Sign in to use this feature.

Years

Between: -

Subjects

remove_circle_outline
remove_circle_outline
remove_circle_outline
remove_circle_outline
remove_circle_outline
remove_circle_outline
remove_circle_outline

Journals

Article Types

Countries / Regions

Search Results (48)

Search Parameters:
Keywords = Poisson–Nernst–Planck Model

Order results
Result details
Results per page
Select all
Export citation of selected articles as:
31 pages, 9207 KB  
Article
A Model Framework for Ion Channels with Selectivity Filters Based on Non-Equilibrium Thermodynamics
by Christine Keller, Manuel Landstorfer, Jürgen Fuhrmann and Barbara Wagner
Entropy 2025, 27(9), 981; https://doi.org/10.3390/e27090981 - 20 Sep 2025
Viewed by 306
Abstract
A thermodynamically consistent model framework to describe ion transport in nanopores is presented. The continuum model unifies electro-diffusion and selective ion transport and extends the classical Poisson–Nernst–Planck (PNP) system for an idealized incompressible mixture by including finite ion size and solvation effects. Special [...] Read more.
A thermodynamically consistent model framework to describe ion transport in nanopores is presented. The continuum model unifies electro-diffusion and selective ion transport and extends the classical Poisson–Nernst–Planck (PNP) system for an idealized incompressible mixture by including finite ion size and solvation effects. Special emphasis is placed on the consistent modeling of the selectivity filter within the pore. It is treated as an embedded domain in which the constituents can change their chemical properties and mobility. Using this framework, we achieve good agreement with an experimentally observed current–voltage (IV) characteristic for an L-type selective calcium ion channel for a range of ion concentrations. In particular, we show that the model captures the experimentally observed anomalous mole fraction effect (AMFE). As a result, we find that calcium and sodium currents depend on the surface charge in the selectivity filter, the mobility of ions and the available space in the channel. Our results show that negative charges within the pore have a decisive influence on the selectivity of divalent over monovalent ions, supporting the view that AMFE can emerge from competition and binding effects in a multi-ion environment. Furthermore, the flexibility of the model allows its application in a wide range of channel types and environmental conditions, including both biological ion channels and synthetic nanopores, such as engineered membrane systems with selective ion transport. Full article
(This article belongs to the Special Issue Mathematical Modeling for Ion Channels)
Show Figures

Figure 1

16 pages, 418 KB  
Article
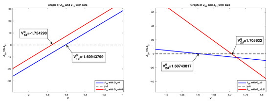
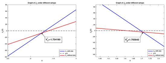
Numerical Approach to Poisson–Nernst–Planck Models with Nonzero Permanent Charges and Steric Effects
by Xijun Deng, Hong Li, Zhantao Li, Jianjia Yu and Mingji Zhang
Symmetry 2025, 17(9), 1479; https://doi.org/10.3390/sym17091479 - 8 Sep 2025
Viewed by 676
Abstract
We numerically study a quasi-one-dimensional classical Poisson–Nernst–Planck system with two oppositely charged ion species under different setups. Of particular interest is the following: (i) to numerically identify ten critical potentials, which play critical roles in characterizing the qualitative properties of individual fluxes; (ii) [...] Read more.
We numerically study a quasi-one-dimensional classical Poisson–Nernst–Planck system with two oppositely charged ion species under different setups. Of particular interest is the following: (i) to numerically identify ten critical potentials, which play critical roles in characterizing the qualitative properties of individual fluxes; (ii) to numerically verify some interesting scaling laws related to boundary concentrations of the system; and (iii) to investigate the effects on the individual fluxes from finite ion sizes. Some numerical results support the analytical ones obtained in previous work and provide more intuitive illustrations of the abstract results, while some others provide important insights for future studies; particularly, the scaling law observed with both small permanent charges and finite ion sizes is quite different from previous results. Full article
(This article belongs to the Section Mathematics)
Show Figures

