Sign in to use this feature.

Years

Between: -

Subjects

remove_circle_outline
remove_circle_outline
remove_circle_outline
remove_circle_outline
remove_circle_outline
remove_circle_outline
remove_circle_outline
remove_circle_outline
remove_circle_outline

Journals

Article Types

Countries / Regions

remove_circle_outline
remove_circle_outline
remove_circle_outline
remove_circle_outline
remove_circle_outline

Search Results (972)

Search Parameters:
Keywords = PMSM motor

Order results
Result details
Results per page
Select all
Export citation of selected articles as:
17 pages, 2922 KB  
Article
Stray-Field Suppression in Motors with Amorphous Alloy Shields: A Combined Experimental and Numerical Investigation
by Benchang Liu, Haoran Ma, Xudong Li, Yanfeng Liang, Aina He, Yaqiang Dong, Qikui Man and Jiawei Li
Energies 2026, 19(9), 2104; https://doi.org/10.3390/en19092104 - 27 Apr 2026
Abstract
External stray magnetic fields from permanent magnet synchronous motors (PMSMs) may cause electromagnetic interference to nearby equipment and limit their application in space-constrained systems. To address this issue, this paper investigates the use of laminated Co-based amorphous ribbon shields for stray-field suppression. An [...] Read more.
External stray magnetic fields from permanent magnet synchronous motors (PMSMs) may cause electromagnetic interference to nearby equipment and limit their application in space-constrained systems. To address this issue, this paper investigates the use of laminated Co-based amorphous ribbon shields for stray-field suppression. An efficient equivalent modeling method is proposed for the simulation of such multilayer thin shielding structures, in which the laminated shield is replaced by an equivalent single-layer model while preserving its macroscopic shielding behavior. The method is first assessed in 2-D through comparisons between refined laminated and simplified equivalent models under both linear permeability and nonlinear magnetization-curve descriptions, and is then extended to 3-D PMSM shielding analysis under static and rotating no-load conditions with experimental validation. Results show that the 10-layer amorphous ribbon shield, with a total thickness of 420 μm, achieves a maximum shielding effectiveness of 7.9 dB at a measurement distance of two motor radii. The maximum deviation between simulation and experiment is 7.4%, and the equivalent model reduces computation time by 28% relative to the refined model. This method provides an accurate and efficient approach for the analysis and design of compact low-frequency magnetic shields for PMSMs. Full article
(This article belongs to the Section F: Electrical Engineering)
Show Figures

Figure 1

26 pages, 35060 KB  
Article
Experimental Investigation of Manufacturing Constrained Induction Motor to PMSM Conversion for Direct-Drive Agricultural Ventilation Systems
by Ritthichai Ratchapan, Wanwinit Wijittemee, Surasak Noituptim, Theerapol Muankhaw, Sawek Pratummet and Boonyang Plangklang
Appl. Syst. Innov. 2026, 9(5), 85; https://doi.org/10.3390/asi9050085 (registering DOI) - 25 Apr 2026
Viewed by 255
Abstract
Large-diameter axial ventilation fans are widely used in poultry houses to regulate ai flow, temperature, and air quality. However, conventional induction motors driving these fans typically operate at fixed speed and suffer efficiency degradation under low-speed, high-torque conditions due to slip-induced rotor copper [...] Read more.
Large-diameter axial ventilation fans are widely used in poultry houses to regulate ai flow, temperature, and air quality. However, conventional induction motors driving these fans typically operate at fixed speed and suffer efficiency degradation under low-speed, high-torque conditions due to slip-induced rotor copper losses. This study presents an experimental investigation of a manufacturing constrained conversion of a commercial induction motor platform into a direct-drive surface permanent magnet synchronous motor (PMSM). Instead of developing a completely new motor design, the proposed approach reuses the existing stator lamination, housing structure, and winding production process while redesigning the rotor electromagnetic structure to incorporate surface-mounted permanent magnets. Experimental testing was conducted using a dynamo meter-based measurement system to evaluate the performance of both the commercial induction motor and the converted PMSM prototype. The results show that the commercial induction motor exhibits significant efficiency degradation at high torque due to increased slip, whereas the PMSM eliminates slip-dependent rotor copper losses and maintains efficiencies above 88% within the typical ventilation operating range of 650–750 rpm. This study further relates airflow demand to rotational speed using fan affinity laws, highlighting the cubic relationship between speed and input power and demonstrating the energy-saving potential of variable-speed PMSM drives. The proposed conversion framework therefore provides a practical pathway for improving the energy efficiency of agricultural ventilation systems while maintaining compatibility with existing motor manufacturing infrastructure. Full article
Show Figures

