Sign in to use this feature.

Years

Between: -

Subjects

remove_circle_outline
remove_circle_outline
remove_circle_outline
remove_circle_outline
remove_circle_outline
remove_circle_outline
remove_circle_outline
remove_circle_outline
remove_circle_outline

Journals

remove_circle_outline
remove_circle_outline
remove_circle_outline
remove_circle_outline
remove_circle_outline
remove_circle_outline
remove_circle_outline
remove_circle_outline
remove_circle_outline

Article Types

Countries / Regions

remove_circle_outline
remove_circle_outline
remove_circle_outline

Search Results (179)

Search Parameters:
Keywords = Ral

Order results
Result details
Results per page
Select all
Export citation of selected articles as:
16 pages, 10332 KB  
Article
Estradiol and Raloxifene Protect Ovariectomized Mice from Acute Kidney Injury via G Protein-Coupled Estrogen Receptor-Mediated Nuclear Factor Erythroid 2-Related Factor 2/Heme Oxygenase-1 Activation
by Yichuan Wang, Yanbo Song, Jingyu Dai, Xinxin Zhang, Lina Zhao, Yihua Mao and Maochao Ding
Int. J. Mol. Sci. 2026, 27(7), 3070; https://doi.org/10.3390/ijms27073070 - 27 Mar 2026
Abstract
Renal ischemia–reperfusion injury (IRI) is a major cause of acute kidney injury. Estradiol (E2) and the selective estrogen receptor modulator raloxifene (RAL) reduce organ dysfunction, potentially via heme oxygenase-1 (HO-1)–mediated antioxidant and anti-inflammatory effects. This study examined whether E2 and RAL protect against [...] Read more.
Renal ischemia–reperfusion injury (IRI) is a major cause of acute kidney injury. Estradiol (E2) and the selective estrogen receptor modulator raloxifene (RAL) reduce organ dysfunction, potentially via heme oxygenase-1 (HO-1)–mediated antioxidant and anti-inflammatory effects. This study examined whether E2 and RAL protect against IRI through G protein-coupled estrogen receptor (GPER)–dependent activation of the nuclear factor erythroid 2-related factor 2 (Nrf2)/HO-1 pathway in ovariectomized (OVX) mice; OVX IRI mice were pretreated for four weeks with E2, RAL, RAL + ML385 (Nrf2 inhibitor), or RAL + G15 (GPER antagonist). Renal histology, inflammatory and oxidative markers, and nuclear Nrf2 levels were assessed; OVX IRI increased interleukin-1β (IL-1β), interleukin-6 (IL-6), tumor necrosis factor-alpha (TNF-α), and malondialdehyde (MDA) and decreased superoxide dismutase (SOD), catalase (CAT), and glutathione (GSH); nuclear Nrf2 was low in sham and OVX IRI groups. E2 and RAL improved renal function and histology, reduced inflammation and oxidative stress, restored GPER expression, increased nuclear Nrf2, and upregulated HO-1 and NAD(P)H:quinone oxidoreductase 1 (NQO1). Co-treatment with ML385 or G15 reversed RAL’s benefits, reduced nuclear Nrf2, and worsened injury; E2 and RAL exert renoprotective effects against OVX-related renal IRI in a manner consistent with GPER-dependent Nrf2 nuclear translocation, which suggests involvement of the downstream antioxidant gene activation pathway. Full article
(This article belongs to the Special Issue Advances in Molecular Research of Kidney Diseases)
Show Figures