Figure 1

20 pages, 898 KB  
Article
Studies on Poisson–Nernst–Planck Systems with Large Permanent Charges Under Relaxed Neutral Boundary Conditions
by Jianing Chen, Zhantao Li, Jie Song and Mingji Zhang
Mathematics 2025, 13(17), 2847; https://doi.org/10.3390/math13172847 - 3 Sep 2025
Viewed by 448
Abstract
Modeling ion transport through membrane channels is crucial for understanding cellular processes, and Poisson–Nernst–Planck (PNP) equations provide a fundamental continuum framework for such ionic fluxes. We investigate a quasi-one-dimensional steady-state PNP system for two oppositely charged ion species, focusing on how large permanent [...] Read more.
Modeling ion transport through membrane channels is crucial for understanding cellular processes, and Poisson–Nernst–Planck (PNP) equations provide a fundamental continuum framework for such ionic fluxes. We investigate a quasi-one-dimensional steady-state PNP system for two oppositely charged ion species, focusing on how large permanent charges within the channel and realistic boundary conditions impact ion transport. In contrast to classical models that impose ideal electroneutrality at the channel ends (a simplification that eliminates boundary layers near the membrane interfaces), we adopt relaxed neutral boundary conditions that allow small charge imbalances at the boundaries. Using asymptotic analysis treating the large permanent charge as a singular perturbation, we derive explicit first-order expansions for each ionic flux, incorporating boundary layer parameters (σ,ρ) to quantify slight deviations from electroneutrality. This analysis enables a qualitative characterization of individual cation and anion flux behaviors. Notably, we identify two critical transmembrane potentials, V1c and V2c, at which the cation and anion fluxes, respectively, vanish, signifying flux-reversal thresholds that delineate distinct monotonic regimes in the flux-voltage response; these critical values depend on the permanent charge magnitude and the boundary layer parameters. We further show that both ionic fluxes exhibit saturation: as the applied voltage becomes extreme, each flux approaches a finite limiting value, with the saturation level modulated by the degree of boundary charge imbalance. Moreover, allowing even small boundary charge deviations reveals non-intuitive discrepancies in flux behavior relative to the ideal electroneutral case. For example, in certain parameter regimes, a large permanent charge that enhances an ionic current under strict electroneutral conditions will instead suppress that current under relaxed-neutral conditions (and vice versa). This new analytical framework exposes subtle yet essential nonlinear dynamics that classical electroneutral assumptions would otherwise obscure. It provides deeper insight into the interplay between large fixed charges and boundary-layer effects, emphasizing the importance of incorporating such realistic boundary conditions to ensure accurate modeling of ion transport through membrane channels. Numerical simulations are performed to provide more intuitive illustrations of our analytical results. Full article
Show Figures

Figure 1

19 pages, 3233 KB  
Article
Mathematical Modeling of the Influence of Electrical Heterogeneity on the Processes of Salt Ion Transfer in Membrane Systems with Axial Symmetry Taking into Account Electroconvection
by Ekaterina Kazakovtseva, Evgenia Kirillova, Anna Kovalenko and Mahamet Urtenov
Inventions 2025, 10(4), 50; https://doi.org/10.3390/inventions10040050 - 30 Jun 2025
Viewed by 381
Abstract
This article proposes a 3D mathematical model of the influence of electrical heterogeneity of the ion exchange membrane surface on the processes of salt ion transfer in membrane systems with axial symmetry; in particular, we investigate an annular membrane disk in the form [...] Read more.
This article proposes a 3D mathematical model of the influence of electrical heterogeneity of the ion exchange membrane surface on the processes of salt ion transfer in membrane systems with axial symmetry; in particular, we investigate an annular membrane disk in the form of a coupled system of Nernst–Planck–Poisson and Navier–Stokes equations in a cylindrical coordinate system. A hybrid numerical–analytical method for solving the boundary value problem is proposed, and a comparison of the results for the annular disk model obtained by the hybrid method and the independent finite element method is carried out. The areas of applicability of each of these methods are determined. The proposed model of an annular disk takes into account electroconvection, which is understood as the movement of an electrolyte solution under the action of an external electric field on an extended region of space charge formed at the solution–membrane boundary under the action of the same electric field. The main regularities and features of the occurrence and development of electroconvection associated with the electrical heterogeneity of the surface of the membrane disk of the annular membrane disk are determined; namely, it is shown that electroconvective vortices arise at the junction of the conductivity and non-conductivity regions at a certain ratio of the potential jump and angular velocity and flow down in the radial direction to the edge of the annular membrane. At a fixed potential jump greater than the limiting one, the formed electroconvective vortices gradually decrease with an increase in the angular velocity of rotation until they disappear. Conversely, at a fixed value of the angular velocity of rotation, electroconvective vortices arise at a certain potential jump, and with its subsequent increase gradually increase in size. Full article
(This article belongs to the Section Inventions and Innovation in Applied Chemistry and Physics)
Show Figures