Figure 1

20 pages, 3384 KB  
Article
Improved Terminal Integral Sliding Mode Control Based on PMSM for New Energy Vehicle Applications
by Wenqiang He, Jing Bai, Yu Xu, Lei Zhang and Xingyi Ma
Processes 2026, 14(9), 1377; https://doi.org/10.3390/pr14091377 (registering DOI) - 24 Apr 2026
Viewed by 122
Abstract
To address the deteriorated control performance of permanent magnet synchronous motor (PMSM) drive systems for new energy vehicles (NEVs) under complex conditions caused by multi-source disturbances (internal parameter perturbations and external load mutations), this paper proposes an improved terminal integral sliding mode control [...] Read more.
To address the deteriorated control performance of permanent magnet synchronous motor (PMSM) drive systems for new energy vehicles (NEVs) under complex conditions caused by multi-source disturbances (internal parameter perturbations and external load mutations), this paper proposes an improved terminal integral sliding mode control (ITISMC-ADERL) strategy integrating a piecewise adaptive terminal integral sliding mode surface and an ADERL. The proposed sliding mode surface adopts interval-adaptive switching between high- and low-order power terms, completely eliminating singularity and integral saturation defects of traditional terminal sliding mode control while ensuring fast convergence, and achieving an optimal structural balance between convergence speed and chattering suppression. The state-dependent ADERL leverages the synergy of error-sliding variable coupled dynamic gain adjustment and variable exponential power compensation, realizing dual-mode adaptive switching of “strong driving for fast approaching far from the sliding surface, weak gain for smooth regulation near the sliding surface”, which significantly improves control accuracy and anti-disturbance robustness. The finite-time convergence of the closed-loop system is rigorously proved via Lyapunov stability theory. Full-operating-condition comparative tests on a TMS320F28379D DSP platform show that the proposed strategy outperforms SMC-ERL, ISMC-ERL and ITISMC-ERL in all test scenarios (no-load startup, acceleration/deceleration, sudden load changes, flux linkage perturbation), meeting the requirements of high-performance NEV drive systems and possessing important engineering application potential. Full article
(This article belongs to the Section Automation Control Systems)
22 pages, 2295 KB  
Article
Event-Triggered Torque Ripple Attenuation for Robotic Permanent Magnet Synchronous Motors with Immunity to Load Transients
by Yaofei Han, Xiaodong Qiao, Zhiyong Huang, Shaofeng Chen, Yawei Li and Bo Yang
Machines 2026, 14(5), 478; https://doi.org/10.3390/machines14050478 (registering DOI) - 24 Apr 2026
Viewed by 69
Abstract
The torque ripples of robotic permanent magnet synchronous motors (PMSMs) degrade motion smoothness and positioning accuracy of the system, while inevitable load transients in robotic tasks further complicate torque ripple attenuation. To address this issue, this paper develops an event-triggered torque ripple attenuation [...] Read more.
The torque ripples of robotic permanent magnet synchronous motors (PMSMs) degrade motion smoothness and positioning accuracy of the system, while inevitable load transients in robotic tasks further complicate torque ripple attenuation. To address this issue, this paper develops an event-triggered torque ripple attenuation method that explicitly distinguishes torque ripple from dynamic load transients. First, a sliding-mode torque observer is constructed to obtain real-time torque information, whose stability is rigorously analyzed using a Lyapunov function. Second, frequency-selective torque ripple extraction schemes are proposed to accurately isolate steady-state high-frequency torque ripple from the estimated torque signal. In particular, two specially designed filtering structures are developed and compared, one of which is selected to preserve ripple-related frequency content during test, ensuring robust and accurate ripple identification under varying operating conditions in robotics. Third, a torque-ripple-regulation-based compensation strategy is used within a vector-controlled PMSM drive, in which the extracted torque ripple is processed by a dedicated ripple regulator to generate voltage compensation signals. This strategy achieves effective steady-state torque ripple attenuation with low implementation complexity, while avoiding performance degradation during dynamic load transients. Finally, experimental results are provided to validate the effectiveness of the proposed methods. Full article
27 pages, 7794 KB  
Article
Demagnetization Severity Detection in Permanent Magnet Synchronous Motors Based on Temperature Signal and Convolutional Neural Network
by Zhiqiang Wang, Shihao Yan, Haodong Sun, Xin Gu, Zhichen Lin and Kefei Zhu
Sensors 2026, 26(9), 2631; https://doi.org/10.3390/s26092631 - 24 Apr 2026
Viewed by 219
Abstract
To address the difficulty of detecting demagnetization severity in permanent magnet synchronous motors (PMSMs), this paper proposes a demagnetization severity detection method based on temperature signal and Convolutional Neural Network (CNN). First, the differences between local demagnetization and eccentricity fault in stator current [...] Read more.
To address the difficulty of detecting demagnetization severity in permanent magnet synchronous motors (PMSMs), this paper proposes a demagnetization severity detection method based on temperature signal and Convolutional Neural Network (CNN). First, the differences between local demagnetization and eccentricity fault in stator current harmonics are analyzed from an electromagnetic perspective, and fast Fourier transform (FFT) is used for frequency-domain analysis of the stator current to identify local demagnetization faults. On this basis, an electromagnetic–thermal coupling model is established by considering motor losses and heat dissipation boundary conditions to obtain the winding temperatures under different demagnetization severities and operating conditions. Furthermore, the temperature time series, together with speed and load torque, is constructed into a three-dimensional state space, and the proposed Conditionally Modulated Multi-Scale Convolutional Neural Network (CMSCNN) is introduced for feature learning to achieve demagnetization severity detection. Experimental results show that the proposed method achieves an average detection accuracy of 98.06% on the simulation test set and outperforms the baseline CNN model. On measured data collected from the faulty prototype, the average detection accuracy reaches 93.34%, verifying the effectiveness of the proposed method for demagnetization severity detection. Full article
(This article belongs to the Special Issue Sensors for Fault Diagnosis of Electric Machines)
Show Figures

