Sign in to use this feature.

Years

Between: -

Subjects

remove_circle_outline
remove_circle_outline
remove_circle_outline
remove_circle_outline
remove_circle_outline
remove_circle_outline
remove_circle_outline
remove_circle_outline

Journals

Article Types

Countries / Regions

Search Results (12)

Search Parameters:
Keywords = PI autotuning

Order results
Result details
Results per page
Select all
Export citation of selected articles as:
13 pages, 2796 KB  
Article
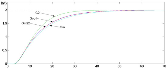
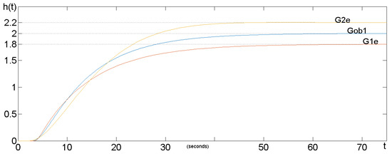
Real-Time Implementation of Auto-Tuned PID Control in PMSM Drives
by Adile Akpunar Bozkurt
Machines 2026, 14(1), 100; https://doi.org/10.3390/machines14010100 - 15 Jan 2026
Viewed by 342
Abstract
Permanent magnet synchronous motors (PMSM) are widely favored in industry for their high efficiency, compact size, and robust performance. This study employs a model-based PID control approach for speed regulation of PMSM. In contrast to traditional PID approaches, this method addresses the inherent [...] Read more.
Permanent magnet synchronous motors (PMSM) are widely favored in industry for their high efficiency, compact size, and robust performance. This study employs a model-based PID control approach for speed regulation of PMSM. In contrast to traditional PID approaches, this method addresses the inherent nonlinearity of PMSM systems and tunes PID coefficients dynamically for fast multi-input and multi-output (MIMO) operations. Traditional PID controllers typically assume linear motor dynamics and determine a single set of coefficients, often through trial and error. However, the nonlinear dynamics of motor drives and variations in motor parameters often lead to instability, limiting the effectiveness of conventional PID controllers. The proposed auto-tuning PID controller adjusts its coefficients in real-time based on the system’s operational state. This method has been implemented in both simulation and experimental setups, with real-time execution facilitated by dSPACE DS1104. A comparative analysis with conventional PI control demonstrates the enhanced stability and adaptability of the proposed approach. Full article
Show Figures

Figure 1

21 pages, 6380 KB  
Article
Real-Time PI Gain Auto-Tuning for SPMSM Drives Based on Time-Domain Response Characteristics
by Yunchan Bae and Jang-Mok Kim
Energies 2025, 18(18), 4899; https://doi.org/10.3390/en18184899 - 15 Sep 2025
Viewed by 989
Abstract
This paper proposes an iterative auto-tuning algorithm for PI controllers in permanent magnet synchronous motor (PMSM) drive systems. The controller gains are initially set using motor-parameter-based formulas derived from pole–zero cancelation, providing a theoretical first-order approximation. To address discrepancies caused by practical non-idealities [...] Read more.
This paper proposes an iterative auto-tuning algorithm for PI controllers in permanent magnet synchronous motor (PMSM) drive systems. The controller gains are initially set using motor-parameter-based formulas derived from pole–zero cancelation, providing a theoretical first-order approximation. To address discrepancies caused by practical non-idealities such as delays, nonlinearities, and unmodeled dynamics, the proposed method iteratively refines the gains based on real-time measurements of time-domain performance indices. In each iteration, rise time, peak time, and percent overshoot are evaluated against predefined target values, and gain compensation terms are calculated accordingly. These compensations are applied to update the controller gains until all performance indices fall within the desired range, at which point the tuning process terminates automatically. The effectiveness of the proposed algorithm is validated through both MATLAB/Simulink simulations and real-time hardware experiments, demonstrating significant improvements in transient response, overshoot suppression, and closed-loop stability compared to conventional tuning approaches. Full article
Show Figures