Figure 1

19 pages, 9204 KB  
Article
Numerical Study of Salt Ion Transport in Electromembrane Systems with Ion-Exchange Membranes Having Geometrically Structured Surfaces
by Evgenia Kirillova, Natalia Chubyr, Anna Kovalenko and Mahamet Urtenov
Mathematics 2025, 13(9), 1523; https://doi.org/10.3390/math13091523 - 6 May 2025
Viewed by 596
Abstract
This article is devoted to numerically modeling the effect of the geometric modification of the surfaces of ion-exchange membranes in electromembrane systems (EMSs) on the salt ion transport using a 2D mathematical model of the transport process in the desalination channel based on [...] Read more.
This article is devoted to numerically modeling the effect of the geometric modification of the surfaces of ion-exchange membranes in electromembrane systems (EMSs) on the salt ion transport using a 2D mathematical model of the transport process in the desalination channel based on boundary value problems for the coupled system of Nernst–Planck–Poisson and Navier–Stokes equations. The main patterns of salt ion transport are established taking into account diffusion, electromigration, forced convection, electroconvection, and the geometric modification of the surface of ion-exchange membranes. It is shown that the geometric modification of the surface of ion-exchange membranes significantly changes both the formation and development of electroconvection. A significant combined effect of electroconvection and geometric modification of the surface of ion-exchange membranes in the desalination channel on the salt ion transport is shown, as well as a complex, nonlinear, and non-stationary interaction of all the main effects of concentration polarization in the desalination channel. Full article
(This article belongs to the Special Issue Mathematical Applications in Electrical Engineering, 2nd Edition)
Show Figures

Figure 1

21 pages, 1647 KB  
Article
Investigation of the Boundary Value Problem for an Extended System of Stationary Nernst–Planck–Poisson Equations in the Diffusion Layer
by Evgenia Kirillova, Natalia Chubyr, Roman Nazarov, Anna Kovalenko and Makhamet Urtenov
Mathematics 2025, 13(8), 1298; https://doi.org/10.3390/math13081298 - 15 Apr 2025
Viewed by 408
Abstract
This article investigates the boundary value problem for an extended stationary system of Nernst–Planck–Poisson equations, corresponding to a mathematical model of the influence of changes in the equilibrium coefficient on the transport of ions of a binary salt in the diffusion layer. Dimensionless [...] Read more.
This article investigates the boundary value problem for an extended stationary system of Nernst–Planck–Poisson equations, corresponding to a mathematical model of the influence of changes in the equilibrium coefficient on the transport of ions of a binary salt in the diffusion layer. Dimensionless variables were introduced using characteristic parameter values. As a result, a dimensionless boundary value problem was obtained, which is singularly perturbed, containing a small parameter in the derivative of the Poisson equation and, additionally, another regular small parameter. A similarity theory was developed: trivial and non-trivial similarity criteria and their physical meaning were determined, which allowed for the identification of general properties of the solutions. A numerical investigation of the boundary value problem was conducted using the finite element method. With an increase in the initial solution concentration, the value of the small parameter entering singularly decreases, reaching values on the order of 10−12 and below, leading to computational difficulties that prevent a comprehensive analysis of the influence of changes in the equilibrium coefficient on salt ion transport. In this regard, an analytical solution to the problem was constructed, based on dividing the solution domain into several subdomains (regions of electroneutrality, extended space charge region, quasi-equilibrium region, recombination region, intermediate layer), in each of which the problem is solved differently, followed by matching these solutions. Verification of the analytical solution was carried out by comparing it with the numerical solution. The advantage of the obtained analytical solution is the possibility of a comprehensive analysis of the influence of the dissociation/recombination reaction of water molecules on salt ion transport over a wide range of real changes in the concentration and composition of the electrolyte solution and other input parameters. This boundary value problem serves as a benchmark for constructing asymptotic solutions for other singularly perturbed boundary value problems in membrane electrochemistry. Full article
(This article belongs to the Section C1: Difference and Differential Equations)
Show Figures