Figure 1

22 pages, 9602 KB  
Article
Demagnetization Fault Diagnosis of PMSMs with Multiple Stator Tooth Flux Detection Based on WT-CNN
by Yuan Mao, Yuanzhi Wang, Junting Bao, Xiaofei Luo and Youbing Zhang
World Electr. Veh. J. 2026, 17(5), 223; https://doi.org/10.3390/wevj17050223 - 22 Apr 2026
Viewed by 186
Abstract
Permanent magnet synchronous motors (PMSMs) have been widely used in new-energy vehicles and industrial servo systems. However, demagnetization faults (DMFs) can lead to severe issues, including torque ripple and magnetic field distortion. This paper proposes an intelligent diagnostic approach for DMFs based on [...] Read more.
Permanent magnet synchronous motors (PMSMs) have been widely used in new-energy vehicles and industrial servo systems. However, demagnetization faults (DMFs) can lead to severe issues, including torque ripple and magnetic field distortion. This paper proposes an intelligent diagnostic approach for DMFs based on stator tooth flux (STF). A mathematical model of STF is formulated, and the magnetic flux change is measured using multiple sets of anti-series-connected detection coils (DCs). By combining finite element simulation with signal processing technology, we establish a comprehensive diagnostic system covering fault feature extraction, fault location identification, and severity assessment is established. The proposed method employs wavelet transform (WT) to extract time-frequency features of voltage signals and combines it with a convolutional neural network (CNN) to form the WT-CNN intelligent diagnosis model. Based on the extracted voltage signal features, the method achieves intelligent identification and visual localization of DMFs. Simulation results show that the proposed method achieves an accuracy above 80% for fault location identification (defined as sample-level multi-label classification accuracy across 12 PMs) and above 85% for demagnetization severity estimation (defined as classification accuracy across 9 severity degrees from 10% to 90%). These results provide an effective technical foundation for motor condition monitoring and fault early warning in simulation environments. Full article
Show Figures