Figure 1

20 pages, 685 KB  
Article
An Automatic PI Tuning Method for Photovoltaic Irrigation Systems Based on Voltage Perturbation Using Feedforward Input
by Francisco Jesús Guillén-Arenas, José Fernández-Ramos and Luis Narvarte
Energies 2023, 16(21), 7449; https://doi.org/10.3390/en16217449 - 5 Nov 2023
Cited by 1 | Viewed by 1694
Abstract
This paper proposes a new automatic tuning method for the proportional-integral (PI) controllers of photovoltaic irrigation systems (PVIS) without the need for any other power source or batteries. It enables the optimisation of the values of the PI parameters (Kp and [...] Read more.
This paper proposes a new automatic tuning method for the proportional-integral (PI) controllers of photovoltaic irrigation systems (PVIS) without the need for any other power source or batteries. It enables the optimisation of the values of the PI parameters (Kp and Ki) automatically, eliminating the requirement for skilled personnel during the installation phase of PVIS. This method is based on the system’s voltage response when a disturbance signal is introduced through the feedforward input of the PI controller. To automatically assess the response properties, two indicators are proposed: the total harmonic distortion (THD), used to evaluate the sine response, and the total square distortion (TSD), used to evaluate the square response. The results indicate that the tuning changes for different irradiance and temperature conditions due to the non-linearity of the system, obtaining the most conservative values at maximum irradiance and temperature. The robustness of the results of the new automatic tuning method to abrupt photovoltaic (PV) power fluctuations due to clouds passing over the PV generator has been experimentally tested and the results show that the obtained tuning values make the PVIS stable, even when PV power drops of 66% occur abruptly. Full article
Show Figures

Figure 1

19 pages, 6906 KB  
Article
Unity Power Factor Operation in Microgrid Applications Using Fuzzy Type 2 Nested Controllers
by Hilmy Awad, Amr M. Ibrahim, Michele De Santis and Ehab H. E. Bayoumi
Appl. Sci. 2023, 13(9), 5537; https://doi.org/10.3390/app13095537 - 29 Apr 2023
Cited by 5 | Viewed by 2591
Abstract
The issue of low-power factor operation microgrids was reported for several layouts. Although numerous power factor improvement strategies have been applied and tested, various concerns remain to be addressed such as transient performance, simplicity of implementation, and satisfying the power-quality standards. The presented [...] Read more.
The issue of low-power factor operation microgrids was reported for several layouts. Although numerous power factor improvement strategies have been applied and tested, various concerns remain to be addressed such as transient performance, simplicity of implementation, and satisfying the power-quality standards. The presented research aimed to design and implement controllers that can improve the transient response of microgrids due to changes in the load demand and achieve a near-unity power factor at the AC grid side, to which the DC microgrid is connected. Due to the nonlinear nature of microgrids, as they rely on power electronics converters, a Fuzzy type 2 controller was designed, implemented, and tested. The focus was given to improving the power factor of the DC microgrids. The validation of the proposed technique was verified by comparing its performance with Fuzzy type 1 and autotuned conventional PI controllers. To achieve the set aims, two nested control loops were designed with an inner current loop and an outer voltage loop. Besides MATLAB/Simulink simulations, a 10 kHz-sampling dSPACE platform was used to implement the suggested system. Two operational scenarios were tested: (1) a step change in the DC link voltage and (2) a change in the AC load (increase and decrease) at the output of the power inverter, connected to the DC grid. The simulation and experimental results confirmed that the proposed Fuzzy type 2 controller performed better than the other two techniques regarding the dynamic response, steady-state error, and compliance with power quality standards. Conventional approaches develop controllers using a linearized model, which limits the model accuracy and ignores higher-order variability. The method employs the nonlinear model. Fuzzy type 2 can better approximate high-precision problems than Fuzzy type 1. Full article
(This article belongs to the Topic Power Quality)
Show Figures

