examines the impact of positive crude oil revenue shocks on Russia’s macroeconomic policy and economic development, analyzes the effects of macroeconomic policy on the economy, and compares these effects across two subsamples (2005–2013 and 2015–2019). The study proves that the full 2005–2019 model fails to capture the transmission responses of policy and macroeconomic variables after the significant structural shift in the post-2014 period, while subsample models each provide a better fit and more accurate results. Our empirical research provides the following insights: First, after 2014, fiscal expansion shifted from an anti-inflationary tool to an inflationary driver as well as a depreciating force on the national currency. Second, after 2014 the monetary policy’s tight stance became explicitly anti-inflationary compared with its direct opposite effects before 2014. Third, after 2014, the central bank’s more dominant inflation-targeting regime tightened the constraints on fiscal policy. Fourth, the Russian Federation’s economic dependence on oil diminished after 2014. Finally, macroeconomic policy (government expenditure and key interest rate) shifted from procyclical to countercyclical in response to oil revenue shocks after 2014. Full article
(This article belongs to the Section Complex Systems and Cybernetics)
Show Figures

Figure 1

16 pages, 1596 KB  
Article
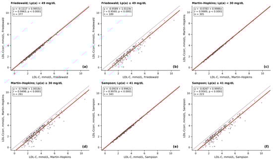
Lipoprotein(a) Concentration and Achieving Target Values of Low-Density Lipoprotein Cholesterol Calculated by Different Equations
by Olga I. Afanasieva, Alexandra V. Tyurina, Elena A. Klesareva, Marat V. Ezhov and Sergei N. Pokrovsky
Diseases 2026, 14(2), 41; https://doi.org/10.3390/diseases14020041 - 27 Jan 2026
Abstract
Background: Low-density lipoprotein cholesterol (LDL-C) is a major cardiovascular risk factor and an indicator of hypolipidemic therapy effectiveness. However, direct and calculated methods for determining “LDL-C” present the sum of the cholesterol in all apoB-containing lipoproteins, including lipoprotein(a) [Lp(a)]. There has been an [...] Read more.
Background: Low-density lipoprotein cholesterol (LDL-C) is a major cardiovascular risk factor and an indicator of hypolipidemic therapy effectiveness. However, direct and calculated methods for determining “LDL-C” present the sum of the cholesterol in all apoB-containing lipoproteins, including lipoprotein(a) [Lp(a)]. There has been an ongoing debate about the correctness of LDL-C in patients with elevated Lp(a) concentrations up to now. The aim of this study was to evaluate the effect of Lp(a) concentration on the LDL-C calculated by different equations. Methods: The study included the results of fasting lipids and Lp(a) concentration of 566 measurements from 283 patients (before and after lipid-lowering therapy prescribing, after exclusion of 17 patients with incomplete data). LDL-C and LDL-C corrected for Lp(a)-cholesterol (LDL-Ccorr) were calculated by Friedewald, Martin–Hopkins, and Sampson equations. Results: We assessed 566 measurements of lipids and Lp(a). The number of values reclassified to a higher risk category was 10% and 13% with Martin–Hopkins and Sampson equations compared to the Friedewald formula. The percentage of Lp(a)-cholesterol (Lp(a)-C) in the LDL-C calculated by three formulas was up to 90% or more depending on the concentration of LDL-C and Lp(a). When stratified by clinically significant LDL-C thresholds, the proportion of values LDL-Ccorr reclassified to a lower risk category ranged from 30 to 59%. Conclusion: Comparison of LDL-C concentrations calculated by Friedewald, Martin–Hopkins, and Sampson equations showed high consistency in patients without elevated triglycerides. The LDLcorr is reasonable to use in patients with Lp(a) concentration ≥ 30 and ≥41 mg/dL when using the Martin–Hopkins and Sampson equations, respectively. These data may help clinicians interpret LDL-C goal attainment in patients with elevated Lp(a) and avoid misclassification driven by the Lp(a)-cholesterol component. Full article
(This article belongs to the Section Cardiology)
Show Figures