Figure 1

19 pages, 21540 KB  
Article
XGBoost for Multi-Fault Diagnosis and Prediction in Permanent Magnet Synchronous Machines
by Yacine Maanani, Chuan Pham, Qingsong Wang, Kim Khoa Nguyen and Kamal Al-Haddad
Electronics 2026, 15(8), 1759; https://doi.org/10.3390/electronics15081759 - 21 Apr 2026
Viewed by 209
Abstract
In this study, we propose a data-driven diagnostic system that uses Extreme Gradient Boosting (XGBoost) to detect, classify, and assess the severity of multiple faults in permanent magnet synchronous motors (PMSMs). The three main fault categories that are the focus of the suggested [...] Read more.
In this study, we propose a data-driven diagnostic system that uses Extreme Gradient Boosting (XGBoost) to detect, classify, and assess the severity of multiple faults in permanent magnet synchronous motors (PMSMs). The three main fault categories that are the focus of the suggested method are inter-turn short-circuit (ITSC) faults, stator open-circuit faults, and permanent magnet demagnetization. To capture fault-specific characteristics and their development with severity, discriminative electrical features are retrieved from stator currents, flux linkage, and dq-axis values. Next, using the chosen electrical indications, an aggregated diagnostic index is created to facilitate defect diagnosis and severity quantification in a single learning process. The XGBoost-based model has been shown to produce excellent diagnostic accuracy and robust separation between various fault causes via extensive assessment. It also maintains dependable performance under previously unknown operating or fault situations. These findings show that an XGBoost-only approach offers a scalable and efficient way to monitor advanced PMSM conditions in industrial and safety-critical applications. Full article
(This article belongs to the Special Issue Design and Control of Drives and Electrical Machines)
Show Figures