Figure 1

21 pages, 13364 KB  
Article
Reinforcement-Learning-Based Level Controller for Separator Drum Unit in Refinery System
by Anwer Abdulkareem Ali, Mofeed Turky Rashid, Bilal Naji Alhasnawi, Vladimír Bureš and Peter Mikulecký
Mathematics 2023, 11(7), 1746; https://doi.org/10.3390/math11071746 - 6 Apr 2023
Cited by 7 | Viewed by 3588
Abstract
The Basrah Refinery, Iraq, similarly to other refineries, is subject to several industrial constraints. Therefore, the main challenge is to optimize the parameters of the level controller of the process unit tanks. In this paper, a PI controller is designed for these important [...] Read more.
The Basrah Refinery, Iraq, similarly to other refineries, is subject to several industrial constraints. Therefore, the main challenge is to optimize the parameters of the level controller of the process unit tanks. In this paper, a PI controller is designed for these important processes in the Basrah Refinery, which is a separator drum (D5204). Furthermore, the improvement of the PI controller is achieved under several constraints, such as the inlet liquid flow rate to tank (m2) and valve opening in yi%, by using two different techniques: the first one is conducted using a closed-Loop PID auto-tuner that is based on a frequency system estimator, and the other one is via the reinforcement learning approach (RL). RL is employed through two approaches: the first is calculating the optimal PI parameters as an offline tuner, and the second is using RL as an online tuner to optimize the PI parameters. In this case, the RL system works as a PI-like controller of RD5204. The mathematical model of the RD5204 system is derived and simulated using MATLAB. Several experiments are designed to validate the proposed controller. Further, the performance of the proposed system is evaluated under several industrial constraints, such as disturbances and noise, in which the results indict that RL as a tuner for the parameters of the PI controller is superior to other methods. Furthermore, using RL as a PI-like controller increases the controller’s robustness against uncertainty and perturbations. Full article
Show Figures

Figure 1

14 pages, 1788 KB  
Article
Online SOPDT Model Identification Method Using a Relay
by Krzysztof S. Kula
Appl. Sci. 2023, 13(1), 632; https://doi.org/10.3390/app13010632 - 3 Jan 2023
Cited by 7 | Viewed by 3379
Abstract
This paper describes a novel method for the online identification of an analog second-order plus dead time (SOPDT) model. It requires the measurement of four physical quantities, for which a relay is used. Based on these measurements, the parameters of the model or [...] Read more.
This paper describes a novel method for the online identification of an analog second-order plus dead time (SOPDT) model. It requires the measurement of four physical quantities, for which a relay is used. Based on these measurements, the parameters of the model or the regulator settings can be directly determined and used to autotune PI/PID controllers. The steps required to take the necessary measurements and the computational algorithms used to determine the model parameters are presented. The results of the simulation studies, including the measurements and calculations of the obtained models, are presented to demonstrate the effectiveness of the proposed method. Comparisons were made between the developed SOPDT model and the critically damped SOPDT model that is often used for high-order inertial plants. Full article
(This article belongs to the Section Robotics and Automation)
Show Figures

Figure 1

18 pages, 6846 KB  
Article
State Feedback Speed Control with Periodic Disturbances Attenuation for PMSM Drive
by Łukasz J. Niewiara, Rafał Szczepański, Tomasz Tarczewski and Lech M. Grzesiak
Energies 2022, 15(2), 587; https://doi.org/10.3390/en15020587 - 14 Jan 2022
Cited by 18 | Viewed by 2648
Abstract
This paper proposes an auto-tuned constrained state-feedback controller (SFC) to attenuate periodic disturbances present in permanent magnet synchronous (PMSM) motor drives. An online auto-tuning process of SFC has been made using a powerful nature-inspired optimization algorithm—artificial bee colony (ABC)—to achieve high-performance operation of [...] Read more.
This paper proposes an auto-tuned constrained state-feedback controller (SFC) to attenuate periodic disturbances present in permanent magnet synchronous (PMSM) motor drives. An online auto-tuning process of SFC has been made using a powerful nature-inspired optimization algorithm—artificial bee colony (ABC)—to achieve high-performance operation of the drive. A novel performance index is proposed to minimize the impact of pulsating torque and obtain smooth-velocity of the drive. The proposed approach is a practical application of classic control theory with novel engineering-tools for improving the operational quality of a PMSM drive system. The obtained results are compared with a classical cascade control structure (CCS) based on proportional-integral (PI) regulators and disturbance observer-based control (DOBC). A detailed time- and frequency-domain analysis has been conducted in respect to periodic disturbances present in a PMSM drive system. Moreover, the robustness of SFC against parameter variations of inductance and resistance has been tested. Full article
(This article belongs to the Special Issue Frontiers in Automatic Control in Drives and Power Electronics)
Show Figures