Figure 1

27 pages, 2336 KB  
Article
ACE-Dependent Alzheimer’s Disease: Blood ACE Phenotyping of the Most Prevalent and Damaging ACE Missense Mutation—Y215C (rs3730025)
by Anastasiia A. Buianova, Ivan A. Adzhubei, Olga V. Kryukova, Olga A. Kost, Iaroslav V. Mironenko, Alex S. Kozuch, Galit A. Ilyina, Anna A. Kuznetsova, Zhanna A. Repinskaia, Alexey V. Churov, Steven M. Dudek, Denis V. Rebrikov and Sergei M. Danilov
Biomedicines 2026, 14(2), 275; https://doi.org/10.3390/biomedicines14020275 - 26 Jan 2026
Viewed by 28
Abstract
Background: The ACE Y215C mutation is a common, functionally damaging missense variant (~1.5% allele frequency) associated with reduced plasma ACE levels and increased Alzheimer’s disease (AD) risk. In CHO and HEK cell models, this mutation caused a ~3–6-fold decrease in ACE surface [...] Read more.
Background: The ACE Y215C mutation is a common, functionally damaging missense variant (~1.5% allele frequency) associated with reduced plasma ACE levels and increased Alzheimer’s disease (AD) risk. In CHO and HEK cell models, this mutation caused a ~3–6-fold decrease in ACE surface expression, soluble ACE levels, and ACE enzymatic activity compared to those of wild-type ACE. Methods: Circulating ACE levels and activity were measured in EDTA plasma obtained from 84 carriers of the ACE Y215C mutation using a set of mAbs to the ACE. The mAbs 5B3/1G12 binding ratio was revealed as a sensitive marker for the circulating Y215C ACE mutant. Whole-exome and whole-genome sequencing (WES/WGS) were performed to identify genetic variants potentially modifying circulating ACE levels. In parallel, published sequencing and proteomic data from 35,559 Icelanders participants were analyzed to identify genes influencing ACE shedding. Sequence comparison was performed between carriers with elevated and reduced ACE concentrations to identify the potential protective variants that may compensate for decreased ACE levels due to the Y215C mutation itself. Results: Most carriers of the Y215C ACE mutation demonstrated significantly decreased ACE levels (median is 62% of control ACE levels). However, substantial inter-individual variability was observed in plasma ACE activity among carriers. Comparative sequencing analysis revealed 9648 variants unique to individuals with elevated ACE, mapping to 5779 protein-coding genes and enriched for pathways related to intracellular and transmembrane transport. Conclusions: The presence of the damaging ACE mutation Y215C does not invariably result in low plasma ACE or, likely, elevated AD risk. Therefore, combined blood ACE phenotyping and whole-exome sequencing are recommended to more accurately assess ACE-related AD susceptibility in mutation carriers. Full article
(This article belongs to the Section Gene and Cell Therapy)
Show Figures

Figure 1

15 pages, 5694 KB  
Article
Immobilization of Hydroxyapatite on the Surface of Porous Piezoelectric Fluoropolymer Implants for the Improved Stem Cell Adhesion and Osteogenic Differentiation
by Alexander Vorobyev, Igor Akimchenko, Anton Mukhamedshin, Mikhail Konoplyannikov, Yuri Efremov, Peter Timashev, Andrey Zvyagin, Evgeny Bolbasov and Semen Goreninskii
Surfaces 2026, 9(1), 13; https://doi.org/10.3390/surfaces9010013 - 25 Jan 2026
Viewed by 96
Abstract
Owing to their high strength characteristics, chemical stability, and piezoelectric activity, vinylidene fluoride (VDF) copolymers have become promising materials for creating implants to replace bone tissue defects. However, a significant drawback of these materials is the biological inertness of their surface, which leads [...] Read more.
Owing to their high strength characteristics, chemical stability, and piezoelectric activity, vinylidene fluoride (VDF) copolymers have become promising materials for creating implants to replace bone tissue defects. However, a significant drawback of these materials is the biological inertness of their surface, which leads to unsatisfactory integration with the patient’s bone tissue. In this study, we propose a single-step approach for immobilizing hydroxyapatite (HAp) on the surface of porous implants made of vinylidene fluoride and tetrafluoroethylene copolymer (P(VDF-TeFE)). This method consists of treating the surface of the product with a mixture of solvents while simultaneously capturing HAp microparticles. Using scanning electron microscopy (SEM) and energy-dispersive spectroscopy (EDS), it was shown that the proposed method preserves the morphology of model implants (pore diameter and printed line thickness) and allows HAp to cover up to 63 ± 14% of their surface, reaching concentrations of calcium and phosphorus up to 6.0 ± 1.3 and 3.6 ± 0.7 at. %, respectively, imparting superhydrophilic properties to them. Optical profilometry revealed that the surface roughness of samples increased by more than seven times as a result of HAp immobilization. X-ray diffraction analysis (XRD) confirmed that the piezoelectric phase of P(VDF-TeFE) is preserved after treatment, as are the compressive strength characteristics of the samples. Hydroxyapatite immobilization significantly improved the adhesion and osteogenic differentiation of multipotent stem cells cultured with P(VDF-TeFE)-based samples. Thus, the proposed method can significantly enhance the biological activity of implants based on the piezoelectric VDF copolymer. Full article
Show Figures

