Sign in to use this feature.

Years

Between: -

Subjects

remove_circle_outline
remove_circle_outline
remove_circle_outline
remove_circle_outline
remove_circle_outline
remove_circle_outline
remove_circle_outline
remove_circle_outline
remove_circle_outline

Journals

Article Types

Countries / Regions

Search Results (29)

Search Parameters:
Keywords = Polymer Hazard Index

Order results
Result details
Results per page
Select all
Export citation of selected articles as:
20 pages, 3854 KB  
Article
Distribution, Sources, and Ecological Risk Assessment of Microplastics in the Lower Minjiang River
by Liqin Bao, Jiayi Hao and Wenbin Pan
Toxics 2025, 13(12), 1033; https://doi.org/10.3390/toxics13121033 - 29 Nov 2025
Viewed by 303
Abstract
Microplastics, as a pervasive emerging pollutant, pose a critical threat to freshwater ecosystems and have emerged as a pressing global environmental concern. This study employed methods such as microscopic observation and Raman spectroscopy analysis to characterize the abundance, morphology, and polymer composition of [...] Read more.
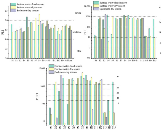
Microplastics, as a pervasive emerging pollutant, pose a critical threat to freshwater ecosystems and have emerged as a pressing global environmental concern. This study employed methods such as microscopic observation and Raman spectroscopy analysis to characterize the abundance, morphology, and polymer composition of microplastics in surface water and sediments from the lower Minjiang River (Fujian Province, China) in July and November 2024. By integrating socioeconomic indicators with water quality parameters, we dissected the pollution sources, and employed the Pollution Load Index (PLI), Polymer Chemical Toxicity Hazard Index (PHI), and Potential Ecological Risk Index (PERI) to quantify ecological risks in the study area. Findings reveal that the lower Minjiang River exhibits moderate microplastic contamination compared to domestic and international river systems, with mean abundances of 19.90 ± 1.56 n/L (flood-season surface water), 22.87 ± 1.32 n/L (dry-season surface water), and 728.17 ± 20.51 n/kg (dry-season sediments). Spatiotemporal dynamics demonstrate significantly higher microplastic loads in dry-season surface water versus flood-season counterparts, and markedly elevated concentrations in sediments relative to water column, underscoring medium-specific contamination gradients. Microplastic particles predominantly comprised transparent fibrous/fragmentary entities <500 μm, with polymeric constituents dominated by PP and PE. Urbanization-driven wastewater discharge emerged as the primary contamination vector. Notably, PLI assessment confirmed moderate pollution, whereas PHI and PERI analyses indicated elevated risks, with highly toxic polymers, such as PVC and PAN, contributing disproportionately to risk indices. Full article
Show Figures

Graphical abstract

21 pages, 2802 KB  
Article
Microplastic Contamination from Ready-to-Cook Clams: Implications for Food Safety and Human Exposure
by Flavia Capuozzo, Angela Dambrosio, Salud Deudero, Michele De Rosa, Federica Ioanna and Nicoletta Cristiana Quaglia
Foods 2025, 14(22), 3971; https://doi.org/10.3390/foods14223971 - 19 Nov 2025
Viewed by 414
Abstract
Microplastic contamination in seafood has emerged as a significant concern for public health and food safety. Bivalve molluscs are especially vulnerable because of their filter-feeding behaviour, leading to the accumulation of different substances in seawater, including contaminants like microplastics. This study examines microplastic [...] Read more.
Microplastic contamination in seafood has emerged as a significant concern for public health and food safety. Bivalve molluscs are especially vulnerable because of their filter-feeding behaviour, leading to the accumulation of different substances in seawater, including contaminants like microplastics. This study examines microplastic contamination by comparing commercially available ready-to-cook frozen and deep-frozen clams, assessing particle morphologies, dimensions, colours, and chemical identities. The Polymer Hazard Index (PHI) derived from the proportions of polymers in the samples and their hazard scores, whereas the Estimated Average Daily Intake (EADI) was determined based on per capita consumption and microplastic counts. The results indicated a significantly higher prevalence of microplastics in deep-frozen clams compared to frozen clams, with 2.58 ± 0.87 and 0.43 ± 0.13, respectively. EADI was estimated at 0.47 and 0.76 MP/kg(bw)/day for deep-frozen clams and frozen clams, respectively (before cooking). Our findings highlight the influence of industrial processing on microplastic contamination, other than the environmental contribution, with considerable implications for human exposure, underscoring the necessity for monitoring initiatives and regulatory policies to reduce microplastic exposure in seafood, thereby safeguarding food safety and public health. Full article
Show Figures