Figure 1

20 pages, 4388 KB  
Article
Development and Validation of SEC-UV/HRMS Procedure for Simultaneous Determination of BSA and Its Association Products
by Blaž Hodnik, Žiga Čamič and Matevž Pompe
Molecules 2026, 31(6), 1001; https://doi.org/10.3390/molecules31061001 - 16 Mar 2026
Viewed by 248
Abstract
Monitoring peptide and protein self-association is essential for understanding biological function, formulation stability, and aggregation mechanisms. While size-exclusion chromatography (SEC) is routinely used to quantify protein-size variants under native conditions, its hyphenation to high-resolution mass spectrometry (HRMS) for simultaneous structural characterization remains limited. [...] Read more.
Monitoring peptide and protein self-association is essential for understanding biological function, formulation stability, and aggregation mechanisms. While size-exclusion chromatography (SEC) is routinely used to quantify protein-size variants under native conditions, its hyphenation to high-resolution mass spectrometry (HRMS) for simultaneous structural characterization remains limited. Here, we report the development and validation of a robust SEC-UV/HRMS method optimized for native-like analysis of bovine serum albumin (BSA) monomers and higher-order oligomers using standard-flow electrospray ionization. Systematic evaluation of source parameters, mobile-phase composition, and chromatographic conditions enabled retention of native BSA structure, minimized in-source unfolding, and enhanced MS sensitivity, allowing detection of oligomers up to the heptamer. A short, narrow-bore 200 Å UHPLC SEC separation column was used. Low-flow separations (~0.05 mL/min) enabled efficient ionization and 10 min run times. An accelerated 60 °C stress-testing protocol demonstrated that SEC-MS can semi-quantitatively monitor oligomerization dynamics, complementing UV-based quantification and revealing transient species not resolved by UV alone. The method showed acceptable linearity, precision, and sample stability, and comparison with SEC-RALS/LALS confirmed molecular-weight trends across aggregation states. Overall, the developed SEC-UV/HRMS workflow provides a rapid, sensitive, and widely accessible approach for UV-based quantification of monomer- and HRMS-based characterizing protein aggregation in research and quality control in pharmaceutical laboratories. Full article
(This article belongs to the Special Issue Applied Chemistry in Europe, 2nd Edition)
Show Figures

Graphical abstract

15 pages, 1419 KB  
Review
The Biological Significance of Calmodulin Binding to Lipids
by Danton H. O'Day
Biology 2026, 15(5), 396; https://doi.org/10.3390/biology15050396 - 28 Feb 2026
Viewed by 292
Abstract
In addition to binding to and regulating over 400 different proteins, calmodulin (CaM) also binds to lipids. Binding occurs to the prenylated tails of various small GTPases, to specific lipids in biological membranes and to free lipids in the cytoplasm. Here, CaM binding [...] Read more.
In addition to binding to and regulating over 400 different proteins, calmodulin (CaM) also binds to lipids. Binding occurs to the prenylated tails of various small GTPases, to specific lipids in biological membranes and to free lipids in the cytoplasm. Here, CaM binding to Rac1, RalA, and KRAS4b is covered, emphasizing its importance in protein translocation from the cell membrane to the cytosol and its resultant impact on cell signaling. Binding phosphatidylserine and phosphatidylethanolamine in membranes not only leads to the tethering of CaM, but also to the disruption of lipid bilayers. Binding to sphingolipids also occurs, an event that acts as a competitive inhibitor of CaM function. The mechanism through which CaM binds to lipids is also examined. In total, the current state of affairs regarding calcium-dependent CaM–lipid binding is reviewed, including potential therapeutic uses, setting the stage for future work on this important biological event. Full article
(This article belongs to the Special Issue Interactions Between Membrane Proteins and Membrane Lipids)
Show Figures

Figure 1

18 pages, 3979 KB  
Article
Anti-Inflammatory Effects of Marine-Derived Resorcylic Acid Lactone Derivatives in Ulcerative Colitis via the MAPK/ERK Pathway
by Xuan Zhang, Tuxiang Mo, Yuyue Qin, Meiling Le, Li Tang, Zhao Zhang, Jiling Yi, Fuling Cen, Wanshan Li and Guangying Chen
Mar. Drugs 2026, 24(2), 69; https://doi.org/10.3390/md24020069 - 5 Feb 2026
Viewed by 679
Abstract
Ulcerative colitis (UC) is an inflammatory bowel disease characterized by recurrent inflammation of the colonic mucosa, and there is currently a lack of safe and effective treatment drugs. Resorcylic acid lactones (RALs) are a natural product that have been reported to have anti-inflammatory [...] Read more.
Ulcerative colitis (UC) is an inflammatory bowel disease characterized by recurrent inflammation of the colonic mucosa, and there is currently a lack of safe and effective treatment drugs. Resorcylic acid lactones (RALs) are a natural product that have been reported to have anti-inflammatory effects. However, the mechanism of whether RALs can treat UC and their anti-inflammatory effects remains underexplored. In this study, three new RAL derivatives, Penicillactones A–C (13), along with seven known analogs (410), were isolated from the marine fungus Penicillium sp. HN20. The structures of compounds 13 were elucidated by spectroscopic methods, 13C NMR theoretical calculations, and ECD analysis. Among these, compound 4 exhibited potent anti-inflammatory activity in LPS-stimulated RAW 264.7 macrophages. In a dextran sulfate sodium (DSS)-induced UC model, compound 4 alleviated body weight loss, disease activity, colon shortening, and spleen enlargement, and protected intestinal epithelial integrity. Mechanistic studies revealed that compound 4 primarily exerts its effects by downregulating the Mitogen-Activated Protein Kinase/Extracellular Signal-Regulated Kinase (MAPK/ERK) signaling pathway, inhibiting pro-inflammatory cytokine production. Collectively, these findings provide the first evidence that marine-derived RAL derivatives exert anti-inflammatory effects by inhibiting the MAPK/ERK pathway, highlighting compound 4 as a promising therapeutic candidate for inflammation and UC. Full article
(This article belongs to the Special Issue Pharmacological Potential of Marine Natural Products, 3rd Edition)
Show Figures