Figure 1

19 pages, 2816 KB  
Article
Improved Piecewise Terminal Integral Sliding-Mode Adaptive Control for PMSM Speed Regulation in Rail Transit Traction
by Jiahui Wang, Zhongli Wang and Jingyu Zhang
Energies 2026, 19(8), 1992; https://doi.org/10.3390/en19081992 - 21 Apr 2026
Viewed by 242
Abstract
Aiming at solving the problems of severe chattering, irreconcilable convergence speed, and steady-state accuracy in traditional sliding-mode control (SMC) for the speed regulation system of permanent magnet synchronous motors (PMSMs) in rail transit traction, as well as its poor adaptability to complex disturbances [...] Read more.
Aiming at solving the problems of severe chattering, irreconcilable convergence speed, and steady-state accuracy in traditional sliding-mode control (SMC) for the speed regulation system of permanent magnet synchronous motors (PMSMs) in rail transit traction, as well as its poor adaptability to complex disturbances such as frequent acceleration/deceleration and sudden load changes under traction conditions, a sliding-mode control strategy integrating improved piecewise terminal integral sliding-mode control (IPTISMC) with an adaptive smooth exponential reaching law (ASERL) is proposed. Taking the surface-mounted PMSM for rail transit traction as the research object, the d-q axis mathematical model is established, and a terminal integral sliding surface with a piecewise nonlinear function is designed, which resolves the problems of complex solutions and steady-state errors of the traditional sliding surface through a piecewise cooperative mechanism for large and small error stages. The designed ASERL realizes adaptive gain adjustment based on the state variables of the sliding surface and replaces the sign function with the hyperbolic tangent function, thus alleviating the inherent contradiction between convergence and chattering in the fixed-gain reaching law. The global stability and finite-time convergence of the system are rigorously proved based on Lyapunov stability theory. Furthermore, comparative experiments involving no-load operation, acceleration and deceleration, sudden load application and removal, and parameter perturbation are carried out on a DSP experimental platform for SMC-ERL, ISMC-ERL, IPTISMC-ERL and the proposed IPTISMC-ASERL. Experimental results show that the proposed IPTISMC-ASERL strategy can significantly improve the dynamic response and steady-state control accuracy of the PMSM speed regulation system for rail transit traction, effectively suppress chattering to enhance riding comfort, and simultaneously strengthen the system’s anti-disturbance capability and parametric robustness. It can fully meet the engineering control requirements for high precision and high stability of PMSMs in rail transit traction applications. Full article
Show Figures

Figure 1

29 pages, 3432 KB  
Article
Robust Adaptive Position Control of PMSM Actuators for High-Speed Flight Vehicles Under Thermal Extremes
by Kunfeng Zhang, Tieniu Chen, Zhi Li, Fei Wu and Binqiang Si
Electronics 2026, 15(8), 1742; https://doi.org/10.3390/electronics15081742 - 20 Apr 2026
Viewed by 163
Abstract
Permanent magnet synchronous motor (PMSM)-driven position servo systems in high-speed flight vehicles face severe challenges from extreme thermal environments, which induce significant parameter variations up to 25% (e.g., motor torque constant) and complex multi-scale disturbances. This paper proposes a novel adaptive robust control [...] Read more.
Permanent magnet synchronous motor (PMSM)-driven position servo systems in high-speed flight vehicles face severe challenges from extreme thermal environments, which induce significant parameter variations up to 25% (e.g., motor torque constant) and complex multi-scale disturbances. This paper proposes a novel adaptive robust control strategy integrating three key components: (1) an ultra-local model formulation motivated by physically consistent thermal effect analysis of electromagnetic, mechanical, and tribological parameters; (2) a dual-layer disturbance observer architecture comprising a third-order finite-time convergent extended state observer (FTCESO) for fast-varying disturbances and a σ-modification adaptive estimator for slow-varying thermal drifts; and (3) a global nonlinear integral terminal sliding mode controller with a cycloidal reaching law. Stability analysis based on homogeneous system theory and Lyapunov methods establishes practical finite-time convergence with explicit bounds. The experimental results on a TMS320F28335-based servo platform demonstrate that the proposed method reduces the maximum position deviation by 83–94% compared to PID, LADRC, and conventional SMC controllers under the tested disturbance conditions, achieving settling time reductions exceeding 90%. Under combined thermal drift and external loading, the proposed approach limits the maximum tracking error to below 0.45° while maintaining a steady-state error under 0.08°. Full article
Show Figures