Graphical abstract

18 pages, 1684 KB  
Article
Workplace Exposure to Dust Emissions in Additive Manufacturing with an FFF Method
by Adam Hamrol and Filip Osiński
Processes 2025, 13(11), 3470; https://doi.org/10.3390/pr13113470 - 29 Oct 2025
Viewed by 577
Abstract
This article presents the results of research on dust emissions generated by the additive manufacturing process (3D printing) using an FFF method and its impact on the human work environment. The study utilized filaments from three manufacturers in three color variants: neutral, yellow, [...] Read more.
This article presents the results of research on dust emissions generated by the additive manufacturing process (3D printing) using an FFF method and its impact on the human work environment. The study utilized filaments from three manufacturers in three color variants: neutral, yellow, and black, all made from polylactic acid (PLA), one of the most commonly used polymers in FFF processes. The findings indicated that dust emission levels vary significantly depending on the selection of printing process parameters and the type of filament used. Among the process parameters, the extruder temperature and nozzle diameter have the greatest influence on emission levels. It was shown that at high temperatures and with a small nozzle diameter, the emission level can exceed values hazardous to human health within a short printing time. The maximum recorded Dust Emission Intensity Index (DEII) reached 1058 µg/h when printing with black PLA filament under high-temperature conditions (225 °C, 0.4 mm nozzle). Under these parameters, the predicted dust concentration in a 29 m3 room without ventilation exceeded the WHO limit of 50 µg/m3 for PM10 after approximately 98 min of continuous operation. These results indicate that even desktop-scale FFF printing can pose a measurable risk to indoor air quality when unfavorable process settings are applied. Full article
Show Figures

Figure 1

22 pages, 4854 KB  
Article
Distribution, Characterization and Risk Assessment of Microplastics in Two Rivers in West Central Scotland: The Black Cart Water and White Cart Water
by Daniel E. Enenche, Christine M. Davidson, Walter B. Osungbemiro and John J. Liggat
Environments 2025, 12(10), 342; https://doi.org/10.3390/environments12100342 - 25 Sep 2025
Viewed by 1082
Abstract
Improved understanding of the behaviour of microplastics in freshwater systems is important as rivers are major conduits for the transport of particles from land to sea. This study investigated microplastics in two tributaries of the River Clyde, Scotland, UK, that flow through rural, [...] Read more.
Improved understanding of the behaviour of microplastics in freshwater systems is important as rivers are major conduits for the transport of particles from land to sea. This study investigated microplastics in two tributaries of the River Clyde, Scotland, UK, that flow through rural, suburban and urban areas. Surface water and sediment were obtained from 25 locations in the Black Cart Water and White Cart Water. Microplastics were isolated and characterized by digital microscopy and ATR-FTIR spectroscopy. Particles were found in four water samples, all from the White Cart. Sediment analysis revealed microplastic abundance ranging from 300 to 600 items/kg in the Black Cart and 33.3 to 567 items/kg in the White Cart. Fragments were the most common particle type and white/transparent the most common particle colour. The most common polymers in the Black Cart were PE > PET > PS > PVC > PTFE and in the White Cart PE > PP > PTFE > PET > PA. Identification of some microplastics was challenging because their FTIR spectra did not correspond well to reference spectra of pure polymers. Although the polymer hazard index at some locations was high due to the presence of particles composed of PVC and PA, the ecological risk from microplastics in the Cart river system was generally low. Full article
(This article belongs to the Special Issue Editorial Board Members’ Collection Series: Plastic Contamination)
Show Figures