Figure 1

12 pages, 240 KB  
Article
Do Cash Transfers Improve Dietary Diversity in Zambia?
by Belinda Tshiula, Waldo Krugell, Johann Jerling and Christine Taljaard-Krugell
Commodities 2026, 5(1), 4; https://doi.org/10.3390/commodities5010004 - 4 Feb 2026
Viewed by 549
Abstract
This paper investigates whether participation in Zambia’s social cash transfer programme (SCTP) improves household dietary diversity among ultra-poor rural households. While cash transfers are widely implemented across sub-Saharan Africa as social protection measures, empirical evidence regarding their impact on nutritional status remains mixed. [...] Read more.
This paper investigates whether participation in Zambia’s social cash transfer programme (SCTP) improves household dietary diversity among ultra-poor rural households. While cash transfers are widely implemented across sub-Saharan Africa as social protection measures, empirical evidence regarding their impact on nutritional status remains mixed. This study focuses on dietary diversity, a proxy for nutrition quality, and uses data from the 2015 Rural Agricultural Livelihood Survey (RALS). The analysis employs propensity score matching to control for demographic differences between recipient and non-recipient households, followed by a regression analysis to examine the association between SCTP participation and dietary diversity scores. The findings reveal no statistically significant association between receiving social cash transfers and higher household dietary diversity. In contrast, positive predictors of dietary diversity included household remittances, own production of animal-source foods, and maize sales. Notably, households that relied on foraging exhibited significantly lower dietary diversity, suggesting foraging may be a coping strategy among food-insecure households. These results imply that while the SCTP may enhance household income stability, it does not necessarily translate into improved diet quality. This study contributes to the ongoing policy debate on the effectiveness of cash-based interventions in improving nutrition outcomes. It highlights the need to complement cash transfers with interventions that support food production and access, particularly in rural settings where market and infrastructure limitations persist. Full article
(This article belongs to the Special Issue Trends and Changes in Agricultural Commodities Markets)
9 pages, 717 KB  
Communication
HIV-1 Genetic Diversity and Drug Resistance Mutation Profiles in Donetsk, Luhansk and Zaporizhzhia Regions
by Anastasiia Antonova, Anatolii Vinokurov, Daria Kustova, Andrei Pochtovyi, Daria Ogarkova, Anna Kuznetsova, Ruslan Adgamov, Elena Tsyganova, Inna Kulikova, Andrei Plutnitskii, Aleksandr Gintsburg, Vladimir Gushchin and Aleksei Mazus
Viruses 2026, 18(1), 147; https://doi.org/10.3390/v18010147 - 22 Jan 2026
Viewed by 700
Abstract
The first major HIV outbreak in the Eastern Europe and Central Asia (EECA) region was registered. Phylogeographic analysis revealed that the main exporters of the virus were Donetsk and Lugansk, from which most migration events occurred, and the predominant genetic variant in Donetsk [...] Read more.
The first major HIV outbreak in the Eastern Europe and Central Asia (EECA) region was registered. Phylogeographic analysis revealed that the main exporters of the virus were Donetsk and Lugansk, from which most migration events occurred, and the predominant genetic variant in Donetsk was subtype A. However, despite a relatively high level of understanding of HIV genetic diversity, data on resistance mutations remain limited. The aim of this study is to assess HIV genetic diversity and drug resistance in Donetsk, Luhansk and Zaporizhzhia regions. A comprehensive examination was conducted, encompassing 392 sequences covering the integrase-coding region of the HIV-1 pol gene. Subtyping was achieved through various programs, including COMET, the Stanford Database, BLAST and REGA. The study also involved phylogenetic analysis to clarify HIV genovariants. The profiles and levels of drug resistance were determined. The overall prevalence of drug resistance mutations to the integrase strand transfer inhibitors (INSTIs) among the studied patients was 3.6% (95% CI, 1.7–5.4%). The most commonly detected major DRMs for INSTIs were G140R (4, 28.6%) and Y143R (3, 21.4%), followed by R263K (2, 14.3%), G140RG (2, 14.3%), Y143YS (2, 14.3%), Y143YC (1, 7.1%) and Q148QR (1, 7.1%). A high-level resistance was observed for RAL—8/14 (57.1%), CAB—6/14 (42.9%) and EVG—2/14 (14.3%). The results presented are part of a further larger study and are preliminary. The results of this study suggest a moderate HIV-1 resistance situation in the Donetsk, Luhansk and Zaporizhzhia regions, but require further monitoring. Full article
(This article belongs to the Section General Virology)
Show Figures