Figure 1

23 pages, 14721 KB  
Article
A Physical-Based Vibro-Acoustic Numerical Model of a Permanent Magnet Synchronous Motor
by Dario Barri, Federico Soresini, Giacomo Guidotti, Pietro Agostinacchio, Federico Maria Ballo and Massimiliano Gobbi
World Electr. Veh. J. 2026, 17(4), 216; https://doi.org/10.3390/wevj17040216 - 18 Apr 2026
Viewed by 153
Abstract
With the growing demand for hybrid and electric vehicles, the accurate prediction of NVH (Noise, Vibration, and Harshness) behavior in Permanent Magnet Synchronous Machines (PMSMs) has become a critical aspect of electric motor design. This paper presents a detailed modeling approach for electromagnetic-induced [...] Read more.
With the growing demand for hybrid and electric vehicles, the accurate prediction of NVH (Noise, Vibration, and Harshness) behavior in Permanent Magnet Synchronous Machines (PMSMs) has become a critical aspect of electric motor design. This paper presents a detailed modeling approach for electromagnetic-induced noise and vibrations in PMSMs, integrating both analytical and numerical methods. The model focuses on quantifying the contributions of radial and tangential electromagnetic forces, which are key drivers of vibro-acoustic responses. The analytical part employs curved beam theory and a simplified acoustic model, offering rapid insights during early design stages. In parallel, a detailed numerical model based on finite element analysis is developed using a physics-based approach that accounts for the actual geometry and material properties of the PMSM prototype. This allows for enhanced accuracy without relying on experimental material parameter identification. Moreover, the detailed model includes the fluid–structure interaction introduced by the channels of the cooling fluid of the electric machine, which, although poorly addressed by the existing literature, was found to play a key role in driving the vibrational behaviour of the structure. By combining analytical speed with numerical precision, the proposed approach enables consistent and physically-based NVH predictions across various design phases, ultimately supporting improved electric machine performance and reducing development time and costs. Validation against experimental data confirms the ability of the model to accurately predict both sound pressure levels and housing surface vibrations. The novelty of this work lies in its integration of fluid–structure interaction and material modeling without the need for empirical parameter tuning, offering a robust tool for NVH design in electric vehicle applications. Full article
(This article belongs to the Section Propulsion Systems and Components)
Show Figures

Figure 1

22 pages, 4182 KB  
Article
Model-Free Non-Singular Fast Terminal Sliding Mode Control Based on Agricultural Unmanned Aerial Vehicle Electrical Control System
by Mingyuan Hu, Longhui Qi, Changning Wei, Lei Zhang, Yaqing Gu, Bo Gao, Yang Liu and Dongjun Zhang
Symmetry 2026, 18(4), 678; https://doi.org/10.3390/sym18040678 - 18 Apr 2026
Viewed by 134
Abstract
Permanent magnet synchronous motors (PMSMs) are widely used in agricultural unmanned aerial vehicle (UAV) electromechanical systems for their high efficiency and power density. While sliding mode control (SMC) offers robustness for PMSM drives, conventional designs face challenges like slow convergence, singularity, and chattering. [...] Read more.
Permanent magnet synchronous motors (PMSMs) are widely used in agricultural unmanned aerial vehicle (UAV) electromechanical systems for their high efficiency and power density. While sliding mode control (SMC) offers robustness for PMSM drives, conventional designs face challenges like slow convergence, singularity, and chattering. This paper proposes a model-free improved non-singular fast terminal SMC scheme with an improved adaptive super-twisting algorithm and a disturbance observer (MFINFTSMC-IADSTA-IFTSMO) for agricultural UAV applications. The designed sliding surface ensures fixed-time convergence without singularity, the adaptive reaching law reduces chattering, and the observer enables feedforward compensation of disturbances. Closed-loop stability is proven via Lyapunov theory. DSP-based experiments demonstrate that the proposed method outperforms existing SMC variants in dynamic response, steady-state accuracy, chattering suppression, and disturbance rejection. Specifically, the proposed method achieves a start-up convergence time of only 0.35 s, which is 56.25% shorter than that of the classic SMC-STA method, fully verifying its superior fast convergence performance. Full article
(This article belongs to the Special Issue Symmetry/Asymmetry in Control Theory)
Show Figures