Figure 1

14 pages, 1329 KB  
Article
High-Mountain Contamination: Microplastic Occurrence and Risk Assessments in Fish from Nero Lake, Italy
by Camilla Mossotto, Serena Anselmi, Tecla Bentivoglio, Alice Gabetti, Giuseppe Esposito, Alessandra Maganza, Antonia Concetta Elia, Monia Renzi, Damià Barceló, Elisabetta Pizzul, Marino Prearo and Paolo Pastorino
Ecologies 2025, 6(4), 64; https://doi.org/10.3390/ecologies6040064 - 24 Sep 2025
Cited by 1 | Viewed by 970
Abstract
Microplastic (MP) pollution is an emerging environmental concern, yet its occurrence in remote high-mountain ecosystems remains poorly understood. This study investigated MP contamination in fish from Nero Lake, an alpine lake in northwestern Italy. Between 2023 and 2024, a total of 33 specimens [...] Read more.
Microplastic (MP) pollution is an emerging environmental concern, yet its occurrence in remote high-mountain ecosystems remains poorly understood. This study investigated MP contamination in fish from Nero Lake, an alpine lake in northwestern Italy. Between 2023 and 2024, a total of 33 specimens of Salmo trutta, Phoxinus lumaireul, and Salvelinus fontinalis were analyzed. MPs were detected in 84% of specimens in 2023 and in 93% in 2024. Filaments were the predominant particle type, while polyethylene, polypropylene, and polyethylene terephthalate were the most common polymers. In 2024, polyamide was also detected and showed the highest Polymer Hazard Index (PHI = 12.22), indicating a high hazard risk (Grade III) and elevated toxicological potential. Contamination Factor values exceeded 10 in S. trutta, and Pollution Load Index values frequently surpassed 1, both suggesting established contamination. However, the limited number of specimens, particularly for P. lumaireul and S. fontinalis, reduces statistical power and increases the risk of Type II errors. Although no significant interspecific differences in MP counts were observed, results should be interpreted with caution. Larger sample sizes are recommended but remain difficult to obtain in alpine environments. These findings highlight the vulnerability of remote lakes to both local and long-range MP pollution sources. Full article
Show Figures

Graphical abstract

16 pages, 2352 KB  
Article
Effect of Dietary Exposure to Low-Density Polyethylene Microplastics and Their Potential Role as Estrogen Vectors In Vivo
by Noura Al-Jandal, Azad Ismail Saheb, Abdulaziz Alkhubaizi, Abrar Akbar, Enas Al-Hasan, Sumaiah Hussain and Hamad Al-Mansour
Curr. Issues Mol. Biol. 2025, 47(9), 701; https://doi.org/10.3390/cimb47090701 - 30 Aug 2025
Viewed by 1458
Abstract
Microplastics (MPs) are a growing environmental concern due to their ability to adsorb hazardous chemicals, such as estrogens, and be ingested by marine organisms. This study focuses on low-density polyethylene (LDPE), a polymer widely used in Kuwait, to assess its role as a [...] Read more.
Microplastics (MPs) are a growing environmental concern due to their ability to adsorb hazardous chemicals, such as estrogens, and be ingested by marine organisms. This study focuses on low-density polyethylene (LDPE), a polymer widely used in Kuwait, to assess its role as a carrier of endocrine-disrupting chemicals (EDCs), specifically estrogens. Biological effects were evaluated using biomarkers such as cytochrome P450 1A (CYP1A) and vitellogenin (Vtg) gene expression. Virgin LDPE MPs were exposed to influent and effluent from a wastewater treatment plant (WWTP) for four weeks to facilitate estrogen absorption. The MPs were then incorporated into fish feed pellets for dietary exposure experiments. Fish were divided into three treatment groups—exposed to either virgin MPs, WWTP-influent MPs, or WWTP-effluent MPs—and monitored over four weeks. The results showed that WWTP-exposed MPs carried detectable levels of estrogen, leading to physiological effects on yellowfin bream. Fish in the control group, which received MP-enriched diets without estrogen, experienced significant weight loss due to nutrient deprivation. In contrast, weight patterns in the treatment groups were influenced by estrogen exposure. The condition factor (CF) decreased across groups during the experiment but remained within acceptable health ranges. A significant reduction in the hepatosomatic index (HSI) was observed in the effluent-exposed group, likely due to lower estrogen levels reducing physiological stress. The findings confirm that LDPE MPs can act as carriers for estrogens, impairing fish growth and metabolism while disrupting biological processes such as cytochrome oxidase function. These results highlight the potential risks of MPs in marine ecosystems and underscore the need for further research to understand their long-term effects. Full article
(This article belongs to the Section Biochemistry, Molecular and Cellular Biology)
Show Figures