Figure 1

16 pages, 2660 KB  
Article
The Critical Role of Steroid Regimen for Lung Repair in Experimental Diffuse Alveolar Damage
by Aleksandr Chernov, Georgii Telegin, Evgeny Sinitsyn, Alexey Dmitriev, Viktor Palikov, Vitaly Kazakov, Maksim Rodionov, Igor Rybalkin, Tatiana Vlasik, Alexey Belogurov and Kirill Zykov
Int. J. Mol. Sci. 2026, 27(3), 1199; https://doi.org/10.3390/ijms27031199 - 25 Jan 2026
Viewed by 77
Abstract
Acute respiratory distress syndrome (ARDS) is a common condition among intensive care unit patients and is associated with high mortality. Currently, there are no unified therapeutic strategies, including for the use of systemic glucocorticosteroid (GCS) therapy, in the management of ARDS of various [...] Read more.
Acute respiratory distress syndrome (ARDS) is a common condition among intensive care unit patients and is associated with high mortality. Currently, there are no unified therapeutic strategies, including for the use of systemic glucocorticosteroid (GCS) therapy, in the management of ARDS of various etiologies. Using our previously developed non-surgical and reproducible model of unilateral total diffuse alveolar damage (ARDS/DAD) in the left lung of ICR mice, we investigated the effects of GCS with different durations of action and administration regimens on lung function recovery. Our data show that repeated-course administration of dexamethasone promoted complete normalization of respiratory function, as well as restoration of aeration and perfusion of the left lung in mice following ARDS/DAD induction. In contrast, a single administration of the same drug or the use of a prolonged-release formulation, despite exhibiting anti-inflammatory effects, did not provide adequate lung tissue recovery and, in some cases, even exacerbated injury. These results underscore that in ARDS therapy, not just the use but the specific dosing regimen of glucocorticoids is critically important for driving complete functional and structural lung repair. Full article
(This article belongs to the Special Issue Advances in Lung Research: From Mechanisms to Therapeutic Innovation)
Show Figures

Figure 1

9 pages, 717 KB  
Communication
HIV-1 Genetic Diversity and Drug Resistance Mutation Profiles in Donetsk, Luhansk and Zaporizhzhia Regions
by Anastasiia Antonova, Anatolii Vinokurov, Daria Kustova, Andrei Pochtovyi, Daria Ogarkova, Anna Kuznetsova, Ruslan Adgamov, Elena Tsyganova, Inna Kulikova, Andrei Plutnitskii, Aleksandr Gintsburg, Vladimir Gushchin and Aleksei Mazus
Viruses 2026, 18(1), 147; https://doi.org/10.3390/v18010147 - 22 Jan 2026
Viewed by 175
Abstract
The first major HIV outbreak in the Eastern Europe and Central Asia (EECA) region was registered. Phylogeographic analysis revealed that the main exporters of the virus were Donetsk and Lugansk, from which most migration events occurred, and the predominant genetic variant in Donetsk [...] Read more.
The first major HIV outbreak in the Eastern Europe and Central Asia (EECA) region was registered. Phylogeographic analysis revealed that the main exporters of the virus were Donetsk and Lugansk, from which most migration events occurred, and the predominant genetic variant in Donetsk was subtype A. However, despite a relatively high level of understanding of HIV genetic diversity, data on resistance mutations remain limited. The aim of this study is to assess HIV genetic diversity and drug resistance in Donetsk, Luhansk and Zaporizhzhia regions. A comprehensive examination was conducted, encompassing 392 sequences covering the integrase-coding region of the HIV-1 pol gene. Subtyping was achieved through various programs, including COMET, the Stanford Database, BLAST and REGA. The study also involved phylogenetic analysis to clarify HIV genovariants. The profiles and levels of drug resistance were determined. The overall prevalence of drug resistance mutations to the integrase strand transfer inhibitors (INSTIs) among the studied patients was 3.6% (95% CI, 1.7–5.4%). The most commonly detected major DRMs for INSTIs were G140R (4, 28.6%) and Y143R (3, 21.4%), followed by R263K (2, 14.3%), G140RG (2, 14.3%), Y143YS (2, 14.3%), Y143YC (1, 7.1%) and Q148QR (1, 7.1%). A high-level resistance was observed for RAL—8/14 (57.1%), CAB—6/14 (42.9%) and EVG—2/14 (14.3%). The results presented are part of a further larger study and are preliminary. The results of this study suggest a moderate HIV-1 resistance situation in the Donetsk, Luhansk and Zaporizhzhia regions, but require further monitoring. Full article
(This article belongs to the Section General Virology)
Show Figures