Figure 1

17 pages, 2540 KB  
Article
Experimental Validation of a Cascade Control Strategy for Continuously Perfused Animal Cell Cultures
by Thomas Abbate, Mihaela Sbarciog, Laurent Dewasme and Alain Vande Wouwer
Processes 2020, 8(4), 413; https://doi.org/10.3390/pr8040413 - 1 Apr 2020
Cited by 7 | Viewed by 4654
Abstract
This paper is dedicated to the experimental validation of a cascade control strategy for simultaneously regulating the glucose and biomass levels in continuously perfused HEK-293 cell cultures. The inner loop consists of a partial feedback linearization, which requires the estimation of the biomass [...] Read more.
This paper is dedicated to the experimental validation of a cascade control strategy for simultaneously regulating the glucose and biomass levels in continuously perfused HEK-293 cell cultures. The inner loop consists of a partial feedback linearization, which requires the estimation of the biomass specific growth rate and glucose uptake rate. This latter task is achieved by sliding mode observers, which do not require a priori process knowledge in the form of a process model. The linearized process is then regulated by the outer loop, including two classical PI controllers with autotuning. The four manipulated variables are a feed flow rate with low glucose concentration, another feed flow with a higher glucose content, a bleed flow, and a perfusion stream. The experimental results demonstrate the ability of the control strategy to reach and regulate the prescribed setpoints. The main advantage of the strategy is that it can be applied in a plug and play manner and shows satisfactory robustness. To the best of our knowledge, this is the first time that such a multivariable control strategy, together with sliding mode observers, is applied at the lab scale to an industrial process in the pharmaceutical sector. Full article
(This article belongs to the Special Issue Fermentation Optimization and Modeling)
Show Figures

Figure 1

18 pages, 4968 KB  
Article
Pitch Angle Optimization by Intelligent Adjusting the Gains of a PI Controller for Small Wind Turbines in Areas with Drastic Wind Speed Changes
by Ernesto Chavero-Navarrete, Mario Trejo-Perea, Juan-Carlos Jáuregui-Correa, Roberto-Valentín Carrillo-Serrano and José-Gabriel Rios-Moreno
Sustainability 2019, 11(23), 6670; https://doi.org/10.3390/su11236670 - 26 Nov 2019
Cited by 23 | Viewed by 7012
Abstract
The population growth demands a greater generation of energy, an alternative is the use of small wind turbines, however, obtaining maximum wind power becomes the main challenge when there are drastic changes in wind speed. The angle of the blades rotates around its [...] Read more.
The population growth demands a greater generation of energy, an alternative is the use of small wind turbines, however, obtaining maximum wind power becomes the main challenge when there are drastic changes in wind speed. The angle of the blades rotates around its longitudinal axis to control the effect of the wind on the rotation of the turbine, a proportional-integral controller (PI) for this angle achieves stability and precision in a stable state but is not functional with severe alterations in wind speed, a different response time is necessary in both cases. This article proposes a novel pitch angle controller based on auto-tuning of PI gains, for which it uses a teaching–learning based optimization (TLBO) algorithm. The wind speed and the value of the magnitude of the change are used by the algorithm to determine the appropriate PI gains at different wind speeds, so it can adapt to any sudden change in wind speed. The effectiveness of the proposed method is verified by experimental results for a 14 KW permanent magnet synchronous generator (PMSG) wind turbine located at the Universidad Autónoma de Querétaro (UAQ), Mexico. Full article
(This article belongs to the Special Issue Environmental Energy Sustainability at Universities)
Show Figures