Graphical abstract

14 pages, 2036 KB  
Article
Advancing Sustainable PVC Polymerization: Direct Water Recycling, Circularity, and Inherent Safety Optimization
by Rolando Manuel Guardo-Ruiz, Linda Mychell Puello-Castellón and Ángel Darío González-Delgado
Sustainability 2025, 17(16), 7508; https://doi.org/10.3390/su17167508 - 20 Aug 2025
Viewed by 890
Abstract
Polyvinyl chloride (PVC) remains one of the most widely used synthetic polymers worldwide, primarily due to its versatility, cost-effectiveness, and broad applicability across construction, healthcare, automotive, and consumer goods industries. However, its production involves hazardous chemicals, particularly vinyl chloride monomer (VCM), which requires [...] Read more.
Polyvinyl chloride (PVC) remains one of the most widely used synthetic polymers worldwide, primarily due to its versatility, cost-effectiveness, and broad applicability across construction, healthcare, automotive, and consumer goods industries. However, its production involves hazardous chemicals, particularly vinyl chloride monomer (VCM), which requires rigorous safety assessments. In this context, the present study applies the Inherent Safety Index (ISI) methodology to evaluate the safety performance of a suspension polymerization process for PVC production that incorporates direct water recycling as a sustainability measure. The integration of water reuse reduces the fractional water consumption index from 2.8 to 2.2 and achieves a recovered water purity of 99.6%, demonstrating clear environmental benefits in terms of resource conservation. Beyond water savings, the core objective is to assess how this integration influences the inherent risks associated with the process. The key operational stages—polymerization, VCM recovery, product purification, and water recirculation—were modeled and analyzed using computer-aided process engineering (CAPE) tools. The ISI analysis yielded a score of 33, surpassing the threshold typically associated with inherently safer designs, with VCM hazards alone contributing a score of 19 due to its high flammability and carcinogenicity. These findings reveal a critical trade-off between environmental performance and inherent safety, underscoring that resource integration measures, while beneficial for sustainability, may require complementary safety improvements. This study highlights the necessity of incorporating inherently safer design principles alongside process integration strategies to achieve balanced progress in operational efficiency, environmental responsibility, and risk minimization in PVC manufacturing. Full article
Show Figures