Figure 1

15 pages, 1991 KB  
Article
Development of an mRNA Vaccine for Tick-Borne Encephalitis: Selection of a Prototype Virus Strain
by Maria A. Nikiforova, Vladimir A. Gushchin, Denis A. Kleymenov, Anastasia M. Kocherzhenko, Evgeniia N. Bykonia, Elena P. Mazunina, Sofia R. Kozlova, Leonid I. Russu, Nadezhda A. Kuznetsova, Elena V. Shidlovskaya, Elizaveta V. Marchuk, Evgeny V. Usachev, Olga V. Usacheva, Dmitry V. Shcheblyakov, Irina V. Kozlova, Sergei E. Tkachev, Andrei A. Pochtovyi, Vladimir I. Zlobin, Denis Y. Logunov and Alexander L. Gintsburg
Vaccines 2026, 14(1), 107; https://doi.org/10.3390/vaccines14010107 - 21 Jan 2026
Viewed by 187
Abstract
Background/Objectives: While tick-borne encephalitis virus (TBEV) is genetically relatively conserved, the significant antigenic divergence between its main circulating subtypes hinders the development of broadly effective antiviral treatments and vaccines. Current inactivated TBEV vaccines offer limited cross-protection against heterologous strains, as evidenced by [...] Read more.
Background/Objectives: While tick-borne encephalitis virus (TBEV) is genetically relatively conserved, the significant antigenic divergence between its main circulating subtypes hinders the development of broadly effective antiviral treatments and vaccines. Current inactivated TBEV vaccines offer limited cross-protection against heterologous strains, as evidenced by cases among vaccinated individuals in endemic regions. The aim of this study was to design a candidate mRNA vaccine and evaluate the breadth of protective immunity it elicits. Methods: Ten candidate mRNA-PrM/E-LNP vaccines were comparatively evaluated for immunogenicity and protective efficacy in BALB/c mice. Immunogenicity was assessed by measuring antigen-specific IgG titers via ELISA and neutralizing antibody titers against a panel of TBEV strains using a virus-neutralization test. Protective efficiency was determined in a lethal challenge model, where immunized mice were challenged with one of seven distinct TBEV strains. Results: Vaccination with all tested mRNA-PrM/E-LNP candidates conferred 100% survival in mice following a lethal challenge with each of the seven TBEV strains (100 LD50). The construct mRNA-PrM/E—Krasny Yar-8 demonstrated the highest immunogenicity, inducing antigen-specific antibodies with a geometric mean titer (GMT) of 1:6625, as well as the broadest virus-neutralizing activity against both homologous and heterologous TBEV strains in vitro. Conclusions: The mRNA platform represents a promising strategy for developing TBEV vaccines, demonstrating high immunogenicity and cross-protective efficacy against diverse viral strains. Full article
(This article belongs to the Special Issue Feature Papers of DNA and mRNA Vaccines)
Show Figures

Figure 1

13 pages, 4520 KB  
Communication
Marker-Assisted Selection for Disease Resistance in Potato Breeding in the Ural Region of Russia (2018–2025): Comprehensive Genotyping and Validation of Key Resistance Markers
by Georgiy A. Lihodeevskiy, Elena P. Shanina, Maria A. Stafeeva, Vadim F. Akhmetkhanov and Arina V. Shalaeva
Int. J. Mol. Sci. 2026, 27(2), 855; https://doi.org/10.3390/ijms27020855 - 15 Jan 2026
Viewed by 177
Abstract
Marker-assisted selection (MAS) is a key tool in modern potato breeding for developing resistant varieties. This study aimed to evaluate the efficiency of molecular markers for selecting resistance to major pathogens in Ural (Russian Federation) potato breeding material. From 2018 to 2025, a [...] Read more.
Marker-assisted selection (MAS) is a key tool in modern potato breeding for developing resistant varieties. This study aimed to evaluate the efficiency of molecular markers for selecting resistance to major pathogens in Ural (Russian Federation) potato breeding material. From 2018 to 2025, a total of 1212 hybrids and varieties were genotyped using 12 SCAR (sequence-characterized amplified regions) markers associated with resistance to potato wart (Synchytrium endobioticum), late blight (Phytophthora infestans), cyst nematodes (Globodera spp.), and viruses (PVX, PVY). The most frequent markers were TG689, N127, N195, and NL25. Phenotypic validation on more than 100 hybrids confirmed strong predictive power for NL25, TG689, and N195 markers in selecting resistance to wart disease and nematodes. In contrast, markers Rpi-blb1 and Rpi-sto1 for late blight did not show significant associations in this population. The results demonstrate the high diagnostic value of NL25, TG689, and N195 markers for MAS in Ural breeding programs, supporting their use for efficient selection of resistant genotypes. Full article
(This article belongs to the Special Issue Molecular and Genetic Advances in Plant Breeding)
Show Figures