Figure 1

8 pages, 308 KB  
Article
Influence of Ion Generation–Recombination on Dielectric Relaxation Time in Electrolytes
by Ioannis Lelidis and Giovanni Barbero
Liquids 2025, 5(2), 10; https://doi.org/10.3390/liquids5020010 - 3 Apr 2025
Viewed by 638
Abstract
The well-known Poisson–Nernst–Planck model is a classical approach usedto describe ion transport in liquids. Extended versions of this model account for thegeneration–recombination of ions at equilibrium. In this paper, we investigate the influenceof the generation–recombination term on dielectric relaxation in an electrolytic cell [...] Read more.
The well-known Poisson–Nernst–Planck model is a classical approach usedto describe ion transport in liquids. Extended versions of this model account for thegeneration–recombination of ions at equilibrium. In this paper, we investigate the influenceof the generation–recombination term on dielectric relaxation in an electrolytic cell shapedlike a slab, bounded by two parallel blocking electrodes. We show that in the adiabaticlimit—which holds when the reaction time is much longer than the dielectric relaxationtime—the electric current in the external circuit does not follow a simple relaxation mechanism.Instead, it is characterized by two distinct relaxation times: a short relaxationtime associated with dielectric relaxation and a longer relaxation time related to the iondissociation–association process. Conversely, this information could be used to assess thepresence and/or significance of the generation–recombination effect in an electrolytic cell. Full article
(This article belongs to the Section Physics of Liquids)
Show Figures

Figure 1

20 pages, 317 KB  
Article
Roles Played by Critical Potentials in the Study of Poisson–Nernst–Planck Models with Steric Effects Under Relaxed Neutral Boundary Conditions
by Xiangshuo Liu, Jie Song, Lijun Zhang and Mingji Zhang
Axioms 2025, 14(1), 69; https://doi.org/10.3390/axioms14010069 - 19 Jan 2025
Cited by 2 | Viewed by 903
Abstract
We examine the qualitative properties of ionic flows through membrane channels via Poisson–Nernst–Planck (PNP) type models with steric effects under relaxed electroneutrality boundary conditions, and more realistic setups in the study of ion channel problems. Of particular interest are the vital roles played [...] Read more.
We examine the qualitative properties of ionic flows through membrane channels via Poisson–Nernst–Planck (PNP) type models with steric effects under relaxed electroneutrality boundary conditions, and more realistic setups in the study of ion channel problems. Of particular interest are the vital roles played by some critical potentials identified for both individual fluxes and current–voltage relations. These critical potentials split the whole electric potential interval into different subintervals, over which distinct dynamics of ionic flows are observed. The discussion provides an efficient way to control the boundary conditions to observe distinct dynamics of ionic flows through membrane channels. This is important for future analytical studies and critical for future numerical and even experimental studies of ion channel problems. Full article
(This article belongs to the Special Issue Special Functions and Related Topics)
22 pages, 11825 KB  
Article
Analytical Solutions and Computer Modeling of a Boundary Value Problem for a Nonstationary System of Nernst–Planck–Poisson Equations in a Diffusion Layer
by Savva Kovalenko, Evgenia Kirillova, Vladimir Chekanov, Aminat Uzdenova and Mahamet Urtenov
Mathematics 2024, 12(24), 4040; https://doi.org/10.3390/math12244040 - 23 Dec 2024
Cited by 1 | Viewed by 777
Abstract
This article proposes various new approximate analytical solutions of the boundary value problem for the non-stationary system of Nernst–Planck–Poisson (NPP) equations in the diffusion layer of an ideally selective ion-exchange membrane at overlimiting current densities. As is known, the diffusion layer in the [...] Read more.
This article proposes various new approximate analytical solutions of the boundary value problem for the non-stationary system of Nernst–Planck–Poisson (NPP) equations in the diffusion layer of an ideally selective ion-exchange membrane at overlimiting current densities. As is known, the diffusion layer in the general case consists of a space charge region and a region of local electroneutrality. The proposed analytical solutions of the boundary value problems for the non-stationary system of Nernst–Planck–Poisson equations are based on the derivation of a new singularly perturbed nonlinear partial differential equation for the potential in the space charge region (SCR). This equation can be reduced to a singularly perturbed inhomogeneous Burgers equation, which, by the Hopf–Cole transformation, is reduced to an inhomogeneous singularly perturbed linear equation of parabolic type. Inside the extended SCR, there is a sufficiently accurate analytical approximation to the solution of the original boundary value problem. The electroneutrality region has a curvilinear boundary with the SCR, and with an unknown boundary condition on it. The article proposes a solution to this problem. The new analytical solution methods developed in the article can be used to study non-stationary boundary value problems of salt ion transfer in membrane systems. The new analytical solution methods developed in the article can be used to study non-stationary boundary value problems of salt ion transport in membrane systems. Full article
(This article belongs to the Section E: Applied Mathematics)
Show Figures