Figure 1

14 pages, 2532 KB  
Article
Distribution, Diversity, and Ecological Risks of Microplastics in Mangrove Ecosystems of a Southeastern Chinese Estuary
by Fengrun Wu, Chengyi Zhang, Xueyan Li, Sha Liu, Jinpu Wang and Weiqi Huang
Toxics 2025, 13(6), 494; https://doi.org/10.3390/toxics13060494 - 12 Jun 2025
Cited by 1 | Viewed by 2114
Abstract
Mangrove ecosystems, serving as critical barriers at land–sea interfaces, face increasing threats from microplastic pollution. This study investigates the spatial distribution, diversity, and ecological risks of microplastics in sediments from the Zhangjiang Estuary mangroves, in southeastern China. Sampling was conducted along two gradients: [...] Read more.
Mangrove ecosystems, serving as critical barriers at land–sea interfaces, face increasing threats from microplastic pollution. This study investigates the spatial distribution, diversity, and ecological risks of microplastics in sediments from the Zhangjiang Estuary mangroves, in southeastern China. Sampling was conducted along two gradients: upstream–downstream and interior–edge habitats. The results revealed an average microplastic abundance of 219.5 ± 21.7 items·kg−1, dominated by fragments (53.3%) and fibers (35.0%). Additionally, 27.8% of the particles were in the 63–200 μm range, while 38.3% fell within the 200–500 μm range. A longitudinal decline in abundance from upstream to downstream was observed. Meanwhile, interior habitats exhibited significantly higher microplastic accumulation (292.86 ± 31.49 items·kg−1) than edge zones (142.50 ± 17.87 items·kg−1) (p < 0.05). The diversity index decreased downstream, with higher diversity in interior habitats, likely due to reduced terrestrial microplastic inputs and stronger tidal sorting in those areas. The ecological risk assessments indicated lower risks in Zhangjiang mangroves compared to global counterparts, though risks were elevated in interior habitats due to higher abundances of hazardous polymers (PVC, PS, PE). This study highlights the role of mangroves as microplastic sinks and advocates for multidimensional risk assessments integrating physical characteristics to guide conservation strategies in vulnerable estuarine ecosystems. Full article
Show Figures

Graphical abstract

23 pages, 1042 KB  
Article
Spatial Dynamics and Ecological Risk Assessment of Microplastics in Littoral Sediments of the Sea of Marmara, Türkiye
by Esra Billur Balcıoğlu İlhan
J. Mar. Sci. Eng. 2025, 13(6), 1159; https://doi.org/10.3390/jmse13061159 - 12 Jun 2025
Viewed by 1473
Abstract
Plastic and especially microplastic (MP) pollution has posed a serious threat to the marine environment for decades. Studies on MPs have started to gain momentum especially in the Sea of Marmara (SoM), which is an international waterway, under the pressure of intense maritime [...] Read more.
Plastic and especially microplastic (MP) pollution has posed a serious threat to the marine environment for decades. Studies on MPs have started to gain momentum especially in the Sea of Marmara (SoM), which is an international waterway, under the pressure of intense maritime traffic and exposure to domestic and industrial discharges. The aim of this study was to evaluate the MPs found in surface sediments collected from the coastal area of the SoM according to the locations and to reveal the extent of the existing pollution. This is the first study to examine MPs in both the surface sediments of the entire shorelines of the SoM, which have not been previously reported, and in the surface sediments of Çanakkale Strait. Accordingly, the highest MP abundance was detected at Yenice station (St 15) with 1286 items/kg, and the lowest MP abundance was detected at Turan Village station (St 14) with 199 items/kg. The most dominant shapes across all sampling stations and months were fiber (37%) and fragment (26%), while the most dominant color was blue (35%). According to the polymer characterization results, PE (polyethylene) was found to be the most dominant polymer type. Additionally, most stations were found to have “Moderate” and “High” pollution levels in terms of the contamination factor (CF), and regions were classified as “Moderate” and ‘High’ in terms of the pollution load index (PLI), with the St 15 station specifically exhibiting “Very High” pollution levels. Furthermore, hazard index (HI) and pollution risk index (PRI) values were also calculated regionally, revealing that regions have pollution levels classified as “High”, “Very High”, and even “Dangerous”. This study concluded that there are no areas with low pollution levels in SoM, and that the threat posed by MP pollution in this sea is increasing. Furthermore, this study found that stations with high MP pollution levels are located near river discharges and that rivers significantly contribute to MP pollution in the seas. The findings are of great importance in terms of the need to implement sustainable plans and measures to prevent pollution in the SoM and to take concrete steps to protect and ensure the sustainability of coastal ecosystems, particularly those under serious pollution threats. Full article
(This article belongs to the Special Issue Marine Pollution, Bioremediation and Ecosystem Restoration)
Show Figures