Figure 1

23 pages, 1740 KB  
Article
Print Exposure Interaction with Neural Tuning on Letter/Non-Letter Processing During Literacy Acquisition: An ERP Study on Dyslexic and Typically Developing Children
by Elizaveta Galperina, Olga Kruchinina, Polina Boichenkova and Alexander Kornev
Languages 2026, 11(1), 15; https://doi.org/10.3390/languages11010015 - 14 Jan 2026
Viewed by 210
Abstract
Background/Objectives: The first step in learning an alphabetic writing system is to establish letter–sound associations. This process is more difficult for children with dyslexia (DYS) than for typically developing (TD) children. Cerebral mechanisms underlying these associations are not fully understood and are [...] Read more.
Background/Objectives: The first step in learning an alphabetic writing system is to establish letter–sound associations. This process is more difficult for children with dyslexia (DYS) than for typically developing (TD) children. Cerebral mechanisms underlying these associations are not fully understood and are expected to change during the training course. This study aimed to identify the neurophysiological correlates and developmental changes of visual letter processing in children with DYS compared to TD children, using event-related potentials (ERPs) during a letter/non-letter classification task. Methods: A total of 71 Russian-speaking children aged 7–11 years participated in the study, including 38 with dyslexia and 33 TD children. The participants were divided into younger (7–8 y.o.) and older (9–11 y.o.) subgroups. EEG recordings were taken while participants classified letters and non-letter characters. We analyzed ERP components (N/P150, N170, P260, P300, N320, and P600) in left-hemisphere regions of interest related to reading: the ventral occipito-temporal cortex (VWFA ROI) and the inferior frontal cortex (frontal ROI). Results: Behavioral differences, specifically lower accuracy in children with dyslexia, were observed only in the younger subgroup. ERP analysis indicated that both groups displayed common stimulus effects, such as a larger N170 for letters in younger children. However, their developmental trajectories diverged. The DYS group showed an age-related increase in the amplitude of early components (N/P150 in VWFA ROI), which contrasts with the typical decrease observed in TD children. In contrast, the late P600 component in the frontal ROI revealed an age-related decrease in the DYS group, along with overall reduced amplitudes compared to their TD peers. Additionally, the N320 component differentiated stimuli exclusively in the DYS group. Conclusions: The data obtained in this study confirmed that the mechanisms of letter recognition in children with dyslexia differ in some ways from those of their TD peers. This atypical developmental pattern involves a failure to efficiently specialize early visual processing, as evidenced by the increasing N/P150. Additionally, there is a progressive reduction in the cognitive resources available for higher-order reanalysis and control, indicated by the decreasing frontal P600. This disruption in neural specialization and automation ultimately hinders the development of fluent reading. Full article
Show Figures

Figure 1

15 pages, 1580 KB  
Article
Electrical Muscle Stimulation with Russian Current in Chronic Cerebral Ischaemia
by Nelly M. A. Artamonova, Alina A. Saveko, Tatiana A. Shigueva, Vladimir V. Kitov, Maria A. Avdeeva, Valentina N. Tsyganova, Tatyana Yu. Orestova, Alla B. Guekht and Elena S. Tomilovskaya
Life 2026, 16(1), 126; https://doi.org/10.3390/life16010126 - 14 Jan 2026
Viewed by 189
Abstract
Objective: To test whether inpatient electrical muscle stimulation (EMS) using Russian current (5 kHz carrier, 50 Hz modulation; 4 s ON/6 s OFF) improves mobility and balance in elderly people with chronic cerebral ischaemia. Design: Prospective single-centre controlled observational pilot, embedded in routine [...] Read more.
Objective: To test whether inpatient electrical muscle stimulation (EMS) using Russian current (5 kHz carrier, 50 Hz modulation; 4 s ON/6 s OFF) improves mobility and balance in elderly people with chronic cerebral ischaemia. Design: Prospective single-centre controlled observational pilot, embedded in routine inpatient rehabilitation; no concealed randomisation (EMS + standard care; sham EMS + standard care; standard care only (control)). Methods: A single-centre controlled observational study with three groups was conducted (EMS n = 27, control n = 10, sham n = 7) with 3–9 sessions over 2 weeks (20 min; quadriceps and calves). Pre/Post Outcomes: Tinetti (balance/gait), Rivermead Mobility Index, Timed Up and Go (TUG), ankle extensor maximal voluntary force (MVF), stabilography (statokinesiogram path length (L), mean velocity of COP (V), sway area (S), and myotonometry; ANOVA, α = 0.05). Ethics approval and informed consent were obtained. Between-group differences in change scores were evaluated descriptively, and no formal hypothesis-testing was planned. Results: EMS showed significant gains versus control/sham—higher Tinetti total and Rivermead scores, faster TUG, higher MVF, and improved stabilography in the eyes-closed condition (reduced L, V, and S), with good tolerability and no serious adverse events (SAEs). Conclusions: Short-course Russian-current EMS is feasible and associated with clinically meaningful improvements in balance, gait, and strength in elderly patients with chronic cerebral ischaemia; however, larger randomised trials are warranted. Full article
Show Figures