Figure 1

22 pages, 4104 KB  
Article
Composite Control Strategy for PMSM Based on Non-Singular Terminal Sliding Mode Control and Angle-Domain Iterative Learning
by Longbao Liu, Gang Li, Benjian Ruan and Yongqiang Fan
Appl. Sci. 2026, 16(8), 3920; https://doi.org/10.3390/app16083920 - 17 Apr 2026
Viewed by 191
Abstract
To mitigate low-speed speed oscillations in permanent magnet synchronous motors (PMSMs) arising from the combined effects of rotor-position-related periodic disturbances and external perturbations, this paper develops a composite robust speed regulation scheme that integrates non-singular terminal sliding mode control (NTSMC) with angle-domain iterative [...] Read more.
To mitigate low-speed speed oscillations in permanent magnet synchronous motors (PMSMs) arising from the combined effects of rotor-position-related periodic disturbances and external perturbations, this paper develops a composite robust speed regulation scheme that integrates non-singular terminal sliding mode control (NTSMC) with angle-domain iterative learning control (ILC). First, a non-singular terminal sliding mode speed controller is established to remove the singularity inherent in conventional terminal sliding mode formulations while preserving finite-time error convergence. To further improve robustness and reduce chattering, an enhanced generalized super-twisting reaching law incorporating a continuous saturation function is introduced. Second, to compensate for periodic disturbances associated with rotor position, an angle-domain ILC law is constructed to iteratively learn the periodic speed-tracking error, thereby suppressing low-speed speed ripple. Meanwhile, an extended state observer (ESO) is incorporated to estimate aperiodic disturbances online, enabling coordinated rejection of disturbances with different temporal characteristics. Experimental results demonstrate that the proposed composite strategy effectively weakens the dominant harmonic components in speed fluctuation and enhances low-speed operational smoothness, confirming the effectiveness of the developed method. Full article
(This article belongs to the Section Electrical, Electronics and Communications Engineering)
Show Figures

Figure 1

18 pages, 2012 KB  
Article
Design and Analysis of a Reduced Switched-Capacitor Multilevel Inverter-Fed PMSM Drive for Solar–Battery Electric Vehicles Using Rat Swarm Optimization
by Vijaychandra Joddumahanthi, Ramesh Devarapalli and Łukasz Knypiński
Algorithms 2026, 19(4), 313; https://doi.org/10.3390/a19040313 - 16 Apr 2026
Viewed by 271
Abstract
Solar photovoltaic (PV)-powered electric vehicles (EVs) have gained greater significance in the present-day era of transportation across the globe. This proposed work presents an analysis of a five-level reduced switched-capacitor multilevel inverter (RSC-MLI)-powered permanent magnet synchronous motor (PMSM) drive for solar PV-powered battery [...] Read more.
Solar photovoltaic (PV)-powered electric vehicles (EVs) have gained greater significance in the present-day era of transportation across the globe. This proposed work presents an analysis of a five-level reduced switched-capacitor multilevel inverter (RSC-MLI)-powered permanent magnet synchronous motor (PMSM) drive for solar PV-powered battery vehicles enabled by a rat swarm optimization (RSO) maximum power point tracking (MPPT) control mechanism. The system proposed in this paper integrates solar PV arrays and battery storage systems for efficient power transfer to EVs for propulsion. In order to achieve fast, accurate tracking of the optimal maximum power point, the RSO technique is used. A five-level RSC-MLI is used in this study, which enables boosting the voltage and lowering switching losses in the system. The performance of the PMSM is further analyzed to obtain constant parameters, such as the velocity and torque of the electric vehicle. Full article
Show Figures