Figure 1

17 pages, 4448 KB  
Article
Flame-Retardant Ionic Conductive Elastomers with Multiple Hydrogen Bonds: Synthesis, Characterization, and Strain Sensing Applications
by Sen Li, Hao Chen, Chen Zhao, Jinlin He and Lijing Zhang
Molecules 2025, 30(8), 1810; https://doi.org/10.3390/molecules30081810 - 17 Apr 2025
Viewed by 748
Abstract
Flammability is a significant challenge in polymer-based strain sensing applications. In addition, the existing intrinsic flame retardant is not elastic at room temperature, which may potentially damage the flexible equipment. This study presents a series of flame-retardant ionic conductive elastomers (ICEs) (denoted as [...] Read more.
Flammability is a significant challenge in polymer-based strain sensing applications. In addition, the existing intrinsic flame retardant is not elastic at room temperature, which may potentially damage the flexible equipment. This study presents a series of flame-retardant ionic conductive elastomers (ICEs) (denoted as PCAIPx) containing phosphorus from phytic acid (PA) and nitrogen from choline chloride (ChCl) with multiple hydrogen bonds synthesized using a simple and efficient one-pot UV-initiated radical copolymerization of a polymerizable deep eutectic solvent (PDES). The limiting oxygen index (LOI) value increased from 24.1% for the pure PCAI without PA to 38.3% for PCAIP7.5. The SEM analysis of the residual char shows that the formation of the dense and continuous char layer effectively worked as a shield, preventing further decomposition of the undecomposed polymer inside while hindering the transmission of heat and mass and isolating the oxygen required for combustion. The hydrogen bonds’ cross-linked structure and phosphorus-containing elastomer demonstrate a superior elasticity (elongation at break of up to 2109%), durability, and tear resistance and excellent adhesive properties. Application of PCAIPX in strain sensors showed that the elastomer has excellent cyclic stability and exhibited repeatable and stable resistance change signals in response to repetitive bending motions of the wrist, fingers, elbow, and knee. Consequently, this study provides a simple strategy for the development of a flame-retardant ICE which can effectively reduce fire hazards and potentially be applied in other fire-risk fields such as personal protection, firefighting, and sports equipment. Full article
(This article belongs to the Special Issue Molecular Insights into Soft Materials)
Show Figures

Graphical abstract

19 pages, 3592 KB  
Article
Assessment of the Hazards Occurring During the Thermal Decomposition and Combustion Process in a Toothed Belt Transmission
by Łukasz Warguła, Piotr Kaczmarzyk, Bartosz Wieczorek, Daniel Małozięć and Anna Dziechciarz
Materials 2025, 18(7), 1637; https://doi.org/10.3390/ma18071637 - 3 Apr 2025
Cited by 1 | Viewed by 768
Abstract
This article demonstrates that machine fires caused by a belt transmission are a fundamental and current research problem. The aim of this work is to identify the hazards during thermal decomposition and combustion of a transmission with a toothed belt, used as a [...] Read more.
This article demonstrates that machine fires caused by a belt transmission are a fundamental and current research problem. The aim of this work is to identify the hazards during thermal decomposition and combustion of a transmission with a toothed belt, used as a drive or conveyor belt to synchronise mechanisms. The analysis distinguished belts in a polyurethane or rubber cushion with a Kevlar, steel, or polyurethane cord. The belts’ composite structure can be a source of unpredictable emissions and toxic substances of varying concentrations and compositions during thermal decomposition and combustion. To evaluate the compared belts, a testing methodology was used to determine the toxicometric indicators (WLC50SM), according to which it was possible to assess the toxicity of the thermal decomposition and combustion products following EU standards. The analysis was carried out based on the recorded emissions of chemical compounds during the thermal decomposition and combustion of polymer materials at three different temperatures (450, 550, and 750 °C). The least favourable toxicometric indicators (WLC50SM) are found in rubber cushion belts, which are very toxic (about 13 g/m3) and toxic (about 40 g/m3) materials. The results show that thermoplastic polyurethane cushion belts are moderately toxic materials, with a WLC50SM index ranging from 411 g/m3 to 598 g/m3. Full article
Show Figures