Figure 1

12 pages, 1316 KB  
Article
A Screening Method for Determining Left Ventricular Systolic Function Based on Spectral Analysis of a Single-Channel Electrocardiogram Using Machine Learning Algorithms
by Natalia Kuznetsova, Aleksandr Suvorov, Daria Gognieva, Zaki Fashafsha, Dmitrii Podgalo, Dinara Mesitskaya, Dmitry Shchekochikhin, Vsevolod Sedov, Petr Chomakhidze and Philippe Kopylov
Diagnostics 2026, 16(2), 262; https://doi.org/10.3390/diagnostics16020262 - 14 Jan 2026
Viewed by 172
Abstract
Background and Objectives: Given the non-specificity of symptoms and complex methods for diagnosing heart failure, which are not applicable in screening, it is of great importance to develop a simple screening method for identifying systolic dysfunction of the heart based on available biosignals, [...] Read more.
Background and Objectives: Given the non-specificity of symptoms and complex methods for diagnosing heart failure, which are not applicable in screening, it is of great importance to develop a simple screening method for identifying systolic dysfunction of the heart based on available biosignals, one of which is a single-channel electrocardiogram (ECG). The method does not require the participation of medical staff. Aim: To create a screening model for detecting left ventricular systolic dysfunction in a complex analysis of single-channel ECG parameters using machine learning algorithms Methods: We included 624 patients aged 18 to 90 years. All patients underwent echocardiography and single-channel I-lead ECG recording using a portable electrocardiograph. The left ventricle ejection fraction (LV EF) was determined in the apical 2-chamber and 4-chamber view using the BIPLANE Simpson method and confirmed by two independent experts. Single-channel ECG analysis was performed using advanced signal processing and machine learning techniques. Results: For identifying LV EF below 52% in men and below 54% in women, the best result was demonstrated by “Lasso regression”: sensitivity 79.2%, specificity 81.7%, AUC = 0.849. For detection of LVEF below 40%, the “Extra Trees” model was the best, with a sensitivity of 83.1% and a specificity of 82.7%, AUC = 0.972. External testing of the algorithm was conducted on a sample of 600 patients. The accuracy was 98%, specificity 98.4%, and sensitivity 93.5%. Conclusions: The results indicate quite high diagnostic accuracy of screening for left ventricular systolic dysfunction when analyzing single-channel ECG parameters using modern signal processing and machine learning technologies. Full article
(This article belongs to the Section Machine Learning and Artificial Intelligence in Diagnostics)
Show Figures