Figure 1

16 pages, 1710 KB  
Article
Tracking Systemic and Ocular Vitamin A
by Diego Montenegro, Jin Zhao, Hyejin Kim, Sihua Cheng and Janet R. Sparrow
Cells 2026, 15(2), 163; https://doi.org/10.3390/cells15020163 - 16 Jan 2026
Viewed by 314
Abstract
Vitamin A in the form of 11-cis-retinaldehyde is the chromophore essential to vision. Thus, deficiencies in vitamin A necessitate the implementation of vitamin A supplementation. Moreover, some vitamin A is lost from the visual cycle due to random reactions that generate [...] Read more.
Vitamin A in the form of 11-cis-retinaldehyde is the chromophore essential to vision. Thus, deficiencies in vitamin A necessitate the implementation of vitamin A supplementation. Moreover, some vitamin A is lost from the visual cycle due to random reactions that generate diretinaldehyde (bisretinoid) molecules; the latter are photoreactive and contribute to retinal disease. Here, we measured the systemic and ocular uptake of vitamin A along with bisretinoid as a function of vitamin A availability when supplied in the diet or by weekly i.p. injection in light- and dark-reared mice. Retinyl palmitate delivered as an i.p. bolus served to elevate plasma ROL but an associated increase in ocular 11-cisRAL was not observed in light- or dark-reared mice. In dark-reared mice, 11-cisRAL was more abundant when retinyl palmitate was provided in chow versus weekly i.p. injection; moreover, by the latter route, retinyl acetate was more effective. Conversely in dark-reared mice given retinyl palmitate by weekly i.p. injection versus chow, ocular atRAL was elevated. Liver atRE was elevated by increased retinyl palmitate in chow; the latter also favored elevated 11-cisRAL in dark-reared mice. In cyclic light-reared mice, ocular stores of atRE were increased by i.p. retinyl palmitate. With dark-rearing, there was no difference in bisretinoid (A2E) with retinyl palmitate in chow, nor by weekly i.p. injection; notably, bisretinoid levels were lower in cyclic light-reared mice due to photooxidative loss. In summary, light modulates the ocular retinoid, plasma atROL does not predict ocular levels of retinoid or bisretinoid and atRAL is elevated with sustained darkness. Full article
Show Figures