Figure 1

21 pages, 13976 KB  
Article
Research on Yarn Amount Control for PMSM in Yarn Feeder Based on Improved DSOGI and Kalman Filter
by Fuhua Huang, Wenqi Lu, Yufan Ruan and Chaojun Han
Appl. Sci. 2026, 16(8), 3844; https://doi.org/10.3390/app16083844 - 15 Apr 2026
Viewed by 219
Abstract
To solve the problems of rotor position estimation error caused by the installation deviation of Hall sensors and the increase in yarn amount detection error in complex environments, resulting in speed fluctuations and unstable yarn feeding in the traditional permanent magnet synchronous motor [...] Read more.
To solve the problems of rotor position estimation error caused by the installation deviation of Hall sensors and the increase in yarn amount detection error in complex environments, resulting in speed fluctuations and unstable yarn feeding in the traditional permanent magnet synchronous motor (PMSM) drive system for yarn feeder, a control method for yarn amount in yarn feeder PMSMs based on an improved dual second-order generalized integrator (DSOGI) and Kalman filter is proposed. Firstly, in order to reduce the influence of installation deviation of Hall sensors, the three-phase Hall signals are converted into two-phase orthogonal Hall vector signals. An improved DSOGI is used to filter out high-order harmonic components and specific harmonic components in the Hall vector signals, and a cross-coupled structure is constructed to further enhance the fundamental component and suppress high-order harmonic components of negative coefficients. Then, accurate motor rotor position information is extracted by a quadrature phase-locked loop; secondly, in order to obtain accurate information on yarn amount, a system state model based on yarn amount and its rate of change is established, and Kalman filtering is used for optimal estimation of the yarn amount; finally, the above methods are integrated into the PMSM control system of the yarn feeder. Experimental results show that, compared with traditional methods, the PMSM control system of the yarn feeder using the method proposed in this paper has a shorter startup time and smaller steady-state error in motor speed and yarn amount when conveying yarn at a constant speed; when transporting yarn at variable speed, the motor speed and yarn amount settling time are shorter, and the peak deviation is smaller. Full article
(This article belongs to the Section Electrical, Electronics and Communications Engineering)
Show Figures

Figure 1

21 pages, 4090 KB  
Article
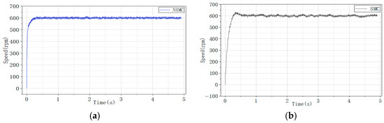
Adaptive Sliding Mode Control for PMSM Drives with High-Order Disturbance Compensation
by Bingmin Ji, Xin Mu, Lingbo Kong and Mingzhe Yang
Sensors 2026, 26(8), 2402; https://doi.org/10.3390/s26082402 - 14 Apr 2026
Viewed by 306
Abstract
To enhance the dynamic response and robustness of permanent magnet synchronous motor (PMSM) speed regulation under load disturbances, this study proposes a composite control strategy that integrates a novel sliding mode control based on an adaptive reaching law (NSMC) with a high-order disturbance [...] Read more.
To enhance the dynamic response and robustness of permanent magnet synchronous motor (PMSM) speed regulation under load disturbances, this study proposes a composite control strategy that integrates a novel sliding mode control based on an adaptive reaching law (NSMC) with a high-order disturbance observer (HDOB). First, an adaptive reaching law is designed to accelerate the convergence process when the system state is far from the sliding surface, while an adaptive saturation function (ASF) is introduced to smooth switching actions and reduce chattering near the sliding surface. Subsequently, a high-order disturbance observer is developed to estimate the lumped disturbance and its variation in real time, with the estimated disturbance being fed forward to the output of the speed-loop controller to enhance disturbance rejection capability. The effectiveness of the proposed method is validated through simulations and real-time experiments on a Hall-sensor-based PMSM drive platform. Experimental results show that, at a reference speed of 600 r/min, the proposed NSMC reduces settling time by 43.1% compared with conventional sliding mode control, while virtually eliminating overshoot. Under sudden load application and removal, the proposed NSMC + HDOB reduces the maximum speed deviation by 38.3% and 57.2%, respectively, compared with SMC + HDOB. These results indicate that the proposed strategy achieves faster speed tracking, smaller speed fluctuations, and enhanced robustness against load disturbances, offering an effective solution for high-performance PMSM drive systems. Full article
(This article belongs to the Section Electronic Sensors)
Show Figures

Figure 1

Back to TopTop