Graphical abstract

9 pages, 663 KB  
Article
Genetic Diversity of Tick-Borne Encephalitis Virus in Kyrgyzstan
by Leyla H. Shigapova, Irina V. Kozlova, Galya V. Klink, Elena K. Doroshchenko, Olga V. Suntsova, Oksana V. Lisak, Elena I. Shagimardanova, Yuriy P. Dzhioev, Vladimir I. Zlobin and Sergey E. Tkachev
Viruses 2026, 18(1), 107; https://doi.org/10.3390/v18010107 - 13 Jan 2026
Viewed by 251
Abstract
Tick-borne encephalitis virus (TBEV) causes tick-borne encephalitis (TBE), a severe disease of the human central nervous system. Currently, the data on the genetic variants of TBEV in Kyrgyzstan are practically absent. Therefore, the aim of this study was to analyze and describe the [...] Read more.
Tick-borne encephalitis virus (TBEV) causes tick-borne encephalitis (TBE), a severe disease of the human central nervous system. Currently, the data on the genetic variants of TBEV in Kyrgyzstan are practically absent. Therefore, the aim of this study was to analyze and describe the genetic diversity of TBEV in this region. The complete genome sequences of seven TBEV strains from the collection of the Scientific Centre for Family Health and Human Reproduction Problems (Irkutsk, Russia) were determined. These strains, isolated from Ixodes persulcatus ticks from Kyrgyzstan, were sequenced using the next generation sequencing approach on a MiSeq high-performance sequencer (Illumina, San Diego, CA, USA). A molecular genetic analysis of the obtained sequences, along with sequences of two previously isolated TBEV strains from Kyrgyzstan available in the GenBank database, demonstrated that the Siberian subtype of three genetic lineages (Zausaev, Vasilchenko and Bosnia) is predominantly distributed in Kyrgyzstan. The Far Eastern subtype of TBEV is also present. To date, this location probably represents the southernmost boundary of these TBEV subtypes’ ranges. Full article
(This article belongs to the Special Issue Tick-Borne Viruses 2026)
Show Figures

Figure 1

19 pages, 2280 KB  
Article
Age- and Genotype-Associated Specific Expression of IL-1 and TNF Receptors on Immunocompetent Cells
by Julia Zhukova, Julia Lopatnikova, Filipp Vasilyev, Alina Alshevskaya, Darya Lipa and Sergey Sennikov
Int. J. Mol. Sci. 2026, 27(2), 807; https://doi.org/10.3390/ijms27020807 - 13 Jan 2026
Viewed by 156
Abstract
Aging is accompanied by a chronic, low-grade inflammatory state known as “inflammaging,” largely driven by dysregulated signaling of pro-inflammatory cytokines like IL-1 and TNF-α. The biological impact of these cytokines is modulated by the expression of their cellular receptors, which is influenced by [...] Read more.
Aging is accompanied by a chronic, low-grade inflammatory state known as “inflammaging,” largely driven by dysregulated signaling of pro-inflammatory cytokines like IL-1 and TNF-α. The biological impact of these cytokines is modulated by the expression of their cellular receptors, which is influenced by genetic polymorphisms. However, the interplay between age, genetic variation, and cell-type-specific receptor expression remains incompletely characterized. This study aimed to determine the relative and absolute expression levels of IL-1 and TNF receptors on major immunocompetent cell populations in healthy donors of different age groups and to assess the influence of receptor gene polymorphisms on this expression. A cohort of 144 healthy donors was stratified into two age clusters using unsupervised clustering: a “young” group (18–31 years, n = 71) and an “older” group (32–59 years, n = 73). Membrane expression of TNFR1, TNFR2, IL-1R1, and IL-1R2 on T-lymphocytes, B-lymphocytes, and monocytes was analyzed by flow cytometry. The analysis included both the percentage of receptor-positive cells and the number of receptors per cell using absolute quantification with calibration beads. Genotyping for eight SNPs in the TNF1, TNFR2, IL1R1, and IL1R2 genes was performed via PCR-RFLP. The most pronounced age-related differences were observed in monocytes, in which the young cohort exhibited a significantly higher percentage of TNFR1- and TNFR2-positive monocytes, as well as a higher number of IL-1R1 receptors. In contrast, T-lymphocytes from the older cluster showed a higher percentage of TNFR2-positive cells. Genetic polymorphisms significantly modulated receptor expression in an age-dependent manner. For example, in the young cluster, polymorphisms primarily affected receptor levels on B-lymphocytes, whereas in the older cluster, the most significant associations were observed in monocytes. This study reveals significant, cell-specific alterations in the IL-1 and TNF receptor landscapes with age, with monocytes being particularly affected. The observed receptor downregulation in older adults is likely to reflect an active process of ligand-induced desensitization driven by chronic inflammation. Furthermore, genetic polymorphisms exert age-dependent effects on receptor expression, highlighting the dynamic interplay between genetics and immunosenescence. These findings provide a foundation for personalized strategies to mitigate inflammaging. Full article
(This article belongs to the Special Issue Molecular Studies in Aging, 2nd Edition)
Show Figures