Figure 1

19 pages, 6953 KB  
Article
A Control Scheme for Variable-Speed Micro-Hydropower Plants
by Youping Fan, Dai Zhang and Jingjiao Li
Sustainability 2018, 10(11), 4333; https://doi.org/10.3390/su10114333 - 21 Nov 2018
Cited by 3 | Viewed by 6151
Abstract
The aim of this work was to design and build a control system to control the performance of the Pelton wheel and synchronous generator system at different upstream water flow and electrical load conditions. The turbine output power is determined by the upstream [...] Read more.
The aim of this work was to design and build a control system to control the performance of the Pelton wheel and synchronous generator system at different upstream water flow and electrical load conditions. The turbine output power is determined by the upstream water flow and spear valve, whilst the generator output power is determined by the turbine output power and the electrical load. A spear valve is used to control the generator output power at different water and load conditions. An autotuning proportion integration (PI) arithmetic-based controller was built using a relay feedback tuning method. An on–off relay was used in the program in order to oscillate the system. The optimal PI gains can be estimated via the Ziegler–Nichols method. A fully open test was used to test the tuned PI gains. The performance of the original gains and the new tuned gains were discussed. A controller was used to maintain the frequency or voltage of the output power by automatic regulation of the turbine valve. The program could search for the maximum generation efficiency by entering the output current value of the generator into the program manually. Full article
(This article belongs to the Section Energy Sustainability)
Show Figures

Figure 1

13 pages, 3951 KB  
Article
Experimental Validation of a Novel Auto-Tuning Method for a Fractional Order PI Controller on an UR10 Robot
by Cristina I. Muresan, Cosmin Copot, Isabela Birs, Robin De Keyser, Steve Vanlanduit and Clara M. Ionescu
Algorithms 2018, 11(7), 95; https://doi.org/10.3390/a11070095 - 30 Jun 2018
Cited by 13 | Viewed by 5185
Abstract
Classical fractional order controller tuning techniques usually consider the frequency domain specifications (phase margin, gain crossover frequency, iso-damping) and are based on knowledge of a process model, as well as solving a system of nonlinear equations to determine the controller parameters. In this [...] Read more.
Classical fractional order controller tuning techniques usually consider the frequency domain specifications (phase margin, gain crossover frequency, iso-damping) and are based on knowledge of a process model, as well as solving a system of nonlinear equations to determine the controller parameters. In this paper, a novel auto-tuning method is used to tune a fractional order PI controller. The advantages of the proposed auto-tuning method are two-fold: There is no need for a process model, neither to solve the system of nonlinear equations. The tuning is based on defining a forbidden region in the Nyquist plane using the phase margin requirement and determining the parameters of the fractional order controller such that the loop frequency response remains out of the forbidden region. Additionally, the final controller parameters are those that minimize the difference between the slope of the loop frequency response and the slope of the forbidden region border, to ensure the iso-damping property. To validate the proposed method, a case study has been used consisting of a pick and place movement of an UR10 robot. The experimental results, considering two different robot configurations, demonstrate that the designed fractional order PI controller is indeed robust. Full article
Show Figures

Figure 1

27 pages, 10511 KB  
Article
An Auto-Tuning PI Control System for an Open-Circuit Low-Speed Wind Tunnel Designed for Greenhouse Technology
by Karlos Espinoza, Diego L. Valera, José A. Torres, Alejandro López and Francisco D. Molina-Aiz
Sensors 2015, 15(8), 19723-19749; https://doi.org/10.3390/s150819723 - 12 Aug 2015
Cited by 24 | Viewed by 11886
Abstract
Wind tunnels are a key experimental tool for the analysis of airflow parameters in many fields of application. Despite their great potential impact on agricultural research, few contributions have dealt with the development of automatic control systems for wind tunnels in the field [...] Read more.
Wind tunnels are a key experimental tool for the analysis of airflow parameters in many fields of application. Despite their great potential impact on agricultural research, few contributions have dealt with the development of automatic control systems for wind tunnels in the field of greenhouse technology. The objective of this paper is to present an automatic control system that provides precision and speed of measurement, as well as efficient data processing in low-speed wind tunnel experiments for greenhouse engineering applications. The system is based on an algorithm that identifies the system model and calculates the optimum PI controller. The validation of the system was performed on a cellulose evaporative cooling pad and on insect-proof screens to assess its response to perturbations. The control system provided an accuracy of <0.06 m·s‾1 for airflow speed and <0.50 Pa for pressure drop, thus permitting the reproducibility and standardization of the tests. The proposed control system also incorporates a fully-integrated software unit that manages the tests in terms of airflow speed and pressure drop set points. Full article
(This article belongs to the Section Physical Sensors)
Show Figures

Graphical abstract

Back to TopTop