Figure 1

29 pages, 4806 KB  
Article
KuRALS: Ku-Band Radar Datasets for Multi-Scene Long-Range Surveillance with Baselines and Loss Design
by Teng Li, Qingmin Liao, Youcheng Zhang, Xinyan Zhang, Zongqing Lu and Liwen Zhang
Remote Sens. 2026, 18(1), 173; https://doi.org/10.3390/rs18010173 - 5 Jan 2026
Viewed by 646
Abstract
Compared to cameras and LiDAR, radar provides superior robustness under adverse conditions, as well as extended sensing range and inherent velocity measurement, making it critical for surveillance applications. To advance research in deep learning-based radar perception technology, several radar datasets have been publicly [...] Read more.
Compared to cameras and LiDAR, radar provides superior robustness under adverse conditions, as well as extended sensing range and inherent velocity measurement, making it critical for surveillance applications. To advance research in deep learning-based radar perception technology, several radar datasets have been publicly released. However, most of these datasets are designed for autonomous driving applications, and existing radar surveillance datasets suffer from limited scene and target diversity. To address this gap, we introduce KuRALS, a range–Doppler (RD)-level radar surveillance dataset designed for learning-based long-range detection of moving targets. The dataset covers aerial (unmanned aerial vehicles), land (pedestrians and cars) and maritime (boats) scenarios. KuRALS is real-measured by two Kurz-under (Ku) band radars and contains two subsets (KuRALS-CW and KuRALS-PD). It consists of RD spectrograms with pixel-wise annotations of categories, velocity and range coordinates, and the azimuth and elevation angles are also provided. To benchmark performance, we develop a lightweight radar semantic segmentation (RSS) baseline model and further investigate various perception modules within this framework. In addition, we propose a novel interference-suppression loss function to enhance robustness against background interference. Extensive experimental results demonstrate that our proposed solution significantly outperforms existing approaches, with improvements of 10.0% in mIoU on the KuRALS-CW dataset and 9.4% on the KuRALS-PD dataset. Full article
Show Figures

Figure 1

19 pages, 4749 KB  
Article
NRas Nanoclusters Mediate Crosstalk Between BRAF/ERK and PI3K/AKT Signaling in Melanoma Cells
by Oren Yakovian, Julia Sajman and Eilon Sherman
Int. J. Mol. Sci. 2025, 26(23), 11647; https://doi.org/10.3390/ijms262311647 - 1 Dec 2025
Viewed by 587
Abstract
Melanocyte signaling through the MAPK pathway is orchestrated by NRas and relayed downstream via multiple effectors, such as RAF, Ral, and PI3K. In spite of their significance, the molecular mechanisms of signaling relay by NRas, their dynamics, and their potential as therapeutic targets [...] Read more.
Melanocyte signaling through the MAPK pathway is orchestrated by NRas and relayed downstream via multiple effectors, such as RAF, Ral, and PI3K. In spite of their significance, the molecular mechanisms of signaling relay by NRas, their dynamics, and their potential as therapeutic targets remain unclear. Using multi-color single molecule localization microscopy (PALM and dSTORM), we resolved the mutual nanoscale organization of NRas, PI3K, and BRAF at the plasma membrane of fixed and live melanoma cells. Surprisingly, NRas and its oncogenic mutation Q61R colocalized with PI3K in mutual nanoclusters, where BRAF was also frequently present. In live cells, NRas and PI3K co-clustering declined, yet persisted over minutes. Clinically relevant perturbations revealed unexpected crosstalk within these nanoclusters and consequently, between the MAPK and PI3K pathways. Specifically, overexpression of the Ras binding domain (RBD) and PI3K inhibition by wortmannin disrupted NRAS-PI3K interactions, and reduced both pAKT and pERK levels and cancer cell proliferation. MEK inhibition with trametinib resulted in similar, yet more pronounced effects. Thus, our findings provide novel insights into NRAS-mediated signaling through nanoscale clusters and underscore their potential as therapeutic targets. Full article
(This article belongs to the Special Issue Melanoma: Molecular Mechanism and Therapy, 2nd Edition)
Show Figures

Figure 1

22 pages, 2308 KB  
Article
Supramolecular Assembly of Cell Wall Anisotropic Scatterers in Triticale Root Apex Reflects Aluminum Stress Response in Contrasting Genotypes
by Małgorzata R. Cyran, Krystyna Rybka, Agnieszka Niedziela, Marek J. Potrzebowski and Sławomir Kaźmierski
Int. J. Mol. Sci. 2025, 26(23), 11519; https://doi.org/10.3390/ijms262311519 - 27 Nov 2025
Viewed by 407
Abstract
Acid soil aluminum (Al) considerably reduces crop productivity. This study examined whether transformation of supramolecular assembly of root cell wall polysaccharides (CWPs) contributes to genotype-specific responses to Al stress in triticale. CWPs were extracted from apical and hairy root segments of two triticale [...] Read more.
Acid soil aluminum (Al) considerably reduces crop productivity. This study examined whether transformation of supramolecular assembly of root cell wall polysaccharides (CWPs) contributes to genotype-specific responses to Al stress in triticale. CWPs were extracted from apical and hairy root segments of two triticale genotypes, differing in Al tolerance. Water-extractable polysaccharides (WEPs) and those extracted with trans-1,2-cyclohexanediaminetetraacetic acid (CDTA) and sodium carbonate (Na2CO3) were analyzed using the multi-detection high-performance size-exclusion chromatography (HPSEC-RI-LALS/RALS-DV-UV-Vis). WEPs most clearly reflected differences between genotypes in macromolecular organization and Al-induced modification. Both root segments contained high molar mass (HM) subunits of WEPs with distinct anisotropic light scatterer (AS) domains. AS domains of a tolerant genotype were symmetrically elongated and branched, whereas those of a sensitive one were asymmetrically elongated with a spherical shape. In both genotypes, Al stress induced an association of apical HM subunits to higher molar mass forms, but in a different manner. The tolerant genotype maintained branched AS domain architecture by forming separate HM subunits that prevented Al infiltration. In contrast, the sensitive genotype showed complete merging of all HM subunits into a micro gel structure, leading to AS surface degradation. These findings provide novel insight into the role of root AS domains and supramolecular cell wall organization in plant adaptation to abiotic stress. Full article
(This article belongs to the Section Macromolecules)
Show Figures