Figure 1

17 pages, 5180 KB  
Article
Modeling Electrochemical Impedance Spectroscopy Using Time-Dependent Finite Element Method
by Yawar Abbas, Laura van Smeden, Alwin R. M. Verschueren, Marcel A. G. Zevenbergen and Jos F. M. Oudenhoven
Sensors 2024, 24(22), 7264; https://doi.org/10.3390/s24227264 - 13 Nov 2024
Cited by 3 | Viewed by 2738
Abstract
A time-dependent electrochemical impedance spectroscopy (EIS) model is presented using the finite element method (FEM) to simulate a 2D interdigitated electrode in an aqueous NaCl electrolyte. Developed in COMSOL Multiphysics, the model incorporates ion transport, electric field distribution, Stern layer effects, and electrode [...] Read more.
A time-dependent electrochemical impedance spectroscopy (EIS) model is presented using the finite element method (FEM) to simulate a 2D interdigitated electrode in an aqueous NaCl electrolyte. Developed in COMSOL Multiphysics, the model incorporates ion transport, electric field distribution, Stern layer effects, and electrode sheet resistance, governed by the Poisson and Nernst–Planck equations. This model can predict the transient current response to an applied excitation voltage, which gives information about the dynamics of the electrochemical system. The simulation results are compared with the experimental data, reproducing key features of the measurements. The transient current response indicates the need for multiple excitation cycles to stabilize the impedance measurement. At low frequencies (<1 kHz), the voltage drop at the Stern layer is significant, while at higher frequencies (>100 kHz), the voltage drop due to sheet resistance dominates. Moreover, the amplitude of the excitation voltage influences the EIS measurement, higher amplitudes (above 0.1 V) lead to non-linear impedance behavior, particularly at low ion concentrations. Discrepancies at low frequencies suggest that Faradaic processes may need to be incorporated for improved accuracy. Overall, this model provides quantitative insights for optimizing EIS sensor design and highlights critical factors for high-frequency and low-concentration conditions, laying the foundation for future biosensing applications with functionalized electrodes. Full article
(This article belongs to the Special Issue Electrical Impedance Spectroscopy Technology)
Show Figures

Figure 1

16 pages, 1713 KB  
Article
Theoretical Study of the Influence of Electroconvection on the Efficiency of Pulsed Electric Field (PEF) Modes in ED Desalination
by Victor Nikonenko, Aminat Uzdenova, Anna Kovalenko and Makhamet Urtenov
Membranes 2024, 14(11), 225; https://doi.org/10.3390/membranes14110225 - 27 Oct 2024
Cited by 3 | Viewed by 1469
Abstract
Pulsed electric field (PEF) modes of electrodialysis (ED) are known for their efficiency in mitigating the fouling of ion-exchange membranes. Many authors have also reported the possibility of increasing the mass transfer/desalination rate and reducing energy costs. In the literature, such possibilities were [...] Read more.
Pulsed electric field (PEF) modes of electrodialysis (ED) are known for their efficiency in mitigating the fouling of ion-exchange membranes. Many authors have also reported the possibility of increasing the mass transfer/desalination rate and reducing energy costs. In the literature, such possibilities were theoretically studied using 1D modeling, which, however, did not consider the effect of electroconvection. In this paper, the analysis of the ED desalination characteristics of PEF modes is carried out based on a 2D mathematical model including the Nernst–Planck–Poisson and Navier–Stokes equations. Three PEF modes are considered: galvanodynamic (pulses of constant electric current alternate with zero current pauses), potentiodynamic (pulses of constant voltage alternate with zero voltage pauses), and mixed galvanopotentiodynamic (pulses of constant voltage alternate with zero current pauses) modes. It is found that at overlimiting currents, in accordance with previous papers, in the range of relatively low frequencies, the mass transfer rate increases and the energy consumption decreases with increasing frequency. However, in the range of high frequencies, the tendency changes to the opposite. Thus, the best characteristics are obtained at a frequency close to 1 Hz. At higher frequencies, the pulse duration is too short, and electroconvective vortices, enhancing mass transfer, do not have time to develop. Full article
(This article belongs to the Special Issue Research on Electrodialytic Processes)
Show Figures