Figure 1

17 pages, 4173 KB  
Article
Microplastic Pollution and Its Ecological Risks in the Xisha Islands, South China Sea
by Wenchao Wei, Yun Zhang, Licheng Wang, Qiao Xing, Jun Xiang, Yuquan Zhang, Qifei Peng, Yongfu Chen, Yufeng Hu, Yini Ma and Ling Mo
Toxics 2025, 13(3), 205; https://doi.org/10.3390/toxics13030205 - 12 Mar 2025
Cited by 2 | Viewed by 1578
Abstract
China is facing increasing marine microplastic pollution. Despite the fact that the South China Sea is the largest marine area in China, the ecological danger and present state of microplastic contamination in this region have not been systematically and comprehensively investigated. This study [...] Read more.
China is facing increasing marine microplastic pollution. Despite the fact that the South China Sea is the largest marine area in China, the ecological danger and present state of microplastic contamination in this region have not been systematically and comprehensively investigated. This study analyzed the abundance, distribution, and characteristics of microplastics in different environmental media and biological samples from the Xisha Islands in the South China Sea, and then the ecological risk assessment of microplastic pollution in this area was conducted. The findings indicated that the quantities of sediments, soil, water, fish, and birds were 41.56 ± 19.12 items/kg, 92.94 ± 111.05 items/kg, 2.89 ± 1.92 items/L, 2.57 ± 2.12 items/ind, and 1.702 ± 1.50 items/ind, respectively. By evaluating the pollution load index (PLI), polymer hazard index (PHI), and potential ecological risk index (PERI), the PLI of the Xisha Islands in the South China Sea as a whole indicated that the hazard level was slightly polluted, the PHI was at a high-risk level, and the PERI samples were at no risk, except for the soil and seawater, which were at a medium-risk level. Full article
Show Figures

Figure 1

19 pages, 10396 KB  
Article
Synthesis of a Bimetallic-Doped Phytate-Melamine Composite as an Efficient Additive for Epoxy Resins with High Fire Safety
by Shunxiang Wang, Jianfeng Huang, An Wei, Yulian Chen, Xulan Lu, Yongjin Zou, Fen Xu, Lixian Sun, Yunhao Lu and Cuili Xiang
Polymers 2024, 16(24), 3586; https://doi.org/10.3390/polym16243586 - 21 Dec 2024
Cited by 4 | Viewed by 1623
Abstract
The issue of hazardous smoke and toxic gases released from epoxy resins (EP), which often causes casualties in real fires, has limited its application. Therefore, we have developed a novel flame retardant based on a bimetallic-doped phytate-melamine (BPM) structure with Zn2+ and [...] Read more.
The issue of hazardous smoke and toxic gases released from epoxy resins (EP), which often causes casualties in real fires, has limited its application. Therefore, we have developed a novel flame retardant based on a bimetallic-doped phytate-melamine (BPM) structure with Zn2+ and Fe2+ ions incorporated into the polymer matrix using a straightforward solution-based synthetic method. The combustion performance of the composite was evaluated using a cone calorimeter test, which showed that the peak heat release, total heat release, and total smoke production were reduced by 50%, 31.7%, and 29.2%, respectively, compared to those of EP. Additionally, the fire growth index was noticeably reduced by 60% owing to the synergistic catalytic effect of the bimetallic ions, and the high nitrogen and phosphorus content of the additives. Overall, this study provides new insights into the application of bimetallic doping for flame retardant polymer composites. Full article
(This article belongs to the Section Polymer Composites and Nanocomposites)
Show Figures