Graphical abstract

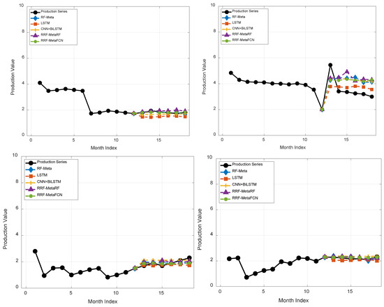
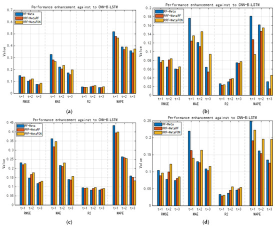
18 pages, 10003 KB  
Article
Meta-Learning Enhanced Random Forest Ensemble for Short-Term Oil Well Production Forecasting
by Guobin Jiang, Guoqing Han, Ming Zhao and Weidong Ma
Processes 2025, 13(12), 3797; https://doi.org/10.3390/pr13123797 - 24 Nov 2025
Viewed by 590
Abstract
Accurate short-term oil production forecasting is critical for national energy security and strategic resource planning. However, in practice, the prevalent reliance on extensive daily production histories for training sophisticated models are often impractical. Consequently, a significant challenge lies in developing stable and precise [...] Read more.
Accurate short-term oil production forecasting is critical for national energy security and strategic resource planning. However, in practice, the prevalent reliance on extensive daily production histories for training sophisticated models are often impractical. Consequently, a significant challenge lies in developing stable and precise forecasting models that utilize inherently limited monthly production data. To address this limitation, a meta-learning architecture is proposed to enhance the temporal representational capacity of ensemble random forests (RFs) for short-term production prediction. Specifically, three innovative meta-ensemble frameworks are introduced and evaluated: (1) independent RF base learners integrated with RF meta-learners, (2) time-embedded sequential RF base learners integrated with RF meta-learners, and (3) time-embedded sequential RF base learners with a fully connected network (FCN) meta-learner. Rigorous validation on a substantial dataset comprising 2558 wells from the Daqing Oilfield, each with fewer than 70 months of available production data, demonstrates the superior efficacy of the meta-learning-enhanced ensembles. Experimental results show that these frameworks significantly outperform established production forecasting methods, including CNN-BiLSTM models that are recognized for their inherent tempo ral correlation capture. The proposed approach achieves a notable 22.3% reduction in Mean Absolute Error (MAE) and a 17.8% improvement in root mean squared error (RMSE) for three-month-ahead forecasts, underscoring its potential for robust production forecasting under data scarcity. Full article
(This article belongs to the Section Energy Systems)
Show Figures