Figure 1

23 pages, 493 KB  
Article
Studies on Ionic Flows via Poisson–Nernst–Planck Systems with Bikerman’s Local Hard-Sphere Potentials under Relaxed Neutral Boundary Conditions
by Xiangshuo Liu, Lijun Zhang and Mingji Zhang
Mathematics 2024, 12(8), 1182; https://doi.org/10.3390/math12081182 - 15 Apr 2024
Cited by 4 | Viewed by 1444
Abstract
We examine the qualitative properties of ionic flows through ion channels via a quasi-one-dimensional Poisson–Nernst–Planck model under relaxed neutral boundary conditions. Bikerman’s local hard-sphere potential is included in the model to account for finite ion size effects. Our main interest is to examine [...] Read more.
We examine the qualitative properties of ionic flows through ion channels via a quasi-one-dimensional Poisson–Nernst–Planck model under relaxed neutral boundary conditions. Bikerman’s local hard-sphere potential is included in the model to account for finite ion size effects. Our main interest is to examine the boundary layer effects (due to the relaxation of electroneutrality boundary conditions) on both individual fluxes and current–voltage relations systematically. Critical values of potentials are identified that play significant roles in studying internal dynamics of ionic flows. It turns out that the finite ion size can either enhance or reduce the ionic flow under different nonlinear interplays between the physical parameters in the system, particularly, boundary concentrations, boundary potentials, boundary layers, and finite ion sizes. Much more rich dynamics of ionic flows through membrane channels is observed. Full article
Show Figures

Figure 1

19 pages, 7825 KB  
Article
Theoretical Analysis of the Influence of Spacers on Salt Ion Transport in Electromembrane Systems Considering the Main Coupled Effects
by Anna Kovalenko, Makhamet Urtenov, Vladimir Chekanov and Natalya Kandaurova
Membranes 2024, 14(1), 20; https://doi.org/10.3390/membranes14010020 - 10 Jan 2024
Cited by 5 | Viewed by 2193
Abstract
This article considers a theoretical analysis of the influence of the main coupled effects and spacers on the transfer of salt ions in electromembrane systems (EMS) using a 2D mathematical model of the transfer process in a desalting channel with spacers based on [...] Read more.
This article considers a theoretical analysis of the influence of the main coupled effects and spacers on the transfer of salt ions in electromembrane systems (EMS) using a 2D mathematical model of the transfer process in a desalting channel with spacers based on boundary value problems for the coupled system of Nernst–Planck–Poisson and Navier–Stokes equations. The basic patterns of salt ion transport have been established, taking into account diffusion, electromigration, forced convection, electroconvection, dissociation/recombination reactions of water molecules, as well as spacers located inside the desalting channel. It has been shown that spacers and taking into account the dissociation/recombination reaction of water molecules significantly change both the formation and development of electroconvection. This article confirms the fact of the exaltation of the limiting current studied by Harkatz, where it is shown that the current (flux) of salt ions increases when the dissociation reaction begins by a certain value called the exaltation current, which is proportional to the flow of water dissociation products. A significant combined effect of electroconvection and dissociation/recombination reactions as well as the spacer system in the desalting channel on the transport of salt ions are shown. The complex, nonlinear, and non-stationary interaction of all the main effects of concentration polarization and spacers in the desalting channel are also considered in the work. Full article
(This article belongs to the Special Issue Theoretical Study of Membrane Processes)
Show Figures