Figure 1

17 pages, 1712 KB  
Article
The Level of Antibodies to Tumor-Associated Glycans in Gastric Cancer Patients Is Lower than in Healthy Donors and Reduces with Age
by Maxim P. Nikulin, Alexander D. Lipatnikov, Alexei Yu. Nokel, Svetlana M. Polyakova, Svetlana V. Tsygankova, Galina V. Pazynina, Alexandra V. Semyanikhina, Elena V. Ogorodnikova, Dmitry V. Rogozhin, Olesya M. Rossomakhina, Dmitrii A. Atiakshin, Olga I. Patsap, Ivan S. Stilidi, Nicolai V. Bovin, Igor Buchwalow, Markus Tiemann and Nadezhda V. Shilova
Int. J. Mol. Sci. 2026, 27(2), 800; https://doi.org/10.3390/ijms27020800 - 13 Jan 2026
Viewed by 207
Abstract
A key function of naturally occurring antibodies is to control pathologically altered cells, such as those with aberrant glycosylation. Age-related diminution in the pool of B cells producing these immunoglobulins is linked to impaired anti-tumor immunity. In this study, the levels of antibodies [...] Read more.
A key function of naturally occurring antibodies is to control pathologically altered cells, such as those with aberrant glycosylation. Age-related diminution in the pool of B cells producing these immunoglobulins is linked to impaired anti-tumor immunity. In this study, the levels of antibodies against tumor-associated carbohydrate antigens (TACAs)—common in gastric cancer (GC) and other malignancies—were analyzed in 235 treatment-naïve GC patients (stages I–IV) and 76 healthy donors using a printed glycan array (PGA). We found that anti-glycan IgM levels, but not IgG, reduced with age in both patients and donors. Crucially, IgM levels against most glycans were significantly lower in the GC cohort compared with healthy donors, a trend that remained after age adjustment. Furthermore, an immunohistochemical analysis revealed that human anti-GalNAcα (Tn) antibodies—a well-characterized TACA in gastrointestinal cancers—bound to tumor cells and exhibited perinuclear and membrane staining in non-tumor surface cells within the same organ. These data support the hypothesis that gastric cancer patients have reduced levels of anti-glycan IgMs, which are responsible for the early recognition of transformed cells. This specific immunodeficiency may contribute to a permissive environment for tumor development. Full article
Show Figures

Figure 1

21 pages, 20432 KB  
Article
Assessment of Chronic Multi-Electrode Spinal Cord Electrical Stimulation and Electromyography Platform in Non-Human Primates
by Alena D. Militskova, Vyacheslav. V. Andrianov, Artur R. Biktimirov, Evgeny. V. Gulaev, Tatiana. B. Alfimova, Matthew. O. Shkap, Larisa A. Burachek, Roman V. Panfilov, Dmitry. V. Bulgin, Sergey. V. Zhirnov, Alexander. P. Trashkov, Igor A. Lavrov and Vladimir P. Baklaushev
Biomedicines 2026, 14(1), 166; https://doi.org/10.3390/biomedicines14010166 - 13 Jan 2026
Viewed by 250
Abstract
Background/Objectives: Traumatic spinal cord (SC) injury (SCI) is a debilitating neurological condition. Minimally invasive approaches to monitor in real time the functional state of the neuromotor apparatus in animal models of SCI (at rest and movement) to assess effectiveness of therapy are [...] Read more.
Background/Objectives: Traumatic spinal cord (SC) injury (SCI) is a debilitating neurological condition. Minimally invasive approaches to monitor in real time the functional state of the neuromotor apparatus in animal models of SCI (at rest and movement) to assess effectiveness of therapy are needed in preclinical studies. We aimed to develop such a bioethically acceptable platform for SCI studies on non-human primates (Rhesus macaques). Methods: Epidural and myographic electrode implantation (EI) (wireless and wired, connected via a head plug) was performed. After EI, motor responses caused by electrical stimulation of the SC at the level of the cervical and lumbar thickening were recorded; electromyography of the limb muscles was recorded during quadrupedal movement of the animal on a treadmill with simultaneous assessment of movements’ kinematic parameters. Five weeks after EI, three animals underwent lateral hemisection of the SC in the C4–C5 segment under the control of a surgical microscope and intraoperative recording of motor- and sensory-evoked potentials. Results: Within 30 days after SCI, during treadmill testing, a decrease in electromyographic activity of the limb muscles and the volume of angular movement in the joints on the side of the injury was detected. Electrical stimulation at the L2–S1 segments of the SC at a frequency of 30 Hz led to the appearance of a locomotor pattern in the muscles of the hind limbs and an increase in the range of motion. Conclusions: Our platform can be used for pathophysiological studies of various neuromodulation modes and as a basis for the development of control neurointerfaces. Full article
(This article belongs to the Special Issue Mechanisms and Therapeutic Strategies of Brain and Spinal Cord Injury)
Show Figures

Figure 1

Back to TopTop