Figure 1

20 pages, 10204 KB  
Article
Synergistic Effects of Anthocyanin-Enriched Morus alba L. Extract and Vitamin C: Promising Nutraceutical Ingredients in Functional Food Development for Neuroprotection
by Nootchanat Mairuae, Jinatta Jittiwat, Kwanjit Apaijit, Parinya Noisa, Gang Bai, Yuanyuan Hou and Nut Palachai
Foods 2025, 14(21), 3630; https://doi.org/10.3390/foods14213630 - 24 Oct 2025
Viewed by 973
Abstract
Oxidative stress-induced mitochondrial dysfunction and apoptosis are critical factors in the pathogenesis of neurodegenerative diseases. This study investigated the synergistic neuroprotective effects of anthocyanin-enriched Morus alba L. extract combined with vitamin C (MAC) against hydrogen peroxide (H2O2)-induced oxidative stress [...] Read more.
Oxidative stress-induced mitochondrial dysfunction and apoptosis are critical factors in the pathogenesis of neurodegenerative diseases. This study investigated the synergistic neuroprotective effects of anthocyanin-enriched Morus alba L. extract combined with vitamin C (MAC) against hydrogen peroxide (H2O2)-induced oxidative stress in SH-SY5Y neuronal cells. Exposure to H2O2 triggered excessive reactive oxygen species (ROS) production and apoptosis, whereas treatment with MAC markedly alleviated these effects. Biochemical analyses revealed that MAC significantly reduced malondialdehyde (MDA) and enhanced the activities of antioxidant enzymes, including catalase (CAT), superoxide dismutase (SOD), and glutathione peroxidase (GSH-Px), thereby contributing to improved redox balance. Furthermore, MAC modulated apoptosis-related signaling by upregulating extracellular signal-regulated kinase (ERK), cAMP response element-binding protein (CREB), and the anti-apoptotic protein B-cell lymphoma 2 (Bcl-2), while downregulating the pro-apoptotic protein Bcl-2-associated X (BAX) and cleaved caspase-3. Collectively, these findings demonstrate that MAC acts synergistically as a promising nutraceutical ingredient, supporting the development of functional foods for the prevention or mitigation of oxidative stress-related neurodegenerative disorders. Full article
Show Figures

Figure 1

13 pages, 624 KB  
Article
Outcomes of a Near-Zero Fluoroscopy and Minimally Invasive Approach in Ablation of Right Free Wall Accessory Pathways in Children
by Cristina Raimondo, Francesco Flore, Antonino Maria Quintilio Alberio, Silvia Garibaldi, Rita Blandino, Nicoletta Cantarutti, Corrado Di Mambro, Massimo Stefano Silvetti and Fabrizio Drago
J. Clin. Med. 2025, 14(17), 6204; https://doi.org/10.3390/jcm14176204 - 2 Sep 2025
Viewed by 1335
Abstract
Background: Right free wall (RFW) accessory pathways (APs) represent a relatively rare form of AP, and transcatheter (TC) ablation of these APs carries high procedural failure rates, both with radiofrequency (RF) and cryoenergy. The aim of this study was to report the [...] Read more.
Background: Right free wall (RFW) accessory pathways (APs) represent a relatively rare form of AP, and transcatheter (TC) ablation of these APs carries high procedural failure rates, both with radiofrequency (RF) and cryoenergy. The aim of this study was to report the outcomes of a minimally invasive approach in non-fluoroscopic 3D TC ablation of RFW APs, comparing cryoenergy and RF. Methods: Between March 2010 and March 2024, 62 consecutive patients with RFW APs underwent transcatheter ablation at our institution with a minimally invasive approach. The ablation results were analyzed and compared. Results: The overall acute success rate was 83.9% [52/62 patients; 25/28 (89.3%) for right lateral (RL) APs, 18/19 (94.7%) for right anterior–lateral (RAL) APs, and 9/15 (60.0%) for right posterior–lateral (RPL) APs, p = 0.014], with very limited fluoroscopy use and no complications. There were no significant differences in the acute success rates between the RF and cryoablation groups (32/37 vs. 20/25, p = 0.506). The median follow-up was 24.8 months (IQR 12.5–49.8), and 16 recurrences (30.8%) were observed (3 in the cryoablation group and 13 in the RF group, p = 0.068). The RAL localization of the AP and age > 12 years were predictors of ablation success in multivariate regression analysis. Conclusions: In children, a minimally invasive 3D TC ablation of RFW APs is a completely safe and quite effective approach, with better results for RAL and RL APs, poorer results for RPL APs, and no significant differences between cryoenergy and RF. Full article
(This article belongs to the Special Issue Clinical Management of Pediatric Heart Diseases)
Show Figures