Figure 1

17 pages, 24883 KB  
Article
Synergistic Effects of Titanium-Based MOFs MIL-125 with Intumescent Flame Retardants in ABS Polymer Composites on Flame Retardancy Study
by Zhuoran Zhang, Yufeng Quan, Ruiqing Shen, Kun-Yu Wang, Hong-Cai Zhou and Qingsheng Wang
Fire 2024, 7(8), 284; https://doi.org/10.3390/fire7080284 - 14 Aug 2024
Cited by 3 | Viewed by 2876
Abstract
The intumescent flame retardant (IFR) technique is an alternative to halogen-based flame retardants for reducing fire hazards in polymers. However, IFR has drawbacks like unsatisfactory flame-retardant efficiency and high loading requirements. In this study, MIL-125 (Ti-based metal–organic framework) is added to ABS/IFR composites [...] Read more.
The intumescent flame retardant (IFR) technique is an alternative to halogen-based flame retardants for reducing fire hazards in polymers. However, IFR has drawbacks like unsatisfactory flame-retardant efficiency and high loading requirements. In this study, MIL-125 (Ti-based metal–organic framework) is added to ABS/IFR composites to improve flame retardancy and reduce smoke emissions. Thermogravimetric analysis (TGA) results indicate that combining ammonium polyphosphate (APP) and expandable graphite (EG) increases charred residue and slows mass loss compared with the original ABS resin. The ABS/IFR/MIL-125 system stabilizes the char layer, serving as a protective shield against combustible gases during combustion. Additionally, MIL-125 enhances performance in microscale combustion calorimetry (MCC) flammability testing. In fire tests (UL-94, limiting oxygen index (LOI), and cone calorimeter), the ABS/IFR/MIL-125 system achieves a UL-94 V0 rating and the highest LOI value of 31.5% ± 0.1%. Peak heat lease rate (PHRR) values in the cone calorimeter are reduced by 72% with 20 wt.% of additives, and smoke production decreases by 53% compared with neat ABS. These results demonstrate the efficient synergistic effects of MIL-125 and IFR additives in improving the formation and stability of the intumescent char layer, thereby protecting ABS from intense burning. Full article
(This article belongs to the Special Issue Fire Hazard of Polymer Composites and Nanocomposites)
Show Figures

Figure 1

14 pages, 3766 KB  
Article
Spatial–Temporal and Risk Assessment of Microplastics in the Surface Water of the Qinhuai River during Different Rainfall Seasons in Nanjing City, China
by Luming Wang, Juan Huang, Yufeng Wu, Xuan Chen, Ming Chen, Hui Jin, Jiawei Yao and Xinyue Wang
Water 2024, 16(13), 1857; https://doi.org/10.3390/w16131857 - 28 Jun 2024
Cited by 4 | Viewed by 2038
Abstract
Microplastics (MPs) are increasingly becoming recognized as worldwide environmental contaminants, exerting a substantial impact on the safety of city rivers. This study explored the temporal variance in MPs in different rainfall seasons, including spring, plum, and autumn rains. The Qinhuai River has large [...] Read more.
Microplastics (MPs) are increasingly becoming recognized as worldwide environmental contaminants, exerting a substantial impact on the safety of city rivers. This study explored the temporal variance in MPs in different rainfall seasons, including spring, plum, and autumn rains. The Qinhuai River has large spatial fluctuations in MPs at six sampling sites, with an average concentration of 466.62 ± 153.69 items/L, and higher MP abundance was found downstream of spring rain and upstream of autumn rain. Among the different rainfall seasons, the variations in microplastics at various sampling sites were more stable in the plum rain season, with an average concentration of 473.67 ± 105.17 items/L, while the concentrations of TP and TN in the plum rain season were higher than those in other rain seasons. Transparent MPs had the highest abundance at many sampling sites in all seasons, and large-sized MPs (270–5000 μm) occurred more in the autumn rain season. PVC was more prevalent in autumn, but PET decreased in the plum rain season. Interestingly, more fibers, PET, and large-sized MPs were found in the autumn rain. The index of hazard scores of plastic polymers (H) revealed that the studied river was at a severe pollution level (IV), which was highly influenced by PVC and PC. In addition, the pollution load index (PLI) value in different rain seasons indicated slight pollution (I). At the same time, it was higher in autumn rains than in other seasons due to the higher variance in MPs. Therefore, the ecological risk of microplastics in the Qinhuai River should be seriously considered, along with seasonal variance and the PVC and PC polymers. Our research is expected to provide valuable assistance in improving the management of urban rivers. Full article
(This article belongs to the Section Water Quality and Contamination)
Show Figures

Figure 1

Back to TopTop