Figure 1

22 pages, 2979 KB  
Article
Time-Dependent Two-Dimensional Model of Overlimiting Mass Transfer in Electromembrane Systems Based on the Nernst–Planck, Displacement Current and Navier–Stokes Equations
by Aminat Uzdenova
Computation 2023, 11(10), 205; https://doi.org/10.3390/computation11100205 - 16 Oct 2023
Cited by 2 | Viewed by 2390
Abstract
Electromembrane processes underlie the functioning of electrodialysis devices and nano- and microfluidic devices, the scope of which is steadily expanding. One of the main aspects that determine the effectiveness of membrane systems is the choice of the optimal electrical mode. The solution of [...] Read more.
Electromembrane processes underlie the functioning of electrodialysis devices and nano- and microfluidic devices, the scope of which is steadily expanding. One of the main aspects that determine the effectiveness of membrane systems is the choice of the optimal electrical mode. The solution of this problem, along with experimental studies, requires tools for the theoretical analysis of ion-transport processes in various electrical modes. The system of Nernst–Planck–Poisson and Navier–Stokes (NPP–NS) equations is widely used to describe the overlimiting mass transfer associated with the development of electroconvection. This paper proposes a new approach to describe the electrical mode in a membrane system using the displacement current equation. The equation for the displacement current makes it possible to simulate the galvanodynamic mode, in which the electric field is determined by the given current density. On the basis of the system of Nernst–Planck, displacement current and Navier–Stokes (NPD–NS) equations, a model of the electroconvective overlimiting mass transfer in the diffusion layer at the surface of the ion-exchange membrane in the DC current mode was constructed. Mathematical models based on the NPP–NS and NPD–NS equations, formulated to describe the same physical situation of mass transfer in the membrane system, differ in the peculiarities of numerical solution. At overlimiting currents, the required accuracy of the numerical solution is achieved in the approach based on the NPP–NS equations with a smaller time step than the NPD–NS equation approach. The accuracy of calculating the current density at the boundaries parallel to the membrane surface is higher for the model based on the NPD–NS equations compared to the model based on the NPP–NS equations. Full article
(This article belongs to the Special Issue Mathematical Modeling and Study of Nonlinear Dynamic Processes)
Show Figures

Graphical abstract

15 pages, 7143 KB  
Article
Ion Transport in Electromembrane Systems under the Passage of Direct Current: 1D Modelling Approaches
by Aminat Uzdenova
Membranes 2023, 13(4), 421; https://doi.org/10.3390/membranes13040421 - 8 Apr 2023
Cited by 5 | Viewed by 2422
Abstract
For a theoretical analysis of mass transfer processes in electromembrane systems, the Nernst–Planck and Poisson equations (NPP) are generally used. In the case of 1D direct-current-mode modelling, a fixed potential (for example, zero) is set on one of the boundaries of the considered [...] Read more.
For a theoretical analysis of mass transfer processes in electromembrane systems, the Nernst–Planck and Poisson equations (NPP) are generally used. In the case of 1D direct-current-mode modelling, a fixed potential (for example, zero) is set on one of the boundaries of the considered region, and on the other—a condition connecting the spatial derivative of the potential and the given current density. Therefore, in the approach based on the system of NPP equations, the accuracy of the solution is significantly affected by the accuracy of calculating the concentration and potential fields at this boundary. This article proposes a new approach to the description of the direct current mode in electromembrane systems, which does not require boundary conditions on the derivative of the potential. The essence of the approach is to replace the Poisson equation in the NPP system with the equation for the displacement current (NPD). Based on the system of NPD equations, the concentration profiles and the electric field were calculated in the depleted diffusion layer near the ion-exchange membrane, as well as in the cross section of the desalination channel under the direct current passage. The NPD system, as well as NPP, allows one to describe the formation of an extended space charge region near the surface of the ion-exchange membrane, which is important for describing overlimiting current modes. Comparison of the direct-current-mode modelling approaches based on NPP and NPD showed that the calculation time is less for the NPP approach, but the calculation accuracy is higher for the NPD approach. Full article
Show Figures

Figure 1

Back to TopTop