Figure 1

12 pages, 614 KB  
Article
10-Year Long-Term Outcomes of Robotic-Assisted Segmentectomy for Early-Stage Non-Small-Cell Lung Cancer
by Monica Casiraghi, Riccardo Orlandi, Antonio Mazzella, Lara Girelli, Giovanni Caffarena, Matteo Chiari, Luca Bertolaccini, Giorgio Lo Iacono, Cristina Diotti, Claudia Bardoni, Patrick Maisonneuve and Lorenzo Spaggiari
J. Clin. Med. 2025, 14(16), 5608; https://doi.org/10.3390/jcm14165608 - 8 Aug 2025
Viewed by 1922
Abstract
Objectives: Robotic-assisted segmentectomy (RAS) has proven to be safe and feasible for early-stage lung cancer; nonetheless, its oncologic efficacy and long-term outcomes are still debated. We aimed to explore whether RAS could be an alternative to robotic-assisted lobectomy (RAL) in early-stage NSCLC, focusing [...] Read more.
Objectives: Robotic-assisted segmentectomy (RAS) has proven to be safe and feasible for early-stage lung cancer; nonetheless, its oncologic efficacy and long-term outcomes are still debated. We aimed to explore whether RAS could be an alternative to robotic-assisted lobectomy (RAL) in early-stage NSCLC, focusing on long-term outcomes such as 10-year cancer-specific survival (CSS), cumulative rate of relapse (RR), and local recurrence (LR). Methods: Patients undergoing RAS for early-stage NSCLC (clinical stage I) were analyzed from August 2007 to August 2023. A 1:3 propensity score-matched analysis was performed among patients undergoing RAL, based on demographic characteristics and pathological stage. Primary endpoints were CSS, RR, and LR. Results: A total of 40 patients undergoing RAS were retrospectively enrolled. After matching 120 patients undergoing RAL, no significant differences were found in postoperative complications, median operative time, or length of hospital stay. Patients undergoing RAS had comparable 10-year CSS (p = 0.90) and RR (p = 0.99) to those undergoing RAL, whereas 10-year of cumulative incidence of local recurrence (LR) was 11.0% (95% CI: 3.4–23.7%) for RAS patients and 2.8% (95% CI: 0.5–8.9%) for RAL patients (p = 0.08). Additionally, RAL provided a significantly higher number of N1 and N2 lymph node retrievals (p < 0.0001 and 0.06, respectively), as well as a higher number of N2 stations (p = 0.0001). Conclusions: Based on our experiences, even though RAS can ensure excellent long-term outcomes in selected cases of early-stage NSCLC, comparable to RAL, the local recurrence rate was higher in the RAS group. Full article
(This article belongs to the Special Issue Thoracic Surgery: Updates and New Trends)
Show Figures

Figure 1

30 pages, 5311 KB  
Article
Ancient Earth Births: Compelling Convergences of Geology, Orality, and Rock Art in California and the Great Basin
by Alex K. Ruuska
Arts 2025, 14(4), 82; https://doi.org/10.3390/arts14040082 - 22 Jul 2025
Viewed by 2727
Abstract
This article critically considers sample multigenerational oral traditions of Numic-speaking communities known as the Nüümü (Northern Paiute), Nuwu (Southern Paiute), and Newe (Western Shoshone), written down over the last 151 years. Utilizing the GOAT! phenomenological method to compare the onto-epistemologies of Numic peoples [...] Read more.
This article critically considers sample multigenerational oral traditions of Numic-speaking communities known as the Nüümü (Northern Paiute), Nuwu (Southern Paiute), and Newe (Western Shoshone), written down over the last 151 years. Utilizing the GOAT! phenomenological method to compare the onto-epistemologies of Numic peoples with a wide range of data from (G)eology, (O)ral traditions, (A)rchaeology and (A)nthropology, and (T)raditional knowledge, the author analyzed 824 multigenerational ancestral teachings. These descriptions encode multigenerational memories of potential geological, climatic, and ecological observations and interpretations of multiple locations and earth processes throughout the Numic Aboriginal homelands within California and the Great Basin. Through this layered and comparative analysis, the author identified potential convergences of oral traditions, ethnography, ethnohistory, rock art, and geological processes in the regions of California, the Great Basin, and the Colorado Plateau, indicative of large-scale earth changes, cognized by Numic Indigenous communities as earth birthing events, occurring during the Late Pleistocene/Early Holocene to Middle and Late Holocene, including the Late Dry Period, Medieval Climatic Anomaly, and Little Ice Age. Full article
(This article belongs to the Special Issue Advances in Rock Art Studies)
Show Figures

Figure 1

Back to TopTop